Variability in Biological Activities of Satureja montana Subsp. montana and Subsp. variegata Based on Different Extraction Methods
Abstract
:1. Introduction
2. Results
2.1. Chemical Composition
2.1.1. Volatile Compounds
2.1.2. Total Phenolic Content
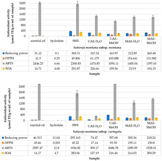
2.2. In Vitro Antioxidant Activity
2.3. In Vitro Antimicrobial Activity
3. Discussion
4. Materials and Methods
4.1. Plant Material
4.2. Extraction
4.2.1. Steam Distillation
4.2.2. Subcritical Water Extraction (SWE)
4.2.3. Ultrasound-Assisted Extraction (UAE)
4.2.4. Microwave-Assisted Extraction (MAE)
4.3. Chemical Analysis
4.4. In Vitro Examination of Antioxidant Activity
4.5. In Vitro Examination of Antimicrobial Activity
4.5.1. Test Microorganisms
4.5.2. Antimicrobial Screening
4.5.3. Minimal Inhibitory Concentrations
4.5.4. Pharmacodynamics Potential of Antimicrobials
Supplementary Materials
Author Contributions
Funding
Institutional Review Board Statement
Informed Consent Statement
Data Availability Statement
Conflicts of Interest
References
- Rezvanpanah, S.; Rezaei, K.H.; Razavi, S.; Moini, S. Use of microwave-assisted hydrodistillation to extract the essential oils from Satureja hortensis and Satureja montana. Food Sci. Technol. Res. 2008, 14, 311–314. [Google Scholar] [CrossRef]
- Dorman, H.; Hiltunen, R. Fe(III) reductive and free radical-scavenging properties of summer savory (Satureja hortensis L.) extract and subfractions. Food Chem. 2004, 88, 193–199. [Google Scholar] [CrossRef]
- Hajhashemi, V.; Ghannadi, A.; Pezeshkian, S. Antinociceptive and anti-inflammatory effects of Satureja hortensis L. extracts and essential oil. J. Ethnopharmacol. 2002, 82, 83–87. [Google Scholar] [CrossRef]
- Alan, Y.; Savci, A.; Çakmak, B.; Kurt, H. Determination of the antimicrobial and antioxidant activities of Satureja hortensis Ingredients. J. Nat. Appl. Sci. 2016, 21, 167–177. [Google Scholar]
- Valizadeh, S.; Fakheri, T.; Mahmoudi, R.; Katiraee, F.; Gajarbeygi, P. Evaluation of Antioxidant, Antibacterial, and Antifungal Properties of Satureja hortensis Essential Oil. Biotech. Health Sci. 2014, 1, e24733. [Google Scholar] [CrossRef]
- Dodoš, T.; Janković, S.; Marin, P.; Rajčević, N. Essential oil composition and micromorphological traits of Satureja montana L., S. subspicata Bartel ex Vis., and S. kitaibelii Wierzb. Ex Heuff. plant organs. Plants 2021, 10, 511. [Google Scholar] [CrossRef]
- Di Pietro, R. New dry grassland associations from the Ausoni-Aurunci Mountains (Central Italy)–syntaxonomical updating and discussion on the higher rank syntax. Hacquetia 2011, 10, 183–231. [Google Scholar] [CrossRef]
- Caprioli, G.; Lupidi, G.; Maggi, F. Comparison of chemical composition and antioxidant activities of two Winter savory subspecies (Satureja montana subsp. variegata and Satureja montana subsp. montana) cultivated in Northern Italy. Nat. Prod. Res. 2019, 33, 3143–3147. [Google Scholar] [CrossRef]
- Tomaselli, V.; Silletti, G.; Forte, L. A new association of Satureja montana L. subsp. montana dominated garrigues in Puglia (SE Italy). Plant Sociol. 2021, 58, 1–14. [Google Scholar]
- Stoilova, I.; Bail, S.; Buchbauer, G.; Krastanov, A.; Stoyanova, A.; Schmidt, E.; Jirovetz, L. Chemical composition, olfactory evaluation and antioxidant effects of the essential oil of Satureja montana L. Nat. Prod. Commun. 2008, 3, 1035–1042. [Google Scholar] [CrossRef]
- Lumpert, M.; Kreft, S. Folk use of medicinal plants in Karst and Gorjanci, Slovenia. J. Ethnobiol. Ethnomedicine 2017, 13, 16. [Google Scholar] [CrossRef] [PubMed]
- Kustrak, D.; Kuftinec, J.; Blazevic, N.; Maffei, M. Comparison of the essential oil composition of two subspecies of Satureja montana. J. Essent. Oil Res. 1996, 8, 7–13. [Google Scholar] [CrossRef]
- Vidic, D.; Maksimovic, M.; Cavar, S.; Solic, M.E. Comparison of Essential Oil Profiles of Satureja montana L. and Endemic Satureja visianii Šilic. J. Essent. Oil-Bear. Plants 2009, 12, 273–281. [Google Scholar] [CrossRef]
- Kremer, D.; Kosir, I.J.; Koncic, M.Z.; Cerenak, A.; Potocnik, T.; Srecec, S.; Randić, M.; Kosalec, I. Antimicrobial and antioxidant properties of Satureja Montana L. and S. subspicata Vis. (Lamiaceae). Curr. Drug Targets 2015, 16, 1623–1633. [Google Scholar] [CrossRef] [PubMed]
- Redzic, S. Wild medicinal plants and their usage in traditional human therapy (Southern Bosnia and Herzegovina, W. Balkan). J. Med. Plant Res. 2010, 4, 1003–1027. [Google Scholar]
- Čopra-Janićijević, A.; Vidic, D.; Maksimović, M. Characterisation of Satureja montana L. essential oil and headspace volatiles. Nat. Volatiles Essent. Oils 2020, 7, 22–34. [Google Scholar] [CrossRef]
- Aćimović, M.; Todosijević, M.; Varga, A.; Kiprovski, B.; Tešević, V.; Čabarkapa, I.; Sikora, V. Bioactivity of essential oils from cultivated winter savory, sage and hyssop. Lek. Sirovine 2019, 39, 11–17. [Google Scholar] [CrossRef]
- Bezbradica, D.I.; Tomovic, J.M.; Vukasinovic, M.S.; Siler-Marinkovic, S.; Ristic, M.M. Composition and antimicrobial activity of essential oil of Satureja montana L. collected in Serbia and Montenegro. J. Essent. Oil Res. 2005, 17, 462–465. [Google Scholar] [CrossRef]
- Bojović, D.; Šoškić, M.; Tadić, V. Comparative study of chemical composition of the essential oils from Satureja cuneifolia Ten. and Satureja montana L., Lamiaceae collected at national park Lovćen, Montenegro. Studia Ubb. Chem. 2018, 63, 167–180. [Google Scholar] [CrossRef]
- Ibraliu, A.; Mi, X.; Elezi, F. Variation in essential oils to study the biodiversity in Satureja montana L. J. Med. Plant Res. 2011, 5, 2978–2989. [Google Scholar]
- Chizzola, R. Volatile oil composition of four populations of Satureja Montana L. from Southern France. Acta Hort. 2003, 598, 143–147. [Google Scholar] [CrossRef]
- Navarro-Rocha, J.; Andrés, M.F.; Díaz, C.E.; Burillo, J.; González-Coloma, A. Composition and biocidal properties of essential oil from pre-domesticated Spanish Satureja montana. Ind. Crops Prod. 2020, 145, 111958. [Google Scholar] [CrossRef]
- Sahin, F.; Karaman, I.; Gulluce, M.; Ogutcu, H.; Sengul, M.; Adiguzel, A.; Ozturk, S.; Kotan, R. Evaluation of antimicrobial activities of Satureja hortensis L. J. Ethnopharmacol. 2003, 87, 61–65. [Google Scholar] [CrossRef]
- Matejić, J.; Stefanović, N.; Ivković, M.; Živanović, N.; Marin, P.; Džamić, A. Traditional uses of autochthonous medicinal and ritual plants and other remedies for health in Eastern and South-Eastern Serbia. J. Ethnopharmacol. 2020, 261, 113186. [Google Scholar] [CrossRef] [PubMed]
- Ćetković, G.; Čanadanović-Brunet, J.; Đilas, S.; Tumbas, V.; Markov, S.; Cvetković, D. Antioxidant potential, lipid peroxidation inhibition and antimicrobial activities of Satureja montana L. subsp. kitaibelii extracts. Int. J. Mol. Sci. 2007, 8, 1013–1027. [Google Scholar] [CrossRef]
- Maccelli, A.; Vitanza, L.; Imbriano, A.; Fraschetti, C.; Filippi, A.; Goldoni, P.; Maurizi, L.; Ammendolia, M.G.; Crestoni, M.E.; Fornarini, S.; et al. Satureja montana L. essential oils: Chemical profiles/phytochemical screening, antimicrobial activity and O/W nanoemulsion formulations. Pharmaceutics 2020, 12, 7. [Google Scholar] [CrossRef]
- Aćimović, M.; Tešević, V.; Smiljanić, K.; Cvetković, M.; Stanković, J.; Kiprovski, B.; Sikora, V. Hydrolates–by-products of essential oil distillation: Chemical composition, biological activity and potential uses. Adv. Technol. 2020, 9, 54–70. [Google Scholar] [CrossRef]
- Zeljković, S.Ć.; Topčagić, A.; Požgan, F.; Štefane, B.; Tarkowski, P.; Maksimović, M. Antioxidant activity of natural and modified phenolic extracts from Satureja montana L. Ind. Crops Prod. 2015, 76, 1094–1099. [Google Scholar] [CrossRef]
- Santos, J.D.C.; Coelho, E.; Silva, R.; Passos, C.P.; Teixeira, P.; Henriques, I.; Coimbra, M.A. Chemical composition and antimicrobial activity of Satureja montana byproducts essential oils. Ind. Crops Prod. 2019, 137, 541–548. [Google Scholar] [CrossRef]
- Bezić, N.; Skočibušić, M.; Dunkić, V. Phytochemical composition and antimicrobial activity of Satureja montana L. and Satureja cuneifolia Ten. essential oils. Acta Bot. Croat. 2005, 64, 313–322. [Google Scholar]
- Marin, M.; Novaković, M.; Tešević, V.; Vučković, I.; Milojević, N.; Vuković-Gačić, B.; Marin, P. Antioxidative, antibacterial and antifungal activity of the essential oil of wild-growing Satureja montana L. from Dalmatia, Croatia. Flavour. Fragr. J. 2012, 27, 216–223. [Google Scholar] [CrossRef]
- Ciani, M.; Menghini, L.; Mariani, F.; Pagiotti, R.; Menghini, A.; Fatichenti, F. Antimicrobial Properties of Essential Oil of Satureja montana L. on Patho-Genic and Spoilage Yeasts. Biotechnol. Lett. 2000, 22, 1007–1010. [Google Scholar] [CrossRef]
- Mihajilov-Krstev, T.; Radnović, D.; Kitić, D.; Jovanović, V.; Mitić, V.; Stojanović-Radić, Z.; Zlatković, B. Chemical composition, antimicrobial, antioxidative and anticholinesterase activity of Satureja Montana L. ssp. montana essential oil. Open Life Sci. 2014, 9, 668–677. [Google Scholar] [CrossRef]
- Vitanza, L.; Maccelli, A.; Marazzato, M.; Scazzocchio, F.; Longhi, C. Satureja montana L. essential oil and its antimicrobial activity alone or in combination with gentamicin. Microb. Pathog. 2019, 126, 323–331. [Google Scholar] [CrossRef] [PubMed]
- Šeregelj, V.; Šovljanski, O.; Švarc-Gajić, J.; Cvanić, T.; Ranitović, A.; Vulić, J.; Aćimović, M. Modern green approaches for obtaining Satureja kitaibelii Wierzb. ex Heuff extracts with enhanced biological activity. J. Serb. Chem. Soc. 2022, 43. [Google Scholar] [CrossRef]
- Oussalah, M.; Caillet, S.; Saucier, L.; Lacroix, M. Antimicrobial effects of selected plant essential oils on the growth of a Pseudomonas putida strain isolated from meat. Meat Sci. 2006, 73, 236–244. [Google Scholar] [CrossRef]
- Serrano, C.; Matos, O.; Teixeira, B.; Ramos, C.; Neng, N.; Nogueira, J.; Nunes, M.L.; Marques, A. Antioxidant and antimicrobial activity of Satureja montana L. extracts. JSFA 2011, 9, 1554–1560. [Google Scholar] [CrossRef]
- Fraternale, D.; Giamperi, L.; Bucchini, A.; Ricci, D.; Epifano, F.; Genovese, S.; Curini, M. Chemical composition and antifungal activity of the essential oil of Satureja montana from central Italy. Chem. Nat. Compd. 2007, 43, 622–624. [Google Scholar] [CrossRef]
- Ivanovs, K.; Blumberga, D. Extraction of fish oil using green extraction methods: A short review. Energy Procedia 2017, 128, 477–483. [Google Scholar] [CrossRef]
- Giacometti, J.; Kovačević, D.B.; Putnik, P.; Gabrić, D.; Bilušić, T.; Krešić, G.; Stulić, V.; Barba, F.; Chemat, F.; Barbosa-Cánovas, G.; et al. Extraction of bioactive compounds and essential oils from mediterranean herbs by conventional and green innovative techniques: A review. Int. Food Res. J. 2018, 113, 245–262. [Google Scholar] [CrossRef]
- Azmin, S.; Manan, Z.; Alwi, S.; Chua, L.; Mustaffa, A.; Yunus, N. Herbal Processing and Extraction Technologies. Sep. Purif. Rev. 2016, 45, 305–320. [Google Scholar] [CrossRef]
- Shams, K.; Abdel-Azim, N.; Saleh, I.; Hegazy, M.; El-Missiry, M.; Hammouda, F. Green technology: Economically and environmentally innovative methods for extraction of medicinal & aromatic plants (MAP) in Egypt. J. Chem. Pharm. Res. 2015, 7, 1050–1074. [Google Scholar]
- Soquetta, M.; de Marsillac Terra, L.; Bastos, C.P. Green technologies for the extraction of bioactive compounds in fruits and vegetables, CyTA-J. Food 2018, 16, 400–412. [Google Scholar]
- Mašković, P.; Veličković, V.; Mitić, M.; Đurović, S.; Zeković, Z.; Radojković, M.; Cvetanović, A.; Švarc-Gajić, J.; Vujić, J. Summer savory extracts prepared by novel extraction methods resulted in enhanced biological activity. Ind. Crops Prod. 2017, 109, 875–881. [Google Scholar] [CrossRef]
- Carpentieri, S.; Soltanipour, F.; Ferrari, G.; Pataro, G.; Donsì, F. Emerging Green Techniques for the extraction of antioxidants from agri-food by-products as promising ingredients for the food industry. Antioxidants 2021, 10, 1417. [Google Scholar] [CrossRef] [PubMed]
- Picot-Allain, C.; Mahomoodally, M.; Ak, G.; Zengin, G. Conventional versus green extraction techniques—a comparative perspective. Curr. Opin. Food Sci. 2021, 40, 144–156. [Google Scholar] [CrossRef]
- Aćimović, M.; Lončar, B.; Jeremić, J.S.; Cvetković, M.; Pezo, L.; Pezo, M.; Todosijević, M.; Tešević, V. Weather conditions influence on lavandin essential oil and hydrolate quality. Horticulturae 2022, 8, 281. [Google Scholar] [CrossRef]
- Aćimović, M.; Lončar, B.; Pezo, M.; Jeremić, J.S.; Cvetković, M.; Rat, M.; Pezo, L. Volatile compounds of Nepeta nuda L. from Rtanj Mountain (Serbia). Horticulturae 2022, 8, 85. [Google Scholar] [CrossRef]
- Aćimović, M.; Pezo, L.; Zeremski, T.; Lončar, B.; Jeromela, A.M.; Jeremic, J.S.; Cvetković, M.; Sikora, V.; Ignjatov, M. Weather conditions influence on Hyssop Essential oil quality. Processes 2021, 9, 1152. [Google Scholar] [CrossRef]
- Dunkić, V.; Bezić, N.; Vuko, E.; Cukrov, D. Antiphytoviral Activity of Satureja montana L. ssp. variegata (Host) P. W. Ball essential oil and phenol compounds on CMV and TMV. Molecules 2010, 15, 6713–6721. [Google Scholar]
- Altemimi, A.; Lakhssassi, N.; Baharlouei, A.; Watson, D.G.; Lightfoot, D.A. Phytochemicals: Extraction, isolation, and identification of bioactive compounds from plant extracts. Plants 2017, 6, 42. [Google Scholar] [CrossRef] [PubMed]
- Cheng, Y.; Xue, F.; Yu, S.; Du, S.; Yang, Y. Subcritical water extraction of natural products. Molecules 2021, 26, 4004. [Google Scholar] [CrossRef] [PubMed]
- López-Cobo, A.; Gómez-Caravaca, A.M.; Švarc-Gajić, J.; Segura-Carretero, A.; Fernández-Gutiérrez, A. Determination of phenolic compounds and antioxidant activity of a Mediterranean plant: The case of Satureja montana subsp. kitaibelii. J. Funct. Foods 2015, 18, 1167–1178. [Google Scholar] [CrossRef]
- Kiokias, S.; Proestos, C.; Oreopoulou, V. Phenolic acids of plant origin—A review on their antioxidant activity in vitro (O/W Emulsion Systems) along with their in vivo health biochemical properties. Foods 2020, 9, 534. [Google Scholar] [CrossRef]
- Oyenihi, A.B.; Smith, C. Are polyphenol antioxidants at the root of medicinal plant anti-cancer success? J. Ethnopharmacol. 2019, 229, 54–72. [Google Scholar] [CrossRef] [PubMed]
- Granato, D.; Shahidi, F.; Wrolstad, R.; Kilmartin, P.; Melton, L.D.; Hidalgo, F.J.; Miyashita, K.; van Camp, J.; Alasalvar, C.; Ismail, A.B. Antioxidant activity, total phenolics and flavonoids contents: Should we ban in vitro screening methods? Food Chem. 2018, 264, 471–475. [Google Scholar] [CrossRef]
- Apak., R.; Güçlü, K.; Demirata, B.; Özyürek, M.; Çelik, S.E.; Bektaşoğlu, B.; Berker, K.I.; Özyurt, D. Comparative evaluation of various total antioxidant capacity assays applied to phenolic compounds with the CUPRAC assay. Molecules 2007, 12, 1496–1547. [Google Scholar] [CrossRef]
- Aćimović, M.; Šeregelj, V.; Šovljanski, O.; Šaponjac, V.T.; Gajić, J.Š.; Brezo-Borjan, T.; Pezo, L. In vitro antioxidant, antihyperglycemic, anti-inflammatory, and antimicrobial activity of Satureja kitaibelii Wierzb. ex Heuff. subcritical water extract. Ind. Crops Prod. 2021, 169, 113672. [Google Scholar] [CrossRef]
- Tariq, A.L.; Reyaz, A. Phytochemical analysis of Camellia sinensis leaves. IJDDR 2012, 4, 7–11. [Google Scholar]
- D’agostino, M.; Tesse, N.; Frippiat, J.P.; Machouart, M.; Debourgogne, A. Essential oils and their natural active compounds presenting antifungal properties. Molecules 2019, 24, 3713. [Google Scholar] [CrossRef]
- Silva, F.V.M.; Martins, A.; Salta, J.; Neng, N.R.; Nogueira, J.M.F.; Mira, D.; Gaspar, N.; Justino, J.; Grosso, C.; Urieta, J.S.; et al. Phytochemical profile and anticholinesterase and antimicrobial activities of supercritical versus conventional extracts of Satureja montana. J. Agric. Food Chem. 2009, 57, 11557–11563. [Google Scholar] [CrossRef] [PubMed]
- Kuriyama, T.; Karasawa, T.; Williams, D.W. Antimicrobial Chemotherapy. In Biofilms in Infection Prevention and Control; Percival, S.L., Williams, D.W., Randle, J., Cooper, T., Eds.; Academic Press: Cambridge, MA, USA, 2014; pp. 209–244. [Google Scholar]
- Slavik, R.S.; Jewesson, P.J. Selecting Antibacterials for Outpatient Parenteral Antimicrobial Therapy. Clin. Pharm. 2003, 42, 793–817. [Google Scholar] [CrossRef]
- Appiah, T.; Boakye, Y.D.; Agyare, C. Antimicrobial activities and time-kill kinetics of extracts of selected ghanaian mushrooms. Evid. Based. Complement. Alternat. Med. 2017, 2017, 4534350. [Google Scholar] [CrossRef] [PubMed]
- Aćimović, M.; Cvetković, M.; Jeremić, J.S.; Pezo, L.; Varga, A.; Čabarkapa, I.; Kiprovski, B. Biological activity and profiling of Salvia sclarea essential oil obtained by steam and hydrodistillation extraction methods via chemometric tools. Flavour. Fragr. J. 2022, 37, 20–32. [Google Scholar] [CrossRef]
- Aćimović, M.; Lončar, B.; Jeliazkov, V.; Pezo, L.; Ljujić, J.; Miljković, A.; Vujisić, L. Comparison of volatile compounds from clary sage (Salvia sclarea L.) verticillasters essential oil and hydrolate. J. Essent. Oil-Bear. Plants 2022, 25, 555–570. [Google Scholar] [CrossRef]
- Aćimović, M.; Šovljanski, O.; Šeregelj, V.; Pezo, L.; Zheljazkov, V.; Ljujić, J.; Tomić, A.; Ćetković, G.; Čanadanović-Brunet, J.; Miljković, A.; et al. Chemical composition, antioxidant, and antimicrobial activity of Dracocephalum moldavica L. essential oil and hydrolate. Plants 2022, 11, 941. [Google Scholar] [CrossRef] [PubMed]
- Aćimović, M.; Jeremić, J.S.; Todosijević, M.; Kiprovski, B.; Vidović, S.; Vladić, J.; Pezo, L. Comparative study of the essential oil and hydrosol composition of sweet wormwood (Artemisia annua L.) from Serbia. Chem. Biodivers. 2022, 19, e202100954. [Google Scholar] [CrossRef]
- González-Molina, E.; Moreno, D.A.; García-Viguera, C. Aronia-enriched lemon juice: A new highly antioxidant beverage. J. Agric. Food Chem. 2008, 56, 11327–11333. [Google Scholar] [CrossRef]
- Šaponjac, V.T.; Gironés-Vilaplana, A.; Djilas, S.; Mena, P.; Ćetković, G.; Moreno, D.A.; Krunić, M. Anthocyanin profiles and biological properties of caneberry (Rubuss pp.) press residues. JSFA 2014, 94, 2393–2400. [Google Scholar]
- Oyaizu, M. Studies on products of browning reaction–antioxidant activities of products of browning reaction prepared from glucosamine. Jpn. J. Nutr. 1986, 44, 307–315. [Google Scholar] [CrossRef] [Green Version]
- Girones-Vilaplana, A.; Valentão, P.; Moreno, D.A.; Ferreres, F.; García-Viguera, C.; Andrade, P.B. New beverages of lemon juice enriched with the exotic berries maqui, açaí, and blackthorn: Bioactive components and in vitro biological properties. J. Agric. Food Chem. 2012, 60, 6571–6580. [Google Scholar] [CrossRef]
- Micić, M.; Đurović, S.; Riabov, P.; Tomić, A.; Šovljanski, O.; Filip, S.; Tosti, T.; Dojčinović, B.; Božović, R.; Jovanović, D.; et al. Rosemary essential oils as a promising source of bioactive compounds: Chemical composition, thermal properties, biological activity, and gastronomical perspectives. Foods 2021, 10, 2734. [Google Scholar] [CrossRef] [PubMed]
- Ferro, B.E.; van Ingen, J.; Wattenberg, M.; van Soolingen, D.; Mouton, J.W. Time–kill kinetics of antibiotics active against rapidly growing mycobacteria. J. Antimicrob. Chemother. 2015, 70, 811–817. [Google Scholar] [CrossRef]
- Romano, A.; Toraldo, G.; Cavella, S.; Masi, P. Description of leavening of bread dough with mathematical modelling. J. Food Eng. 2007, 83, 142–148. [Google Scholar] [CrossRef]





| № | Compound | RI | Subsp. montana | Subsp. variegata | ||
|---|---|---|---|---|---|---|
| EO | HY | EO | HY | |||
| 1 | 2-methyl-Butanoic acid | 839 | - | 0.1 | - | - |
| 2 | α-Thujene | 924 | 0.3 | - | 1.1 | - |
| 3 | α-Pinene | 931 | 0.8 | - | 0.7 | - |
| 4 | Camphene | 945 | 0.4 | - | 0.4 | - |
| 5 | 1-Octen-3-ol | 974 | 1.6 | 1.3 | 1.0 | 0.7 |
| 6 | Myrcene | 988 | 0.9 | 1.4 | - | |
| 7 | 3-Octanol | 993 | 0.1 | 0.1 | - | 0.1 |
| 8 | α-Phellandrene | 1003 | 0.1 | - | 0.2 | - |
| 9 | δ-3-Carene | 1009 | 0.1 | - | 0.1 | - |
| 10 | α-Terpinene | 1014 | 1.4 | - | 1.7 | - |
| 11 | p-Cymene | 1023 | 32.3 | 0.5 | 10.7 | 0.3 |
| 12 | Limonene | 1026 | 1.0 | - | 0.7 | - |
| 13 | 1,8-Cineole | 1028 | 0.7 | 0.1 | 0.2 | tr |
| 14 | cis- β -Ocimene | 1034 | - | - | 0.1 | - |
| 15 | γ-Terpinene | 1055 | 10.5 | - | 7.3 | - |
| 16 | cis-Sabinene hydrate (IPP vs. OH) | 1063 | 0.1 | - | 0.4 | - |
| 17 | cis-Linalool oxide (furanoid) | 1070 | - | 0.1 | - | - |
| 18 | trans-Linalool oxide (furanoid) | 1087 | - | 0.1 | - | - |
| 19 | Terpinolene | 1086 | 0.1 | - | 0.1 | - |
| 20 | p-Cymenene | 1087 | 0.1 | - | - | - |
| 21 | Linalool | 1097 | 2.2 | 0.6 | 0.3 | 0.2 |
| 22 | Camphor | 1142 | 0.1 | tr | 0.1 | - |
| 23 | Menthone | 1151 | 0.1 | - | - | - |
| 24 | Borneol | 1163 | 2.1 | 1.0 | 1.1 | 0.3 |
| 25 | Menthol | 1169 | 0.5 | tr | - | - |
| 26 | Terpinen-4-ol | 1174 | 1.1 | 1.2 | 0.6 | 0.9 |
| 27 | α-Terpineol | 1188 | 0.2 | 0.1 | 0.2 | 0.2 |
| 28 | Thymol, methyl ether | 1233 | - | - | 0.1 | - |
| 29 | Cumin aldehyde | 1239 | 0.1 | - | - | - |
| 30 | Carvacrol, methyl ether | 1242 | 0.3 | - | 0.3 | - |
| 31 | Thymol | 1292 | 0.2 | 2.1 | 51.4 | 0.5 |
| 32 | Menthyl acetate | 1296 | 0.2 | - | - | - |
| 33 | Carvacrol | 1304 | 35.7 | 91.6 | 13.1 | 96.4 |
| 34 | Thymol acetate | 1352 | - | - | 0.1 | - |
| 35 | α-Ylangene | 1369 | 0.1 | - | - | - |
| 36 | α-Copaene | 1374 | 0.2 | - | - | - |
| 37 | β-Bourbonene | 1382 | 0.1 | - | tr | - |
| 38 | trans-Caryophyllene | 1417 | 2.1 | - | 2.1 | - |
| 39 | β-Copaene | 1426 | 0.1 | - | - | - |
| 40 | α-trans-Bergamotene | 1434 | 0.1 | - | - | - |
| 41 | Aromadendrene | 1437 | 0.1 | - | - | - |
| 42 | α-Humulene | 1452 | 0.1 | - | 0.1 | - |
| 43 | γ-Muurolene | 1475 | 0.3 | - | 0.1 | - |
| 44 | β-Selinene | 1485 | 0.1 | - | - | - |
| 45 | Viridiflorene | 1494 | 0.2 | - | - | - |
| 46 | α-Muurolene | 1499 | 0.1 | - | - | - |
| 47 | β-Bisabolene | 1507 | 0.9 | - | 3.1 | - |
| 48 | γ-Cadinene | 1513 | 0.2 | - | 0.1 | - |
| 49 | δ-Cadinene | 1522 | 0.5 | - | 0.1 | - |
| 50 | α-Calacorene | 1542 | 0.1 | - | - | - |
| 51 | Spathulenol | 1575 | tr * | - | - | - |
| 52 | Caryophyllene oxide | 1581 | 0.5 | - | 0.2 | - |
| S. montana | Microorganisms | |||||||
|---|---|---|---|---|---|---|---|---|
| Gram-Positive Bacteria | Gram-Negative Bacteria | Yeasts | ||||||
| Sample type | Subsp. | B. cereus ATCC 11778 | S. aureus ATCC 25923 | E. faecalis ATCC 19433 | E. coli ATCC 25922 | S. Typhimurium ATCC 13311 | S. cerevisiae ATCC 9763 | C. albicans ATCC 10231 |
| Essential oil | montana | 12.5 | 6.75 | 6.75 | 12.5 | 12.5 | 1.56 | 3.375 |
| variegata | 1.56 | 1.56 | 1.56 | 6.75 | 6.75 | 0.78 | 0.78 | |
| Hydrolate | montana | >100 * | 25 | 25 | ||||
| variegata | 12.5 | 12.5 | ||||||
| SWE | montana | 1.56 | >100 | |||||
| variegata | 6.75 | |||||||
| UAE-MeOH | montana | >100 | ||||||
| variegata | >100 | 50 | 50 | |||||
| UAE–H2O | montana | >100 | ||||||
| variegata | ||||||||
| MAE–MeOH | montana | |||||||
| variegata | ||||||||
| MAE–H2O | montana | |||||||
| variegata | ||||||||
| Sample | Microorganism | Regression Coefficient | ||||
|---|---|---|---|---|---|---|
| Subsp. | d | a | c | b | ||
| B. cereus | montana | 0.00 | 5.864 | 2.986 | 2.408 | |
| variegata | 0.00 | 6.057 | 2.314 | 2.503 | ||
| S. aureus | montana | 0.00 | 5.751 | 1.348 | 1.128 | |
| variegata | 0.00 | 5.943 | 2.238 | 2.240 | ||
| Essential oil | E. faecalis | montana | 0.00 | 5.559 | 3.683 | 2.386 |
| variegata | 0.00 | 5.573 | 3.753 | 6.435 | ||
| E. coli | montana | 0.00 | 5.724 | 3.182 | 1.965 | |
| variegata | 0.00 | 5.634 | 2.540 | 2.658 | ||
| S. Typhimurium | montana | 0.00 | 6.293 | 3.087 | 2.148 | |
| variegata | 0.00 | 6.247 | 1.344 | 2.174 | ||
| S. cerevisiae | montana | 0.00 | 5.627 | 9.551 | 2.452 | |
| variegata | 0.00 | 5.454 | 6.268 | 1.699 | ||
| C. albicans | montana | 0.00 | 5.745 | 10.017 | 2.472 | |
| variegata | 0.00 | 4.540 | 13.253 | 9.102 | ||
| Hydrolate | S. cerevisiae | montana | 0.00 | 5.221 | 11.737 | 1.468 |
| variegata | 0.00 | 5.026 | 15.569 | 2.012 | ||
| C. albicans | montana | 0.00 | 5.530 | 18.165 | 2.024 | |
| variegata | 0.00 | 5.280 | 17.690 | 2.011 | ||
| SWE | B. cereus | montana | 0.00 | 5.929 | 3.680 | 1.863 |
| variegata | 0.537 | 5.818 | 5.694 | 5.116 | ||
| UAE-MeOH | S. cerevisiae | variegata | 0.00 | 5.479 | 6.244 | 2.166 |
| C. albicans | variegata | 0.00 | 5.432 | 16.807 | 3.617 | |
Publisher’s Note: MDPI stays neutral with regard to jurisdictional claims in published maps and institutional affiliations. |
© 2022 by the authors. Licensee MDPI, Basel, Switzerland. This article is an open access article distributed under the terms and conditions of the Creative Commons Attribution (CC BY) license (https://creativecommons.org/licenses/by/4.0/).
Share and Cite
Aćimović, M.; Šovljanski, O.; Pezo, L.; Travičić, V.; Tomić, A.; Zheljazkov, V.D.; Ćetković, G.; Švarc-Gajić, J.; Brezo-Borjan, T.; Sofrenić, I. Variability in Biological Activities of Satureja montana Subsp. montana and Subsp. variegata Based on Different Extraction Methods. Antibiotics 2022, 11, 1235. https://doi.org/10.3390/antibiotics11091235
Aćimović M, Šovljanski O, Pezo L, Travičić V, Tomić A, Zheljazkov VD, Ćetković G, Švarc-Gajić J, Brezo-Borjan T, Sofrenić I. Variability in Biological Activities of Satureja montana Subsp. montana and Subsp. variegata Based on Different Extraction Methods. Antibiotics. 2022; 11(9):1235. https://doi.org/10.3390/antibiotics11091235
Chicago/Turabian StyleAćimović, Milica, Olja Šovljanski, Lato Pezo, Vanja Travičić, Ana Tomić, Valtcho D. Zheljazkov, Gordana Ćetković, Jaroslava Švarc-Gajić, Tanja Brezo-Borjan, and Ivana Sofrenić. 2022. "Variability in Biological Activities of Satureja montana Subsp. montana and Subsp. variegata Based on Different Extraction Methods" Antibiotics 11, no. 9: 1235. https://doi.org/10.3390/antibiotics11091235
APA StyleAćimović, M., Šovljanski, O., Pezo, L., Travičić, V., Tomić, A., Zheljazkov, V. D., Ćetković, G., Švarc-Gajić, J., Brezo-Borjan, T., & Sofrenić, I. (2022). Variability in Biological Activities of Satureja montana Subsp. montana and Subsp. variegata Based on Different Extraction Methods. Antibiotics, 11(9), 1235. https://doi.org/10.3390/antibiotics11091235

