Enhanced Oil Recovery by a Suspension of Core-Shell Polymeric Nanoparticles in Heterogeneous Low-Permeability Oil Reservoirs
Abstract
1. Introduction
2. Materials and Methods
2.1. Materials
2.2. Synthesis of SiO2 Nanoparticles
2.3. Synthesis of SiO2/P(MBAAm-co-AM) Polymeric Nanoparticles
2.4. Characterization
2.5. Particle Size Distribution Measurements
2.6. Viscosity Measurements
2.7. Oil Displacement Experiments
3. Results and Discussion
3.1. Characterization of SiO2/P(MBAAm-co-AM) Nanoparticles
3.2. Swelling Performances of SiO2/P(MBAAm-co-AM) Nanoparticles in a Suspension
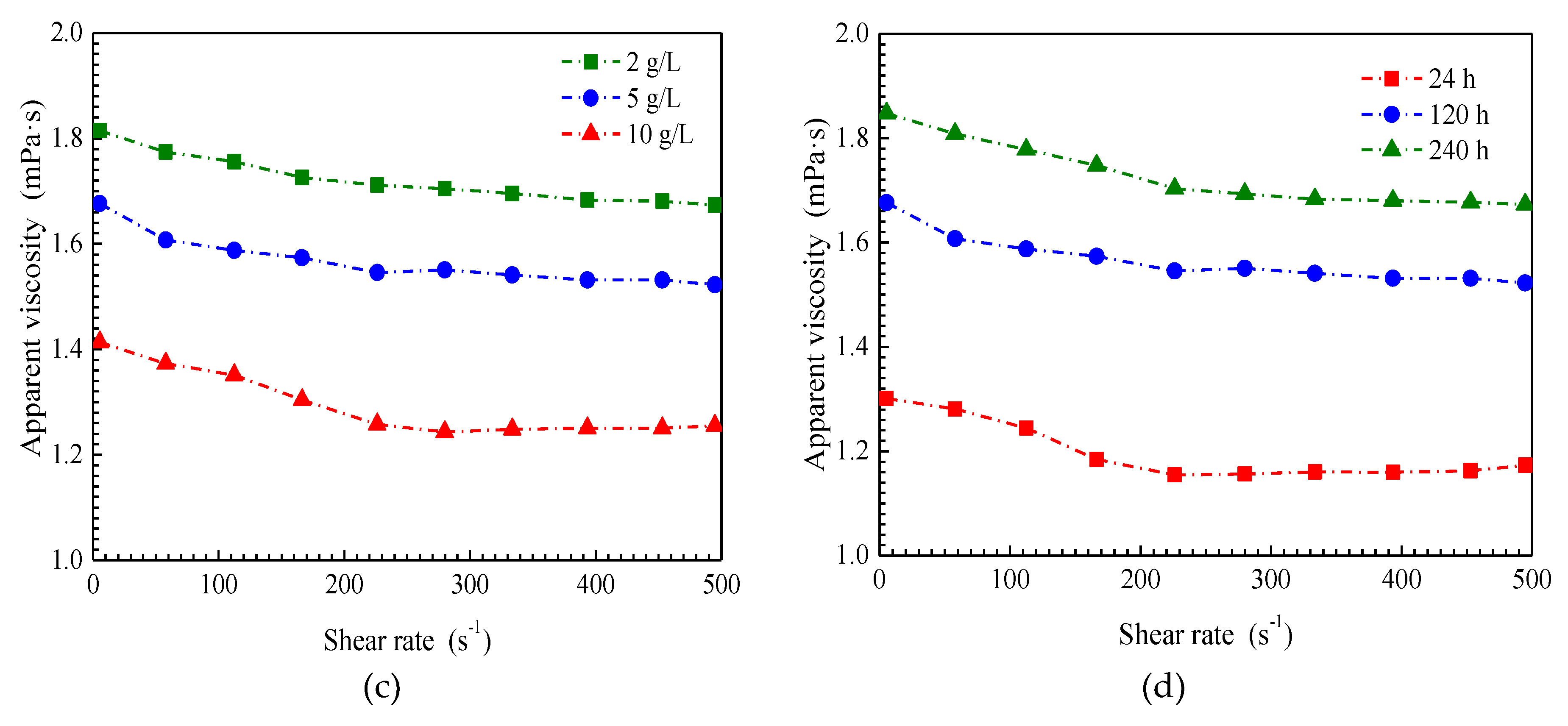
3.3. Rheological Behaviors of SiO2/P(MBAAm-co-AM) Suspension
3.4. EOR by a SiO2/P(MBAAm-co-AM) Suspension in Parallel Cores
3.4.1. Effect of Permeability Ratio on Fractional Flows
3.4.2. Effect of Permeability Ratio on Pressure Drop
3.4.3. Effect of Permeability Ratio on EOR
4. Conclusions
Author Contributions
Funding
Conflicts of Interest
References
- Zeng, L.; Liu, H. Influence of fractures on the development of low-permeability sandstone reservoirs: A case study from the Taizhao district, Daqing Oilfield, China. J. Petrol. Sci. Eng. 2010, 72, 120–127. [Google Scholar] [CrossRef]
- Pu, C.; Jing, C.; He, Y.; Gu, X.; Zhang, Z.; Wei, J. Multistage interwell chemical tracing for step-by-step profile control of water channeling and flooding of fractured ultra-low permeability reservoirs. Petrol. Explor. Dev. 2016, 43, 679–688. [Google Scholar] [CrossRef]
- Wang, X.; Dang, H.; Gao, T. Method of moderate water injection and its application in ultra-low permeability oil reservoirs of Yanchang Oilfield, NW China. Petrol. Explor. Dev. 2018, 45, 1094–1102. [Google Scholar] [CrossRef]
- Zhao, X.; Zhang, J.; He, Q.; Tan, X. Experimental study and application of anti-salt polymer aqueous solutions prepared by produced water for low-permeability reservoirs. J. Petrol. Sci. Eng. 2019, 175, 480–488. [Google Scholar] [CrossRef]
- Sang, Q.; Li, S.; Yu, L.; Li, Z.; Dong, M. Enhanced oil recovery by branched-preformed particle gel injection in parallel-sandpack models. Fuel 2014, 136, 295–306. [Google Scholar] [CrossRef]
- Dejam, M. Advective-diffusive-reactive solute transport due to non-Newtonian fluid flows in a fracture surrounded by a tight porous medium. Int. J. Heat. Mass. Tran. 2019, 128, 1307–1321. [Google Scholar] [CrossRef]
- Zhang, L.; Kou, Z.; Wang, H.; Zhao, Y.; Dejam, M.; Guo, J.; Du, J. Performance analysis for a model of a multi-wing hydraulically fractured vertical well in a coalbed methane gas reservoir. J. Petrol. Sci. Eng. 2018, 166, 104–120. [Google Scholar] [CrossRef]
- Li, T.; Song, H.; Wang, J.; Wang, Y.; Killough, J. An analytical method for modeling and analysis gas-water relative permeability in nanoscale pores with interfacial effects. Int. J. Coal. Geol. 2016, 159, 71–81. [Google Scholar] [CrossRef]
- Yu, L.; Dong, M.; Ding, B.; Yuan, Y. Experimental study on the effect of interfacial tension on the conformance control of oil-in-water emulsions in heterogeneous oil sands reservoirs. Chem. Eng. Sci. 2018, 189, 165–178. [Google Scholar] [CrossRef]
- Dejam, M.; Hassanzadeh, H.; Chen, Z. Pre-Darcy flow in porous media. Water. Resour. Res. 2017, 53, 8187–8210. [Google Scholar] [CrossRef]
- Song, H.; Yu, M.; Zhu, W.; Wu, P.; Lou, Y.; Wang, Y.; Killough, J. Numerical investigation of gas flow rate in shale gas reservoirs with nanoporous media. Int. J. Heat. Mass. Tran. 2015, 80, 626–635. [Google Scholar] [CrossRef]
- Gu, M.; Chen, X.; Wu, C.; He, X.; Chu, H.; Liu, F. Effects of particle size distribution and oxygenconcentration on the propagation behavior of pulverized coal flames in O2/CO2 atmospheres. Energy Fuel 2017, 31, 5571–5580. [Google Scholar] [CrossRef]
- Soleimani, M. Well performance optimization for gas lift operation in a heterogeneous reservoir by fine zonation and different well type integration. J. Nat. Gas Sci. Eng. 2017, 40, 277–287. [Google Scholar] [CrossRef]
- He, L.; Mei, H.; Hu, X.; Dejam, M.; Kou, Z.; Zhang, M. Advanced flowing material balance to determine original gas-in-place of shale gas considering adsorption hysteresis. SPE Reserv. Eval. Eng. 2019. [CrossRef]
- Song, H.; Cao, Y.; Yu, M.; Wang, Y.; Killough, J.; Leung, J. Impact of permeability heterogeneity on production characteristics in water-bearing tight gas reservoirs with threshold pressure gradient. J. Nat. Gas Sci. Eng. 2015, 22, 172–181. [Google Scholar] [CrossRef]
- Xu, P.; Qiu, S.; Cai, J.; Li, C.; Liu, H. A novel analytical solution for gas diffusion in multi-scale fuel cell porous media. J. Power Sources 2017, 362, 73–79. [Google Scholar] [CrossRef]
- Brattekås, B.; Seright, R.S. Implications for improved polymer gel conformance control during low-salinity chase-floods in fractured carbonates. J. Petrol. Sci. Eng. 2018, 163, 661–670. [Google Scholar] [CrossRef]
- Wang, J.; Liu, H. A novel model and sensitivity analysis for viscoelastic polymer flooding in offshore oilfield. J. Ind. Eng. Chem. 2014, 20, 656–667. [Google Scholar] [CrossRef]
- Amirian, E.; Dejam, M.; Chen, Z. Performance forecasting for polymer flooding in heavy oil reservoirs. Fuel 2018, 216, 83–100. [Google Scholar] [CrossRef]
- Saboorian-Jooybari, H.; Dejam, M.; Chen, Z. Heavy oil polymer flooding from laboratory core floods to pilot tests and field applications: Half-century studies. J. Petrol. Sci. Eng. 2016, 142, 85–100. [Google Scholar] [CrossRef]
- Bahrami, P.; Kazemi, P.; Mahdavi, S.; Ghobadi, H. A novel approach for modeling and optimization of surfactant/polymer flooding based on Genetic Programming evolutionary algorithm. Fuel 2016, 179, 289–298. [Google Scholar] [CrossRef]
- Fu, L.; Zhang, G.; Ge, J.; Liao, K.; Pei, H.; Jiang, P.; Li, X. Study on organic alkali-surfactant-polymer flooding for enhanced ordinary heavy oil recovery. Colloids Surf. A 2016, 508, 230–239. [Google Scholar] [CrossRef]
- Mashayekhizadeh, V.; Kord, S.; Dejam, M. EOR potential within Iran. Spec. Top. Rev. Porous Media 2014, 5, 325–354. [Google Scholar] [CrossRef]
- Zhao, F.; Lv, C.; Hou, J.; Wang, Z. Formation adaptability of combining modified starch gel and nitrogen foam in profile modification and oil displacement. J. Energy Inst. 2016, 89, 536–543. [Google Scholar] [CrossRef]
- Karambeigi, M.S.; Abbassi, R.; Roayaei, E.; Emadi, M.A. Emulsion flooding for enhanced oil recovery: Interactive optimization of phase behavior, microvisual and core-flood experiments. J. Ind. Eng. Chem. 2015, 29, 382–391. [Google Scholar] [CrossRef]
- Olayiwola, S.O.; Dejam, M. A comprehensive review on interaction of nanoparticles with low salinity water and surfactant for enhanced oil recovery in sandstone and carbonate reservoirs. Fuel 2019, 241, 1045–1057. [Google Scholar] [CrossRef]
- Cheraghian, G. Evaluation of clay and fumed silica nanoparticles on adsorption of surfactant polymer during enhanced oil recovery. J. Jpn. Petrol. Inst. 2017, 60, 85–94. [Google Scholar] [CrossRef]
- Almahfood, M.; Bai, B. The synergistic effects of nanoparticle-surfactant nanofluids in EOR applications. J. Petrol. Sci. Eng. 2018, 171, 198–210. [Google Scholar] [CrossRef]
- Gbadamosi, A.O.; Junin, R.; Manan, M.A.; Yekeen, N.; Agi, A.; Oseh, J.O. Recent advances and prospects in polymeric nanofluids application for enhanced oil recovery. J. Ind. Eng. Chem. 2018, 66, 1–19. [Google Scholar] [CrossRef]
- Wei, B.; Li, Q.; Ning, J.; Wang, Y.; Sun, L.; Pu, W. Macro- and micro-scale observations of a surface-functionalized nanocellulose based aqueous nanofluids in chemical enhanced oil recovery (C-EOR). Fuel 2019, 236, 1321–1333. [Google Scholar] [CrossRef]
- Soleimani, H.; Baig, M.K.; Yahya, N.; Khodapanah, L.; Sabet, M.; Demiral, B.M.R.; Burda, M. Impact of carbon nanotubes based nanofluid on oil recovery efficiency using core flooding. Results Phys. 2018, 9, 39–48. [Google Scholar] [CrossRef]
- Olayiwola, S.O.; Dejam, M. Mathematical modelling of surface tension of nanoparticles in electrolyte solutions. Chem. Eng. Sci. 2019, 197, 345–356. [Google Scholar] [CrossRef]
- Cheraghian, G. Synthesis and properties of polyacrylamide by nanoparticles, effect nanoclay on stability polyacrylamide solution. Micro Nano Lett. 2016, 12, 40–44. [Google Scholar] [CrossRef]
- Sharma, T.; Sangwai, J.S. Silica nanofluids in polyacrylamide with and without surfactant: Viscosity, surface tension, and interfacial tension with liquid paraffin. J. Petrol. Sci. Eng. 2017, 152, 575–585. [Google Scholar] [CrossRef]
- Cheraghian, G. Thermal resistance and application of nanoclay on polymer flooding in heavy oil recovery. Petrol. Explor. Dev. 2015, 33, 1580–1586. [Google Scholar] [CrossRef]
- Chu, H.; Han, W.; Cao, W.; Gu, M.; Xu, G. Effect of methane addition to ethylene on the morphology and size distribution of soot in a laminar co-flow diffusion flame. Energy 2019, 166, 392–400. [Google Scholar] [CrossRef]
- Cheraghian, G. Application of nano-fumed silica in heavy oil recovery. Petrol. Explor. Dev. 2016, 34, 12–18. [Google Scholar] [CrossRef]
- Xu, P.; Li, C.; Qiu, S.; Sasmito, A.P. A fractal network model for fractured porous media. Fractals 2016, 24, 1650018. [Google Scholar] [CrossRef]
- Cheraghian, G. Effect of nano titanium dioxide on heavy oil recovery during polymer flooding. Petrol. Explor. Dev. 2016, 34, 633–641. [Google Scholar] [CrossRef]
- Lai, N.; Guo, X.; Zhou, N.; Xu, Q. Shear Resistance Properties of Modified Nano-SiO2/AA/AM Copolymer Oil Displacement Agent. Energies 2016, 9, 1037. [Google Scholar] [CrossRef]
- Hu, Z.; Haruna, M.; Gao, H.; Nourafkan, E.; Wen, D. Rheological properties of partially hydrolyzed polyacrylamide seeded by nanoparticles. Ind. Eng. Chem. Res. 2017, 56, 3456–3463. [Google Scholar] [CrossRef]
- Ju, B.; Fan, T. Experimental study and mathematical model of nanoparticle transport in porous media. Powder Technol. 2009, 192, 195–202. [Google Scholar] [CrossRef]
- Liu, R.; Pu, W.; Sheng, J.J.; Du, D. Star-like hydrophobically associative polyacrylamide for enhanced oil recovery: Comprehensive properties in harsh reservoir conditions. J. Taiwan. Inst. Chem. E 2017, 80, 639–649. [Google Scholar] [CrossRef]
- Caparrós, C.; Benelmekki, M.; Martins, P.M.; Xuriguera, E.; Silva, C.J.R.; Martinez, L.M. Hydrothermal assisted synthesis of iron oxide-based magnetic silica spheres and their performance in magnetophoretic water purification. Mater. Chem. Phys. 2012, 135, 510–517. [Google Scholar] [CrossRef]
- Effati, E.; Pourabbas, B. Synthesis of core-shell poly (N-isopropylacrylamide) grafted silica nanoparticles by distillation precipitation polymerization. Powder Technol. 2013, 246, 472–477. [Google Scholar] [CrossRef]
- Mauriello, F.; Garrone, E.; Musolino, M.G.; Pietropaolo, R.; Onida, B. Conversion of cis-2-butene-1,4-diol to hydrofurans on Pd/SiO2 and Pt/SiO2 catalysts under mild conditions: A FT-IR study. J. Mol. Catal. A Chem. 2010, 328, 27–34. [Google Scholar] [CrossRef]
- Kiviaho, J.; Niemelä, M.K.; Reinikainen, M.; Pakkanen, T.A. TPR and FT-IR studies on carbonyl cluster derived Co-Ru/SiO2 catalysts. Appl. Catal. A Gen. 1997, 149, 353–372. [Google Scholar] [CrossRef]
- Nagai, N.; Hashimoto, H. FT-IR-ATR study of depth profile of SiO2 ultra-thin films. Appl. Surf. Sci. 2001, 172, 307–311. [Google Scholar] [CrossRef]
- Rezaei, A.; Khangah, M.A.; Mohebbi, A.; Tatar, A.; Mohammadi, A.H. Using surface modified clay nanoparticles to improve rheological behavior of Hydrolized Polyacrylamid (HPAM) solution for enhanced oil recovery with polymer flooding. J. Mol. Liq. 2016, 222, 1148–1156. [Google Scholar] [CrossRef]
- El-hoshoudy, A.N. Synthesis of acryloylated starch-g-poly acrylates crosslinked polymer functionalized by emulsified vinyltrimethylsilane derivative as a novel EOR agent for severe polymer flooding strategy. Int. J. Biol. Macromol. 2019, 123, 124–132. [Google Scholar] [CrossRef]
- Frost, R.L.; Kloprogge, J.; Russell, S.C.; Szetu, J.L. Dehydroxylation and structure of alumina gels prepared from trisecbutoxyaluminium. Thermochim. Acta 1999, 329, 47–56. [Google Scholar] [CrossRef]
- Frost, R.L.; Erickson, K.L. Decomposition of the synthetic hydrotalcites mountkeithite and honessite—A high resolution thermogravimetric analysis and infrared emission spectroscopic study. Thermochim. Acta 2004, 421, 51–58. [Google Scholar] [CrossRef][Green Version]
- Soltani, O.; Akbari, M. Effects of temperature and particles concentration on the dynamic viscosity of MgO-MWCNT/ethylene glycol hybrid nanofluid: Experimental study. Phys. E 2016, 84, 564–570. [Google Scholar] [CrossRef]
- Atashrouz, S.; Mozaffarian, M.; Pazuki, G. Viscosity and rheological properties of ethylene glycol+ water+ Fe3O4 nanofluids at various temperatures: Experimental and thermodynamics modeling. Korean J. Chem. Eng. 2016, 33, 2522–2529. [Google Scholar] [CrossRef]
- Yue, M.; Zhu, W.; Han, H.; Song, H.; Long, Y.; Lou, Y. Experimental research on remaining oil distribution and recovery performances after nano-micron polymer particles injection by direct visualization. Fuel 2018, 212, 506–514. [Google Scholar] [CrossRef]
- Esfe, M.H.; Raki, H.R.; Emami, M.R.S.; Afrand, M. Viscosity and rheological properties of antifreeze based nanofluid containing hybrid nano-powders of MWCNTs and TiO2 under different temperature conditions. Powder Technol. 2019, 342, 808–816. [Google Scholar] [CrossRef]












| Test | Permeability (10−3 μm2) | Permeability Ratio | Recovery of Brine Flood (%) | Final Oil Recovery (%) | Incremental Oil Recovery (%) |
|---|---|---|---|---|---|
| 1 | High 20.28 | 1.40 | 52.37 | 56.98 | 4.61 |
| Low 14.47 | 46.70 | 54.39 | 7.69 | ||
| 2 | High 75.82 | 4.36 | 53.84 | 58.82 | 4.98 |
| Low 17.39 | 29.79 | 46.06 | 16.27 | ||
| 3 | High 66.45 | 8.28 | 55.49 | 61.74 | 6.25 |
| Low 8.03 | 22.99 | 41.57 | 18.58 | ||
| 4 | High 64.74 | 15.49 | 56.69 | 65.15 | 8.46 |
| Low 4.18 | 17.61 | 41.22 | 23.61 |
© 2019 by the authors. Licensee MDPI, Basel, Switzerland. This article is an open access article distributed under the terms and conditions of the Creative Commons Attribution (CC BY) license (http://creativecommons.org/licenses/by/4.0/).
Share and Cite
Long, Y.; Wang, R.; Zhu, B.; Huang, X.; Leng, Z.; Chen, L.; Song, F. Enhanced Oil Recovery by a Suspension of Core-Shell Polymeric Nanoparticles in Heterogeneous Low-Permeability Oil Reservoirs. Nanomaterials 2019, 9, 600. https://doi.org/10.3390/nano9040600
Long Y, Wang R, Zhu B, Huang X, Leng Z, Chen L, Song F. Enhanced Oil Recovery by a Suspension of Core-Shell Polymeric Nanoparticles in Heterogeneous Low-Permeability Oil Reservoirs. Nanomaterials. 2019; 9(4):600. https://doi.org/10.3390/nano9040600
Chicago/Turabian StyleLong, Yunqian, Renyi Wang, Baikang Zhu, Xiaohe Huang, Zhe Leng, Liqiao Chen, and Fuquan Song. 2019. "Enhanced Oil Recovery by a Suspension of Core-Shell Polymeric Nanoparticles in Heterogeneous Low-Permeability Oil Reservoirs" Nanomaterials 9, no. 4: 600. https://doi.org/10.3390/nano9040600
APA StyleLong, Y., Wang, R., Zhu, B., Huang, X., Leng, Z., Chen, L., & Song, F. (2019). Enhanced Oil Recovery by a Suspension of Core-Shell Polymeric Nanoparticles in Heterogeneous Low-Permeability Oil Reservoirs. Nanomaterials, 9(4), 600. https://doi.org/10.3390/nano9040600

