Exploring the Potential of Linear π-Bridge Structures in a D-π-A Organic Photosensitizer for Improved Open-Circuit Voltage
Abstract
1. Introduction
2. Materials and Methods
2.1. Synthesis of Organic D-π-A Photosensitizer
2.2. Fabrication of Solar Cell Devices
2.3. Performance Measurements
3. Results and Discussion
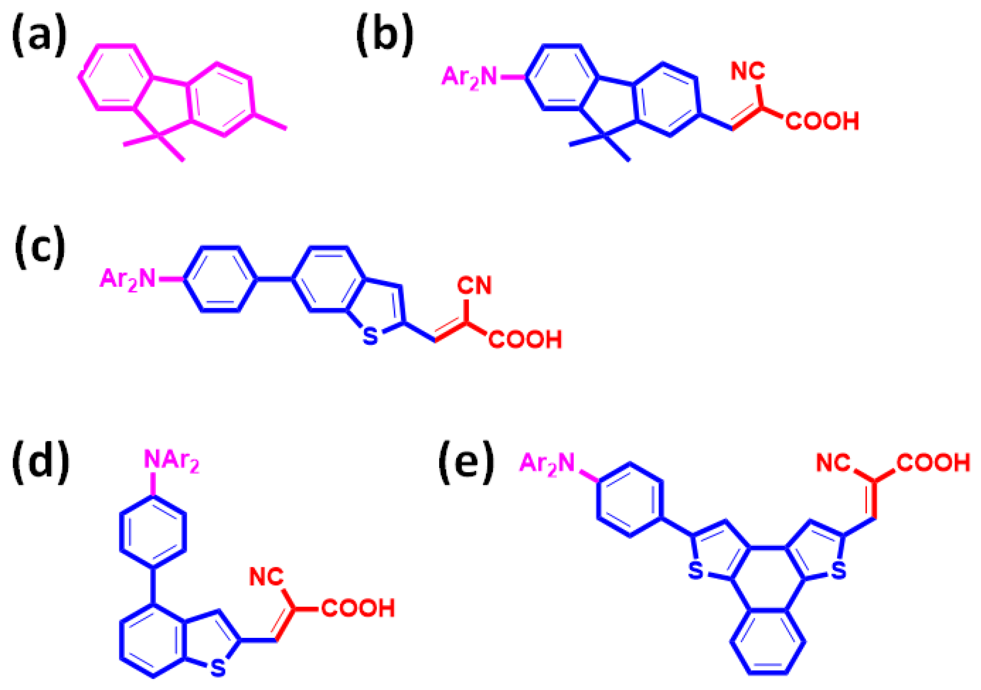
3.1. Synthesis Route of Organic Photosensitizers and Their Chemical Structures
3.2. Optical Properties of Metal-Free Organic Photosensitizer
3.3. Quantum Mechanical Calculations of Photoexcitation Phenomenon
3.4. Photovoltaic Performances
3.5. Analysis of Electrochemical Impedance Spectroscopy
4. Conclusions
Supplementary Materials
Author Contributions
Funding
Data Availability Statement
Acknowledgments
Conflicts of Interest
References
- Isaacs, M.; Garcia-Navarro, J.; Ong, W.-J.; Jiménez-Calvo, P. Is Photocatalysis the Next Technology to Produce Green Hydrogen to Enable the Net Zero Emissions Goal. Glob. Chall. 2023, 7, 22001. [Google Scholar] [CrossRef] [PubMed]
- Nocera, D.G. The Artificial Leaf. Acc. Chem. Res. 2012, 45, 767–776. [Google Scholar] [CrossRef] [PubMed]
- Navalón, S.; Dhakshinamoorthy, A.; Álvaro, M.; Ferrer, B.; García, H. Metal-Organic Frameworks as Photocatalysts for Solar-Driven Overall Water Splitting. Chem. Rev. 2023, 123, 445–490. [Google Scholar] [CrossRef]
- Andrei, V.; Wang, Q.; Uekert, T.; Bhattacharjee, S.; Reisner, E. Solar Panel Technologies for Light-to-Chemical Conversion. Acc. Chem. Res. 2022, 55, 3376–3386. [Google Scholar] [CrossRef]
- Dogutan, D.K.; Nocera, D.G. Artificial Photosynthesis at Efficiencies Greatly Exceeding That of Natural Photosynthesis. Acc. Chem. Res. 2019, 52, 3143–3148. [Google Scholar] [CrossRef]
- Madhu, M.; Ramakrishnan, R.; Vijay, V.; Hariharan, M. Free Charge Carriers in Homo-Sorted π-Stacks of Donor–Acceptor Conjugates. Chem. Rev. 2021, 121, 8234–8284. [Google Scholar] [CrossRef] [PubMed]
- Almenningen, D.M.; Hansen, H.E.; Vold, M.F.; Buene, A.F.; Venkatraman, V.; Sunde, S.; Hoff, B.H.; Gautun, O.R. Effect of Thiophene-based π-spacers on N-arylphenothiazine Dyes for Dye-Sensitized Solar Cells. Dyes Pigm. 2021, 185, 108951. [Google Scholar] [CrossRef]
- Zhang, S.-P.; Lin, J.-S.; Lin, R.-K.; Radjenovic, P.M.; Yang, W.-M.; Xu, J.; Dong, J.-C.; Yang, Z.-L.; Hang, W.; Tian, Z.-Q.; et al. In Situ Raman Study of the Photoinduced Behavior of Dye Molecules on TiO2(hkl) Single Crystal Surfaces. Chem. Sci. 2020, 11, 6431–6435. [Google Scholar] [CrossRef] [PubMed]
- O’regan, B.; Grätzel, M. A Low-Cost, High-Efficiency Solar Cell Based on Dye-Sensitized Colloidal TiO2 Films. Nature 1991, 353, 737–740. [Google Scholar] [CrossRef]
- Fakharuddin, A.; Jose, R.; Brown, T.M.; Fabregat-Santiagoc, F.; Bisquert, J. A Perspective on the Production of Dye-Sensitized Solar Modules. Energy Environ. Sci. 2014, 7, 3952–3981. [Google Scholar] [CrossRef]
- Rahmana, S.; Haleem, A.; Siddiq, M.; Hussain, M.K.; Qamara, S.; Hameedd, S.; Waris, M. Research on Dye Sensitized Solar Cells: Recent Advancement Toward the Various Constituents of Dye Sensitized Solar Cells for Efficiency Enhancement and Future Prospects. RSC Adv. 2023, 13, 19508–19529. [Google Scholar] [CrossRef]
- Kokkonen, M.; Talebi, P.; Zhou, J.; Asgari, S.; Soomro, S.A.; Elsehrawy, F.; Halme, J.; Ahmad, S.; Hagfeldt, A.; Hashmi, S.G. Advanced Research Trends in Dye-Sensitized Solar Cells. J. Mater. Chem. A 2021, 9, 10527–10545. [Google Scholar] [CrossRef] [PubMed]
- Zeng, K.; Tong, Z.; Ma, L.; Zhu, W.-H.; Wu, W.; Xie, Y. Molecular Engineering Strategies for Fabricating Efficient Porphyrin-Based Dye-Sensitized Solar Cells. Energy Environ. Sci. 2020, 13, 1617–1657. [Google Scholar] [CrossRef]
- Halme, J.; Mäkinen, P. Theoretical Efficiency Limits of Ideal Coloured Opaque Photovoltaics. Energy Environ. Sci. 2019, 12, 1274–1285. [Google Scholar] [CrossRef]
- Giacomo, F.D.; Fakharuddin, A.; Jose, R.; Brown, T.M. Progress, Challenges and Perspectives in Flexible Perovskite Solar Cells. Energy Environ. Sci. 2016, 9, 3007–3035. [Google Scholar] [CrossRef]
- Muñoz-García, A.B.; Benesperi, I.; Boschloo, G.; Concepcion, J.J.; Delcamp, J.H.; Gibson, E.A.; Meyer, G.J.; Pavone, M.; Pettersson, H.; Hagfeldt, A.; et al. Dye-Sensitized Solar Cells Strike Back. Chem. Soc. Rev. 2021, 50, 12450–12550. [Google Scholar] [CrossRef] [PubMed]
- Sen, A.; Groß, A. Promising Sensitizers for Dye Sensitized Solar Cells: A Comparison of Ru(II) with Other Earth’s Scarce and Abundant Metal Polypyridine Complexes. Int. J. Quantum Chem. 2019, 119, e25963. [Google Scholar] [CrossRef]
- Wu, C.-G. Ruthenium-Based Complex Dyes for Dye-Sensitized Solar Cells. J. Chin. Chem. Soc. 2022, 69, 1242–1252. [Google Scholar] [CrossRef]
- Tomar, N.; Agrawal, A.; Dhaka, V.S.; Surolia, P.K. Ruthenium Complexes Based Dye Sensitized Solar Cells: Fundamentals and Research Trends. Sol. Energy 2020, 207, 59–76. [Google Scholar] [CrossRef]
- Naik, P.; Abdellah, I.M.; Abdel-Shakour, M.; Su, R.; Keremane, K.S.; El-Shafei, A.; Adhikari, A.V. Improvement in Performance of N3 Sensitized DSSCs with Structurally Simple Aniline Based Organic Co-Sensitizers. Sol. Energy 2018, 174, 999–1007. [Google Scholar] [CrossRef]
- Najm, A.S.; Alwash, S.A.; Sulaiman, N.H.; Chowdhury, M.S.; Techato, K. N719 Dye as a Sensitizer for Dye-Sensitized Solar Cells (DSSCs): A Review of its Functions and Certain Rudimentary Principles. Environ. Prog. Sustain. Energy 2023, 42, e13955. [Google Scholar] [CrossRef]
- Chander, N.; Khan, A.F.; Komarala, V.K.; Chawla, S.; Dutta, V. Enhancement of Dye Sensitized Solar Cell Efficiency via Incorporation of Upconverting Phosphor Nanoparticles as Spectral Converters. Prog. Photovolt. 2016, 24, 692–703. [Google Scholar] [CrossRef]
- Younas, M.; Gondal, M.A.; Mehmood, U.; Harrabi, K.; Yamani, Z.H.; Al-Sulaiman, F.A. Performance Enhancement of Dye-Sensitized Solar Cells via Cosensitization of Ruthenizer Z907 and Organic Sensitizer SQ2. Int. J. Energy Res. 2018, 42, 3957–3965. [Google Scholar] [CrossRef]
- Wu, Y.; Marszalek, M.S.; Zakeeruddin, M.; Zhang, Q.; Tian, H.; Grätzel, M.; Zhu, W. High-Conversion-Efficiency Organic Dye-Sensitized Solar Cells: Molecular Engineering on D-A-π-A Featured Organic Indoline Dyes. Energy Environ. Sci. 2012, 5, 8261–8272. [Google Scholar] [CrossRef]
- Jiao, Y.; Zhang, F.; Grätzel, M.; Meng, S. Structure-Property Relations in All-Organic Dye-Sensitized Solar Cells. Adv. Funct. Mater. 2013, 23, 424–429. [Google Scholar] [CrossRef]
- Yang, J.; Ganesan, P.; Teuscher, J.; Moehl, T.; Kim, Y.J.; Yi, C.; Comte, P.; Pei, K.; Holcombe, T.W.; Nazeeruddin, M.K.; et al. Influence of the Donor Size in D-π-A Organic Dyes for Dye-Sensitized Solar Cells. J. Am. Chem. Soc. 2014, 136, 5722–5730. [Google Scholar] [CrossRef] [PubMed]
- Lee, M.-W.; Kim, J.-Y.; Son, H.J.; Kim, J.Y.; Kim, B.S.; Kim, H.; Lee, D.-K.; Kim, K.; Lee, D.-H.; Ko, M.J. Tailoring of Energy Levels in D-π-A Organic Dyes via Fluorination of Acceptor Units for Efficient Dye-Sensitized Solar Cells. Sci. Rep. 2015, 5, 7711. [Google Scholar] [CrossRef] [PubMed]
- Ziarani, G.M.; Moradi, R.; Lashgari, N.; Kruger, H.G. Metal-Free Synthetic Organic Dyes; Elsevier: New York, NY, USA, 2018. [Google Scholar] [CrossRef]
- Lee, M.-W.; Kim, J.-Y.; Lee, D.-H.; Ko, M.J. Novel D-π-A Organic Dyes with Thieno[3,2-b]thiophene-3,4-ethylenedioxythiophene Unit as a π-Bridge for Highly Efficient Dye-Sensitized Solar Cells with Long-Term Stability. ACS Appl. Mater. Interfaces 2014, 6, 4102–4108. [Google Scholar] [CrossRef]
- Shirota, Y.; Kinoshita, M.; Noda, T.; Okumoto, K.; Ohara, T. A Novel Class of Emitting Amorphous Molecular Materials as Bipolar Radical Formants: 2-{4-[Bis(4-methylphenyl)amino]phenyl}-5-(dimesitylboryl)thiophene and 2-{4-[Bis(9,9-dimethylfluorenyl)amino]phenyl}- 5-(dimesitylboryl)thiophene. J. Am. Chem. Soc. 2000, 122, 11021–11022. [Google Scholar] [CrossRef]
- Kauffman, J.M.; Moyna, G. Diarylamino Groups as Photostable Auxofluors in 2-Benzoxazolylfluorene, 2,5-Diphenyloxazoles, 1,3,5-Hexatrienes, 1,4-Distyrylbenzenes, and 2,7-Distyrylfluorenes. J. Org. Chem. 2003, 68, 839–853. [Google Scholar] [CrossRef]
- Bellamy, F.D.; Ou, K. Selective Reduction of Aromatic Nitro Compounds with Stannous Chloride in Non Acidic and Non Aqueous Medium. Tetrahedron Lett. 1984, 25, 839–842. [Google Scholar] [CrossRef]
- Raap, J.; Nieuwenhuis, S.; Creemers, A.; Hexspoor, S.; Kragl, U.; Lugtenburg, J. Synthesis of Isotopically Labelled L-Phenylalanine and L-Tyrosine. Eur. J. Org. Chem. 1999, 1999, 2609–2621. [Google Scholar] [CrossRef]
- Kim, D.; Lee, J.K.; Kang, S.O.; Ko, J. Molecular Engineering of Organic Dyes Containing N-aryl Carbazole Moiety for Solar Cell. Tetrahedron 2007, 63, 1913–1922. [Google Scholar] [CrossRef]
- Akay, S.; Yang, W.; Wang, J.; Lin, L.; Wang, B. Synthesis and Evaluation of Dual Wavelength Fluorescent Benzo[b]thiophene Boronic Acid Derivatives for Sugar Sensing. Chem. Biol. Drug Des. 2007, 70, 279–289. [Google Scholar] [CrossRef]
- Shirley, D.A.; Danzig, M.J. The Synthesis of 2-Thianaphthaldehyde and Some of its Derivatives. J. Am. Chem. Soc. 1952, 74, 2935–2936. [Google Scholar] [CrossRef]
- Cakmak, O.; Demirtas, I.; Balaydin, H.T. Selective Bromination of 1-bromonaphthalene: Efficient Synthesis of Bromonaphthalene Derivatives. Tetrahedron 2002, 58, 5603–5609. [Google Scholar] [CrossRef]
- Çelik, Í.; Akkurt, M.; Şenocak, A.; Çakmak, O.; Torre-Fernándezd, L.; García-Grandad, S. 1,4-Bis(methyl-sulfan-yl)naphthalene. Acta Crystallogr. E Struct Rep. Online 2009, 65, o1376. [Google Scholar] [CrossRef]
- Yan, P.; Xie, A.; Wei, M.; Loew, L.M. Amino(oligo)thiophene-Based Environmentally Sensitive Biomembrane Chromophores. J. Org. Chem. 2008, 73, 6587–6594. [Google Scholar] [CrossRef]
- Fischer, M.K.; Wenger, S.; Wang, M.; Mishra, A.; Zakeeruddin, S.M.; Gratzel, M.; Bauerle, P. D-π-A Sensitizers for Dye-Sensitized Solar Cells: Linear vs Branched Oligothiophenes. Chem. Mater. 2010, 22, 1836–1845. [Google Scholar] [CrossRef]
- Yu, Y.; Wang, X. Semiconductor Nanowires for Energy Harvesting. In Semiconductors and Semimetals; Elsevier: New York, NY, USA, 2016; Volume 94, pp. 297–368. [Google Scholar]
- Mikhnenko, O.V.; Blom, P.W.; Nguyen, T.-Q. Exciton Diffusion in Organic Semiconductors. Energy Environ. Sci. 2015, 8, 1867–1888. [Google Scholar] [CrossRef]
- Brusso, J.L.; Hirst, O.D.; Dadvand, A.; Ganesan, S.; Cicoira, F.; Robertson, C.M.; Oakley, R.T.; Rosei, F.; Perepichka, D.F. Two-Dimensional Structural Motif in Thienoacene Semiconductors: Synthesis, Structure, and Properties of Tetrathienoanthracene Isomers. Chem. Mater. 2008, 20, 2484–2494. [Google Scholar] [CrossRef]
- Yin, N.; Wang, L.; Lin, Y.; Yi, J.; Yan, L.; Dou, J.; Yang, H.-B.; Zhao, X.; Ma, C.-Q. Effect of the π-Conjugation Length on the Properties and Photovoltaic Performance of A-π-D-π-A Type Oligothiophenes with a 4,8-bis(thienyl)benzo[1,2-b:4,5-b′] dithiophene Core. Beilstein. J. Org. Chem. 2016, 12, 1788–1797. [Google Scholar] [CrossRef] [PubMed]
- Hagberg, D.P.; Yum, J.-H.; Lee, H.; De Angelis, F.; Marinado, T.; Karlsson, K.M.; Humphry-Baker, R.; Sun, L.; Hagfeldt, A.; Grätzel, M. Molecular Engineering of Organic Sensitizers for Dye-Sensitized Solar Cell Applications. J. Am. Chem. Soc. 2008, 130, 6259–6266. [Google Scholar] [CrossRef] [PubMed]
- Kuang, D.; Ito, S.; Wenger, B.; Klein, C.; Moser, J.-E.; Humphry-Baker, R.; Zakeeruddin, S.M.; Grätzel, M. High Molar Extinction Coefficient Heteroleptic Ruthenium Complexes for Thin Film Dye-Sensitized Solar Cells. J. Am. Chem. Soc. 2006, 128, 4146–4154. [Google Scholar] [CrossRef] [PubMed]
- Stephens, P.J.; Devlin, F.J.; Chabalowski, C.F.; Frisch, M.J. Ab Initio Calculation of Vibrational Absorption and Circular Dichroism Spectra Using Density Functional Force Fields. J. Phys. Chem. 1994, 98, 11623–11627. [Google Scholar] [CrossRef]





| Photosensitizer | λabs a (ε × 10−4 M−1 cm−1) nm | Sensitizer Loading [10−7 mol cm−2] | Eox1, Eox2 b V vs. NHE | E0-0 c eV | E0-0* d V vs. NHE |
|---|---|---|---|---|---|
| shPS | 370 (10.28), 426 (9.12) | 8.9 | 0.82, 1.09 | 2.43 | −1.62 |
| loPS | 343 (18.53) | 4.1 | 0.83, 1.15 | 2.61 | −1.79 |
| cPS | 350 (15.97), 412 (9.50) | 7.0 | 0.87, 1.20 | 2.44 | −1.57 |
| tPS | 370 (12.26) | 2.9 | 0.81, 1.13 | 2.61 | −1.80 |
| Dye | JSC (mA/cm2) | VOC (mV) | FF | η (%) |
|---|---|---|---|---|
| shPS | 7.86 | 846.6 | 0.73 | 4.84 |
| loPS | 6.38 | 736.4 | 0.67 | 3.16 |
| cPS | 7.77 | 743.1 | 0.72 | 4.14 |
| tPS | 5.27 | 832.8 | 0.66 | 2.90 |
Disclaimer/Publisher’s Note: The statements, opinions and data contained in all publications are solely those of the individual author(s) and contributor(s) and not of MDPI and/or the editor(s). MDPI and/or the editor(s) disclaim responsibility for any injury to people or property resulting from any ideas, methods, instructions or products referred to in the content. |
© 2024 by the authors. Licensee MDPI, Basel, Switzerland. This article is an open access article distributed under the terms and conditions of the Creative Commons Attribution (CC BY) license (https://creativecommons.org/licenses/by/4.0/).
Share and Cite
Lee, M.-W.; Yoo, S.; Kim, C.W. Exploring the Potential of Linear π-Bridge Structures in a D-π-A Organic Photosensitizer for Improved Open-Circuit Voltage. Nanomaterials 2024, 14, 1106. https://doi.org/10.3390/nano14131106
Lee M-W, Yoo S, Kim CW. Exploring the Potential of Linear π-Bridge Structures in a D-π-A Organic Photosensitizer for Improved Open-Circuit Voltage. Nanomaterials. 2024; 14(13):1106. https://doi.org/10.3390/nano14131106
Chicago/Turabian StyleLee, Min-Woo, Seunghyun Yoo, and Chang Woo Kim. 2024. "Exploring the Potential of Linear π-Bridge Structures in a D-π-A Organic Photosensitizer for Improved Open-Circuit Voltage" Nanomaterials 14, no. 13: 1106. https://doi.org/10.3390/nano14131106
APA StyleLee, M.-W., Yoo, S., & Kim, C. W. (2024). Exploring the Potential of Linear π-Bridge Structures in a D-π-A Organic Photosensitizer for Improved Open-Circuit Voltage. Nanomaterials, 14(13), 1106. https://doi.org/10.3390/nano14131106

