Comprehensive Analysis of Temperature-Dependent Photoluminescence in Silica-Encapsulated CsPbBr3 and CsPbI3 Perovskite Nanocrystals
Abstract
1. Introduction
2. Experimental Section
2.1. Material Preparation and Synthesis
2.2. Characterization
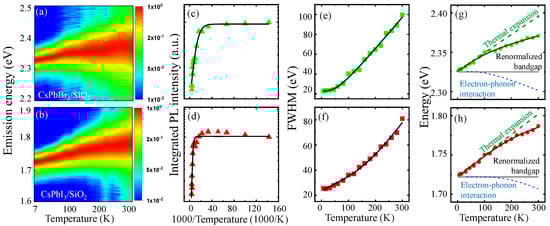
3. Results and Discussion
4. Conclusions
Supplementary Materials
Author Contributions
Funding
Data Availability Statement
Conflicts of Interest
References
- Ma, Q.; Wang, Y.; Liu, L.; Yang, P.; He, W.; Zhang, X.; Zheng, J.; Ma, M.; Wan, M.; Yang, Y.; et al. One-step dual-additive passivated wide-bandgap perovskites to realize 44.72%-efficient indoor photovoltaics. Energy Environ. Sci. 2024, 17, 1637–1644. [Google Scholar] [CrossRef]
- Liu, M.; Johnston, M.B.; Snaith, H.J. Efficient planar heterojunction perovskite solar cells by vapour deposition. Nature 2013, 501, 395–398. [Google Scholar] [CrossRef]
- Pan, Y.; Zhang, Y.; Kang, W.; Deng, N.; Yan, Z.; Sun, W.; Kang, X.; Ni, J. Progress in the preparation and application of CsPbX3 perovskites. Mater. Adv. 2022, 3, 4053–4068. [Google Scholar] [CrossRef]
- Liu, Y.; Gong, W.; Xiang, F.; Li, Y.; Guo, H.; Hao, F.; Niu, X. High-Performance Self-Powered Photodetectors with Space-Confined Hybrid Lead Halide Perovskite Nanocrystals. Adv. Opt. Mater. 2022, 11, 2202215. [Google Scholar] [CrossRef]
- Wang, S.; Wang, K.; Gu, Z.; Wang, Y.; Huang, C.; Yi, N.; Xiao, S.; Song, Q. Solution-Phase Synthesis of Cesium Lead Halide Perovskite Microrods for High-Quality Microlasers and Photodetectors. Adv. Opt. Mater. 2017, 5, 1700023. [Google Scholar] [CrossRef]
- Lin, K.; Xing, J.; Quan, L.N.; de Arquer, F.P.G.; Gong, X.; Lu, J.; Xie, L.; Zhao, W.; Zhang, D.; Yan, C.; et al. Perovskite light-emitting diodes with external quantum efficiency exceeding 20 per cent. Nature 2018, 562, 245–248. [Google Scholar] [CrossRef]
- Feng, W.; Lin, K.; Li, W.; Xiao, X.; Lu, J.; Yan, C.; Liu, X.; Xie, L.; Tian, C.; Wu, D.; et al. Efficient all-inorganic perovskite light-emitting diodes enabled by manipulating the crystal orientation. J. Mater. Chem. A 2021, 9, 11064–11072. [Google Scholar] [CrossRef]
- Shaklee, K.L.; Leheny, R.F. Direct Determination of Optical Gain in Semiconductor Crystals. Appl. Phys. Lett. 1971, 18, 475–477. [Google Scholar] [CrossRef]
- Tatarinov, D.A.; Anoshkin, S.S.; Tsibizov, I.A.; Sheremet, V.; Isik, F.; Zhizhchenko, A.Y.; Cherepakhin, A.B.; Kuchmizhak, A.A.; Pushkarev, A.P.; Demir, H.V.; et al. High-Quality CsPbBr3 Perovskite Films with Modal Gain above 10 000 cm−1 at Room Temperature. Adv. Opt. Mater. 2023, 11, 2202407. [Google Scholar] [CrossRef]
- Alvarado-Leaños, A.L.; Cortecchia, D.; Folpini, G.; Srimath Kandada, A.R.; Petrozza, A. Optical Gain of Lead Halide Perovskites Measured via the Variable Stripe Length Method: What We Can Learn and How to Avoid Pitfalls. Adv. Opt. Mater. 2021, 9, 2001773. [Google Scholar] [CrossRef]
- Park, S.; Chang, W.J.; Lee, C.W.; Park, S.; Ahn, H.-Y.; Nam, K.T. Photocatalytic hydrogen generation from hydriodic acid using methylammonium lead iodide in dynamic equilibrium with aqueous solution. Nat. Energy 2016, 2, 16185. [Google Scholar] [CrossRef]
- Xu, Y.F.; Yang, M.Z.; Chen, B.X.; Wang, X.D.; Chen, H.Y.; Kuang, D.B.; Su, C.Y. A CsPbBr3 Perovskite Quantum Dot/Graphene Oxide Composite for Photocatalytic CO2 Reduction. J. Am. Chem. Soc. 2017, 139, 5660–5663. [Google Scholar] [CrossRef]
- Protesescu, L.; Yakunin, S.; Bodnarchuk, M.I.; Krieg, F.; Caputo, R.; Hendon, C.H.; Yang, R.X.; Walsh, A.; Kovalenko, M.V. Nanocrystals of Cesium Lead Halide Perovskites (CsPbX3, X = Cl, Br, and I): Novel Optoelectronic Materials Showing Bright Emission with Wide Color Gamut. Nano Lett. 2015, 15, 3692–3696. [Google Scholar] [CrossRef] [PubMed]
- Wei, Y.; Cheng, Z.; Lin, J. An overview on enhancing the stability of lead halide perovskite quantum dots and their applications in phosphor-converted LEDs. Chem. Soc. Rev. 2019, 48, 310–350. [Google Scholar] [CrossRef]
- Sun, C.; Zhang, Y.; Ruan, C.; Yin, C.; Wang, X.; Wang, Y.; Yu, W.W. Efficient and Stable White LEDs with Silica-Coated Inorganic Perovskite Quantum Dots. Adv. Mater. 2016, 28, 10088–10094. [Google Scholar] [CrossRef]
- Zhong, Q.; Cao, M.; Hu, H.; Yang, D.; Chen, M.; Li, P.; Wu, L.; Zhang, Q. One-Pot Synthesis of Highly Stable CsPbBr3@SiO2 Core-Shell Nanoparticles. ACS Nano 2018, 12, 8579–8587. [Google Scholar] [CrossRef] [PubMed]
- Mei, M.; Han, Z.; Liu, P.; Fang, F.; Chen, W.; Hao, J.; Wu, D.; Pan, R.; Cao, W.; Wang, K. Silica encapsulation of metal perovskite nanocrystals in a photoluminescence type display application. Nanotechnology 2019, 30, 395702. [Google Scholar] [CrossRef]
- Wang, C.; Yan, L.; Si, J.; Huo, T.; Hou, X. Strongly luminescent and highly stable CsPbBr3/Cs4PbBr6 core/shell nanocrystals and their ultrafast carrier dynamics. J. Alloys Compd. 2023, 946, 169272. [Google Scholar] [CrossRef]
- Chen, Y.M.; Zhou, Y.; Zhao, Q.; Zhang, J.Y.; Ma, J.P.; Xuan, T.T.; Guo, S.Q.; Yong, Z.J.; Wang, J.; Kuroiwa, Y.; et al. Cs4PbBr6/CsPbBr3 Perovskite Composites with Near-Unity Luminescence Quantum Yield: Large-Scale Synthesis, Luminescence and Formation Mechanism, and White Light-Emitting Diode Application. ACS Appl. Mater. Interfaces 2018, 10, 15905–15912. [Google Scholar] [CrossRef]
- Loiudice, A.; Saris, S.; Oveisi, E.; Alexander, D.T.L.; Buonsanti, R. CsPbBr3 QD/AlOx Inorganic Nanocomposites with Exceptional Stability in Water, Light, and Heat. Angew. Chem. Int. Ed. 2017, 56, 10696–10701. [Google Scholar] [CrossRef]
- Li, Z.J.; Hofman, E.; Li, J.; Davis, A.H.; Tung, C.H.; Wu, L.Z.; Zheng, W. Photoelectrochemically Active and Environmentally Stable CsPbBr3/TiO2 Core/Shell Nanocrystals. Adv. Funct. Mater. 2017, 28, 1704288. [Google Scholar] [CrossRef]
- Liu, W.; Liu, J.; Wang, X.; He, J.; Li, Y.; Liu, Y. Synthesis of Asymmetrical CsPbBr3/TiO2 Nanocrystals with Enhanced Stability and Photocatalytic Properties. Catalysts 2023, 13, 1048. [Google Scholar] [CrossRef]
- Liu, H.; Tan, Y.; Cao, M.; Hu, H.; Wu, L.; Yu, X.; Wang, L.; Sun, B.; Zhang, Q. Fabricating CsPbX3-Based Type I and Type II Heterostructures by Tuning the Halide Composition of Janus CsPbX3/ZrO2 Nanocrystals. ACS Nano 2019, 13, 5366–5374. [Google Scholar] [CrossRef] [PubMed]
- Wang, K.; Yao, R.; Shen, P.; Fang, Y.; Chen, L.; Wang, H. Quantum Dots Encapsulated by ZrO2 Enhance the Stability of Perovskite Solar Cells. Adv. Mater. Interfaces 2021, 8, 2100776. [Google Scholar] [CrossRef]
- Wei, K.; Xu, Z.; Chen, R.; Zheng, X.; Cheng, X.; Jiang, T. Temperature-dependent excitonic photoluminescence excited by two-photon absorption in perovskite CsPbBr3 quantum dots. Opt. Lett. 2016, 41, 3821–3824. [Google Scholar] [CrossRef]
- Ai, B.; Liu, C.; Deng, Z.; Wang, J.; Han, J.; Zhao, X. Low temperature photoluminescence properties of CsPbBr3 quantum dots embedded in glasses. Phys. Chem. Chem. Phys. 2017, 19, 17349–17355. [Google Scholar] [CrossRef] [PubMed]
- Saran, R.; Heuer-Jungemann, A.; Kanaras, A.G.; Curry, R.J. Giant Bandgap Renormalization and Exciton–Phonon Scattering in Perovskite Nanocrystals. Adv. Opt. Mater. 2017, 5, 17000231. [Google Scholar] [CrossRef]
- Xu, J.; Yu, S.; Shang, X.; Chen, X. Temperature Dependence of Bandgap in Lead-Halide Perovskites with Corner-Sharing Octahedra. Adv. Photonics Res. 2022, 4, 2200193. [Google Scholar] [CrossRef]
- Saidaminov, M.I.; Abdelhady, A.L.; Murali, B.; Alarousu, E.; Burlakov, V.M.; Peng, W.; Dursun, I.; Wang, L.; He, Y.; Maculan, G.; et al. High-quality bulk hybrid perovskite single crystals within minutes by inverse temperature crystallization. Nat. Commun. 2015, 6, 7586. [Google Scholar] [CrossRef]
- Demontis, V.; Durante, O.; Marongiu, D.; De Stefano, S.; Matt, S.; Simbula, A.; Capello, C.R.; Pennelli, G.; Quochi, F.; Saba, M.; et al. Photoconduction in 2D Single-Crystal Hybrid Perovskites. Adv. Opt. Mater. 2025, 13, 2402469. [Google Scholar] [CrossRef]
- Bttula, R.K.; Sudakar, C.; Bhyrappa, P.; Veerappan, G.; Ramasamy, E. Single-Crystal Hybrid Lead Halide Perovskites: Growth, Properties, and Device Integration for Solar Cell Application. Cryst. Growth Des. 2022, 10, 6338–6362. [Google Scholar] [CrossRef]
- Zhao, H.; Wei, L.; Zeng, P.; Liu, M. Formation of highly uniform thinly-wrapped CsPbX3@silicone nanocrystals via self-hydrolysis: Suppressed anion exchange and superior stability in polar solvents. J. Mater. Chem. C 2019, 7, 9813–9819. [Google Scholar] [CrossRef]
- Song, W.; Wang, Y.; Wang, B.; Yao, Y.; Wang, W.; Wu, J.; Shen, Q.; Luo, W.; Zou, Z. Super stable CsPbBr3@SiO2 tumor imaging reagent by stress-response encapsulation. Nano Res. 2020, 13, 795–801. [Google Scholar] [CrossRef]
- Trinh, C.K.; Lee, H.; So, M.G.; Lee, C.L. Synthesis of Chemically Stable Ultrathin SiO2-Coated Core-Shell Perovskite QDs via Modulation of Ligand Binding Energy for All-Solution-Processed Light-Emitting Diodes. ACS Appl. Mater. Interfaces 2021, 13, 29798–29808. [Google Scholar] [CrossRef] [PubMed]
- Gao, F.; Yang, W.; Liu, X.; Li, Y.; Liu, W.; Xu, H.; Liu, Y. Highly stable and luminescent silica-coated perovskite quantum dots at nanoscale-particle level via nonpolar solvent synthesis. Chem. Eng. J. 2021, 407, 128001. [Google Scholar] [CrossRef]
- Zhang, C.; Zhang, H.; Wang, R.; You, D.; Wang, W.; Xu, C.; Dai, J. Exciton photoluminescence of CsPbBr3@SiO2 quantum dots and its application as a phosphor material in light-emitting devices. Opt. Mater. Express 2020, 10, 1007–1017. [Google Scholar] [CrossRef]
- Cao, Y.; Shao, Y.; Zhang, J.; Chen, C.; Wang, Q. The photothermal stability study of silica-coated CsPbBr3 perovskite nanocrystals. J. Solid State Chem. 2022, 311, 123086. [Google Scholar] [CrossRef]
- Zheng, Z.; Liu, L.; Yi, F.; Zhao, J. Significantly improving the moisture-, oxygen- and thermal-induced photoluminescence in all-inorganic halide perovskite CsPbI3 crystals by coating the SiO2 layer. J. Lum. 2019, 216, 116722. [Google Scholar] [CrossRef]
- Tang, B.; Zhao, X.; Ruan, L.J.; Qin, C.; Shu, A.; Ma, Y. A universal synthesis strategy for stable CsPbX3@oxide core–shell nanoparticles through bridging ligands. Nanoscale 2021, 13, 10600–10607. [Google Scholar] [CrossRef]
- Liu, P.; Chen, W.; Wang, W.; Xu, B.; Wu, D.; Hao, J.; Cao, W.; Fang, F.; Li, Y.; Zeng, Y.; et al. Halide-Rich Synthesized Cesium Lead Bromide Perovskite Nanocrystals for Light-Emitting Diodes with Improved Performance. Chem. Mater. 2017, 29, 5168–5173. [Google Scholar] [CrossRef]
- Liu, F.; Zhang, Y.; Ding, C.; Kobayashi, S.; Izuishi, T.; Nakazawa, N.; Toyoda, T.; Ohta, T.; Hayase, S.; Minemoto, T.; et al. Highly Luminescent Phase-Stable CsPbI3 Perovskite Quantum Dots Achieving Near 100% Absolute Photoluminescence Quantum Yield. ACS Nano 2017, 11, 10373–10383. [Google Scholar] [CrossRef]
- Liu, H.; Xiao, X.; Wu, Y.; Zhu, D.; Sun, J.; Chen, D.; Tang, B.; Wang, S.; Portniagin, A.; Vighnesh, K.; et al. Pure-red electroluminescence of quantum-confined CsPbI3 perovskite nanocrystals obtained by the gradient purification method. Mater. Taday Energy 2024, 41, 101533. [Google Scholar] [CrossRef]
- Pan, Z.; Zhu, X.; Xu, T.; Xie, Q.; Chen, H.; Xu, F.; Lin, H.; Wang, J.; Liu, Y. Highly Stable CsPbI3 Perovskite Quantum Dots Enabled by Single SiO2 Coating toward Down-Conversion Light-Emitting Diodes. Appl. Sci. 2023, 13, 7529. [Google Scholar] [CrossRef]
- Miyata, K.; Meggiolaro, D.; Trinh, M.T.; Joshi, P.P.; Mosconi, E.; Jones, S.C.; De Angelis, F.; Zhu, X.Y. Large polarons in lead halide perovskites. Sci. Mater. 2017, 3, e1701217. [Google Scholar] [CrossRef] [PubMed]




Disclaimer/Publisher’s Note: The statements, opinions and data contained in all publications are solely those of the individual author(s) and contributor(s) and not of MDPI and/or the editor(s). MDPI and/or the editor(s) disclaim responsibility for any injury to people or property resulting from any ideas, methods, instructions or products referred to in the content. |
© 2026 by the authors. Licensee MDPI, Basel, Switzerland. This article is an open access article distributed under the terms and conditions of the Creative Commons Attribution (CC BY) license.
Share and Cite
Mei, M.; Kim, M.; Park, S.H.; Choi, G.E.; Lee, S.; Taylor, R.A.; Chen, W.; Hong, S.W.; Kyhm, K. Comprehensive Analysis of Temperature-Dependent Photoluminescence in Silica-Encapsulated CsPbBr3 and CsPbI3 Perovskite Nanocrystals. Nanomaterials 2026, 16, 76. https://doi.org/10.3390/nano16010076
Mei M, Kim M, Park SH, Choi GE, Lee S, Taylor RA, Chen W, Hong SW, Kyhm K. Comprehensive Analysis of Temperature-Dependent Photoluminescence in Silica-Encapsulated CsPbBr3 and CsPbI3 Perovskite Nanocrystals. Nanomaterials. 2026; 16(1):76. https://doi.org/10.3390/nano16010076
Chicago/Turabian StyleMei, Ming, Minju Kim, Sang Hyuk Park, Ga Eul Choi, Songyi Lee, Robert A. Taylor, Wei Chen, Suck Won Hong, and Kwangseuk Kyhm. 2026. "Comprehensive Analysis of Temperature-Dependent Photoluminescence in Silica-Encapsulated CsPbBr3 and CsPbI3 Perovskite Nanocrystals" Nanomaterials 16, no. 1: 76. https://doi.org/10.3390/nano16010076
APA StyleMei, M., Kim, M., Park, S. H., Choi, G. E., Lee, S., Taylor, R. A., Chen, W., Hong, S. W., & Kyhm, K. (2026). Comprehensive Analysis of Temperature-Dependent Photoluminescence in Silica-Encapsulated CsPbBr3 and CsPbI3 Perovskite Nanocrystals. Nanomaterials, 16(1), 76. https://doi.org/10.3390/nano16010076

