Mill Scale-Derived Magnetite Nanoparticles: A Novel Substrate for Lactate Oxidase-Based Biosensors
Abstract
1. Introduction
2. Materials and Methods
2.1. Materials and Chemicals
2.2. Synthesis of Fe3O4 Nanoparticles
2.3. Synthesis of Fe3O4@PDA Nanoparticles
2.4. Lactate Oxidase Immobilization on the Fe3O4@PDA Nanoparticles
2.5. Fabrication of SPCE/Fe3O4@PDA-LOx Electrode
2.6. Physicochemical Analysis
2.7. Electrochemical Study
3. Results and Discussion
3.1. Morphological Characterization of Fe3O4 and Fe3O4@PDA
3.2. Colloidal Stability and Evaluation of Particle Size
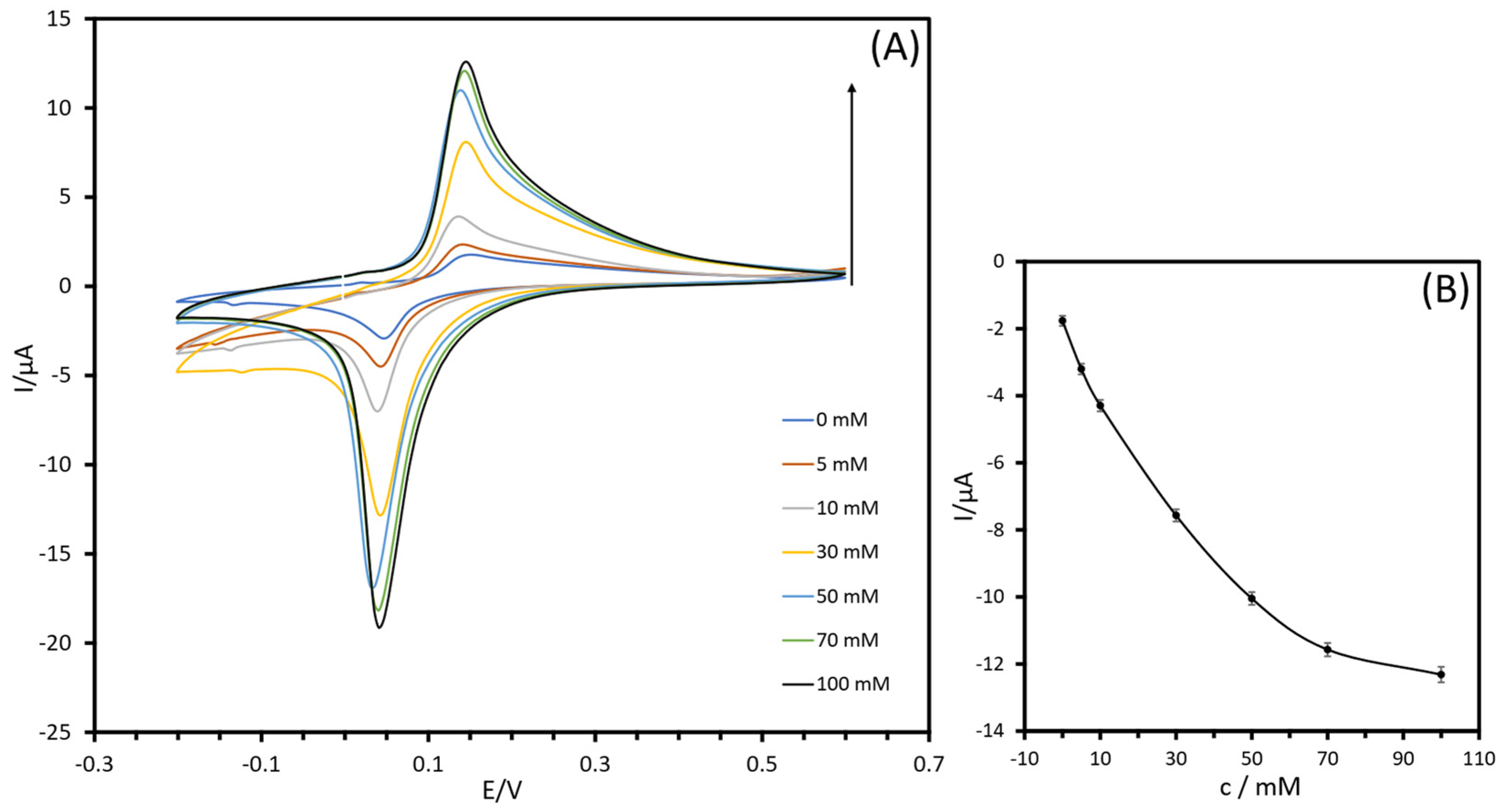
3.3. Electrochemical Study of SPCE-PB and SPCE-PB/Fe3O4@PDA-LOx-Modified Electrodes
4. Conclusions
Author Contributions
Funding
Institutional Review Board Statement
Informed Consent Statement
Data Availability Statement
Acknowledgments
Conflicts of Interest
References
- Annual Conference of Parties. 2021. Available online: https://www.cop21paris.org/ (accessed on 7 December 2021).
- Eissa, M.; Ahmed, A.; El-Fawkhry, M. Conversion of Mill Scale Waste into Valuable Products via Carbothermic Reduction. J. Metall. 2015, 2015, 926028. [Google Scholar] [CrossRef][Green Version]
- Iluiu-Varvara, D.A.; Aciu, C.; Tintelecan, M.; Sas-Boca, I.M. Assessment of Recycling Potential of the Steel Mill Scale in the Composition of Mortars for Sustainable Manufacturing. Procedia Manuf. 2020, 46, 131–135. [Google Scholar] [CrossRef]
- Al-Otaibi, S. Recycling Steel Mill Scale as Fine Aggregate in Cement Mortars. Eur. J. Sci. Res. 2008, 24, 332–338. [Google Scholar]
- Ganeshprabhu, P.; Chandrasekaran, P.; Sheerin Farzana, A. Engineering Behaviour of Sustainable Concrete with Steel Mill Scale. Pol. J. Environ. Stud. 2021, 30, 1129–1137. [Google Scholar] [CrossRef]
- Akhinesh, K.; Francis, J.G.; Junaid, K.T.; Jishnulal, K.; Joseph, J.N.; Neelancherry, R. Study of the Compressive Strength of Concrete with Various Proportions of Steel Mill Scale as Fine Aggregate. IOSR J. Mech. Civ. Eng. (IOSR-JMCE) 2015, 104–109, (e-ISSN: 2278-1684, p-ISSN: 2320-334X). [Google Scholar]
- Shen, L.; Qiao, Y.; Guo, Y.; Tan, J. Preparation and Formation Mechanism of Nano-Iron Oxide Black Pigment from Blast Furnace Flue Dust. Ceram. Int. 2013, 39, 737–744. [Google Scholar] [CrossRef]
- Dengxin, L.; Guolong, G.; Fanling, M.; Chong, J. Preparation of Nano-Iron Oxide Red Pigment Powders by Use of Cyanided Tailings. J. Hazard. Mater. 2008, 155, 369–377. [Google Scholar] [CrossRef]
- Legodi, M.A.; de Waal, D. The Preparation of Magnetite, Goethite, Hematite and Maghemite of Pigment Quality from Mill Scale Iron Waste. Dye. Pigment. 2007, 74, 161–168. [Google Scholar] [CrossRef]
- Shen, L.; Qiao, Y.; Guo, Y.; Tan, J. Preparation of Nanometer-Sized Black Iron Oxide Pigment by Recycling of Blast Furnace Flue Dust. J. Hazard. Mater. 2010, 177, 495–500. [Google Scholar] [CrossRef]
- Portes, P.; Trautmann, J.M.; Hoffner, D. Process for the Preparation of Pigment Grade Iron Oxides from Ferrous Sulphate and the Resulting Fe2O3 Pigments. U.S. Patent 4261966A, 14 April 1981. [Google Scholar]
- Low, K.O. Iron Oxide Pigments from Mill Scale. U.S. Patent 7347893B2, 25 March 2008. [Google Scholar]
- Shahid, M.K.; Phearom, S.; Choi, Y.G. Synthesis of Magnetite from Raw Mill Scale and Its Application for Arsenate Adsorption from Contaminated Water. Chemosphere 2018, 203, 90–95. [Google Scholar] [CrossRef]
- Shahid, M.K.; Choi, Y. Characterization and Application of Magnetite Particles, Synthesized by Reverse Coprecipitation Method in Open Air from Mill Scale. J. Magn. Magn. Mater. 2020, 495, 165823. [Google Scholar] [CrossRef]
- Predescu, A.M.; Matei, E.; Berbecaru, A.C.; Râpă, M.; Sohaciu, M.G.; Predescu, C.; Vidu, R. An Innovative Method of Converting Ferrous Mill Scale Wastes into Superparamagnetic Nanoadsorbents for Water Decontamination. Materials 2021, 14, 2539. [Google Scholar] [CrossRef] [PubMed]
- Unsoy, G.; Gunduz, U.; Oprea, O.; Ficai, D.; Sonmez, M.; Radulescu, M.; Alexie, M.; Ficai, A. Magnetite: From Synthesis to Applications. Curr. Top. Med. Chem. 2015, 15, 1622–1640. [Google Scholar] [CrossRef]
- Xie, J.; Huang, J.; Li, X.; Sun, S.; Chen, X. Iron Oxide Nanoparticle Platform for Biomedical Applications. Curr. Med. Chem. 2009, 16, 1278–1294. [Google Scholar] [CrossRef]
- Pan, Y.; Du, X.; Zhao, F.; Xu, B. Magnetic Nanoparticles for the Manipulation of Proteins and Cells. Chem. Soc. Rev. 2012, 41, 2912–2942. [Google Scholar] [CrossRef]
- Frimpong, R.A.; Hilt, J.Z. Magnetic Nanoparticles in Biomedicine: Synthesis, Functionalization and Applications. Nanomedicine 2010, 5, 1401–1414. [Google Scholar] [CrossRef]
- Colombo, M.; Carregal-Romero, S.; Casula, M.F.; Gutiérrez, L.; Morales, M.P.; Böhm, I.B.; Heverhagen, J.T.; Prosperi, D.; Parak, W.J. Biological Applications of Magnetic Nanoparticles. Chem. Soc. Rev. 2012, 41, 4306–4334. [Google Scholar] [CrossRef]
- Gao, L.; Fan, K.; Yan, X. Iron Oxide Nanozyme: A Multifunctional Enzyme Mimetic for Biomedical Applications. Theranostics 2017, 7, 3207–3227. [Google Scholar] [CrossRef] [PubMed]
- Alejo-Cancho, I.; Navero-Castillejos, J.; Peiró-Mestres, A.; Albarracín, R.; Barrachina, J.; Navarro, A.; Gonzalo, V.; Pastor, V.; Muñoz, J.; Martínez, M.J. Evaluation of a Novel Microfluidic Immunomagnetic Agglutination Assay Method for Detection of Dengue Virus NS1 Antigen. PLoS Negl. Trop. Dis. 2020, 14, e0008082. [Google Scholar] [CrossRef]
- Jaime, J.; Rangel, G.; Muñoz-Bonilla, A.; Mayoral, A.; Herrasti, P. Magnetite as a Platform Material in the Detection of Glucose, Ethanol and Cholesterol. Sens. Actuators B Chem. 2017, 238, 693–701. [Google Scholar] [CrossRef]
- del Barrio, M.; Moros, M.; Puertas, S.; de la Fuente, J.M.; Grazú, V.; Cebolla, V.; de Marcos, S.; Galbán, J. Glucose Oxidase Immobilized on Magnetic Nanoparticles: Nanobiosensors for Fluorescent Glucose Monitoring. Microchim. Acta 2017, 184, 1325–1333. [Google Scholar] [CrossRef]
- Singh, D.; Malik, K.; Sindhu, M.; Kumari, N.; Rani, V.; Mehta, S.; Malik, K.; Ranga, P.; Sharma, K.; Dhull, N.; et al. Biostimulation of Anaerobic Digestion Using Iron Oxide Nanoparticles (IONPs) for Increasing Biogas Production from Cattle Manure. Nanomaterials 2022, 12, 497. [Google Scholar] [CrossRef] [PubMed]
- Jia, W.; Bandodkar, A.J.; Valdés-Ramírez, G.; Windmiller, J.R.; Yang, Z.; Ramírez, J.; Chan, G.; Wang, J. Electrochemical Tattoo Biosensors for Real-Time Noninvasive Lactate Monitoring in Human Perspiration. Anal. Chem. 2013, 85, 6553–6560. [Google Scholar] [CrossRef] [PubMed]
- Lamas-Ardisana, P.J.; Loaiza, O.A.; Añorga, L.; Jubete, E.; Borghei, M.; Ruiz, V.; Ochoteco, E.; Cabañero, G.; Grande, H.J. Disposable Amperometric Biosensor Based on Lactate Oxidase Immobilised on Platinum Nanoparticle-Decorated Carbon Nanofiber and Poly(Diallyldimethylammonium Chloride) Films. Biosens. Bioelectron. 2014, 56, 345–351. [Google Scholar] [CrossRef] [PubMed]
- Chelliah, M.; Nesakumar, N.; Thandavan, K.; Sethuraman, S.; Krishnan, U.M.; Rayappan, J.B.B. An Electrochemical Biosensor with Nano-Interface for Lactate Detection Based on Lactate Dehydrogenase Immobilized on Iron Oxide Nanoparticles. Nanosci. Nanotechnol. Lett. 2014, 6, 242–249. [Google Scholar] [CrossRef]
- Sankhala, D.; Sardesai, A.U.; Pali, M.; Lin, K.C.; Jagannath, B.; Muthukumar, S.; Prasad, S. A Machine Learning-Based on-Demand Sweat Glucose Reporting Platform. Sci. Rep. 2022, 12, 2442. [Google Scholar] [CrossRef]
- Zafar, H.; Channa, A.; Jeoti, V.; Stojanović, G.M. Comprehensive Review on Wearable Sweat-Glucose Sensors for Continuous Glucose Monitoring. Sensors 2022, 22, 638. [Google Scholar] [CrossRef]
- Wang, B.; Zhao, C.; Wang, Z.; Yang, K.A.; Cheng, X.; Liu, W.; Yu, W.; Lin, S.; Zhao, Y.; Cheung, K.M.; et al. Wearable Aptamer-Field-Effect Transistor Sensing System for Noninvasive Cortisol Monitoring. Sci. Adv. 2022, 8, eabk0967. [Google Scholar] [CrossRef]
- McCaul, M.; Porter, A.; Barrett, R.; White, P.; Stroiescu, F.; Wallace, G.; Diamond, D. Wearable Platform for Real-time Monitoring of Sodium in Sweat. ChemPhysChem 2018, 19, 1531–1536. [Google Scholar] [CrossRef]
- Nyein, H.Y.Y.; Gao, W.; Shahpar, Z.; Emaminejad, S.; Challa, S.; Chen, K.; Fahad, H.M.; Tai, L.C.; Ota, H.; Davis, R.W.; et al. A Wearable Electrochemical Platform for Noninvasive Simultaneous Monitoring of Ca2+ and PH. ACS Nano 2016, 10, 7216–7224. [Google Scholar] [CrossRef]
- Luo, T.T.; Sun, Z.H.; Li, C.X.; Feng, J.L.; Xiao, Z.X.; Li, W.D. Monitor for Lactate in Perspiration. J. Physiol. Sci. 2021, 71, 26. [Google Scholar] [CrossRef]
- Garcia, S.O.; Ulyanova, Y.V.; Figueroa-Teran, R.; Bhatt, K.H.; Singhal, S.; Atanassov, P. Wearable Sensor System Powered by a Biofuel Cell for Detection of Lactate Levels in Sweat. ECS J. Solid State Sci. Technol. 2016, 5, M3075–M3081. [Google Scholar] [CrossRef]
- Imani, S.; Bandodkar, A.J.; Mohan, A.M.V.; Kumar, R.; Yu, S.; Wang, J.; Mercier, P.P. A Wearable Chemical-Electrophysiological Hybrid Biosensing System for Real-Time Health and Fitness Monitoring. Nat. Commun. 2016, 7, 11650. [Google Scholar] [CrossRef]
- Poletti, F.; Zanfrognini, B.; Favaretto, L.; Quintano, V.; Sun, J.; Treossi, E.; Melucci, M.; Palermo, V.; Zanardi, C. Continuous Capillary-Flow Sensing of Glucose and Lactate in Sweat with an Electrochemical Sensor Based on Functionalized Graphene Oxide. Sens. Actuators B Chem. 2021, 344, 130253. [Google Scholar] [CrossRef]
- Pribil, M.M.; Laptev, G.U.; Karyakina, E.E.; Karyakin, A.A. Noninvasive Hypoxia Monitor Based on Gene-Free Engineering of Lactate Oxidase for Analysis of Undiluted Sweat. Anal. Chem. 2014, 86, 5215–5219. [Google Scholar] [CrossRef]
- Xuan, X.; Pérez-Ràfols, C.; Chen, C.; Cuartero, M.; Crespo, G.A. Lactate Biosensing for Reliable On-Body Sweat Analysis. ACS Sens. 2021, 6, 2763–2771. [Google Scholar] [CrossRef]
- Istrate, O.M.; Rotariu, L.; Bala, C. Amperometric L-Lactate Biosensor Based upon a Gold Nanoparticles/Reduced Graphene Oxide/Polyallylamine Hydrochloride Modified Screen-Printed Graphite Electrode. Chemosensors 2021, 9, 74. [Google Scholar] [CrossRef]
- Huang, J.; Song, Z.; Li, J.; Yang, Y.; Shi, H.; Wu, B.; Anzai, J.-I.; Osa, T.; Chen, Q. A Highly-Sensitive l-Lactate Biosensor Based on Sol-Gel Film Combined with Multi-Walled Carbon Nanotubes (MWCNTs) Modified Electrode. Mater. Sci. Eng. C 2007, 27, 29–34. [Google Scholar] [CrossRef]
- Yan, Q.; Zhi, N.; Yang, L.; Xu, G.; Feng, Q.; Zhang, Q.; Sun, S. A Highly Sensitive Uric Acid Electrochemical Biosensor Based on a Nano-Cube Cuprous Oxide/Ferrocene/Uricase Modified Glassy Carbon Electrode. Sci. Rep. 2020, 10, 10607. [Google Scholar] [CrossRef] [PubMed]
- Dagar, K.; Pundir, C.S. An Improved Amperometric L-Lactate Biosensor Based on Covalent Immobilization of Microbial Lactate Oxidase onto Carboxylated Multiwalled Carbon Nanotubes/Copper Nanoparticles/Polyaniline Modified Pencil Graphite Electrode. Enzym. Microb. Technol. 2017, 96, 177–186. [Google Scholar] [CrossRef]
- Shankara Narayanan, J.; Slaughter, G. Lactic Acid Biosensor Based on Lactate Dehydrogenase Immobilized on Au Nanoparticle Modified Microwire Electrode. IEEE Sens. J. 2020, 20, 4034–4040. [Google Scholar] [CrossRef]
- Cosnier, S. Biosensors Based on Electropolymerized Films: New Trends. Anal. Bioanal. Chem. 2003, 377, 507–520. [Google Scholar] [CrossRef] [PubMed]
- Lee, H.; Dellatore, S.M.; Miller, W.M.; Messersmith, P.B. Mussel-Inspired Surface Chemistry for Multifunctional Coatings. Science 2007, 318, 426–430. [Google Scholar] [CrossRef]
- Wei, Q.; Zhang, F.; Li, J.; Li, B.; Zhao, C. Oxidant-Induced Dopamine Polymerization for Multifunctional Coatings. Polym. Chem. 2010, 1, 1430–1433. [Google Scholar] [CrossRef]
- Si, J.; Yang, H. Preparation and Characterization of Bio-Compatible Fe3O4@Polydopamine Spheres with Core/Shell Nanostructure. Mater. Chem. Phys. 2011, 128, 519–524. [Google Scholar] [CrossRef]
- Erden, P.E.; Zeybek, B.; Pekyardimc, Ş.; Kilic, E. Amperometric Carbon Paste Enzyme Electrodes with Fe3O4 Nanoparticles and 1, 4-Benzoquinone for Glucose Determination. Artif. Cells Nanomed. Biotechnol. 2013, 41, 165–171. [Google Scholar] [CrossRef]
- Yang, L.; Ren, X.; Tang, F.; Zhang, L. A Practical Glucose Biosensor Based on Fe3O4 Nanoparticles and Chitosan/Nafion Composite Film. Biosens. Bioelectron. 2009, 25, 889–895. [Google Scholar] [CrossRef]
- Turner, A.; Karube, I.; Wilson, G.S. Biosensors: Fundamentals and Applications; Oxford University Press: Oxford, UK, 1987. [Google Scholar]
- Freeman, D.M.E.; Ming, D.K.; Wilson, R.; Herzog, P.L.; Schulz, C.; Felice, A.K.G.; Chen, Y.C.; O’Hare, D.; Holmes, A.H.; Cass, A.E.G. Continuous Measurement of Lactate Concentration in Human Subjects through Direct Electron Transfer from Enzymes to Microneedle Electrodes. ACS Sens. 2023, 8, 1639–1647. [Google Scholar] [CrossRef]
- Robinson, P.K. Enzymes: Principles and Biotechnological Applications. Essays Biochem. 2015, 59, 1–41. [Google Scholar] [CrossRef]
- Shitanda, I.; Ozone, Y.; Morishita, Y.; Matsui, H.; Loew, N.; Motosuke, M.; Mukaimoto, T.; Kobayashi, M.; Mitsuhara, T.; Sugita, Y.; et al. Air-Bubble-Insensitive Microfluidic Lactate Biosensor for Continuous Monitoring of Lactate in Sweat. ACS Sens. 2023, 2023. 8, 2368–2374. [Google Scholar] [CrossRef]
- Khosravi, H.; Mehrdel, P.; Martínez, J.A.L.; Casals-Terré, J. Porous Cellulose Substrate Study to Improve the Performance of Diffusion-Based Ionic Strength Sensors. Membranes 2022, 12, 1074. [Google Scholar] [CrossRef] [PubMed]
- Goodwin, M.L.; Harris, J.E.; Hernández, A.; Gladden, L.B. Blood Lactate Measurements and Analysis during Exercise: A Guide for Clinicians. J. Diabetes Sci. Technol. 2007, 1, 558–569. [Google Scholar] [CrossRef]
- Mitsubayashi, K.; Suzuki, M.; Tamiya, E.; Karube, I. Analysis of Metabolites in Sweat as a Measure of Physical Condition The Increasing Desire to Naturally Enhance the Performance of Sportsmen and Athletes Through. Anal. Chiica Acta 1994, 289, 234. [Google Scholar] [CrossRef]
- Abrar, M.A.; Dong, Y.; Lee, P.K.; Kim, W.S. Bendable Electro-Chemical Lactate Sensor Printed with Silver Nano-Particles. Sci. Rep. 2016, 6, 30565. [Google Scholar] [CrossRef]
- Kanso, H.; Begoña González García, M.; Ma, S.; Ludwig, R.; Fanjul Bolado, P.; Hernández Santos, D. Dual Biosensor for Simultaneous Monitoring of Lactate and Glucose Based on Thin-Layer Flow Cell Screen-Printed Electrode. Electroanalysis 2017, 29, 87–92. [Google Scholar] [CrossRef]
- Hiraka, K.; Tsugawa, W.; Asano, R.; Yokus, M.A.; Ikebukuro, K.; Daniele, M.A.; Sode, K. Rational Design of Direct Electron Transfer Type L-Lactate Dehydrogenase for the Development of Multiplexed Biosensor. Biosens. Bioelectron. 2021, 176, 112933. [Google Scholar] [CrossRef]








| Sample | Zeta Potential (mV) | Average Size (nm) | Polydispersity Index (PdI) |
|---|---|---|---|
| Fe3O4 | −29.8 | 192.2 | 0.388 |
| Fe3O4@PDA | −17.3 | 463.7 | 0.469 |
| Electrode Modification | Solvent | Linear Range (mM) | Sensitivity | Potential Studied (V) | Ref. |
|---|---|---|---|---|---|
| SPCE-PB/Fe3O4@PDA-LOx | PBS (pH 7.4) | 0.1–4.62 4.62–149.21 | 1.54 0.08 | −0.15 | This work |
| SPE-PB/LOx + GO-Ch | Artificial sweat (pH 4.7) | 1–50 | 0.39 | +0.0 | [37] |
| SPE/GA-LDH/AuNPs-ERGO-PAH | PBS (pH 7.5) | 0.5–3 | 1.08 | +0.5 | [40] |
| Printed AgNPs/BSA-LOx | PBS (pH 7.4) | 1–20 | 0.26 | +0.65 | [58] |
| SPCE/Graphene/PB/PVA-SbQ-LOx | PBS (pH 7.4) | 0.25–5 | 1.64 | −0.1 | [59] |
| Au/CNT/b2LOxS/PEI-PEGDGE/CA | Artificial sweat (pH 5.4) | 0.5–20 | 0.41 | +0.15 | [60] |
Disclaimer/Publisher’s Note: The statements, opinions and data contained in all publications are solely those of the individual author(s) and contributor(s) and not of MDPI and/or the editor(s). MDPI and/or the editor(s) disclaim responsibility for any injury to people or property resulting from any ideas, methods, instructions or products referred to in the content. |
© 2023 by the authors. Licensee MDPI, Basel, Switzerland. This article is an open access article distributed under the terms and conditions of the Creative Commons Attribution (CC BY) license (https://creativecommons.org/licenses/by/4.0/).
Share and Cite
Khosravi, H.; Carreras-Gallo, O.; Casals-Terré, J. Mill Scale-Derived Magnetite Nanoparticles: A Novel Substrate for Lactate Oxidase-Based Biosensors. Biosensors 2023, 13, 957. https://doi.org/10.3390/bios13110957
Khosravi H, Carreras-Gallo O, Casals-Terré J. Mill Scale-Derived Magnetite Nanoparticles: A Novel Substrate for Lactate Oxidase-Based Biosensors. Biosensors. 2023; 13(11):957. https://doi.org/10.3390/bios13110957
Chicago/Turabian StyleKhosravi, Hamid, Oscar Carreras-Gallo, and Jasmina Casals-Terré. 2023. "Mill Scale-Derived Magnetite Nanoparticles: A Novel Substrate for Lactate Oxidase-Based Biosensors" Biosensors 13, no. 11: 957. https://doi.org/10.3390/bios13110957
APA StyleKhosravi, H., Carreras-Gallo, O., & Casals-Terré, J. (2023). Mill Scale-Derived Magnetite Nanoparticles: A Novel Substrate for Lactate Oxidase-Based Biosensors. Biosensors, 13(11), 957. https://doi.org/10.3390/bios13110957

