Tuning the Structure–Functional Properties Within Peptide-Mimicking Antimicrobial Hydrogels
Abstract
1. Introduction
2. Results and Discussion
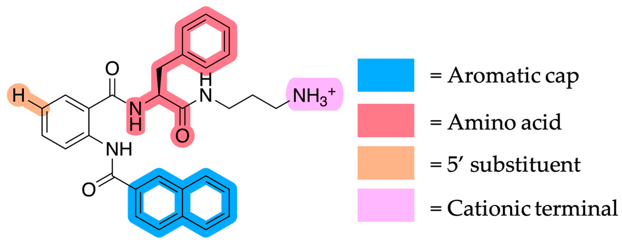
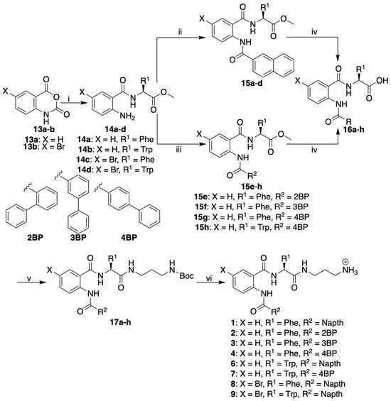
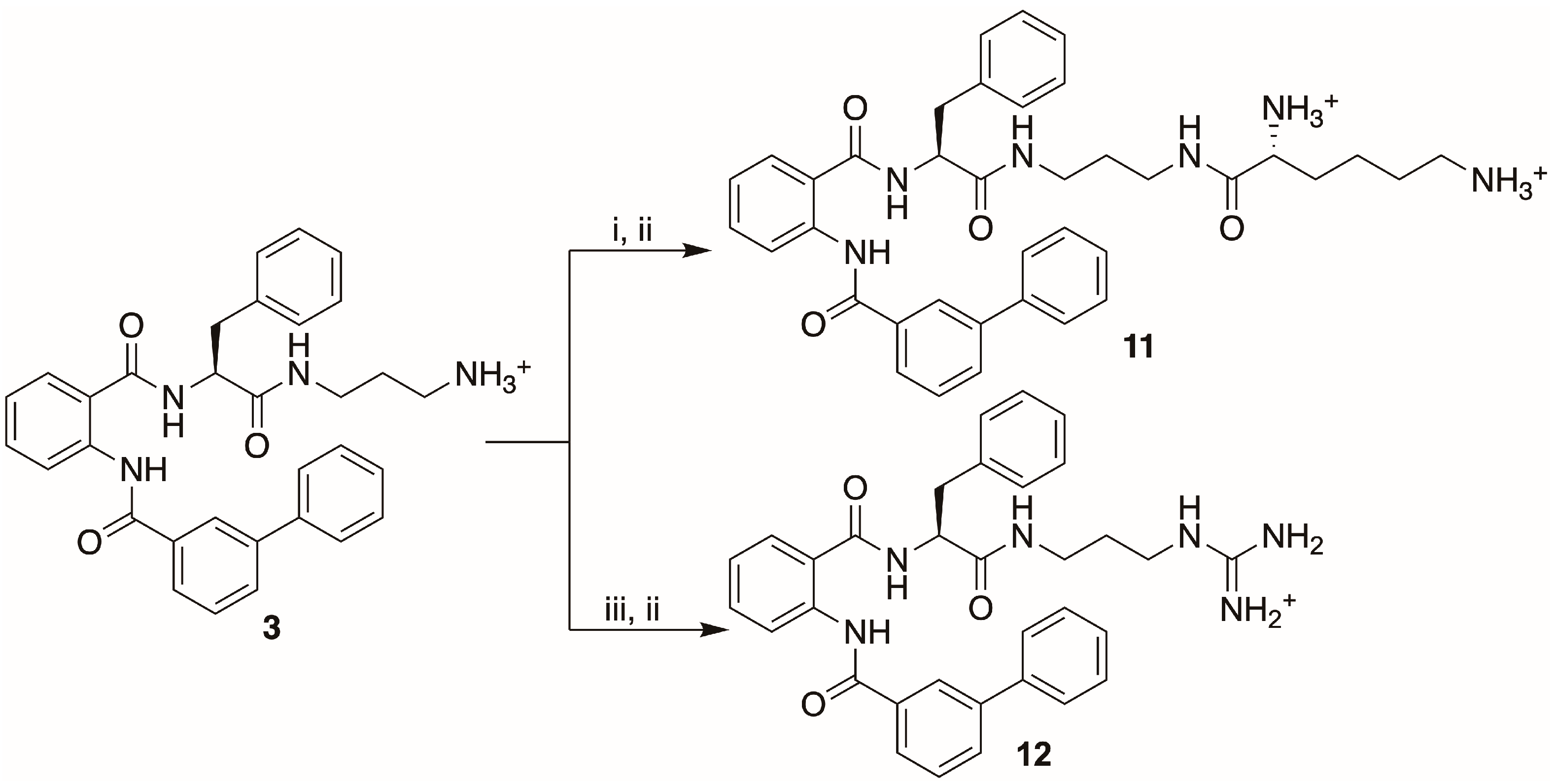
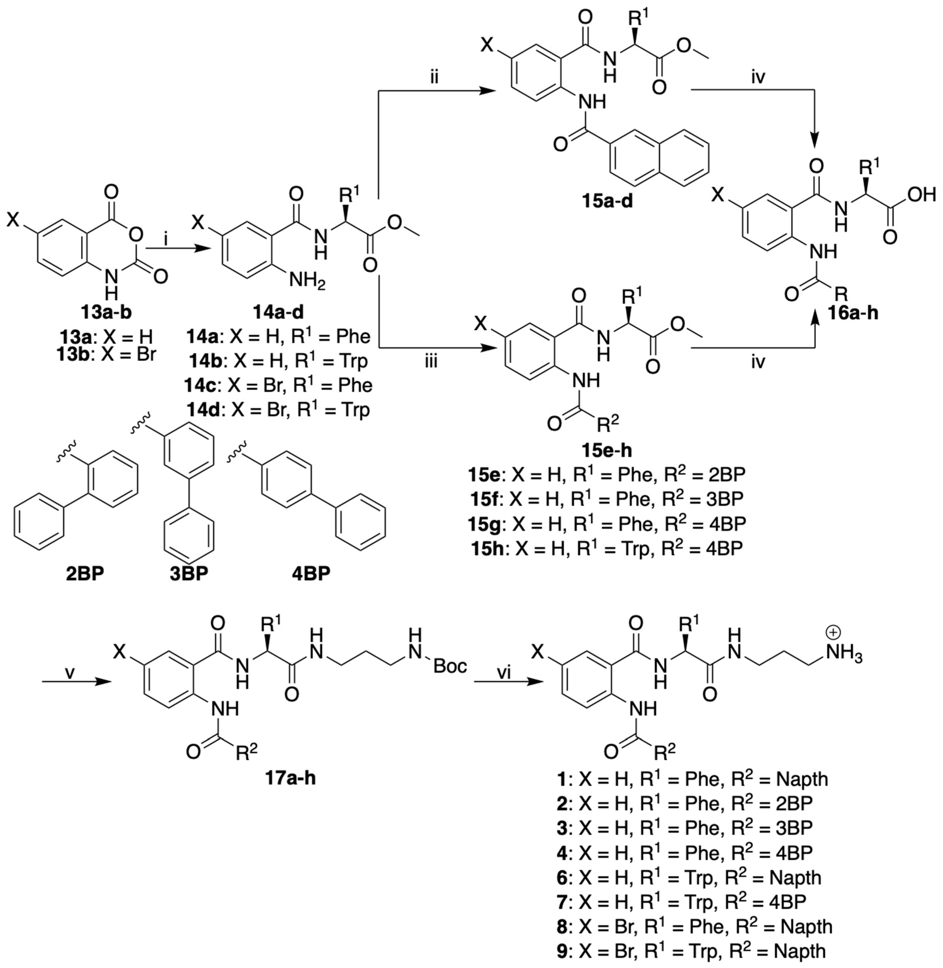
2.1. Synthesis of Short Cationic Peptide-Based Hydrogelators 1–12
2.1.1. Modification A
2.1.2. Modification B
2.1.3. Modification C
2.1.4. Modification D
2.2. Hydrogelation Studies
2.2.1. Identification of Hydrogelating Compounds
2.2.2. Hydrogel Formation and Rate of Formation
2.2.3. Secondary Structure
2.2.4. Mechanical Properties
2.2.5. Structure Morphology
2.3. Antibacterial Activity
3. Materials and Methods
3.1. General Notes—Synthesis
3.1.1. General Procedure 1 for Synthesis of 14a–d and 22a–b
3.1.2. General Procedure 2 for Synthesis of 15a–d
3.1.3. General Procedure 3 for Synthesis of 15e–h
3.1.4. General Procedure 4 for Synthesis of 16a–h
3.1.5. General Procedure 5 for Synthesis of 17a–h
3.1.6. General Procedure 6 for Synthesis of 1–12
3.2. Hydrogel Characterisation
3.2.1. Preparation of Hydrogels
3.2.2. Circular Dichroism (CD) Spectroscopy
3.2.3. Rheology Measurements
3.2.4. Atomic Force Microscopy (AFM)
3.3. Antibacterial Assays
3.3.1. General Bacterial Preparation Procedure
3.3.2. Bacterial Loading on Hydrogels
3.3.3. Hydrogel Fibril Release and MIC Assay
3.4. Analytical Data
4. Conclusions
Supplementary Materials
Author Contributions
Funding
Data Availability Statement
Acknowledgments
Conflicts of Interest
Abbreviations
| 4-DMAP | 4-Dimethylaminopyridine |
| AFM | Atomic force microscopy |
| BP | Biphenyl |
| CD | Circular dichroism |
| DCM | Dichloromethane |
| DIPEA | Diisopropylethylamine |
| DMF | Dimethylformamide |
| E. coli | Escherichia coli |
| Equiv | Equivalents |
| Fmoc | Fluorenylmethoxycarbonyl |
| FST | Frequency sweep test |
| HOBt | Hydroxybenzotriazole |
| LMWG | Low-molecular-weight gelator |
| LVER | Linear viscoelastic region |
| MeOH | Methanoil |
| MHB | Mueller Hinton Broth |
| MQ | Milli-Q |
| Napth | Naphthoyl |
| OD | Optical density |
| Phe | Phenylalanine |
| S. aureus | Staphylococcus aureus |
| SFR | Structure–functional relationship |
| SST | Strain sweep test |
| TEA | Triethylamine |
| TFA | Trifluoroacetic acid |
| THF | Tetrahydrofuran |
| Trp | Tryptophan |
References
- Ahmed, E.M. Hydrogel: Preparation, Characterization, and Applications: A Review. J. Adv. Res. 2015, 6, 105–121. [Google Scholar] [CrossRef]
- Wang, W.; Narain, R.; Zeng, H. Chapter 10—Hydrogels. In Polymer Science and Nanotechnology; Narain, R., Ed.; Elsevier: Amsterdam, The Netherlands, 2020; pp. 203–244. [Google Scholar] [CrossRef]
- Deligkaris, K.; Tadele, T.S.; Olthuis, W.; van den Berg, A. Hydrogel-Based Devices for Biomedical Applications. Sens. Actuators B Chem. 2010, 147, 765–774. [Google Scholar] [CrossRef]
- Orive, G.; Gascón, A.R.; Hernández, R.M.; Igartua, M.; Pedraz, J.L. Cell Microencapsulation Technology for Biomedical Purposes: Novel Insights and Challenges. Trends Pharmacol. Sci. 2003, 24, 207–210. [Google Scholar] [CrossRef] [PubMed]
- Orive, G.; Hernández, R.M.; Gascón, A.R.; Calafiore, R.; Chang, T.M.S.; Vos, P.D.; Hortelano, G.; Hunkeler, D.; Lacík, I.; Shapiro, A.M.J.; et al. Cell Encapsulation: Promise and Progress. Nat. Med. 2003, 9, 104–107. [Google Scholar] [CrossRef]
- Orive, G.; De Castro, M.; Kong, H.-J.; Hernández, R.M.; Ponce, S.; Mooney, D.J.; Pedraz, J.L. Bioactive Cell-Hydrogel Microcapsules for Cell-Based Drug Delivery. J. Control. Release 2009, 135, 203–210. [Google Scholar] [CrossRef] [PubMed]
- Zhang, L.; Li, K.; Xiao, W.; Zheng, L.; Xiao, Y.; Fan, H.; Zhang, X. Preparation of Collagen–Chondroitin Sulfate–Hyaluronic Acid Hybrid Hydrogel Scaffolds and Cell Compatibility in Vitro. Carbohydr. Polym. 2011, 84, 118–125. [Google Scholar] [CrossRef]
- Saul, J.M.; Williams, D.F. 12—Hydrogels in Regenerative Medicine. In Handbook of Polymer Applications in Medicine and Medical Devices; Modjarrad, K., Ebnesajjad, S., Eds.; Plastics Design Library; William Andrew Publishing: Oxford, UK, 2011; pp. 279–302. [Google Scholar] [CrossRef]
- Drury, J.L.; Mooney, D.J. Hydrogels for Tissue Engineering: Scaffold Design Variables and Applications. Biomaterials 2003, 24, 4337–4351. [Google Scholar] [CrossRef]
- Winter, G.D. Formation of the Scab and the Rate of Epithelization of Superficial Wounds in the Skin of the Young Domestic Pig. Nature 1962, 193, 293–294. [Google Scholar] [CrossRef]
- Jones, J. Winter’s Concept of Moist Wound Healing: A Review of the Evidence and Impact on Clinical Practice. J. Wound Care 2005, 14, 273–276. [Google Scholar] [CrossRef]
- Zhang, W.; Liu, L.; Cheng, H.; Zhu, J.; Li, X.; Ye, S.; Li, X. Hydrogel-Based Dressings Designed to Facilitate Wound Healing. Mater. Adv. 2024, 5, 1364–1394. [Google Scholar] [CrossRef]
- Wichterle, O.; Lím, D. Hydrophilic Gels for Biological Use. Nature 1960, 185, 117–118. [Google Scholar] [CrossRef]
- Hu, X.; Hao, L.; Wang, H.; Yang, X.; Zhang, G.; Wang, G.; Zhang, X. Hydrogel Contact Lens for Extended Delivery of Ophthalmic Drugs. Int. J. Polym. Sci. 2011, 2011, e814163. [Google Scholar] [CrossRef]
- Correa, S.; Grosskopf, A.K.; Lopez Hernandez, H.; Chan, D.; Yu, A.C.; Stapleton, L.M.; Appel, E.A. Translational Applications of Hydrogels. Chem. Rev. 2021, 121, 11385–11457. [Google Scholar] [CrossRef] [PubMed]
- Mitrovic, J.; Richey, G.; Kim, S.; Guler, M.O. Peptide Hydrogels and Nanostructures Controlling Biological Machinery. Langmuir 2023, 39, 11935–11945. [Google Scholar] [CrossRef]
- Cushing, M.C.; Anseth, K.S. Hydrogel Cell Cultures. Science 2007, 316, 1133–1134. [Google Scholar] [CrossRef]
- Adler-Abramovich, L.; Reches, M.; Sedman, V.L.; Allen, S.; Tendler, S.J.B.; Gazit, E. Thermal and Chemical Stability of Diphenylalanine Peptide Nanotubes: Implications for Nanotechnological Applications. Langmuir 2006, 22, 1313–1320. [Google Scholar] [CrossRef] [PubMed]
- Guilbaud-Chéreau, C.; Dinesh, B.; Wagner, L.; Chaloin, O.; Ménard-Moyon, C.; Bianco, A. Aromatic Dipeptide Homologue-Based Hydrogels for Photocontrolled Drug Release. Nanomaterials 2022, 12, 1643. [Google Scholar] [CrossRef]
- Conte, M.P.; Singh, N.; Sasselli, I.R.; Escuder, B.; Ulijn, R.V. Metastable Hydrogels from Aromatic Dipeptides. Chem. Commun. 2016, 52, 13889–13892. [Google Scholar] [CrossRef]
- Ma, M.; Kuang, Y.; Gao, Y.; Zhang, Y.; Gao, P.; Xu, B. Aromatic−Aromatic Interactions Induce the Self-Assembly of Pentapeptidic Derivatives in Water To Form Nanofibers and Supramolecular Hydrogels. J. Am. Chem. Soc. 2010, 132, 2719–2728. [Google Scholar] [CrossRef]
- Apostolopoulos, V.; Bojarska, J.; Chai, T.-T.; Elnagdy, S.; Kaczmarek, K.; Matsoukas, J.; New, R.; Parang, K.; Lopez, O.P.; Parhiz, H.; et al. A Global Review on Short Peptides: Frontiers and Perspectives. Molecules 2021, 26, 430. [Google Scholar] [CrossRef]
- Soudy, R.; Kimura, R.; Patel, A.; Fu, W.; Kaur, K.; Westaway, D.; Yang, J.; Jhamandas, J. Short Amylin Receptor Antagonist Peptides Improve Memory Deficits in Alzheimer’s Disease Mouse Model. Sci. Rep. 2019, 9, 10942. [Google Scholar] [CrossRef]
- Aggeli, A.; Bell, M.; Boden, N.; Keen, J.N.; Knowles, P.F.; McLeish, T.C.B.; Pitkeathly, M.; Radford, S.E. Responsive Gels Formed by the Spontaneous Self-Assembly of Peptides into Polymeric β-Sheet Tapes. Nature 1997, 386, 259–262. [Google Scholar] [CrossRef] [PubMed]
- Hartgerink, J.D.; Beniash, E.; Stupp, S.I. Self-Assembly and Mineralization of Peptide-Amphiphile Nanofibers. Science 2001, 294, 1684–1688. [Google Scholar] [CrossRef]
- Ozbas, B.; Kretsinger, J.; Rajagopal, K.; Schneider, J.P.; Pochan, D.J. Salt-Triggered Peptide Folding and Consequent Self-Assembly into Hydrogels with Tunable Modulus. Macromolecules 2004, 37, 7331–7337. [Google Scholar] [CrossRef]
- de Loos, M.; Feringa, B.L.; van Esch, J.H. Design and Application of Self-Assembled Low Molecular Weight Hydrogels. Eur. J. Org. Chem. 2005, 2005, 3615–3631. [Google Scholar] [CrossRef]
- Wang, L.; Shi, X.; Wang, J. A Temperature-Responsive Supramolecular Hydrogel: Preparation, Gel–Gel Transition and Molecular Aggregation. Soft Matter 2018, 14, 3090–3095. [Google Scholar] [CrossRef]
- Fleming, S.; Ulijn, R.V. Design of Nanostructures Based on Aromatic Peptide Amphiphiles. Chem. Soc. Rev. 2014, 43, 8150–8177. [Google Scholar] [CrossRef]
- Aldilla, V.R.; Chen, R.; Kuppusamy, R.; Chakraborty, S.; Willcox, M.D.P.; Black, D.S.; Thordarson, P.; Martin, A.D.; Kumar, N. Hydrogels with Intrinsic Antibacterial Activity Prepared from Naphthyl Anthranilamide (NaA) Capped Peptide Mimics. Sci. Rep. 2022, 12, 22259. [Google Scholar] [CrossRef]
- Aldilla, V.R.; Chen, R.; Martin, A.D.; Marjo, C.E.; Rich, A.M.; Black, D.S.; Thordarson, P.; Kumar, N. Anthranilamide-Based Short Peptides Self-Assembled Hydrogels as Antibacterial Agents. Sci. Rep. 2020, 10, 770. [Google Scholar] [CrossRef]
- Orbach, R.; Mironi-Harpaz, I.; Adler-Abramovich, L.; Mossou, E.; Mitchell, E.P.; Forsyth, V.T.; Gazit, E.; Seliktar, D. The Rheological and Structural Properties of Fmoc-Peptide-Based Hydrogels: The Effect of Aromatic Molecular Architecture on Self-Assembly and Physical Characteristics. Langmuir 2012, 28, 2015–2022. [Google Scholar] [CrossRef] [PubMed]
- Tang, C.; Smith, A.M.; Collins, R.F.; Ulijn, R.V.; Saiani, A. Fmoc-Diphenylalanine Self-Assembly Mechanism Induces Apparent pKa Shifts. Langmuir 2009, 25, 9447–9453. [Google Scholar] [CrossRef] [PubMed]
- Smith, A.M.; Williams, R.J.; Tang, C.; Coppo, P.; Collins, R.F.; Turner, M.L.; Saiani, A.; Ulijn, R.V. Fmoc-Diphenylalanine Self Assembles to a Hydrogel via a Novel Architecture Based on π–π Interlocked β-Sheets. Adv. Mater. 2008, 20, 37–41. [Google Scholar] [CrossRef]
- Chen, L.; Morris, K.; Laybourn, A.; Elias, D.; Hicks, M.R.; Rodger, A.; Serpell, L.; Adams, D.J. Self-Assembly Mechanism for a Naphthalene−Dipeptide Leading to Hydrogelation. Langmuir 2010, 26, 5232–5242. [Google Scholar] [CrossRef] [PubMed]
- Laverty, G.; McCloskey, A.P.; Gilmore, B.F.; Jones, D.S.; Zhou, J.; Xu, B. Ultrashort Cationic Naphthalene-Derived Self-Assembled Peptides as Antimicrobial Nanomaterials. Biomacromolecules 2014, 15, 3429–3439. [Google Scholar] [CrossRef]
- Martin, A.D.; Robinson, A.B.; Mason, A.F.; Wojciechowski, J.P.; Thordarson, P. Exceptionally Strong Hydrogels through Self-Assembly of an Indole-Capped Dipeptide. Chem. Commun. 2014, 50, 15541–15544. [Google Scholar] [CrossRef]
- Martin, A.D.; Wojciechowski, J.P.; Warren, H.; Thordarson, P. Effect of Heterocyclic Capping Groups on the Self-Assembly of a Dipeptide Hydrogel. Soft Matter 2016, 12, 2700–2707. [Google Scholar] [CrossRef]
- Lu, Y.; Mei, Y.; Drechsler, M.; Ballauff, M. Thermosensitive Core–Shell Particles as Carriers for Ag Nanoparticles: Modulating the Catalytic Activity by a Phase Transition in Networks. Angew. Chem. Int. Ed. 2006, 45, 813–816. [Google Scholar] [CrossRef]
- Gao, G.; Jiang, Y.-W.; Jia, H.-R.; Wu, F.-G. Near-Infrared Light-Controllable on-Demand Antibiotics Release Using Thermo-Sensitive Hydrogel-Based Drug Reservoir for Combating Bacterial Infection. Biomaterials 2019, 188, 83–95. [Google Scholar] [CrossRef]
- Radhakumary, C.; Antonty, M.; Sreenivasan, K. Drug Loaded Thermoresponsive and Cytocompatible Chitosan Based Hydrogel as a Potential Wound Dressing. Carbohydr. Polym. 2011, 83, 705–713. [Google Scholar] [CrossRef]
- Shi, Y.; Truong, V.X.; Kulkarni, K.; Qu, Y.; Simon, G.P.; Boyd, R.L.; Perlmutter, P.; Lithgow, T.; Forsythe, J.S. Light-Triggered Release of Ciprofloxacin from an in Situ Forming Click Hydrogel for Antibacterial Wound Dressings. J. Mater. Chem. B 2015, 3, 8771–8774. [Google Scholar] [CrossRef]
- Kuppusamy, R.; Yasir, M.; Yee, E.; Willcox, M.; Black, D.S.; Kumar, N. Guanidine Functionalized Anthranilamides as Effective Antibacterials with Biofilm Disruption Activity. Org. Biomol. Chem. 2018, 16, 5871–5888. [Google Scholar] [CrossRef] [PubMed]
- Aldilla, V.R.; Nizalapur, S.; Martin, A.; Marjo, C.E.; Rich, A.; Yee, E.; Suwannakot, P.; Black, D.S.; Thordarson, P.; Kumar, N. Design, Synthesis, and Characterisation of Glyoxylamide-Based Short Peptides as Self-Assembled Gels. New J. Chem. 2017, 41, 13462–13471. [Google Scholar] [CrossRef]
- Aldilla, V.R.; Martin, A.D.; Nizalapur, S.; Marjo, C.E.; Rich, A.M.; Ho, K.K.K.; Ittner, L.M.; Black, D.S.; Thordarson, P.; Kumar, N. Glyoxylamide-Based Self-Assembly Hydrogels for Sustained Ciprofloxacin Delivery. J. Mater. Chem. B 2018, 6, 6089–6098. [Google Scholar] [CrossRef]
- Martin, A.D.; Thordarson, P. Beyond Fmoc: A Review of Aromatic Peptide Capping Groups. J. Mater. Chem. B 2020, 8, 863–877. [Google Scholar] [CrossRef] [PubMed]
- Kuppusamy, R.; Yasir, M.; Yu, T.T.; Voli, F.; Vittorio, O.; Miller, M.J.; Lewis, P.; Black, D.S.; Willcox, M.; Kumar, N. Tuning the Anthranilamide Peptidomimetic Design to Selectively Target Planktonic Bacteria and Biofilm. Antibiotics 2023, 12, 585. [Google Scholar] [CrossRef]
- Barbosa, N.S.V.; Lima, E.R.A.; Tavares, F.W. The Electrostatic Behavior of the Bacterial Cell Wall Using a Smoothing Function to Describe the Charge-Regulated Volume Charge Density Profile. Colloids Surf. B Biointerfaces 2015, 134, 447–452. [Google Scholar] [CrossRef]
- Kuppusamy, R.; Yasir, M.; Berry, T.; Cranfield, C.G.; Nizalapur, S.; Yee, E.; Kimyon, O.; Taunk, A.; Ho, K.K.K.; Cornell, B.; et al. Design and Synthesis of Short Amphiphilic Cationic Peptidomimetics Based on Biphenyl Backbone as Antibacterial Agents. Eur. J. Med. Chem. 2018, 143, 1702–1722. [Google Scholar] [CrossRef]
- Exley, S.E.; Paslay, L.C.; Sahukhal, G.S.; Abel, B.A.; Brown, T.D.; McCormick, C.L.; Heinhorst, S.; Koul, V.; Choudhary, V.; Elasri, M.O.; et al. Antimicrobial Peptide Mimicking Primary Amine and Guanidine Containing Methacrylamide Copolymers Prepared by Raft Polymerization. Biomacromolecules 2015, 16, 3845–3852. [Google Scholar] [CrossRef]
- Locock, K.E.S.; Michl, T.D.; Valentin, J.D.P.; Vasilev, K.; Hayball, J.D.; Qu, Y.; Traven, A.; Griesser, H.J.; Meagher, L.; Haeussler, M. Guanylated Polymethacrylates: A Class of Potent Antimicrobial Polymers with Low Hemolytic Activity. Biomacromolecules 2013, 14, 4021–4031. [Google Scholar] [CrossRef]
- Gabriel, G.J.; Madkour, A.E.; Dabkowski, J.M.; Nelson, C.F.; Nüsslein, K.; Tew, G.N. Synthetic Mimic of Antimicrobial Peptide with Nonmembrane-Disrupting Antibacterial Properties. Biomacromolecules 2008, 9, 2980–2983. [Google Scholar] [CrossRef]
- Bott, G.; Field, L.D.; Sternhell, S. Steric Effects. A Study of a Rationally Designed System. J. Am. Chem. Soc. 1980, 102, 5618–5626. [Google Scholar] [CrossRef]
- Walker, M.A. Improving Solubility via Structural Modification. In Tactics in Contemporary Drug Design; Meanwell, N.A., Ed.; Springer: Berlin/Heidelberg, Germany, 2015; pp. 69–106. [Google Scholar] [CrossRef]
- Strøm, M.B.; Haug, B.E.; Skar, M.L.; Stensen, W.; Stiberg, T.; Svendsen, J.S. The Pharmacophore of Short Cationic Antibacterial Peptides. J. Med. Chem. 2003, 46, 1567–1570. [Google Scholar] [CrossRef] [PubMed]
- Antibacterial Action of Structurally Diverse Cationic Peptides on Gram-Positive Bacteria|Antimicrobial Agents and Chemotherapy. Available online: https://journals.asm.org/doi/full/10.1128/aac.44.8.2086-2092.2000 (accessed on 30 May 2024).
- Nele, V.; Wojciechowski, J.P.; Armstrong, J.P.K.; Stevens, M.M. Tailoring Gelation Mechanisms for Advanced Hydrogel Applications. Adv. Funct. Mater. 2020, 30, 2002759. [Google Scholar] [CrossRef]
- Greenfield, N.J. Using Circular Dichroism Spectra to Estimate Protein Secondary Structure. Nat. Protoc. 2006, 1, 2876–2890. [Google Scholar] [CrossRef] [PubMed]
- Yang, H.; Yang, S.; Kong, J.; Dong, A.; Yu, S. Obtaining Information about Protein Secondary Structures in Aqueous Solution Using Fourier Transform IR Spectroscopy. Nat. Protoc. 2015, 10, 382–396. [Google Scholar] [CrossRef]
- Quantifying Cellular Traction Forces in Three Dimensions|PNAS. Available online: https://www.pnas.org/doi/10.1073/pnas.0904565106 (accessed on 28 May 2024).
- Serra, R.; Grande, R.; Butrico, L.; Rossi, A.; Settimio, U.F.; Caroleo, B.; Amato, B.; Gallelli, L.; de Franciscis, S. Chronic Wound Infections: The Role of Pseudomonas Aeruginosa and Staphylococcus Aureus. Expert. Rev. Anti-Infect. Ther. 2015, 13, 605–613. [Google Scholar] [CrossRef]
- Makvana, S.; Krilov, L.R. Escherichia Coli Infections. Pediatr. Rev. 2015, 36, 167–170; quiz 171. [Google Scholar] [CrossRef][Green Version]
- Schnaider, L.; Brahmachari, S.; Schmidt, N.W.; Mensa, B.; Shaham-Niv, S.; Bychenko, D.; Adler-Abramovich, L.; Shimon, L.J.W.; Kolusheva, S.; DeGrado, W.F.; et al. Self-Assembling Dipeptide Antibacterial Nanostructures with Membrane Disrupting Activity. Nat. Commun. 2017, 8, 1365. [Google Scholar] [CrossRef]
- Chang, R.; Subramanian, K.; Wang, M.; Webster, T.J. Enhanced Antibacterial Properties of Self-Assembling Peptide Amphiphiles Functionalized with Heparin-Binding Cardin-Motifs. ACS Appl. Mater. Interfaces 2017, 9, 22350–22360. [Google Scholar] [CrossRef]
- Chen, W.; Yang, S.; Li, S.; Lang, J.C.; Mao, C.; Kroll, P.; Tang, L.; Dong, H. Self-Assembled Peptide Nanofibers Display Natural Antimicrobial Peptides to Selectively Kill Bacteria without Compromising Cytocompatibility. ACS Appl. Mater. Interfaces 2019, 11, 28681–28689. [Google Scholar] [CrossRef]
- Chen, T.; Lyu, Y.; Tan, M.; Yang, C.; Li, Y.; Shao, C.; Zhu, Y.; Shan, A. Fabrication of Supramolecular Antibacterial Nanofibers with Membrane-Disruptive Mechanism. J. Med. Chem. 2021, 64, 16480–16496. [Google Scholar] [CrossRef] [PubMed]
- Sykes, J.E. Canine and Feline Infectious Diseases; Elsevier Health Sciences: Amsterdam, The Netherlands, 2013. [Google Scholar]










| Compound | Amino Acid | Capping Group | X | Cationic Group | Gel Formation | CGC (w/v) |
|---|---|---|---|---|---|---|
| 1 | Phe | Naphthoyl | H | NH3+ | OG | 0.1 [30] |
| 2 | Phe | 2-B.P. | H | NH3+ | N | n/a |
| 3 | Phe | 3-B.P. | H | NH3+ | OG | 0.5% |
| 4 | Phe | 4-B.P. | H | NH3+ | OG | 0.5% |
| 5 | Phe | NH3+ | H | NH3+ | N | n/a |
| 6 | Trp | Naphthoyl | H | NH3+ | N | n/a |
| 7 | Trp | 4-B.P. | H | NH3+ | OG + P | 0.5% |
| 8 | Phe | NH3+ | Br | NH3+ | N | n/a |
| 9 | Phe | Naphthoyl | Br | NH3+ | N | n/a |
| 10 | Trp | Naphthoyl | Br | NH3+ | N | n/a |
| 11 | Phe | 3-B.P. | H | Lys2+ | N | n/a |
| 12 | Phe | 3-B.P. | H | Guan+ | N | n/a |
| Hydrogel | Ø (nm) |
|---|---|
| Cpd 1 Phe, Naphthoyl | 115 (±5) [30] |
| Cpd 3 Phe, 3′-Biphenyl | 26 (±3) |
| Cpd 4 Phe, 4′-Biphenyl | 48 (±6) |
| Cpd 7 Trp, 4′-Biphenyl | 38 (±5) |
Disclaimer/Publisher’s Note: The statements, opinions and data contained in all publications are solely those of the individual author(s) and contributor(s) and not of MDPI and/or the editor(s). MDPI and/or the editor(s) disclaim responsibility for any injury to people or property resulting from any ideas, methods, instructions or products referred to in the content. |
© 2025 by the authors. Licensee MDPI, Basel, Switzerland. This article is an open access article distributed under the terms and conditions of the Creative Commons Attribution (CC BY) license (https://creativecommons.org/licenses/by/4.0/).
Share and Cite
Attard, S.T.; Aldilla, V.R.; Kuppusamy, R.; Chen, R.; Black, D.S.; Thordarson, P.; Willcox, M.D.P.; Kumar, N. Tuning the Structure–Functional Properties Within Peptide-Mimicking Antimicrobial Hydrogels. Antibiotics 2025, 14, 1118. https://doi.org/10.3390/antibiotics14111118
Attard ST, Aldilla VR, Kuppusamy R, Chen R, Black DS, Thordarson P, Willcox MDP, Kumar N. Tuning the Structure–Functional Properties Within Peptide-Mimicking Antimicrobial Hydrogels. Antibiotics. 2025; 14(11):1118. https://doi.org/10.3390/antibiotics14111118
Chicago/Turabian StyleAttard, Samuel T., Vina R. Aldilla, Rajesh Kuppusamy, Renxun Chen, David StC Black, Pall Thordarson, Mark D. P. Willcox, and Naresh Kumar. 2025. "Tuning the Structure–Functional Properties Within Peptide-Mimicking Antimicrobial Hydrogels" Antibiotics 14, no. 11: 1118. https://doi.org/10.3390/antibiotics14111118
APA StyleAttard, S. T., Aldilla, V. R., Kuppusamy, R., Chen, R., Black, D. S., Thordarson, P., Willcox, M. D. P., & Kumar, N. (2025). Tuning the Structure–Functional Properties Within Peptide-Mimicking Antimicrobial Hydrogels. Antibiotics, 14(11), 1118. https://doi.org/10.3390/antibiotics14111118

