Abstract
PatAB is an ABC bacterial transporter that facilitates the export of antibiotics and dyes. The overexpression of patAB genes conferring efflux-mediated fluoroquinolone resistance has been observed in several laboratory strains and clinical isolates of Streptococcus pneumoniae. Using transformation and whole-genome sequencing, we characterized the fluoroquinolone-resistance mechanism of one S. pneumoniae clinical isolate without mutations in the DNA topoisomerase genes. We identified the PatAB fluoroquinolone efflux-pump as the mechanism conferring a low-level resistance to ciprofloxacin (8 µg/mL) and levofloxacin (4 µg/mL). Genetic transformation experiments with different amplimers revealed that the entire patA plus the 5’-terminus of patB are required for levofloxacin–efflux. By contrast, only the upstream region of the patAB operon, plus the region coding the N-terminus of PatA containing the G39D, T43A, V48A and D100N amino acid changes, are sufficient to confer a ciprofloxacin–efflux phenotype, thus suggesting differences between fluoroquinolones in their binding and/or translocation pathways. In addition, we identified a novel single mutation responsible for the constitutive and ciprofloxacin-inducible upregulation of patAB. This mutation is predicted to destabilize the putative rho-independent transcriptional terminator located upstream of patA, increasing transcription of downstream genes. This is the first report demonstrating the role of the PatAB transporter in levofloxacin–efflux in a pneumoccocal clinical isolate.
1. Introduction
Streptococcus pneumoniae (SPN) is a major cause of morbidity and mortality worldwide, and the main etiological agent of pneumonia, meningitis, septicemia, and acute otitis media [1]. Antibiotic resistance to traditionally effective drugs, such as β-lactams [2] or macrolides [3], is an increasing problem to treat pneumococcal infections in many countries [2,3,4,5]. The so-called respiratory fluoroquinolones (FQs), such as levofloxacin (LVX) and moxifloxacin, are active in the treatment of pneumococcal pneumonia and are currently used in adult patients [6,7,8]. However, the emergence of the FQ-resistant pneumococci is a growing concern and treatment failure may occur due to infection with a FQ-resistant strain or to the emergence of resistance during therapy [9]. The intracellular targets of FQs are the DNA topoisomerase enzymes topoisomerase IV and gyrase, which solve topological problems associated with replication, transcription and recombination [10]. Resistance to FQs is mainly due to alterations in the quinolone-resistance determining regions of their target topoisomerases, which are acquired either by point mutations, or by interspecific recombination with genetically related streptococci [11,12]. Low-level resistance to FQs can also be the result of active efflux. Although this mechanism usually leads to lower MICs than mutations in DNA topoisomerases [13,14,15], several studies suggest that efflux pumps are a requirement for the selection of FQ resistance in SPN [16].
Three different FQ-efflux pumps have been identified in SPN so far: PmrA, DinF and PatAB. PmrA (member of the major facilitator superfamily) was the first efflux pump shown to confer resistance to ciprofloxacin (CPX) and norfloxacin in SPN [17] and the deletion of the multi-antimicrobial extrusion DinF caused susceptibility to several FQs [18]. However, the only system shown to confer FQ-resistance in clinical isolates was PatAB. This pump belongs to the ATP-binding cassette superfamily (ABC-transporter) and is composed of two transporters encoded by patA and patB genes [19,20]. ABC-transporters are integral membrane proteins that actively transport chemically diverse substrates across the lipid bilayer [21] and include clinically relevant examples such as the human protein MDR1 (also known as P-glycoprotein) and MRP1, which confer resistance to anticancer cytotoxic compounds [22]. PatA and PatB proteins form a heterodimeric transporter, where both proteins have a transmembrane domain and an ATP binding domain [23].
Previous studies demonstrated that the inactivation of the PatAB transporter was associated with a hypersusceptibility to norfloxacin, CPX, acriflavine and ethidium bromide in SPN [20,24], and its homolog SatAB in Streptococcus suis was also involved in CPX efflux [25]. The constitutive overexpression of patA and patB genes has been observed in SPN laboratory strains and FQ-resistant clinical isolates [24]. Such an overexpression has been associated to mutations in the upstream region of patA, which affect formation of a rho-independent terminator [26,27]. In addition, it has been demonstrated that exposure to FQs and DNA damage strongly induces the expression of patA and patB [19,28]. Another regulator of the patAB expression in S. suis is the two-component system, CiaRH [29].
In this report, we study the mechanisms of FQ-resistance of the multidrug resistant pneumococcal isolate SPN1852. This isolate was obtained during 2006 in a study of the prevalence of FQ-resistance performed with 4215 pneumococci from 110 hospitals throughout Spain [30]. SPN1852 showed a low-level resistance to CPX and LVX. Here, we demonstrate that this low-level resistance is due to FQ efflux, since it is susceptible to reserpine (Res). Through genetic experiments and whole genome sequencing, we demonstrate that PatAB is responsible for this efflux phenotype. A novel single mutation in the upstream region of patAB, plus the region coding the N-terminus of PatA containing four amino acid changes, is sufficient to increase transcription and confer CPX-efflux in a sensitive strain. However, four additional amino acid changes in the N-terminus of PatB were required for LVX-efflux. Although previous studies have described the pump efflux associated to a resistance to CPX and norfloxacin in Streptococci [17,24,25,31,32], to our knowledge, this is the first report establishing the role of PatAB in levofloxacin–efflux in a pneumoccocal clinical isolate.
2. Results
2.1. Clinical Isolate 1852 Exhibits a Fluoroquinolone Efflux Phenotype
Clinical isolate SPN1852 was previously identified as S. pneumoniae (SPN) by standard methods, and the serotype 19A was determined by the Quellung reaction [30]. To better characterize this isolate, we performed multilocus-sequence-typing (MLST) following the seven housekeeping genes scheme included in SPN MLST [33]. Sequence analysis demonstrated a new allelic profile (aroE: 59; gdh: 473; gki: 666; recP: 490; spi: 313; xpt: 918 and ddl: 702) not described in the MLST database and, therefore, a new ST number was assigned, ST-17858.
The susceptibility of SPN1852 to a range of antibiotics was analyzed by agar-plate dilution, showing resistance to penicillin (0.5 µg/mL), tetracycline (64 µg/mL), and erythromycin (32 µg/mL). Regarding fluoroquinolones (FQs), SPN1852 showed a low-level resistance to ciprofloxacin (CPX) and levofloxacin (LVX) (MICs of 8 and 4 µg/mL, respectively), but was susceptible to moxifloxacin. This isolate did not carry mutations in the quinolone-resistance determining regions of their DNA topoisomerases [30]. To investigate whether its low-level FQ-resistance was associated to an efflux phenotype, we analyzed the susceptibility of the isolate to CPX and LVX in the presence or absence of the efflux-pump inhibitor Res and compared it to those of the susceptible laboratory strain, R6. As shown in Table 1, the MICs for the R6 strain of each antibiotic were equivalent, independently of the Res addition. By contrast, SPN1852 showed 4- (LVX) or 16-fold (CPX) higher MICs in the absence than in the presence of Res (Table 1). Since the concentration of Res used (20 µg/mL) was 3-fold lower than SPN MIC, no effect on growth was expected [34]. These results suggested the existence of a Res-sensitive efflux pump in SPN1852 able to extrude both CPX and LVX out of the cell.
Table 1.
Susceptibilities to FQs of SPN chromosomal transformants determined by blood–agar plate in the presence or in the absence of 20 µg/mL of Res, compared to R6 and SPN1852.
To identify the genes linked to this efflux-phenotype, strain R6 was transformed with chromosomal DNA of SPN1852, as described in the methods. Transformed cells were plated onto blood–agar plates containing 0.5 µg/µL of LVX. It yielded 88 CFUs (transformation efficiency 8.8 × 103 CFUs per mL and per µg). Susceptibility to LVX and CPX of seven of these transformants was assayed with or without Res and all of them exhibited an identical efflux phenotype than SPN1852 for both drugs (Table 1).
To confirm the presence of a CPX-efflux phenotype, the in vivo intracellular accumulation of CPX was measured in SPN1852, H4 and R6 strains, with and without Res. As expected, the accumulation of CPX in R6 was similar either in the presence or in the absence of Res (Figure 1). By contrast, in SPN1852 and transformant H4 a clear efflux phenotype was observed. The levels of intracellular CPX without Res in both strains were significantly lower than in R6, with reductions ranging between 2.2- and 5.2-fold. However, when Res was added to the culture, the levels of CPX were 1.9- to 4.0-fold higher than in non-treated cells (Figure 1), reaching a similar CPX accumulation than in R6. These results suggest the activity of the Res-sensitive PatAB transporter in pumping out CPX.
Figure 1.
Effect of Res on intracellular CPX-accumulation in SPN strains. Fluorometric measurement of intracellular accumulation of CPX in the indicated strains after 5 min incubation with the specified CPX concentrations either in the presence (dark gray bars) or in the absence (white bars) of 20 µg/mL Res. At least three independent replicates were conducted and mean values with and without Res of each strain were statistically compared using Student’s t-test (* p < 0.05; *** p < 0.005; **** p < 0.001).
2.2. PatAB Operon Is Responsible for FQ-Efflux in SPN1852
To identify mutations causing the FQ-efflux phenotype, whole genomes from transformants H4 and B9 were sequenced using Illumina technology. Sequence reads were aligned to the genome sequence of SPN R6 (accession number NC_003098.1) and variants identified with the GS Reference Mapper tool of the Newbler package. H4 transformant showed 706 nucleotide changes with respect to R6, while B9 showed 608 changes. After subtracting those changes present in our laboratory strain R6 [32], the changes attributed to the recombination event were 681 and 580 for H4 and B9, respectively (Table S1). In B9, all changes were located in a 12765-bp region, which covers from gltX to argS loci (Figure 2a), except for two point mutations located in SPR_RS02055 and in galU. In H4, the recombination occurred in two different regions, one located in a 5404-bp region covering fusA and polC genes containing 256 changes, and another region of 9152-bp with 423 changes, located in equivalent positions to the recombination region found at B9, covering pgi to argR (Figure 2a). The two remaining nucleotide changes corresponded to point mutations in SPR_RS01895 and SPR_RS05495. Therefore, H4 and B9 showed a common recombination region including genes pgi-guaA-patB-patA-hexA-argR. A similar region containing guaA-patB-patA-hexA was previously obtained in genetic transformation experiments performed with chromosomal DNA from a Streptococcus pseudopneumoniae (SPS) resistant clinical isolates [32], and patA and patB genes have been linked to CPX-efflux phenotypes in SPN and SPS [24,32]. Therefore, we ruled out the possible involvement of the remaining changes in the efflux phenotype and focused on the patAB operon.
Figure 2.
Genomic map of recombination regions and patAB sequence comparison. (a) Schematic representation of the regions in B9 and H4 compared to R6. Nucleotide divergence with respect to R6 in the genes (arrows) is indicated. Asterisks denote the recombination points on each transformant. The patA-patB intergenic region (IGRA-B) is labelled in R6 and its absence in SPN1852 and SPS type strain (SPST) is illustrated by a crosshatched line. (b) Comparison of patAB operon nucleotide sequence between R6, SPN1852, and SPST (NCBI reference sequence: NC_015875.1). Sequence starts at the first nucleotide after the stop codon of the upstream hexA gene. Nucleotide positions are indicated vertically above the sequence. Only differences with respect to R6 are shown. Nucleotides identical to R6 are illustrated by a dot and absent sites are represented by a dash. Sequences of H4 and B9 were identical to that of SPN1852. IGR between patA and patB (IGRA-B) is represented by (x) followed by the number of nucleotides not included in the sequence.
We determined by the Sanger method the sequence of a DNA fragment including the patA, patB and the hexA-patA intergenic region (IGR) in SPN1852 and transformants B9 and H4, and compared them to R6 and to the S. pseudopneumoniae type strain (SPST). Eight changes were found with respect to the Illumina method: Seven additional variations and one discrepancy (Table S1). Nevertheless, both transformants, B9 and H4, exhibited identical nucleotide sequences as the isolate SPN1852. This isolate demonstrated a nucleotide divergence lower than 7% when compared to R6, with 4.8% in the hexA-patA IGR, 5.8% in patA and 6.3% in patB (Figure 2). A similar divergence was observed between SPN1852 and SPST: 2.7% in the hexA-patA IGR, 4.8% in patA and 6.7% in patB. In addition, SPN1852 and SPST lacks a 773-bp fragment in the patA-patB IGR (IGR773), which is present in R6. Instead, the patA-patB IGR of SPN1852 and SPST consist in only one nucleotide (IGR1), suggesting that a recombination between SPN and SPS may have occurred in nature.
Regarding protein sequences, a multiple sequence alignment of PatA and PatB revealed a high sequence identity between SPN1852, R6 and SPST (Figure 3). In SPN1852, the PatA was longer than in R6 with four additional residues at the C-terminus and showed eight amino acid substitutions with respect to R6. The same differences were found at SPST PatA, which also demonstrated three additional amino acid changes. In the case of PatB, SPN1852 differed in 15 residues from R6. Most of the amino acid changes (11 out of 15) were also present in the SPST PatB, which showed 22 changes when compared to R6. Like other ABC-transporters, PatA and PatB contain two different domains (as predicted by InterPro database; https://www.ebi.ac.uk/interpro/ (accessed on 22 August 2022)): a highly conserved ATP-binding domain at the C-terminus, and a less conserved transmembrane domain at the N-terminus (Figure 4), in which six putative transmembrane alpha-helices (TMH) are predicted (using https://dtu.biolib.com/DeepTMHMM (accessed on 14 November 2022)) (Figure 3). None of the changes exhibited by SPN1852 PatA were located in the predicted transmembrane regions, while in PatB, four out of the six TMH showed amino acid changes with respect to the R6 protein. Nevertheless, these changes did not affect the transmembrane prediction and the same TMH were predicted for the SPN1852 and SPST PatB.

Figure 3.
Comparison of PatA (a) and PatB (b). Multiple sequence alignment of proteins from R6, SPN1852 and SPST. R6 was taken as reference. Identical residues in SPN1852 and SPST are illustrated by dots and only residues differing from R6 are shown. Predicted domains using ScanProsite (https://prosite.expasy.org/scanprosite/ (accessed on 22 August 2022)): transmembrane domain (green) and ATP-binding domain (blue). Transmembrane alpha-helixes (TMH) predicted by https://dtu.biolib.com/DeepTMHMM (accessed on 14 November 2022) are labeled in red and numbered from 1 to 6 in PatA, and from 7 to 12 in PatB. Extracellular (Out) and intracellular (In) loops are indicated.

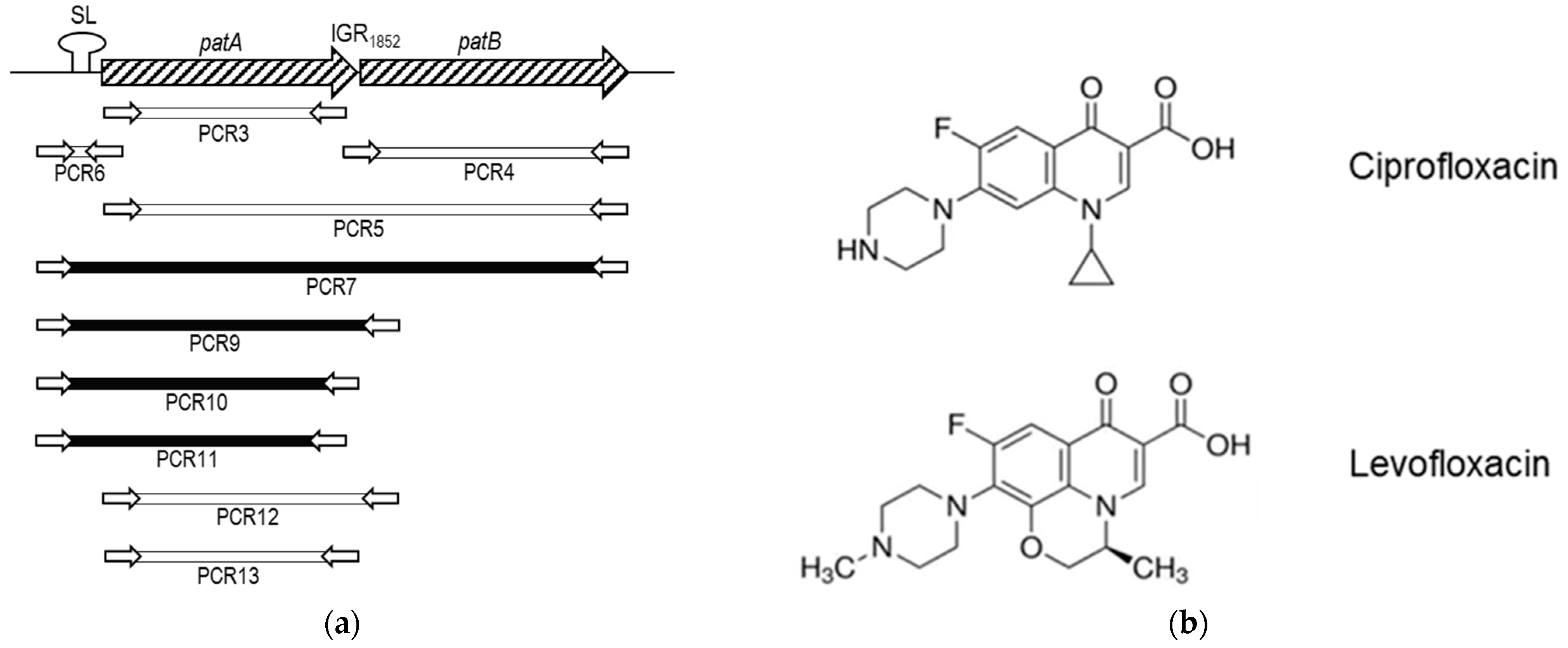
Figure 4.
R6 CPX-resistant transformants obtained with PCR fragments amplified from SPN1852. (a) Scheme of the patAB operon of SPN1852 and its upstream region, and the PCR amplimers used. Genes are represented by dashed arrows and the stem-loop (SL) in the upstream region is illustrated. PCR fragments used in transformation (rectangles) and the corresponding primers (white arrows, not drawn to scale) are shown. Those rendering CPX-resistant transformants are depicted in black; (b) chemical structures of ciprofloxacin and levofloxacin; (c) table showing the MICs for transformants of LVX and CPX in the presence (+R) or absence of Res. PCR fragments used as donors (1) and clone numbers (2) are indicated. SPN1852 amino acid changes present in PatA and PatB proteins of each transformant are shown.
2.3. Some Changes in PatA and PatB Are Dispensable for CPX- but Not for LVX- Efflux
To explore the contribution of PatA and PatB to the CPX and LVX-efflux phenotype observed in SPN1852, different PCR fragments, containing distinct regions of the patAB operon, were amplified from its chromosomal DNA (Figure 4a). These fragments were used as donor DNAs in transformation experiments using R6 as receptor, and transformants were selected with 1 µg/µL of CPX. Only PCRs 7, 9, 10, and 11, which include at least the upstream region of patAB and most of patA, rendered CPX-resistant transformants. PCR7 spans the whole patAB operon, while the shorter PCR9 contained only the first 299 nucleotides of patB. PCR10 includes the patA-IGR1-24 nucleotides of patB, and PCR11 carries the patA without 53 nucleotides of its 3’-end. Despite their differences, the transformation efficiencies obtained with these PCRs were similar and ranged from 1.1 to 4.9 × 103 CFUs per mL and per µg of DNA. No transformants were obtained with the other PCRs, not even with PCR6, containing the upstream region and the first 172 nucleotides of SPN1852 patA, nor with PCR5, which spans the whole patA and patB genes but lacks the upstream region. These results suggest that the patAB upstream region of SPN1852 is necessary but not sufficient to provide a CPX-resistance phenotype.
Six colonies of each transformation were selected for DNA sequencing, and their MICs of CPX and LVX with or without Res were determined (Figure 4b). The six transformants obtained with PCR7 exhibited the same CPX and LVX efflux phenotype, showing MICs similar to those of SPN1852. All of them harbor a patAB operon with a nucleotide sequence identical to SPN1852, except for patB, which differed between transformants. The shortest sequence of SPN1852 patB found corresponded to the first 252 nt, which include the four amino acid changes F16L, F30L, S33A and N55D with respect to R6 (PCR 7 transformant, clones 1 and 6). Regarding the transformants obtained with PCRs 9, 10 and 11, all of them shared with SPN1852 the upstream region and different parts of patA, but not patB or the IGR between both genes, which was identical to that of R6. All transformants showed a CPX efflux phenotype (with 4-fold higher MICs in the presence of Res than in its absence) but not to LVX, and the MICs were 2- to 4-fold lower than that obtained with the PCR7 transformants. These results suggest that for LVX-efflux, both the whole PatA and the N-terminus of PatB of SPN1852, including substitutions F16L, F30L, S33A and N55D, are necessary. By contrast, for the CPX-efflux, only the upstream region of patAB from SPN1852 and the region coding amino acid substitutions G39D, T43A, V48A and D100N in PatA are required.
2.4. A Single Mutation in the Stem-Loop Structure Upstream PatA Increased PatAB Expression
To investigate whether the loss of LVX-resistance was associated to differences in transcript levels, we measured the expression of patA and patB in one representative clone of transformations with PCR7 (PCR7_6), PCR9 (PCR9_6) and PCR11 (PCR11_2) and compared them with R6 and H4. It has been demonstrated that CPX induces the transcription of patAB in clinical isolates [19,28]. Therefore, we analyzed the transcript levels of patA and patB after 1 h of incubation with 30 × their MICs of CPX (Figure 5). Strain H4 showed higher levels of expression of both patA and patB than R6, with a 2.8- and 3.2-fold increment, respectively. Moreover, unlike R6, the treatment with CPX increased the expression levels of patA and patB up to 5.3 and 6.1 times, respectively. The three PCR transformants exhibited similar transcript levels to H4 at all conditions tested, showing a constitutive increment of patA and patB expression of about 2.5 times, and a CPX-inducible increment ranging between 4.2 and 6.1 times. Moreover, the levels of patB in transformant 7_6, containing the short IGR1, was equivalent to those in transformants 9_6 and 11_2, harboring the long IGR773, indicating that the expression of patB is not affected by the length of the IGR.
Figure 5.
CPX induces patAB expression in SPN. Strains were cultured until an OD620 = 0.2 and treated with 30 × MIC of CPX or non-treated for 1 h. MIC values considered for each strain were those detailed in Figure 4b. Total RNA was extracted and used in RT-qPCR. Fold-change of patA (black) and patB (gray) transcript levels were determined using the ΔΔCT method. (a) Transcript levels on each strain relative to R6 in the absence of CPX; (b) transcript levels in treated versus non-treated cultures for each strain. Values shown are the mean of at least three independent replicates (±SD). Statistical significance relative to the reference condition on each panel was tested by the t-test with significant data points being highlighted by asterisks (* p < 0.05; ** p < 0.01; *** p < 0.001; **** p < 0.0001).
Previous studies demonstrated that the CPX resistance in SPS and SPN was associated to the IGR hexA-patA, and postulated the formation of a stem-loop (SL) structure in this region responsible for CPX-induction of patAB expression [26,27,32]. Our transformation experiments also evidenced that the patAB upstream region of SPN1852 is essential for CPX-resistance. This isolate showed six mutations with respect to R6 in the hexA-patA IGR (Figure 6a). Two of them are located upstream the patA promoter, three are in the interspace between −35 and −10 promoter sequences, and one at position +31 from the transcriptional start site (+1). Sequence of the hexA-patA IGR in the three CPX-resistant transformants varied from total (7_6) to partial (9_6 and 11_2) identity to the sequence of SPN1852, but patAB transcription was similar in all of them regardless of the differences. Substitution of G (+31) by A was the only mutation present in all transformants. This mutation is located in the putative SL and may affects its stability. We used the RNA-fold program to predict the RNA structure and determine the folding free energy. The G(+ 31)→A mutation was predicted to destabilize the SL by increasing its free energy from −13.4 kcal/mol in R6 to −9.5 kcal/mol in SPN1852 (Figure 6b), which might ease the transcription of downstream genes.
Figure 6.
Sequence features of patAB upstream region. (a) Nucleotide sequence alignment of the intergenic region between hexA and patA of strains R6, SPN1852, and the indicated PCR transformants. R6 sequence is shown. Identical nucleotides are illustrated by a dot and only nucleotide differences are displayed. The putative −35 and extended −10 sequences of the promoter are underlined and the start codon (ATG) of patA is shown in boldface. The transcriptional start site (+1) identified previously [32] is indicated in bold, and the nucleotide sequence of the SL as predicted by RNA-fold is delimited by a gray rectangle. Asterisks denote location of mutations identified previously at the SL; (b) diagram showing the predicted secondary structure at the 5’-end of patA transcript of SPN1852 and SPNR6 strains by RNA-fold minimum free energy prediction. Bases are colored by structure according to the following scheme; green: stems, yellow: interior loops, blue: hairpin loops and orange: 5’ and 3’ unpaired region. The corresponding free energies are shown. G + 31→A mutation is labelled by an arrow.
3. Discussion
The PatAB multidrug efflux pump is involved in resistance to ciprofloxacin (CPX) and norfloxacin in clinical isolates of S. pneumoniae (SPN) [19,20,24,28,32], but its contribution to levofloxacin (LVX)–efflux phenotype had not yet been established. In this study, we demonstrated that the patAB operon of SPN1852 isolate is responsible for its reserpine (Res)-sensitive CPX and LVX low-level resistance (8 and 4 µg/mL, respectively). A DNA fragment amplified from SPN1852, containing patA and patB and their upstream region, was enough to transform the susceptible R6 strain into a CPX- and LVX-resistant strain with MICs similar to SPN1852. We identify a novel single mutation in the upstream patAB region causing constitutive and inducible upregulation of patA and patB genes. Our genetic studies demonstrate that the upstream region of patAB operon is essential for fluoroquinolone (FQ) resistance, since transformants resistant to CPX could only be selected with PCR fragments including this region. SPN1852 shows six mutations compared to R6 in this region (Figure 6b), but only the G(+31)→A substitution appears to be responsible for the FQ-resistance phenotype. This mutation destabilizes the predicted stem-loop (SL) structure upstream patA and is accompanied by a higher constitutive (2.1- to 2.8-fold increment) and CPX-inducible (4.2- to 6.1-fold increment) expression of the operon genes. The putative SL is followed by a run of thymine (T) residues and has been proposed to function as an attenuator [26,27]. Disruption of SL is predicted to reduce polymerase pausing and promote transcription to continue through downstream genes. In fact, additional single mutations previously identified were predicted to destabilized the SL, causing a constitutive upregulation of patAB [26,27,35,36]. Similarly, different insertions or deletions observed in two FQ-resistant isolates of S. pseudopneumoniae, were shown to enhance the CPX-induction of expression due to the reduced stability of the putative SL [32]. Altogether, these results provide a strong support for the hypothesis that the terminator structure upstream patA is important for the suppression of patAB expression, whose unfolding is necessary for transcription. Moreover, previous transcriptomic studies revealed that patAB genes are located in a chromosomal domain that is upregulated by global DNA changes of supercoiling [37,38], and the transcriptional response to CPX involves the upregulation of patAB [19]. It was previously proposed that CPX induces local changes in supercoiling, reducing the SL stability and allowing transcriptional read-through into patA [32]. On these basis, higher free energy of the SL due to mutations such as G(+31)→A, may ease disruption of the structure by DNA supercoiling, enhancing CPX-induction of expression.
Moreover, our studies revealed different requirements for LVX- and CPX-resistance. The shortest sequence from SPN1852 required for the LVX-efflux phenotype was carried by transformants 7_1 and 7_6. They contained the hexA-patA intergenic region (IGR), the entire patA and the first 252 nucleotides of patB, which encodes amino acid changes F16L, F30L, S33A, and N55D (L-L-A-D sequence). By contrast, only the hexA-patA IGR and the G39D, T43A, V48A and D100N amino acid changes of PatA (D-A-A-N motif) were sufficient to confer CPX-efflux phenotype. Other changes in PatA such as I318V, D382E, N428D, N536D, or the terminal GKEE residues, did not make any differences in FQ-resistance.
In addition to the L-L-A-D PatB sequence, transformants 7_1 and 7_6 contained the 1-nucleotide patA-patB IGR from SPN1852 (IGR1), instead of the longer 773-nucleotides IGR from R6 (IGR773). A role of this IGR in patB transcription could be expected. However, patB transcript levels in transformant 7_6, harboring the short IGR1, was the same as in transformants 9_6 and 11_2, which harbor the longer IGR773, and all of them showed similar levels to that of the chromosomal transformant, H4. This means that the differences in LVX-efflux may rely on the amino acid changes in PatB. Residues F16, F30 and S33 of R6 PatB are located in the predicted transmembrane helix 7 (TMH7), while residue N55 is part of the predicted extracellular loop that connects TMH7 and TMH8. Substitutions F16L, F30L and S33A in the SPN1852 protein can be considered conservative, and indeed do not affect the TMH prediction. However, residues from all TMHs are believed to contribute to the surface of drug translocation pathway across the membrane [39,40,41,42], and mutations in these residues could alter this process. In fact, the aromatic F has about a 12% larger hydrophobic surface area than L [43], and substitution of L by F in class A amphipathic helical peptide affected its interaction with lipids [44]. Moreover, substitution of the polar S33 by the non-polar A could also affect drug binding. Similarly, the role of extracellular connecting loops on drug recognition is still unknown, but the substitution of a positively by a negatively charged residue (N55D) could have an effect. Overall, our results demonstrate that differences in LVX binding and/or translocation pathway are due to the mutated residues.
In addition, transformants obtained with PCR9, 10 and 11 were resistant to CPX but not to LVX, but still exhibited the CPX-efflux phenotype. These transformants only acquired the hexA-patA IGR and different parts of the patA from SPN1852. The residual CPX-resistance phenotype might be due exclusively to the higher levels of expression caused by the mutation in the SL. However, a role of the D-A-A-N amino acid motif of PatA cannot be ruled out, since no resistant colonies lacking this sequence were obtained. Residues D-A-A of SPN1852 PatA are located in the extracellular loop connecting TMH1 and TMH2, while N is located in the intracellular loop connecting TMH2 and TMH3. It is known that ATP binding and hydrolysis in the nucleotide-binding domains generates conformational changes that are transmitted to the TM domains through non-covalent interactions at the shared interface, and that this transmission is mechanistically crucial. It has been demonstrated that the intracellular loop connecting TMH2 and TMH3 contributes to this interface in the ABC transporter Sav18665 of Staphylococcus aureus [45] and provides crucial contacts with the nucleotide-binding domain in the human MDR1 protein of the glycoprotein-P multidrug efflux pump [46]. These results suggest that the D100N change could affect the crosstalk between the nucleotide-binding and transmembrane domains in the pneumococcal PatAB, thus contributing to CPX-efflux. Consistent with this, when we transformed with PCR6, which includes the D-A-A amino acid sequence in PatA but no N100, we were not able to obtain transformants resistant to CPX, thus reinforcing the possible role of this residue.
Given the spread of resistance to penicillin and macrolides in SPN, the FQs LVX and moxifloxacin are used nowadays in the treatment of pneumococcal infections. Although FQ-resistance in this bacterium is not currently a problem, increase in resistance may occur in tandem with their increased use. The PatAB efflux pump confers low-level resistance to LVX, but its presence in clinical isolates could favor the appearance of topoisomerase mutations that confer high-level, clinically relevant, resistance [16]. Knowledge of the molecular bases of PatAB efflux pump, CPX and LVX efflux requirements and patAB transcription regulation is important for antibiotic therapy.
4. Materials and Methods
4.1. Bacterial Strains, Growth Condition and Transformation
Clinical isolate SPN1852 was previously obtained from the broncho-alveolar lavage of an adult patient with pneumonia and identified by standard methods [30]. Pneumococci were grown as static cultures in a casein hydrolase-based medium (AGCH) supplemented with 0.3% sucrose and 0.2% yeast extract (A + SY). Transformation of S. pneumoniae (SPN) R6 was performed, as previously described [32] using either 0.1 μg/mL of SPN1852 chromosome or 0.4 μg/mL of PCR fragments. Genomic transformants were plated in blood–agar plates containing 0.5 μg/mL LVX and colonies were counted after 24 h of growth at 37 °C in a 5% CO2 atmosphere. PCR transformants were plated in A + SY media plates with 1% agar containing 1 to 2 µg/mL of ciprofloxacin (CPX) and transformation was further verified by DNA sequencing.
4.2. MLST, Multilocus Sequence Analysis (MLSA)
Multilocus sequence typing (MLST) of AC1852 was carried out, as previously described [47]. Tentative allele number analysis was performed by comparing the sequences obtained to those in the pneumococcal MLST database using the PubMLST.org website [33]. The allelic combination obtained was assigned a new St number ST-17858.
4.3. Whole Genome Sequencing
R6 transformants H4 and B9 were subjected to whole genome sequencing. Genomic DNA samples were prepared from mid-log phase cultures using the CTAB protocol [48]. Libraries for Illumina sequencing were prepared following the transposon-mediated Nextera XT library preparation kit (Illumina, San Diego, CA, USA) and paired-end sequenced with a 2 × 150 protocol in an Illumina NextSeq 500 system. Comparison to reference sequence of S. pneumoniae R6 genome was performed using Newbler 3.0 (Roche, Basel, Switzerland) with fastq files from Illumina used as input sequences. Only changes with total variation percentage ≥ 90% and a total depth ≥ 20 were considered.
4.4. Gene and Protein Analysis
Nucleotide sequences were aligned using Clone Manager Suite 7. Protein alignment was performed with Clustal Omega. The RNA stem-loop structure was predicted using the RNA-fold web server (http://rna.tbi.univie.ac.at/cgi-bin/RNAWebSuite/RNAfold.cgi (accessed on 11 November 2022)).
4.5. PCR for Bacterial Transformation
PCR fragments for transformation of R6 were amplified using 2 units of Phusion Hot Start II DNA polymerase (Thermo Fisher, Waltham, MA, USA), 90 ng of SPN1852 genomic DNA, 200 μM of each dNTP and 0.5 μM of each primer (listed in Table 2) in a 50 μL final volume. Amplification was performed in a 3-step protocol with an initial denaturation step of 30 s at 98 °C, followed by 35 cycles of 10 s at 98 °C, 20 s at the optimal Tm for each primer pair and 30 s per kb at 72 °C, and a final extension of 10 min at 72 °C. Optimal annealing temperature for each primer pair was estimated using the website https://www.thermofisher.com/tmcalculator (accessed on 11 November 2022), as recommended by manufacturers. PCR fragments were purified from 0.8% agarose gel using NZYGelpure (Nzytech, Lisboa, Portugal) and quantified, prior to the transformation.
Table 2.
Oligonucleotides used in this study.
4.6. MIC Determination
MICs were determined by agar-dilution in Muller-Hinton agar plates supplemented with 5% defibrinated sheep blood according to the CLSI guidelines [50]. The efflux inhibitor reserpine (Res) [17,24] was used at a final concentration of 20 μg/mL, which has been demonstrated to inhibit ethidium bromide, acriflavine, and CPX efflux in the streptococci of the mitis group [31].
4.7. Intracellular Fluoroquinolone Accumulation Measurement
Accumulation of CPX on each strain was measured by fluorescence essentially, as previously described [51]. Briefly, a 100 mL culture was grown at 37 °C in A + SY medium up to an OD620 = 0.5 and concentrated 20-fold in 0.1 M sodium phosphate with a pH of 7.0. The suspension was equilibrated for 10 min at 37 °C either in the presence or in the absence of 20 μg/mL Res. At this point, the 10 μL sample was taken and serial dilutions were plated in blood–agar plates for further colony counting. Different concentrations of the antibiotic were added to 0.5 mL of the sample and suspensions were incubated at 37 °C for 5 min. Reaction was stopped by adding 2.5 mL of ice-cold 0.1 M sodium phosphate and immediate centrifugation. Cell pellet was suspended with 1 mL of 0.1 M glycine pH 3.0 and incubated for 16 h at room temperature to achieve cell lysis. Samples were centrifuged and antibiotic concentration in the supernatant was measured by fluorescence spectroscopy at 279 nm (excitation wavelength) and 447 nm (emission wavelength). Fluorescence was compared to a standard curve for each antibiotic and accumulation data were converted into ng of CPX per CFU.
4.8. RNA Isolation and Quantitative Real-Time PCR
Overnight cultures of R6 were diluted in pre-warmed A + SY up to a final OD650 = 0.015, and incubated at 37 °C until OD650 ≈ 0.2. Five mL were withdrawn and incubated for an additional hour with 30× MIC of CPX for each strain, or without antibiotic. Cells were harvested by centrifugation (10 min, 8000× g, 4 °C); the pellet was immediately immersed in liquid nitrogen and stored at −80 °C until needed. RNA extraction was performed using RNeasy Mini-Kit and DNA was removed through on-column digestion with RNase-Free DNase Set (both from Qiagen). RNA integrity was evaluated by gel electrophoresis and its concentration determined using a Nanodrop 1000 spectrophotometer (Nanodrop Technologies). Reverse transcription reactions were performed with the SuperScript III First-Strand Synthesis System for RT-qPCR (Invitrogen) using 2 µg of total RNA and 50 ng/µL of random hexamers, as previously described [52]. A mock cDNA synthesis reaction was performed, with the reverse transcriptase replaced by water. The primer efficiency was determined (≥98%) and quantitative PCR reactions were performed, as previously described [53] in the LightCycler ® 480 System (Roche Applied Science) using 1 µL of cDNA, 0.25 µM of each primer (listed in Table 2) and 5 µL of SsoAdvanced Universal SYBR Green Supermix (BIO-RAD) in a 10 µL final volume. Relative changes in the gene expression were calculated by the 2−∆∆Ct method, as previously described [54] using the 16S rRNA as an internal reference gene. Two technical and, at least, three biological replicates were performed.
Supplementary Materials
The following supporting information can be downloaded at: https://www.mdpi.com/article/10.3390/antibiotics11121837/s1, Table S1: Variant mapping of H4 and B9 transformants.
Author Contributions
Conceptualization, M.A. and A.G.d.l.C.; methodology, M.A. and A.G.d.l.C.; investigation, M.A.; data curation, M.A. and Á.Z.; writing—original draft preparation, M.A.; writing—review and editing, A.G.d.l.C. and Á.Z.; funding acquisition, and A.G.d.l.C. All authors have read and agreed to the published version of the manuscript.
Funding
This research was funded by Ministerio de Economía y Competitividad [grant BIO2017-82951-R] and Ministerio de Ciencia e Innovación, la Agencia y el Fondo Europeo de Desarrollo Regional (MCIN/AEI/10.13039/501100011033/FEDER, UE) [grant PID2021-124738OB-100].
Institutional Review Board Statement
Not applicable.
Informed Consent Statement
Not applicable.
Data Availability Statement
Illumina fastq files from H4 and B9 strains of S. pneumoniae were deposited in the NCBI’s Sequence Read Archive (accession number PRJNA903760) and can be found at https://www.ncbi.nlm.nih.gov/sra/PRJNA903760 (accessed on 22 November 2022). Nucleotide sequence of patAB operon from SPN1852 (OP903390), H4 (OP903391) and B9 (OP903392) obtained by the Sanger method were deposited in the NCBI’s GenBank.
Acknowledgments
We thank Maria José Ferrándiz (CNM, ISCIII, Madrid, Spain) for critical reading and Miguel Hernández-González (Crick Institute, London, UK) for critical reading and editing.
Conflicts of Interest
The authors declare no conflict of interest.
References
- O’Brien, K.L.; Wolfson, L.J.; Watt, J.P.; Henkle, E.; Deloria-Knoll, M.; McCall, N.; Lee, E.; Mulholland, K.; Levine, O.S.; Cherian, T. Burden of Disease Caused by Streptococcus pneumoniae in Children Younger than 5 Years: Global Estimates. Lancet 2009, 374, 893–902. [Google Scholar] [CrossRef] [PubMed]
- Jacobs, M.R.; Felmingham, D.; Appelbaum, P.C.; Grüneberg, R.N. Alexander Project Group The Alexander Project 1998–2000: Susceptibility of Pathogens Isolated from Community-Acquired Respiratory Tract Infection to Commonly Used Antimicrobial Agents. J. Antimicrob. Chemother. 2003, 52, 229–246. [Google Scholar] [CrossRef] [PubMed]
- Sahm, D.F.; Karlowsky, J.A.; Kelly, L.J.; Critchley, I.A.; Jones, M.E.; Thornsberry, C.; Mauriz, Y.; Kahn, J. Need for Annual Surveillance of Antimicrobial Resistance in Streptococcus pneumoniae in the United States: 2-Year Longitudinal Analysis. Antimicrob. Agents Chemother. 2001, 45, 1037–1042. [Google Scholar] [CrossRef] [PubMed][Green Version]
- Jenkins, S.G.; Brown, S.D.; Farrell, D.J. Trends in Antibacterial Resistance among Streptococcus pneumoniae Isolated in the USA: Update from PROTEKT US Years 1–4. Ann. Clin. Microbiol. Antimicrob. 2008, 7, 1. [Google Scholar] [CrossRef] [PubMed]
- Woodford, N.; Livermore, D.M. Infections Caused by Gram-Positive Bacteria: A Review of the Global Challenge. J. Infect. 2009, 59, S4–S16. [Google Scholar] [CrossRef]
- Van Bambeke, F.; Michot, J.-M.; Van Eldere, J.; Tulkens, P.M. Quinolones in 2005: An Update. Clin. Microbiol. Infect. 2005, 11, 256–280. [Google Scholar] [CrossRef]
- Segreti, J.; House, H.R.; Siegel, R.E. Principles of Antibiotic Treatment of Community-Acquired Pneumonia in the Outpatient Setting. Am. J. Med. 2005, 118, 21–28. [Google Scholar] [CrossRef]
- Luján, M.; Gallego, M.; Rello, J. Optimal Therapy for Severe Pneumococcal Community-Acquired Pneumonia. Intensive Care Med. 2006, 32, 971–980. [Google Scholar] [CrossRef]
- Fuller, J.D.; Low, D.E. A Review of Streptococcus pneumoniae Infection Treatment Failures Associated with Fluoroquinolone Resistance. Clin. Infect. Dis. 2005, 41, 118–121. [Google Scholar] [CrossRef]
- Champoux, J.J. DNA Topoisomerases: Structure, Function, and Mechanism. Annu. Rev. Biochem. 2001, 70, 369–413. [Google Scholar] [CrossRef]
- Balsalobre, L.; Ferrándiz, M.J.; Liñares, J.; Tubau, F.; de la Campa, A.G. Viridans Group Streptococci Are Donors in Horizontal Transfer of Topoisomerase IV Genes to Streptococcus pneumoniae. Antimicrob. Agents Chemother. 2003, 47, 2072–2081. [Google Scholar] [CrossRef] [PubMed]
- Ferrándiz, M.J.; Fenoll, A.; Liñares, J.; de la Campa, A.G. Horizontal Transfer of parC and gyrA in Fluoroquinolone-Resistant Clinical Isolates of Streptococcus pneumoniae. Antimicrob. Agents Chemother. 2000, 44, 840–847. [Google Scholar] [CrossRef] [PubMed]
- Baranova, N.N.; Neyfakh, A.A. Apparent Involvement of a Multidrug Transporter in the Fluoroquinolone Resistance of Streptococcus pneumoniae. Antimicrob. Agents Chemother. 1997, 41, 1396–1398. [Google Scholar] [CrossRef] [PubMed][Green Version]
- Brenwald, N.P.; Gill, M.J.; Wise, R. Prevalence of a Putative Efflux Mechanism among Fluoroquinolone-Resistant Clinical Isolates of Streptococcus pneumoniae. Antimicrob. Agents Chemother. 1998, 42, 2032–2035. [Google Scholar] [CrossRef]
- Zeller, V.; Janoir, C.; Kitzis, M.D.; Gutmann, L.; Moreau, N.J. Active Efflux as a Mechanism of Resistance to Ciprofloxacin in Streptococcus pneumoniae. Antimicrob. Agents Chemother. 1997, 41, 1973–1978. [Google Scholar] [CrossRef]
- Jumbe, N.L.; Louie, A.; Miller, M.H.; Liu, W.; Deziel, M.R.; Tam, V.H.; Bachhawat, R.; Drusano, G.L. Quinolone Efflux Pumps Play a Central Role in Emergence of Fluoroquinolone Resistance in Streptococcus pneumoniae. Antimicrob. Agents Chemother. 2006, 50, 310–317. [Google Scholar] [CrossRef]
- Gill, M.J.; Brenwald, N.P.; Wise, R. Identification of an Efflux Pump Gene, pmrA, Associated with Fluoroquinolone Resistance in Streptococcus pneumoniae. Antimicrob. Agents Chemother. 1999, 43, 187–189. [Google Scholar] [CrossRef]
- Tocci, N.; Iannelli, F.; Bidossi, A.; Ciusa, M.L.; Decorosi, F.; Viti, C.; Pozzi, G.; Ricci, S.; Oggioni, M.R. Functional Analysis of Pneumococcal Drug Efflux Pumps Associates the MATE DinF Transporter with Quinolone Susceptibility. Antimicrob. Agents Chemother. 2013, 57, 248–253. [Google Scholar] [CrossRef]
- Marrer, E.; Schad, K.; Satoh, A.T.; Page, M.G.P.; Johnson, M.M.; Piddock, L.J.V. Involvement of the Putative ATP-Dependent Efflux Proteins PatA and PatB in Fluoroquinolone Resistance of a Multidrug-Resistant Mutant of Streptococcus pneumoniae. Antimicrob. Agents Chemother. 2006, 50, 685–693. [Google Scholar] [CrossRef]
- Robertson, G.T.; Doyle, T.B.; Lynch, A.S. Use of an Efflux-Deficient Streptococcus pneumoniae Strain Panel to Identify ABC-Class Multidrug Transporters Involved in Intrinsic Resistance to Antimicrobial Agents. Antimicrob. Agents Chemother. 2005, 49, 4781–4783. [Google Scholar] [CrossRef]
- Higgins, C.F. ABC Transporters: From Microorganisms to Man. Annu. Rev. Cell Biol. 1992, 8, 67–113. [Google Scholar] [CrossRef] [PubMed]
- Gottesman, M.M.; Ambudkar, S.V. Overview: ABC Transporters and Human Disease. J. Bioenerg. Biomembr. 2001, 33, 453–458. [Google Scholar] [CrossRef] [PubMed]
- Boncoeur, E.; Durmort, C.; Bernay, B.; Ebel, C.; Di Guilmi, A.M.; Croizé, J.; Vernet, T.; Jault, J.-M. PatA and PatB Form a Functional Heterodimeric ABC Multidrug Efflux Transporter Responsible for the Resistance of Streptococcus pneumoniae to Fluoroquinolones. Biochemistry 2012, 51, 7755–7765. [Google Scholar] [CrossRef] [PubMed]
- Garvey, M.I.; Baylay, A.J.; Wong, R.L.; Piddock, L.J.V. Overexpression of patA and patB, Which Encode ABC Transporters, Is Associated with Fluoroquinolone Resistance in Clinical Isolates of Streptococcus pneumoniae. Antimicrob. Agents Chemother. 2011, 55, 190–196. [Google Scholar] [CrossRef] [PubMed]
- Escudero, J.A.; San Millan, A.; Gutierrez, B.; Hidalgo, L.; La Ragione, R.M.; AbuOun, M.; Galimand, M.; Ferrándiz, M.J.; Domínguez, L.; de la Campa, A.G.; et al. Fluoroquinolone Efflux in Streptococcus suis Is Mediated by SatAB and Not by SmrA. Antimicrob. Agents Chemother. 2011, 55, 5850–5860. [Google Scholar] [CrossRef] [PubMed]
- Croucher, N.J.; Mitchell, A.M.; Gould, K.A.; Inverarity, D.; Barquist, L.; Feltwell, T.; Fookes, M.C.; Harris, S.R.; Dordel, J.; Salter, S.J.; et al. Dominant Role of Nucleotide Substitution in the Diversification of Serotype 3 Pneumococci over Decades and during a Single Infection. PLoS Genet. 2013, 9, e1003868. [Google Scholar] [CrossRef] [PubMed]
- Baylay, A.J.; Piddock, L.J.V. Clinically Relevant Fluoroquinolone Resistance due to Constitutive Overexpression of the PatAB ABC Transporter in Streptococcus pneumoniae Is Conferred by Disruption of a Transcriptional Attenuator. J. Antimicrob. Chemother. 2015, 70, 670–679. [Google Scholar] [CrossRef]
- El Garch, F.; Lismond, A.; Piddock, L.J.V.; Courvalin, P.; Tulkens, P.M.; Van Bambeke, F. Fluoroquinolones Induce the Expression of patA and patB, Which Encode ABC Efflux Pumps in Streptococcus pneumoniae. J. Antimicrob. Chemother. 2010, 65, 2076–2082. [Google Scholar] [CrossRef]
- Yang, X.; Peng, W.; Wang, N.; Dou, B.; Yang, F.; Chen, H.; Yuan, F.; Bei, W. Role of the Two-Component System CiaRH in the Regulation of Efflux Pump SatAB and Its Correlation with Fluoroquinolone Susceptibility. Microbiol. Spectr. 2022, 10. [Google Scholar] [CrossRef]
- de la Campa, A.G.; Ardanuy, C.; Balsalobre, L.; Pérez-Trallero, E.; Marimón, J.M.; Fenoll, A.; Liñares, J. Changes in Fluoroquinolone-Resistant Streptococcus pneumoniae after 7-Valent Conjugate Vaccination, Spain. Emerg. Infect. Dis. 2009, 15, 905–911. [Google Scholar] [CrossRef]
- Ferrándiz, M.J.; Oteo, J.; Aracil, B.; Gómez-Garcés, J.L.; de La Campa, A.G. Drug Efflux and parC Mutations Are Involved in Fluoroquinolone Resistance in Viridans Group Streptococci. Antimicrob. Agents Chemother. 1999, 43, 2520–2523. [Google Scholar] [CrossRef] [PubMed][Green Version]
- Alvarado, M.; Martín-Galiano, A.J.; Ferrándiz, M.J.; Zaballos, Á.; de la Campa, A.G. Upregulation of the PatAB Transporter Confers Fluoroquinolone Resistance to Streptococcus pseudopneumoniae. Front. Microbiol. 2017, 8, 2074. [Google Scholar] [CrossRef] [PubMed]
- Jolley, K.A.; Bray, J.E.; Maiden, M.C.J. Open-Access Bacterial Population Genomics: BIGSdb Software, the PubMLST.org Website and Their Applications. Wellcome Open Res. 2018, 3, 124. [Google Scholar] [CrossRef] [PubMed]
- Garvey, M.I.; Piddock, L.J.V. The Efflux Pump Inhibitor Reserpine Selects Multidrug-Resistant Streptococcus pneumoniae Strains That Overexpress the ABC Transporters PatA and PatB. Antimicrob. Agents Chemother. 2008, 52, 1677–1685. [Google Scholar] [CrossRef] [PubMed]
- Billal, D.S.; Feng, J.; Leprohon, P.; Légaré, D.; Ouellette, M. Whole Genome Analysis of Linezolid Resistance in Streptococcus pneumoniae Reveals Resistance and Compensatory Mutations. BMC Genom. 2011, 12, 1–10. [Google Scholar] [CrossRef]
- van Opijnen, T.; Camilli, A. A Fine Scale Phenotype–genotype Virulence Map of a Bacterial Pathogen. Genome Res. 2012, 22, 2541–2551. [Google Scholar] [CrossRef]
- Ferrandiz, M.-J.; Martin-Galiano, A.J.; Schvartzman, J.B.; de la Campa, A.G. The Genome of Streptococcus pneumoniae Is Organized in Topology-Reacting Gene Clusters. Nucleic Acids Res. 2010, 38, 3570–3581. [Google Scholar] [CrossRef]
- Ferrándiz, M.-J.; Martín-Galiano, A.J.; Arnanz, C.; Camacho-Soguero, I.; Tirado-Vélez, J.-M.; de la Campa, A.G. An Increase in Negative Supercoiling in Bacteria Reveals Topology-Reacting Gene Clusters and a Homeostatic Response Mediated by the DNA Topoisomerase I Gene. Nucleic Acids Res. 2016, gkw602. [Google Scholar] [CrossRef]
- Loo, T.W.; Clarke, D.M. The Transmembrane Domains of the Human Multidrug Resistance P-Glycoprotein Are Sufficient to Mediate Drug Binding and Trafficking to the Cell Surface. J. Biol. Chem. 1999, 274, 24759–24765. [Google Scholar] [CrossRef]
- Venter, H.; Shilling, R.A.; Velamakanni, S.; Balakrishnan, L.; van Veen, H.W. An ABC Transporter with a Secondary-Active Multidrug Translocator Domain. Nature 2003, 426, 866–870. [Google Scholar] [CrossRef]
- Singh, H.; Velamakanni, S.; Deery, M.J.; Howard, J.; Wei, S.L.; van Veen, H.W. ATP-Dependent Substrate Transport by the ABC Transporter MsbA Is Proton-Coupled. Nat. Commun. 2016, 7, 1–11. [Google Scholar] [CrossRef] [PubMed]
- Guffick, C.; Hsieh, P.; Ali, A.; Shi, W.; Howard, J.; Chinthapalli, D.K.; Kong, A.C.; Salaa, I.; Crouch, L.I.; Ansbro, M.R.; et al. Drug-dependent Inhibition of Nucleotide Hydrolysis in the Heterodimeric ABC Multidrug Transporter PatAB from Streptococcus pneumoniae. FEBS J. 2022, 289, 3770–3788. [Google Scholar] [CrossRef] [PubMed]
- Livingstone, J.R.; Spolar, R.S.; Record, M.T. Contribution to the Thermodynamics of Protein Folding from the Reduction in Water-Accessible Nonpolar Surface Area. Biochemistry 1991, 30, 4237–4244. [Google Scholar] [CrossRef] [PubMed]
- Mishra, V.K.; Palgunachari, M.N.; Krishna, N.R.; Glushka, J.; Segrest, J.P.; Anantharamaiah, G.M. Effect of Leucine to Phenylalanine Substitution on the Nonpolar Face of a Class A Amphipathic Helical Peptide on Its Interaction with Lipid. J. Biol. Chem. 2008, 283, 34393–34402. [Google Scholar] [CrossRef]
- Dawson, R.J.P.; Locher, K.P. Structure of a Bacterial Multidrug ABC Transporter. Nature 2006, 443, 180–185. [Google Scholar] [CrossRef]
- Currier, S.J.; Kane, S.E.; Willingham, M.C.; Cardarelli, C.O.; Pastan, I.; Gottesman, M.M. Identification of Residues in the First Cytoplasmic Loop of P-Glycoprotein Involved in the Function of Chimeric Human MDR1-MDR2 Transporters. J. Biol. Chem. 1992, 267, 25153–25159. [Google Scholar] [CrossRef]
- Enright, M.C.; Spratt, B.G. A Multilocus Sequence Typing Scheme for Streptococcus pneumoniae: Identification of Clones Associated with Serious Invasive Disease. Microbiol. Read. Engl. 1998, 144 Pt 11, 3049–3060. [Google Scholar] [CrossRef]
- Wilson, K. Preparation of Genomic DNA from Bacteria. In Current Protocols in Molecular Biology; Ausbel, F.M., Brent, R., Kingston, R.E., Moore, D.D., Seidman, J.G., Smith, J.A., Struhl, K., Eds.; John Wiley & Sons Inc.: New York, NY, USA, 1994. [Google Scholar]
- Acebo, P.; Martin-Galiano, A.J.; Navarro, S.; Zaballos, A.; Amblar, M. Identification of 88 Regulatory Small RNAs in the TIGR4 Strain of the Human Pathogen Streptococcus pneumoniae. RNA 2012, 18, 530–546. [Google Scholar] [CrossRef]
- Clinical and Laboratory Standards Institute. Performance Standards for Antimicrobial Susceptibility Testing; 18th Informational supplement; CLSI Document M100-S18; Clinical-and-Laboratory-Standards-Institute: Wayne, PA, USA, 2008. [Google Scholar]
- Brito, L.; Wilton, J.; Ferrándiz, M.J.; Gómez-Sanz, A.; de la Campa, A.G.; Amblar, M. Absence of tmRNA Has a Protective Effect against Fluoroquinolones in Streptococcus pneumoniae. Front. Microbiol. 2017, 7, 2164. [Google Scholar] [CrossRef]
- Acebo, P.; Herranz, C.; Espenberger, L.B.; Gómez-Sanz, A.; Terrón, M.C.; Luque, D.; Amblar, M. A Small Non-Coding RNA Modulates Expression of Pilus-1 Type in Streptococcus pneumoniae. Microorganisms 2021, 9, 1883. [Google Scholar] [CrossRef]
- Pérez-Boto, D.; Acebo, P.; García-Peña, F.J.; Abad, J.C.; Echeita, M.A.; Amblar, M. Isolation of a Point Mutation Associated with Altered Expression of the CmeABC Efflux Pump in a Multidrug-Resistant Campylobacter jejuni Population of Poultry Origin. J. Glob. Antimicrob. Resist. 2015, 3, 115–122. [Google Scholar] [CrossRef] [PubMed]
- Livak, K.J.; Schmittgen, T.D. Analysis of Relative Gene Expression Data Using Real-Time Quantitative PCR and the 2(-Delta Delta C(T)) Method. Methods 2001, 25, 402–408. [Google Scholar] [CrossRef] [PubMed]
Publisher’s Note: MDPI stays neutral with regard to jurisdictional claims in published maps and institutional affiliations. |
© 2022 by the authors. Licensee MDPI, Basel, Switzerland. This article is an open access article distributed under the terms and conditions of the Creative Commons Attribution (CC BY) license (https://creativecommons.org/licenses/by/4.0/).