Synthesis, Crystal Structure and Thermoelectric Properties of the Type-I Clathrate Sn38Sb8I8
Abstract
1. Introduction
2. Materials and Methods
3. Results and Discussion
3.1. Structural and Chemical Analysis
3.2. Raman Spectroscopy
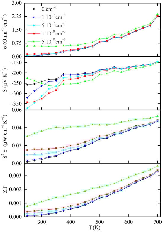
3.3. Thermoelectric Properties
3.4. Computational Analysis
3.4.1. Structural Optimization and Thermodynamic Stability
3.4.2. Electronic Structure: Density of States
3.4.3. Transport Properties
4. Conclusions
Supplementary Materials
Author Contributions
Funding
Data Availability Statement
Acknowledgments
Conflicts of Interest
Abbreviations
| PXRD | Powder X-ray Diffraction |
| ZT | Thermoelectric figure of merit |
| DFT | Density Functional Theory |
| DOS | Density of States |
| ICP-MS | Induced Coupled Plasma-Mass Spectrometry |
| SEM | Scanning Electron Microscopy |
| EDX | Energy-Dispersive X-ray analysis |
References
- Kovnir, K.; Shevelkov, A.V. Semiconducting Clathrates: Synthesis, Structure and Properties. Russ. Chem. Rev. 2004, 73, 923–938. [Google Scholar] [CrossRef]
- Park, Y.; Kim, D.; Kim, J.; Yoon, J.; Lee, S. Advances in Nanomaterials for Sustainable Gas Separation and Storage: Focus on Clathrate Hydrates. Acc. Chem. Res 2023, 56, 3111–3120. [Google Scholar] [CrossRef]
- Freer, R.; Ekren, D.; Ghosh, T.; Biswas, K.; Qiu, P.; Wan, S.; Chen, L.; Han, S.; Fu, C.; Zhu, T.; et al. Key properties of inorganic thermoelectric materials—Tables (version 1). J. Phys. Energy 2022, 4, 022002. [Google Scholar] [CrossRef]
- Menke, H.; von Schnering, H.G. Die Käfigverbindungen Ge38A8X8 mit A = P, As, Sb und X = Cl, Br, J. Z. Anorg. Allg. Chem. 1973, 395, 183–198. [Google Scholar] [CrossRef]
- Corbett, J. Polyatomic Zintl Anions of the Post-Transition Elements. Chem. Rev. 1985, 85, 383–397. [Google Scholar] [CrossRef]
- Kishimoto, K.; Arimura, S.; Koyanagi, T. Preparation and Thermoelectric Properties of Sintered Iodine-Containing Clathrate Compounds Ge38Sb8I8 and Sn38Sb8I8. Appl. Phys. Lett. 2006, 88, 222115. [Google Scholar] [CrossRef]
- Christensen, M.; Johnsen, S.; Iversen, B.B. Thermoelectric Clathrates of Type I. Dalton Trans. 2010, 39, 978–992. [Google Scholar] [CrossRef] [PubMed]
- Dolyniuk, J.; Lee, K.; Kovnir, K.; Ovchinnikov, I.; Zaikina, J.V. Clathrate Thermoelectrics. Mater. Sci. Eng. R Rep. 2016, 108, 1–46. [Google Scholar] [CrossRef]
- Falmbigl, M.; Rogl, P.F.; Bauer, E.; Kriegisch, M.; Müeller, H.; Paschen, S. On the Thermoelectric Potential of Inverse Clathrates. MRS Online Proc. Libr. 2009, 1166, 603. [Google Scholar] [CrossRef]
- Shatruk, M.M.; Kovnir, K.A.; Lindsjo, M.; Presniakov, I.A.; Kloo, L.A.; Shevelkov, A.V. Novel Compounds Sn10In14P22I8 and Sn14In10P21.2I8 with Clathrate I Structure: Synthesis and Crystal and Electronic Structure. J. Solid State Chem. 2001, 161, 233–242. [Google Scholar] [CrossRef]
- Kovnir, K.A.; Shatruk, M.M.; Reshetova, L.N.; Presniakov, I.A.; Dikarev, E.V.; Baitinger, M.; Haarmann, F.; Schnelle, W.; Baenitz, M.; Grin, Y.; et al. Novel Compounds Sn20Zn4P22-vI8 (v = 1.2), Sn17Zn7P22I8, and Sn17Zn7P22Br8: Synthesis, Properties, and Special Features of Their Clathrate-like Crystal Structures. Solid State Sci. 2005, 7, 957–968. [Google Scholar] [CrossRef]
- Zaikina, J.V.; Schnelle, W.; Kovnir, K.A.; Olenev, A.V.; Grin, Y.; Shevelkov, A.V. Crystal Structure, Thermoelectric and Magnetic Properties of the Type-I Clathrate Solid Solutions Sn24P19.3(2)BrxI8-x (0 ≤ x ≤ 8) and Sn24P19.3(2)ClyI8-y (y ≤ 0.8). Solid State Sci. 2007, 9, 664–671. [Google Scholar] [CrossRef]
- Eto, T.; Koga, K.; Kamei, T.; Akai, K.; Matsuura, M. Electronic Structure and Thermoelectric Properties for Iodine-Doped Clathrate Compounds. Trans. Mater. Res. Soc. Jpn. 2006, 31, 315–318. [Google Scholar]
- Shatruk, M.M.; Kovnir, K.A.; Shevelkov, A.V.; Presniakov, I.A.; Popovkin, B.A. First Tin Pnictide Halides Sn24P19.3I8 and Sn24As19.3I8: Synthesis and the Clathrate-I Type of the Crystal Structure. Inorg. Chem. 1999, 38, 3455–3457. [Google Scholar] [CrossRef] [PubMed]
- Zaikina, J.V.; Mori, T.; Kovnir, K.; Teschner, D.; Senyshyn, A.; Schwarz, U.; Grin, Y.; Shevelkov, A.V. Bulk and Surface Structure and High-Temperature Thermoelectric Properties of Inverse Clathrate-III in the Si-P-Te System. Chem. Eur. J. 2010, 16, 12582–12589. [Google Scholar] [CrossRef]
- Momma, K.; Izumi, F. VESTA 3 for Three-Dimensional Visualization of Crystal, Volumetric and Morphology Data. J. Appl. Crystallogr. 2011, 44, 1272–1276. [Google Scholar] [CrossRef]
- Roisnel, T.; Rodriguez-Carvajal, J. Fullprof, Version September 2012; Institut Laue-Langevin: Grenoble, France, 2012. [Google Scholar]
- Kresse, G.; Hafner, J. Ab Initio Molecular Dynamics for Liquid Metals. Phys. Rev. B 1993, 47, 558–561. [Google Scholar] [CrossRef]
- Kresse, G.; Furthmüller, J. Efficiency of Ab Initio Total Energy Calculations for Metals and Semiconductors Using a Plane-Wave Basis Set. Comput. Mater. Sci. 1996, 6, 15–50. [Google Scholar] [CrossRef]
- Kresse, G.; Furthmüller, J. Efficient Iterative Schemes for Ab Initio Total-Energy Calculations Using a Plane-Wave Basis Set. Phys. Rev. B 1996, 54, 11169. [Google Scholar] [CrossRef]
- Grimme, S. Semiempirical GGA-type density functional constructed with a long-range dispersion correction. J. Comput. Chem. 2006, 27, 1787–1799. [Google Scholar] [CrossRef]
- Ganose, A.M.; Jackson, A.J.; Scanlon, D.O. sumo: Command-line tools for plotting and analysis of periodic ab initio calculations. J. Open Source Softw. 2018, 3, 717. [Google Scholar] [CrossRef]
- Madsen, G.K.H.; Carrete, J.; Verstraete, M.J. BoltzTraP2, a program for interpolating band structures and calculating semi-classical transport coefficients. Comp. Phys. Comm. 2018, 231, 140–145. [Google Scholar] [CrossRef]
- Kelaidis, N.; Klontzas, E.; Kaltzoglou, A. A DFT Computational Study of Type-I Clathrates A8Sn46−x (A = Cs or NH4, x = 0 or 2). Materials 2024, 17, 4595. [Google Scholar] [CrossRef]
- Shimizu, H.; Imai, T.; Kume, T.; Sasaki, S.; Kaltzoglou, A.; Fässler, T.F. Raman spectroscopy study of type-I clathrates A8Sn44□2 (A = Rb, Cs) and Rb8Hg4Sn42. Chem. Phys. Lett. 2008, 464, 54–57. [Google Scholar] [CrossRef]
- Shimizu, H.; Oe, R.; Ohno, S.; Kume, T.; Sasaki, S.; Kishimoto, K.; Koyanagi, T.; Ohishi, Y. Raman and x-ray diffraction studies of cationic type-I clathrate I8Sb8Ge38: Pressure-induced phase transitions and amorphization. J. Appl. Phys. 2009, 105, 043522. [Google Scholar] [CrossRef]
- Nolas, G.S.; Kendziora, C.A. Raman scattering study of Ge and Sn compounds with type-I clathrate hydrate crystal structure. Phys. Rev. B 2000, 62, 7157. [Google Scholar] [CrossRef]
- Møllnitz, L.; Blake, N.P.; Metiu, H. Effects of Morphology on the Electronic and Transport Properties of Sn-Based Clathrates. J. Chem. Phys. 2002, 117, 1302–1312. [Google Scholar] [CrossRef]
- Morales-Ferreiro, J.O.; Diaz-Droguett, D.E.; Celentano, D.; Luo, T. First-Principles Calculations of Thermoelectric Properties of IV–VI Chalcogenides 2D Materials. Front. Mech. Eng. 2017, 3, 15. [Google Scholar] [CrossRef]
- Jasrasaria, D.; Berkelbach, T.C. Strong anharmonicity dictates ultralow thermal conductivities of type-I clathrates. Phys. Rev. B 2005, 112, 014308. [Google Scholar] [CrossRef]
- Ishibe, T.; Tomeda, A.; Komatsubara, Y.; Kitaura, R.; Uenuma, M.; Uraoka, Y.; Yamashita, Y.; Nakamura, Y. Carrier and phonon transport control by domain engineering for high-performance transparent thin film thermoelectric generator. Appl. Phys. Lett. 2021, 118, 151601. [Google Scholar] [CrossRef]
- Zhang, Y.; Sun, J.; Shuai, J.; Tang, X.; Tan, G. Lead-free SnTe-based compounds as advanced thermoelectrics. Mater. Today Phys. 2021, 19, 100405. [Google Scholar] [CrossRef]
- Saiga, Y.; Suekuni, K.; Deng, S.K.; Yamamoto, T.; Kono, Y.; Ohya, N.; Takabatake, T. Optimization of thermoelectric properties of type-VIII clathrate Ba8Ga16Sn30 by carrier tuning. J. All. Comp. 2010, 507, 1–5. [Google Scholar] [CrossRef]






| Sample and Its Nominal Composition | Lattice Parameter, a (Å) | Amount of β-Sn Impurity (wt%) | Amount of Sn–Sb Alloy Impurity (wt%) |
|---|---|---|---|
| Ball-milled and sintered Sn38Sb8I8 | 12.0390(2) | 3.1(1) | 1.4(1) |
| Ball-milled, sintered and hot-pressed Sn38Sb8I8 | 12.0401(1) | 12.1(4) | 6.4(2) |
| Ball-milled and sintered Sn30Sb16I8 | 11.9486(2) | 0 | 36.4(4) |
Disclaimer/Publisher’s Note: The statements, opinions and data contained in all publications are solely those of the individual author(s) and contributor(s) and not of MDPI and/or the editor(s). MDPI and/or the editor(s) disclaim responsibility for any injury to people or property resulting from any ideas, methods, instructions or products referred to in the content. |
© 2025 by the authors. Licensee MDPI, Basel, Switzerland. This article is an open access article distributed under the terms and conditions of the Creative Commons Attribution (CC BY) license (https://creativecommons.org/licenses/by/4.0/).
Share and Cite
Moutzouris, N.; Mangelis, P.; Kelaidis, N.; Tagiara, N.S.; Klontzas, E.; Koutselas, I.; Oikonomopoulos, P.; Sfetsas, T.; Kyratsi, T.; Kaltzoglou, A. Synthesis, Crystal Structure and Thermoelectric Properties of the Type-I Clathrate Sn38Sb8I8. Nanomaterials 2025, 15, 1727. https://doi.org/10.3390/nano15221727
Moutzouris N, Mangelis P, Kelaidis N, Tagiara NS, Klontzas E, Koutselas I, Oikonomopoulos P, Sfetsas T, Kyratsi T, Kaltzoglou A. Synthesis, Crystal Structure and Thermoelectric Properties of the Type-I Clathrate Sn38Sb8I8. Nanomaterials. 2025; 15(22):1727. https://doi.org/10.3390/nano15221727
Chicago/Turabian StyleMoutzouris, Nikolaos, Panagiotis Mangelis, Nikolaos Kelaidis, Nagia S. Tagiara, Emmanuel Klontzas, Ioannis Koutselas, Panagiotis Oikonomopoulos, Themistoklis Sfetsas, Theodora Kyratsi, and Andreas Kaltzoglou. 2025. "Synthesis, Crystal Structure and Thermoelectric Properties of the Type-I Clathrate Sn38Sb8I8" Nanomaterials 15, no. 22: 1727. https://doi.org/10.3390/nano15221727
APA StyleMoutzouris, N., Mangelis, P., Kelaidis, N., Tagiara, N. S., Klontzas, E., Koutselas, I., Oikonomopoulos, P., Sfetsas, T., Kyratsi, T., & Kaltzoglou, A. (2025). Synthesis, Crystal Structure and Thermoelectric Properties of the Type-I Clathrate Sn38Sb8I8. Nanomaterials, 15(22), 1727. https://doi.org/10.3390/nano15221727

