Thermal Boundary Characteristics of Homo-/Heterogeneous Interfaces
Abstract
1. Introduction
2. Methodology & Material Properties Estimation
2.1. Phenomenological-Theory (PT)
2.2. Reactive Force Field Molecular Dynamics
2.2.1. Force Field Selection
2.2.2. Thermal Conductivity with Steady State NEMD Method
2.2.3. Building the Interfacial Molecular System
3. Results
3.1. Non-Reactive Interfaces
3.2. Reactive Interfaces
4. Conclusions
Author Contributions
Funding
Acknowledgments
Conflicts of Interest
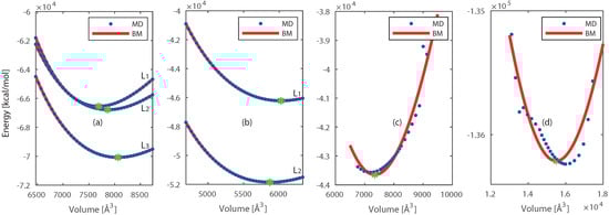
Appendix A. Birch-Murnaghan Equation of State Fitting Si & SiO2
| Reference Force Field | (GPa) | (Å3) | (kcal/mol) | Figure | ||
|---|---|---|---|---|---|---|
| Pt | [4] | 240 | 61.52 | −532.4 | 1.0 | Figure 2a L1 |
| [40] | 179 | 62.91 | −534.3 | 1.0 | Figure 2a L2 | |
| [29] | 166 | 64.52 | −560.6 | 1.0 | Figure 2a L3 | |
| Ni | [4] | 155 | 46.96 | −414.9 | 1.0 | Figure 2b L2 |
| [29] | 167 | 48.21 | −369.8 | 1.0 | Figure 2b L1 | |
| Si | [19] | 144 | 272.1 | −1617 | 0.92 | Figure 2c |
| [30] | 165 | 273.6 | −1611 | 0.88 | ||
| [31] | 292 | 252.9 | −1729 | 0.95 | ||
| [35] | 216 | 291.2 | −1675 | 0.53 | ||
| [29] | 295 | 265.7 | −2244 | 0.84 | ||
| [63] | 235 | 268.3 | −2206 | 0.95 | ||
| [34] | 334 | 255.2 | −1728 | 0.95 | ||
| [33] | 289 | 252.3 | −1730 | 0.95 | ||
| [32] | 334 | 255 | −1728 | 0.95 | ||
| SiO2 | [19] | 35 | 242.1 | −2128 | 0.83 | Figure 2d |
| [30] | 500 | 244.6 | −1847 | 0.60 | ||
| [31] | 33 | 260.0 | −1818.6 | 0.86 | ||
| [35] | 34 | 238.1 | −1793 | 0.98 | ||
| [29] | 47 | 244.7 | −1860 | 0.83 | ||
| [63] | 234 | 247.2 | −1828 | 0.78 | ||
| [34] | 331 | 263.4 | −1841 | 0.19 | ||
| [33] | 273 | 258.1 | −1837 | 0.16 | ||
| [32] | 331 | 263.4 | −1840 | 0.19 |
Appendix B. Finite Size Effects, Perpendicular to the Heat Flow
| System | Thermal Conductivity (W/mK) |
|---|---|
| 9.7 | |
| 8.0 | |
| 10.7 |
Appendix C. Influence of Mechanical Deformation of Slabs
| System | Lattice [a; b; c] (Å) | Deviation from Literature (%) |
|---|---|---|
| Pt-literature [36] | 3.9231; 3.9231; 3.9231 | - |
| Pt-EM ReaxFF | 3.9473; 3.9473; 3.9473 | +0.6 |
| Pt-EM ReaxFF + vacuum in z-direction | 3.9412; 3.9412; — | +0.5 |
| Pt-interface | 3.9192; 3.9192; — | −0.1 |
| Ni-literature [37] | 3.5238; 3.5238; 3.5238 | — |
| Ni-EM ReaxFF | 3.6122; 3.6122; 3.6122 | +2.5 |
| Ni-EM ReaxFF + vacuum in z-direction | 3.6048; 3.6048; — | +2.3 |
| Ni-interface | 3.5273; 3.5273; — | +0.1 |
| System | Lattice [a; b; c] (Å) | Deviation From Literature (%) |
|---|---|---|
| Si (bc8)-literature [38] | 6.636; 6.636; 6.636 | — |
| Si (bc8)-EM ReaxFF | 6.4393; 6.4393; 6.4393 | −2.9 |
| Si (bc8)-EM ReaxFF + vacuum in z-direction | 6.4383; 6.4046; — | −2.9; −43.5 |
| Si (bc8)-interface | 6.6273; 6.6273; — | −0.1 |
| SiO2-literature [39] | 4.964; 4.964; 6.920 | — |
| SiO2-EM ReaxFF | 5.0443; 5.0443; 7.0063 | +1.0 |
| SiO2-EM ReaxFF + vacuum in z-direction | 5.0443; 5.0443; — | +1.0 |
| SiO2-interface | 4.9705; 4.9705; — | +0.1 |
Appendix Influence of Stress on Thermal Conductivity
| Simulation | No Stress k (W/mK) | 1% Compression k (W/mK) | 1% Stretched k (W/mK) |
|---|---|---|---|
| 1 | 15.2 | 14.6 | 13.4 |
| 2 | 17.8 | 13.9 | 14.6 |
| 3 | 16.7 | 15.3 | 17.4 |
| 4 | 15.6 | 16.5 | 16.5 |
| Average | 16.3 ± 1.2 | 15.1 ± 1.1 | 15.5 ± 1.8 |
Appendix D. Comparison of Gradual and Instant Induced Temperature

Appendix E. Development of the Amorphous Si/SiO2 Interface

References
- Samvedi, V.; Tomar, V. The role of interface thermal boundary resistance in the overall thermal conductivity of Si—Ge multilayered structures. Nanotechnology 2009, 20, 365701. [Google Scholar] [CrossRef]
- Pilania, G.; Thijsse, B.J.; Hoagland, R.G.; Lazić, I.; Valone, S.M.; Liu, X.Y. Revisiting the Al/Al2O3 interface: Coherent interfaces and misfit accommodation. Sci. Rep. 2014, 4, 4485. [Google Scholar] [CrossRef] [PubMed]
- Kim, J.; Frijns, A.J.H.; Nedea, S.V.; van Steenhoven, A.A. Molecular simulation of water vapor outgassing from silica nanopores. Microfluid. Nanofluid. 2015, 19, 565–576. [Google Scholar] [CrossRef] [PubMed][Green Version]
- Mueller, J.E.; van Duin, A.C.T.; Goddard, W.A., III. Development and validation of ReaxFF reactive force field for hydrocarbon chemistry catalyzed by nickel. J. Phys. Chem. C 2010, 114, 4939–4949. [Google Scholar] [CrossRef]
- Majumdar, A.S.M.E. Microscale heat conduction in dielectric thin films. J. Heat Transf. 1993, 115, 7–16. [Google Scholar] [CrossRef]
- Schutze, J.; Ilgen, H.; Fahrner, W.R. An integrated micro cooling system for electronic circuits. IEEE Trans. Ind. Electron. 2001, 48, 281–285. [Google Scholar] [CrossRef]
- Nunzi, F.; Sgamellotti, A.; Coletti, C.; Re, N. Adsorption and Interfacial Chemistry of Pentacene on the Clean Si(100) Surface: A Density Functional Study. J. Phys. Chem. C 2008, 112, 6033–6048. [Google Scholar] [CrossRef]
- Giordano, D.; Solano-López, P.; Donoso, J.M. Exploratory numerical experiments with a macroscopic theory of interfacial interactions. CEAS Space J. 2017, 9, 257–277. [Google Scholar] [CrossRef]
- Dias, B.; Bariselli, F.; Turchi, A.; Frezzotti, A.; Chatelain, P.; Magin, T. Development of a melting model for meteors. AIP Conf. Proc. 2016, 1786, 160004. [Google Scholar]
- Merabia, S.; Termentzidis, K. Thermal conductance at the interface between crystals using equilibrium and nonequilibrium molecular dynamics. Phys. Rev. B 2012, 86, 094303. [Google Scholar] [CrossRef]
- Mahajan, S.S.; Subbarayan, G.; Sammakia, B.G. Estimating Kapitza Resistance Between Si–SiO2 Interface Using Molecular Dynamics Simulations. IEEE Trans. Compon. Packag. Manuf. Technol. 2011, 1, 1132–1139. [Google Scholar] [CrossRef]
- Deng, B.; Chernatynskiy, A.; Khafizov, M.; Hurley, D.H.; Phillpot, S.R. Kapitza resistance of Si/SiO2 interface. J. Appl. Phys. 2014, 115, 084910. [Google Scholar]
- Lampin, E.; Nguyen, Q.H.; Francioso, P.A.; Cleri, F. Thermal boundary resistance at silicon-silica interfaces by molecular dynamics simulations. Appl. Phys. Lett. 2012, 100, 131906. [Google Scholar] [CrossRef]
- Chen, J.; Zhang, G.; Li, B. Thermal contact resistance across nanoscale silicon dioxide and silicon interface. J. Appl. Phys. 2012, 112, 064319. [Google Scholar] [CrossRef]
- Zushi, T.; Ohmori, K.; Yamada, K.; Watanabe, T. Effect of a SiO2 layer on the thermal transport properties of <100> Si nanowires: A molecular dynamics study. Phys. Rev. B 2015, 91, 115308. [Google Scholar]
- Schelling, P.K.; Phillpot, S.R.; Keblinski, P. Comparison of atomic-level simulation methods for computing thermal conductivity. Phys. Rev. B 2002, 65, 144306. [Google Scholar] [CrossRef]
- Van Duin, A.C.T.; Dasgupta, S.; Lorant, F.; Goddard, W.A. ReaxFF: A Reactive Force Field for Hydrocarbons. J. Phys. Chem. A 2001, 105, 9396–9409. [Google Scholar] [CrossRef]
- Senftle, T.P.; Hong, S.; Islam, M.M.; Kylasa, S.B.; Zheng, Y.; Shin, Y.K.; Junkermeier, C.; Engel-Herbert, R.; Janik, M.J.; Aktulga, H.M.; et al. The ReaxFF reactive force-field: Development, applications and future directions. NPJ Comput. Mater. 2016, 2, 15011. [Google Scholar] [CrossRef]
- Kulkarni, A.D.; Truhlar, D.G.; Goverapet Srinivasan, S.; van Duin, A.C.T.; Norman, P.; Schwartzentruber, T.E. Oxygen interactions with silica surfaces: Coupled cluster and density functional investigation and the development of a new ReaxFF potential. J. Phys. Chem. C 2012, 117, 258–269. [Google Scholar] [CrossRef]
- Van Duin, A.C.; Strachan, A.; Stewman, S.; Zhang, Q.; Xu, X.; Goddard, W.A. ReaxFFSiO reactive force field for silicon and silicon oxide systems. J. Phys. Chem. A 2003, 107, 3803–3811. [Google Scholar] [CrossRef]
- Hurley, D.H.; Khafizov, M.; Shinde, S. Measurement of the Kapitza resistance across a bicrystal interface. J. Appl. Phys. 2011, 109, 083504. [Google Scholar] [CrossRef]
- Hu, C.; Kiene, M.; Ho, P.S. Thermal conductivity and interfacial thermal resistance of polymeric low k films. Appl. Phys. Lett. 2001, 79, 4121–4123. [Google Scholar] [CrossRef]
- Kapitza, P. Heat transfer and superfluidity of helium II. Phys. Rev. 1941, 60, 354. [Google Scholar] [CrossRef]
- Peterson, R.; Anderson, A. The Kapitza thermal boundary resistance. J. Low Temp. Phys. 1973, 11, 639–665. [Google Scholar] [CrossRef]
- Frenkel, D.; Smit, B. Understanding Molecular Simulation: From Algorithms To Applications, 2nd ed.; Academic Press: Cambridge, MA, USA, 2001. [Google Scholar]
- Pathak, A.D.; Nedea, S.; van Duin, A.C.T.; Zondag, H.; Rindt, C.; Smeulders, D. Reactive force field development for magnesium chloride hydrates and its application for seasonal heat storage. Phys. Chem. Chem. Phys. 2016, 18, 15838–15847. [Google Scholar] [CrossRef]
- Kim, J.; Iype, E.; Frijns, A.J.; Nedea, S.V.; van Steenhoven, A.A. Development of EEM based silicon–water and silica–water wall potentials for non-reactive molecular dynamics simulations. J. Comput. Phys. 2014, 268, 51–62. [Google Scholar] [CrossRef]
- Suek, N.W.; Guillaume, M.C.; Delannoy, J.Y.P.; Tielens, F. Characterization of hydroxylated amorphous silica: A numerical approach. Adsorption 2018, 24, 267–278. [Google Scholar] [CrossRef]
- Nielson, K.D.; van Duin, A.C.T.; Oxgaard, J.; Deng, W.Q.; Goddard, W.A., III. Development of the ReaxFF reactive force field for describing transition metal catalyzed reactions, with application to the initial stages of the catalytic formation of carbon nanotubes. J. Phys. Chem. A 2005, 109, 493–499. [Google Scholar] [CrossRef]
- Fogarty, J.C.; Aktulga, H.M.; Grama, A.Y.; Van Duin, A.C.T.; Pandit, S.A. A reactive molecular dynamics simulation of the silica-water interface. J. Chem. Phys. 2010, 132, 174704. [Google Scholar] [CrossRef]
- Narayanan, B.; van Duin, A.C.T.; Kappes, B.B.; Reimanis, I.E.; Ciobanu, C.V. A reactive force field for lithium–aluminum silicates with applications to eucryptite phases. Model. Simul. Mater. Sci. Eng. 2011, 20, 015002. [Google Scholar] [CrossRef]
- Castro-Marcano, F.; van Duin, A.C.T. Comparison of thermal and catalytic cracking of 1-heptene from ReaxFF reactive molecular dynamics simulations. Combust. Flame 2013, 160, 766–775. [Google Scholar] [CrossRef]
- Pitman, M.C.; Van Duin, A.C.T. Dynamics of confined reactive water in smectite clay–zeolite composites. J. Am. Chem. Soc. 2012, 134, 3042–3053. [Google Scholar] [CrossRef]
- Zou, C.; Van Duin, A.C.T. Investigation of Complex Iron Surface Catalytic Chemistry Using the ReaxFF Reactive Force Field Method. JOM 2012, 64, 1426–1437. [Google Scholar] [CrossRef]
- Newsome, D.A.; Sengupta, D.; Foroutan, H.; Russo, M.F.; van Duin, A.C.T. Oxidation of silicon carbide by O2 and H2O: A ReaxFF reactive molecular dynamics study, Part I. J. Phys. Chem. C 2012, 116, 16111–16121. [Google Scholar] [CrossRef]
- Wyckoff, R.W. Crystal Structures; Interscience Publishers: New York, NY, USA, 1963; p. 1. [Google Scholar]
- Swanson, H.E.; Tatge, E.; Fuyat, R.K. Standard X-ray Diffraction Powder Patterns; US Government Publishing Office: Washington, DC, USA, 1953.
- Kasper, J.S.; Richards, S.M. The crystal structures of new forms of silicon and germanium. Acta Crystallogr. 1964, 17, 752–755. [Google Scholar] [CrossRef]
- Nieuwenkamp, W. Die Kristallstruktur des Tief-Cristobalits SiO2. Z. Krist. Cryst. Mater. 1935, 92, 82–88. [Google Scholar] [CrossRef]
- Sanz-Navarro, C.F.; Åstrand, P.O.; Chen, D.; Rønning, M.; van Duin, A.C.T.; Jacob, T.; Goddard, W.A. Molecular dynamics simulations of the interactions between platinum clusters and carbon platelets. J. Phys. Chem. A 2008, 112, 1392–1402. [Google Scholar] [CrossRef] [PubMed]
- Murnaghan, F.D. The compressibility of media under extreme pressures. Proc. Natl. Acad. Sci. USA 1944, 30, 244–247. [Google Scholar] [CrossRef]
- Birch, F. Finite strain isotherm and velocities for single-crystal and polycrystalline NaCl at high pressures and 300 K. J. Geophys. Res. Solid Earth 1978, 83, 1257–1268. [Google Scholar] [CrossRef]
- Colonna, F.; Fasolino, A.; Meijer, E.J. High-pressure high-temperature equation of state of graphite from Monte Carlo simulations. Carbon 2011, 49, 364–368. [Google Scholar] [CrossRef]
- Holmes, N.C.; Moriarty, J.A.; Gathers, G.R.; Nellis, W.J. The equation of state of platinum to 660 GPa (6.6 Mbar). J. Appl. Phys. 1989, 66, 2962–2967. [Google Scholar] [CrossRef]
- Chen, B.; Penwell, D.; Kruger, M.B. The compressibility of nanocrystalline nickel. Solid State Commun. 2000, 115, 191–194. [Google Scholar] [CrossRef]
- Tian, Y.; Du, J.; Han, W.; Zu, X.; Yuan, X.; Zheng, W. Thermal conductivity of vitreous silica from molecular dynamics simulations: The effects of force field, heat flux and system size. J. Chem. Phys. 2017, 146, 054504. [Google Scholar] [CrossRef] [PubMed]
- Bernstein, N.; Mehl, M.J.; Papaconstantopoulos, D.A.; Papanicolaou, N.I.; Bazant, M.Z.; Kaxiras, E. Energetic, vibrational, and electronic properties of silicon using a nonorthogonal tight-binding model. Phys. Rev. B 2000, 62, 4477–4487. [Google Scholar] [CrossRef]
- Liu, L. Bulk moduli of SiO2 polymorphs: Quartz, coesite and stishovite. Mech. Mater. 1993, 14, 283–290. [Google Scholar] [CrossRef]
- Mashreghi, A. Determining the volume thermal expansion coefficient of TiO2 nanoparticle by molecular dynamics simulation. Comput. Mater. Sci. 2012, 62, 60–64. [Google Scholar] [CrossRef]
- Bolz, R.E. CRC Handbook of Tables for Applied Engineering Science; CRC Press: Boca Raton, FL, USA, 1973. [Google Scholar]
- Kollie, T.G. Measurement of the thermal-expansion coefficient of nickel from 300 to 1000 K and determination of the power-law constants near the Curie temperature. Phys. Rev. B 1977, 16, 4872. [Google Scholar] [CrossRef]
- Chantrenne, P.; Barrat, J.L. Finite size effects in determination of thermal conductivities: Comparing molecular dynamics results with simple models. J. Heat Transf. 2004, 126, 577–585. [Google Scholar] [CrossRef]
- Stackhouse, S.; Stixrude, L. Theoretical methods for calculating the lattice thermal conductivity of minerals. Rev. Mineral. Geochem. 2010, 71, 253–269. [Google Scholar] [CrossRef]
- Zhou, X.W.; Aubry, S.; Jones, R.E.; Greenstein, A.; Schelling, P.K. Towards more accurate molecular dynamics calculation of thermal conductivity: Case study of GaN bulk crystals. Phys. Rev. B 2009, 79, 115201. [Google Scholar] [CrossRef]
- Heino, P.; Ristolainen, E. Thermal conduction at the nanoscale in some metals by MD. Microelectron. J. 2003, 34, 773–777. [Google Scholar] [CrossRef]
- Chen, G. Nanoscale Energy Transport and Conversion: A Parallel Treatment of Electrons, Molecules, Phonons, and Photons; Oxford University Press: Oxford, UK, 2005. [Google Scholar]
- Dames, C.; Chen, G. Theoretical phonon thermal conductivity of Si/Ge superlattice nanowires. J. Appl. Phys. 2004, 95, 682–693. [Google Scholar] [CrossRef]
- Lide, D.R. CRC Handbook of Chemistry and Physics; CRC Press: Boca Raton, FL, USA, 2003. [Google Scholar]
- Berendsen, H.J.C. A Student’s Guide to Data and Error Analysis; Cambridge University Press: Cambridge, UK, 2011. [Google Scholar]
- Islam, M.M.; Kolesov, G.; Verstraelen, T.; Kaxiras, E.; van Duin, A.C. eReaxFF: A pseudoclassical treatment of explicit electrons within reactive force field simulations. J. Chem. Theory Comput. 2016, 12, 3463–3472. [Google Scholar] [CrossRef] [PubMed]
- Tromp, R.; Rubloff, G.W.; Balk, P.; LeGoues, F.K.; van Loenen, E.J. High-Temperature SiO2 Decomposition at the SiO2/Si Interface. Phys. Rev. Lett. 1985, 55, 2332. [Google Scholar] [CrossRef] [PubMed]
- Hopcroft, M.A.; Nix, W.D.; Kenny, T.W. What is the Young’s Modulus of Silicon? J. Microelectromech. Syst. 2010, 19, 229–238. [Google Scholar] [CrossRef]
- Rahnamoun, A.; van Duin, A.C.T. Reactive Molecular Dynamics Simulation on the Disintegration of Kapton, POSS Polyimide, Amorphous Silica, and Teflon during Atomic Oxygen Impact Using the Reaxff Reactive Force-Field Method. J. Phys. Chem. A 2014, 118, 2780–2787. [Google Scholar] [CrossRef]









| Element | (m3/m3K) |
|---|---|
| Pt | 2.0 (2.7 [50]) |
| Ni | 3.2 (3.9 [51]) |
| System | Conductivity Pt (W/mK) | Conductivity Ni (W/mK) |
|---|---|---|
| 3 × 3 × 24 | ||
| 3 × 3 × 36 | — | |
| 3 × 3 × 60 | — | |
| 3 × 3 × 84 | ||
| 3 × 3 × 108 | ||
| 3 × 3 × 132 | — | |
| 3 × 3 × 156 | — | |
| Extrapolated | ||
| Literature | 71.6 [58] | 90.7 [58] |
| Case | (K) | (K) | Temperature Jump, (K) | TBR |
|---|---|---|---|---|
| 1 | 100 | 150 | 12.8 | |
| 2 | 300 | 350 | 9.7 | |
| 3 | 800 | 850 | 7.8 | |
| 4 | 1700 → 100 | 1700 → 150 | 16.6 |
© 2019 by the authors. Licensee MDPI, Basel, Switzerland. This article is an open access article distributed under the terms and conditions of the Creative Commons Attribution (CC BY) license (http://creativecommons.org/licenses/by/4.0/).
Share and Cite
Heijmans, K.; Pathak, A.D.; Solano-López, P.; Giordano, D.; Nedea, S.; Smeulders, D. Thermal Boundary Characteristics of Homo-/Heterogeneous Interfaces. Nanomaterials 2019, 9, 663. https://doi.org/10.3390/nano9050663
Heijmans K, Pathak AD, Solano-López P, Giordano D, Nedea S, Smeulders D. Thermal Boundary Characteristics of Homo-/Heterogeneous Interfaces. Nanomaterials. 2019; 9(5):663. https://doi.org/10.3390/nano9050663
Chicago/Turabian StyleHeijmans, Koen, Amar Deep Pathak, Pablo Solano-López, Domenico Giordano, Silvia Nedea, and David Smeulders. 2019. "Thermal Boundary Characteristics of Homo-/Heterogeneous Interfaces" Nanomaterials 9, no. 5: 663. https://doi.org/10.3390/nano9050663
APA StyleHeijmans, K., Pathak, A. D., Solano-López, P., Giordano, D., Nedea, S., & Smeulders, D. (2019). Thermal Boundary Characteristics of Homo-/Heterogeneous Interfaces. Nanomaterials, 9(5), 663. https://doi.org/10.3390/nano9050663

