Charge-Ordering and Magnetic Transitions in Nanocrystalline Half-Doped Rare Earth Manganite Ho0.5Ca0.5MnO3
Abstract
1. Introduction
2. Materials and Methods
3. Results and Discussion
3.1. Structural Characterization
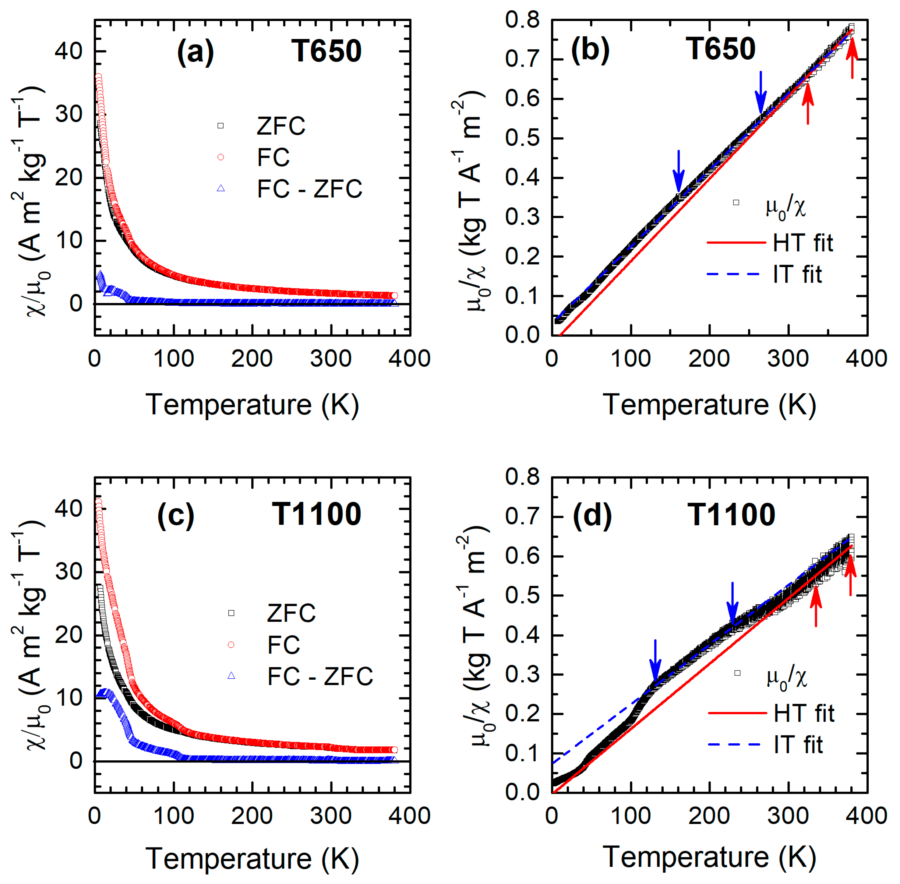
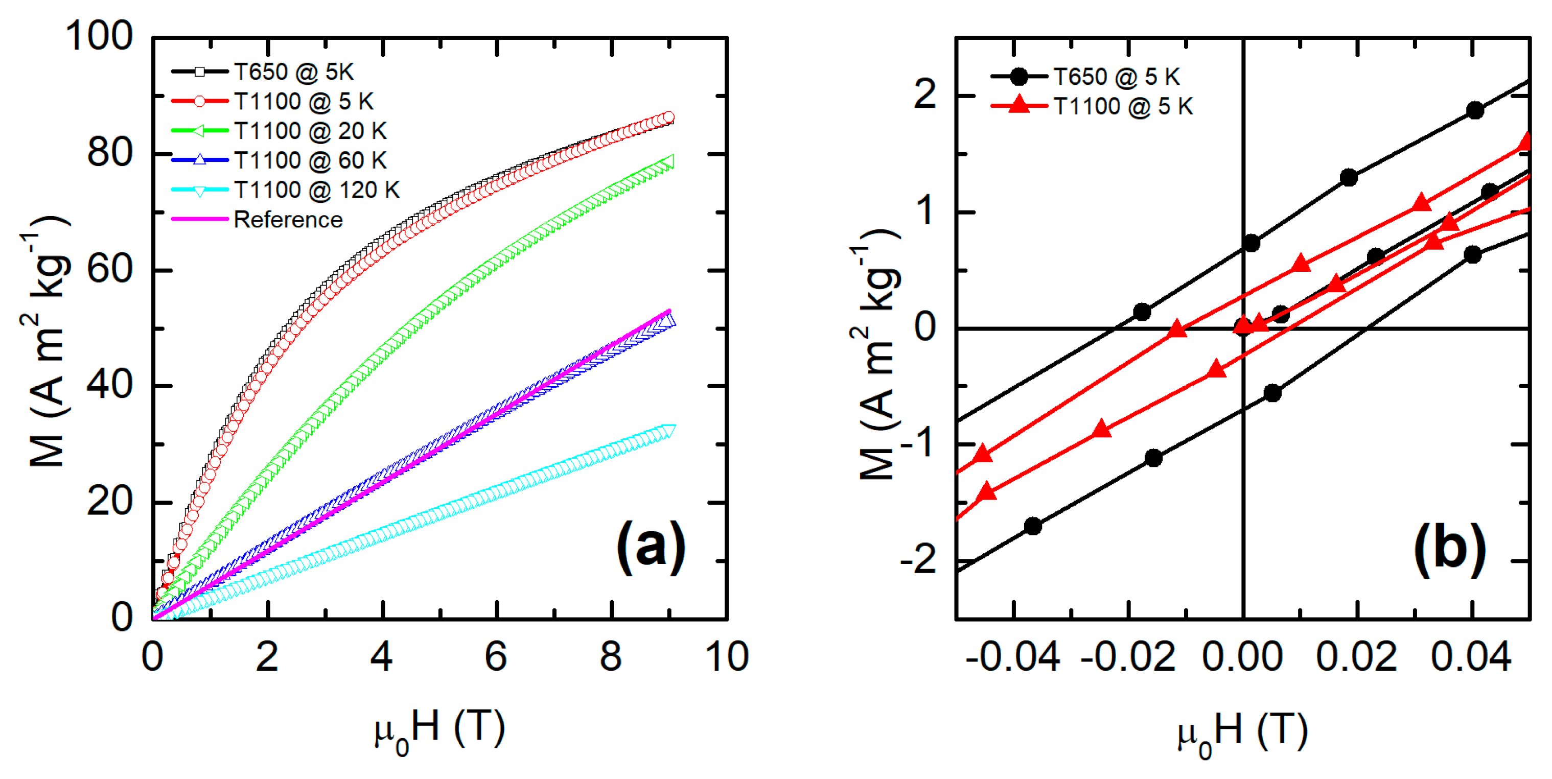
3.2. Magnetic Properties
4. Conclusions
Supplementary Materials
Author Contributions
Funding
Data Availability Statement
Acknowledgments
Conflicts of Interest
References
- Salamon, M.B.; Jaime, M. The Physics of Manganites: Structure and Transport. Rev. Mod. Phys. 2001, 73, 583–628. [Google Scholar] [CrossRef]
- Xia, W.; Pei, Z.; Leng, K.; Zhu, X. Research Progress in Rare Earth-Doped Perovskite Manganite Oxide Nanostructures. Nanoscale Res. Lett. 2020, 15, 9. [Google Scholar] [CrossRef]
- López, J.; De Lima, O.F.; Lisboa-Filho, P.N.; Araujo-Moreira, F.M. Specific Heat at Low Temperatures and Magnetic Measurements in Nd0.5Sr0.5MnO3 and R0.5Ca0.5MnO3 (R = Nd, Sm, Dy, and Ho) Samples. Phys. Rev. B 2002, 66, 214402. [Google Scholar] [CrossRef]
- Yoshii, K.; Abe, H.; Ikeda, N. Structure, Magnetism and Transport of the Perovskite Manganites Ln0.5Ca0.5MnO3 (Ln = Ho, Er, Tm, Yb and Lu). J. Solid State Chem. 2005, 178, 3615–3623. [Google Scholar] [CrossRef]
- Tomioka, Y.; Ito, T.; Sawa, A. Electronic Phase Diagram of Half-Doped Perovskite Manganites on the Plane of Quenched Disorder versus One-Electron Bandwidth. Phys. Rev. B 2018, 97, 014409. [Google Scholar] [CrossRef]
- Terai, T.; Sasaki, T.; Kakeshita, T.; Fukuda, T.; Saburi, T.; Kitagawa, H.; Kindo, K. Electronic and Magnetic Properties of Compounds Dy, Ho, Er, Ca). Phys. Rev. B Condens. Matter Mater. Phys. 2000, 61, 3488–3493. [Google Scholar] [CrossRef]
- Shannon, R.D. Revised Effective Ionic Radii and Systematic Studies of Interatomic Distances in Halides and Chalcogenides. Acta Cryst. A 1976, 32, 751–767. [Google Scholar] [CrossRef]
- Goodenough, J.B.; Longo, M. Magnetic and Other Properties of Oxides and Related Compounds; Landolt-Börnstein: Numerical Data and Functional Relationships in Science and Technology—New Series; Hellwege, K.-H., Hellwege, A.M., Eds.; Springer: Berlin/Heidelberg, Germany, 1970; Volume 4a, ISBN 978-3-540-04898-5. [Google Scholar]
- Yakel Jnr, H.L.; Koehler, W.C.; Bertaut, E.F.; Forrat, E.F. On the Crystal Structure of the Manganese (III) Trioxides of the Heavy Lanthanides and Yttrium. Acta Cryst. 1963, 16, 957–962. [Google Scholar] [CrossRef]
- El Baggari, I.; Baek, D.J.; Zachman, M.J.; Lu, D.; Hikita, Y.; Hwang, H.Y.; Nowadnick, E.A.; Kourkoutis, L.F. Charge Order Textures Induced by Non-Linear Couplings in a Half-Doped Manganite. Nat. Commun. 2021, 12, 3747. [Google Scholar] [CrossRef] [PubMed]
- Goodenough, J.B. Electronic Structure of CMR Manganites (Invited). J. Appl. Phys. 1997, 81, 5330–5335. [Google Scholar] [CrossRef]
- Daoud-Aladine, A.; Rodríguez-Carvajal, J.; Pinsard-Gaudart, L.; Fernández-Díaz, M.T.; Revcolevschi, A. Zener Polaron Ordering in Half-Doped Manganites. Phys. Rev. Lett. 2002, 89, 097205. [Google Scholar] [CrossRef] [PubMed]
- Martinelli, A.; Ferretti, M.; Castellano, C.; Cimberle, M.R.; Masini, R.; Ritter, C. Neutron Powder Diffraction Investigation on the Crystal and Magnetic Structure of (Ho0.50+xCa0.50−x)(Mn1−xCrx)O3. J. Phys. Condens. Matter 2011, 23, 416005. [Google Scholar] [CrossRef]
- Giri, S.K.; Yusuf, S.M.; Mukadam, M.D.; Nath, T.K. Enhanced Exchange Bias Effect in Size Modulated Sm0.5Ca0.5MnO3 Phase Separated Manganite. J. Appl. Phys. 2014, 115, 093906. [Google Scholar] [CrossRef]
- Shankar, U.; Singh, A.K. Origin of Suppression of Charge Ordering Transition in Nanocrystalline Ln0.5Ca0.5MnO3 (Ln = La, Nd, Pr) Ceramics. J. Phys. Chem. C 2015, 119, 28620–28630. [Google Scholar] [CrossRef]
- Liu, L.; Yuan, S.L.; Tian, Z.M.; Liu, X.; He, J.H.; Li, P.; Wang, C.H.; Zheng, X.F.; Yin, S.Y. Suppression of Charge Order and Exchange Bias Effect in Nd0.5Ca0.5MnO3. J. Phys. D Appl. Phys. 2009, 42, 045003. [Google Scholar] [CrossRef]
- Aliyu, H.D.; Alonso, J.M.; De La Presa, P.; Pottker, W.E.; Ita, B.; Garcia-Hernández, M.; Hernando, A. Surface Ferromagnetism in Pr0.5Ca0.5MnO3 Nanoparticles as a Consequence of Local Imbalance in Mn3+: Mn4+ Ratio. Chem. Mater. 2018, 30, 7138–7145. [Google Scholar] [CrossRef]
- Giri, S.K.; Poddar, A.; Nath, T.K. Surface Spin Glass and Exchange Bias Effect in Sm0.5Ca0.5MnO3 Manganites Nano Particles. AIP Adv. 2011, 1, 032110. [Google Scholar] [CrossRef]
- Zener, C. Interaction between the d-Shells in the Transition Metals II. Ferromagnetic Compounds of Manganese with Perovskite Structure. Phys. Rev. 1951, 82, 403–405. [Google Scholar] [CrossRef]
- Anderson, P.W. Antiferromagnetism. Theory of Superexchange Interaction. Phys. Rev. 1950, 79, 350–356. [Google Scholar] [CrossRef]
- Pusceddu, E. Structure and Magnetic Properties in Half-Doped Manganites Ln0.5Ca0.5MnO3 (Ln = La, Pr, Nd,…, Lu). A Systematic Study by Neutron Scattering and Ab-Initio Calculations. Ph.D. Thesis, Doctoral School of Physics, Grenoble, France, 2011. [Google Scholar]
- Geddo Lehmann, A.; Muscas, G.; Ferretti, M.; Pusceddu, E.; Peddis, D.; Congiu, F. Structural and Magnetic Properties of Nanosized Half-Doped Rare-Earth Ho0.5Ca0.5MnO3 Manganite. Appl. Sci. 2022, 12, 695. [Google Scholar] [CrossRef]
- Muscas, G.; Anil Kumar, P.; Barucca, G.; Concas, G.; Varvaro, G.; Mathieu, R.; Peddis, D. Designing New Ferrite/Manganite Nanocomposites. Nanoscale 2016, 8, 2081–2089. [Google Scholar] [CrossRef]
- Lutterotti, L.; Matthies, S.; Wenk, H.-R. MAUD: A Friendly Java Program for Material Analysis Using Diffraction. IUCr Newsl. CPD 1999, 21, 14–15. [Google Scholar]
- Toby, B.H. R Factors in Rietveld Analysis: How Good Is Good Enough? Powder Diffr. 2006, 21, 67–70. [Google Scholar] [CrossRef]
- Ateia, E.E.; Mohamed, A.T.; Elshimy, H. The Impact of Antisite Disorder on the Physical Properties of La2FeB”O6 (B” = Fe, Ni and Co) Double Perovskites. Appl. Nanosci. 2020, 10, 1489–1499. [Google Scholar] [CrossRef]
- Matthies, S.; Merkel, S.; Wenk, H.R.; Hemley, R.J.; Mao, H. Effects of Texture on the Determination of Elasticity of Polycrystalline ϵ-Iron from Diffraction Measurements. Earth Planet. Sci. Lett. 2001, 194, 201–212. [Google Scholar] [CrossRef]
- Matthies, S.; Priesmeyer, H.G.; Daymond, M.R. On the Diffractive Determination of Single-Crystal Elastic Constants Using Polycrystalline Samples. J. Appl. Crystallogr. 2001, 34, 585–601. [Google Scholar] [CrossRef]
- Schindelin, J.; Arganda-Carreras, I.; Frise, E.; Kaynig, V.; Longair, M.; Pietzsch, T.; Preibisch, S.; Rueden, C.; Saalfeld, S.; Schmid, B.; et al. Fiji: An Open-Source Platform for Biological-Image Analysis. Nat. Methods 2012, 9, 676–682. [Google Scholar] [CrossRef]
- Mathieu, R.; Jönsson, P.; Nam, D.N.H.; Nordblad, P. Memory and Superposition in a Spin Glass. Phys. Rev. B 2001, 63, 092401. [Google Scholar] [CrossRef]
- Martinelli, A.; Ferretti, M.; Castellano, C.; Cimberle, M.R.; Masini, R.; Peddis, D.; Ritter, C. Structural, Microstructural and Magnetic Properties of (La1−xCax)MnO3 Nanoparticles. J. Phys. Condens. Matter 2013, 25, 176003. [Google Scholar] [CrossRef]
- Blake, G.R.; Chapon, L.C.; Radaelli, P.G.; Park, S.; Hur, N.; Cheong, S.-W.; Rodríguez-Carvajal, J. Spin Structure and Magnetic Frustration in Multiferroic RMn2O5 (R = Tb, Ho, Dy). Phys. Rev. B 2005, 71, 214402. [Google Scholar] [CrossRef]
- Muscas, G.; Singh, G.; Glomm, W.R.; Mathieu, R.; Kumar, P.A.; Concas, G.; Agostinelli, E.; Peddis, D. Tuning the Size and Shape of Oxide Nanoparticles by Controlling Oxygen Content in the Reaction Environment: Morphological Analysis by Aspect Maps. Chem. Mater. 2015, 27, 1982–1990. [Google Scholar] [CrossRef]
- Nadig, P.R.; Murari, M.S.; Daivajna, M.D. Influence of Heat Sintering on the Physical Properties of Bulk La0.67Ca0.33MnO3 Perovskite Manganite: Role of Oxygen in Tuning the Magnetocaloric Response. Phys. Chem. Chem. Phys. 2024, 26, 5237–5252. [Google Scholar] [CrossRef] [PubMed]
- Ashcroft, N.W.; Mermin, N.D. Solid State Physics; Holt, Rinehart and Winston: Boston, MA, USA, 1976; ISBN 978-0-03-083993-1. [Google Scholar]
- Zhou, S.; Guo, Y.; Zhao, J.; He, L.; Wang, C.; Shi, L. Particle Size Effects on Charge and Spin Correlations in Nd0.5Ca0.5MnO3 Nanoparticles. J. Phys. Chem. C 2011, 115, 11500–11506. [Google Scholar] [CrossRef]
- Dhieb, S.; Krichene, A.; Fettar, F.; Chniba Boudjada, N.; Boujelben, W. Stability of Charge Ordering in La0.5−xHoxCa0.5MnO3 Polycrystalline Manganites. Appl. Phys. A 2021, 127, 700. [Google Scholar] [CrossRef]
- Coey, J.M.D. Magnetism and Magnetic Materials; Cambridge University Press: Cambridge, UK, 2010; ISBN 978-0-521-01676-6. [Google Scholar]
- Sharma, M.K.; Basu, T.; Mukherjee, K.; Sampathkumaran, E.V. Enhancement of Magnetic Ordering Temperature and Magnetodielectric Coupling by Hole Doping in a Multiferroic DyFe0.5Cr0.5O3. J. Phys. Condens. Matter 2017, 29, 085801. [Google Scholar] [CrossRef] [PubMed]
- Mathieu, R.; He, J.P.; Yu, X.Z.; Kaneko, Y.; Uchida, M.; Lee, Y.S.; Arima, T.; Asamitsu, A.; Tokura, Y. Coexistence of Long-Ranged Charge and Orbital Order and Spin-Glass State in Single-Layered Manganites with Weak Quenched Disorder. Europhys. Lett. 2007, 80, 37001. [Google Scholar] [CrossRef]
- Mydosh, J.A. Spin Glasses: An Experimental Introduction; CRC Press: London, UK, 2014; ISBN 978-0-429-08013-5. [Google Scholar]
- Dhieb, S.; Krichene, A.; Boudjada, N.C.; Boujelben, W. Structural and Magnetic Properties of Charge-Ordered La0.5-xHoxCa0.5MnO3 (0 ≤ x ≤ 0.15). J. Alloys Compd. 2020, 823, 153728. [Google Scholar] [CrossRef]
- Žurauskienė, N.; Balevičius, S.; Žurauskaitė, L.; Keršulis, S.; Stankevič, V.; Tolvaišienė, S. Nanostructured Manganite Films as Protectors Against Fast Electromagnetic Pulses. IEEE Trans. Plasma Sci. 2013, 41, 2890–2895. [Google Scholar] [CrossRef]
- Andrade, V.M.; Pedro, S.S.; Caraballo Vivas, R.J.; Rocco, D.L.; Reis, M.S.; Campos, A.P.C.; Coelho, A.A.; Escote, M.; Zenatti, A.; Rossi, A.L. Magnetocaloric Functional Properties of Sm0.6Sr0.4MnO3 Manganite Due to Advanced Nanostructured Morphology. Mater. Chem. Phys. 2016, 172, 20–25. [Google Scholar] [CrossRef]
- Perna, P.; Maccariello, D.; Ajejas, F.; Guerrero, R.; Méchin, L.; Flament, S.; Santamaria, J.; Miranda, R.; Camarero, J. Engineering Large Anisotropic Magnetoresistance in La0.7Sr0.3MnO3 Films at Room Temperature. Adv. Funct. Mater. 2017, 27, 1700664. [Google Scholar] [CrossRef]
- Mrinaleni, R.S.; Amaladass, E.P.; Amirthapandian, S.; Sathyanarayana, A.T.; Jegadeesan, P.; Ganesan, K.; Ghosh, C.; Sarguna, R.M.; Rao, P.N.; Gupta, P.; et al. Enhanced Temperature Coefficient of Resistance in Nanostructured Nd0.6Sr0.4MnO3 Thin Films. Thin Solid Film. 2023, 779, 139933. [Google Scholar] [CrossRef]
- Balevičius, S.; Žurauskienė, N.; Stankevič, V.; Herrmannsdörfer, T.; Zherlitsyn, S.; Skourski, Y.; Wolff-Fabris, F.; Wosnitza, J. CMR-B-Scalar Sensor Application for High Magnetic Field Measurement in Nondestructive Pulsed Magnets. IEEE Trans. Magn. 2013, 49, 5480–5484. [Google Scholar] [CrossRef]
- Balevičius, S.; Žurauskienė, N.; Stankevič, V.; Keršulis, S.; Plaušinaitienė, V.; Abrutis, A.; Zherlitsyn, S.; Herrmannsdörfer, T.; Wosnitza, J.; Wolff-Fabris, F. Nanostructured Thin Manganite Films in Megagauss Magnetic Field. Appl. Phys. Lett. 2012, 101, 092407. [Google Scholar] [CrossRef]





| Sample | D (nm) | a (Å) | b (Å) | c (Å) | ε (degrees) | Rwp (%) | Rexp (%) | RB (%) | Gof |
|---|---|---|---|---|---|---|---|---|---|
| T650 | 39 (3) | 5.458 (1) | 7.470 (2) | 5.301 (1) | 0.0029 (2) | 10.58 | 6.70 | 8.46 | 1.52 |
| T750 | 53 (2) | 5.459 (2) | 7.467 (2) | 5.298 (1) | 0.0038 (4) | 12.49 | 7.52 | 9.99 | 1.66 |
| T900 | 86 (3) | 5.462 (1) | 7.460 (1) | 5.310 (1) | 0.0027 (1) | 12.69 | 8.19 | 10.03 | 1.55 |
| T1000 | 106 (3) | 5.462 (1) | 7.460 (1) | 5.310 (1) | 0.0025 (1) | 12.71 | 8.26 | 10.06 | 1.54 |
| T1100 | 135 (5) | 5.459 (1) | 7.454 (1) | 5.306 (1) | 0.0023 (1) | 11.08 | 7.40 | 8.66 | 1.50 |
| Sample | TCO (K) | Tirr (K) | θHT (K) | θIT (K) | CMn IT/CMn HT |
|---|---|---|---|---|---|
| T650 | 292 (10) | 102 (5) | 10 (3) | −16 (2) | 1.50 (12) |
| T750 | 270 (10) | 108 (5) | 15 (6) | −23 (1) | 1.49 (12) |
| T900 | 278 (10) | 111 (5) | 21 (4) | −30 (3) | 1.59 (13) |
| T1000 | 274 (10) | 115 (5) | 9 (3) | −39 (4) | 1.50 (12) |
| T1100 | 293 (30) | 115 (5) | 2 (3) | −46 (5) | 1.53 (12) |
| Sample | MR (A m2 kg−1) | µ0HC (mT) | M9T (A m2 kg−1) |
|---|---|---|---|
| T650 | 0.66 (3) | 22 (2) | 86.0 (1) |
| T750 | 0.93 (3) | 36 (2) | 95.3 (1) |
| T900 | 0.59 (1) | 22.3 (5) | 91.0 (1) |
| T1000 | 0.33 (1) | 11.4 (2) | 85.6 (1) |
| T1100 | 0.25 (2) | 9 (1) | 86.3 (1) |
Disclaimer/Publisher’s Note: The statements, opinions and data contained in all publications are solely those of the individual author(s) and contributor(s) and not of MDPI and/or the editor(s). MDPI and/or the editor(s) disclaim responsibility for any injury to people or property resulting from any ideas, methods, instructions or products referred to in the content. |
© 2025 by the authors. Licensee MDPI, Basel, Switzerland. This article is an open access article distributed under the terms and conditions of the Creative Commons Attribution (CC BY) license (https://creativecommons.org/licenses/by/4.0/).
Share and Cite
Muscas, G.; Congiu, F.; Geddo Lehmann, A.; Concas, G. Charge-Ordering and Magnetic Transitions in Nanocrystalline Half-Doped Rare Earth Manganite Ho0.5Ca0.5MnO3. Nanomaterials 2025, 15, 203. https://doi.org/10.3390/nano15030203
Muscas G, Congiu F, Geddo Lehmann A, Concas G. Charge-Ordering and Magnetic Transitions in Nanocrystalline Half-Doped Rare Earth Manganite Ho0.5Ca0.5MnO3. Nanomaterials. 2025; 15(3):203. https://doi.org/10.3390/nano15030203
Chicago/Turabian StyleMuscas, Giuseppe, Francesco Congiu, Alessandra Geddo Lehmann, and Giorgio Concas. 2025. "Charge-Ordering and Magnetic Transitions in Nanocrystalline Half-Doped Rare Earth Manganite Ho0.5Ca0.5MnO3" Nanomaterials 15, no. 3: 203. https://doi.org/10.3390/nano15030203
APA StyleMuscas, G., Congiu, F., Geddo Lehmann, A., & Concas, G. (2025). Charge-Ordering and Magnetic Transitions in Nanocrystalline Half-Doped Rare Earth Manganite Ho0.5Ca0.5MnO3. Nanomaterials, 15(3), 203. https://doi.org/10.3390/nano15030203

