Efficient Design of Broadband and Low-Profile Multilayer Absorbing Materials on Cobalt–Iron Magnetic Alloy Doped with Rare Earth Element
Abstract
1. Introduction
2. Materials and Methods
2.1. Preparation of CoFe Alloys Doped with Nd/La
2.2. Characterization
3. Design and Optimization of Multilayer Absorber Materials
3.1. Mathematical Model of the Multilayer Absorbing Materials
3.2. Optimization Using IEDA for Searching the Broadband and Low-Profile Structure
4. Results and Discussion
4.1. Effect of Doping La/Nd on the Absorption Performance of CoFe Alloys
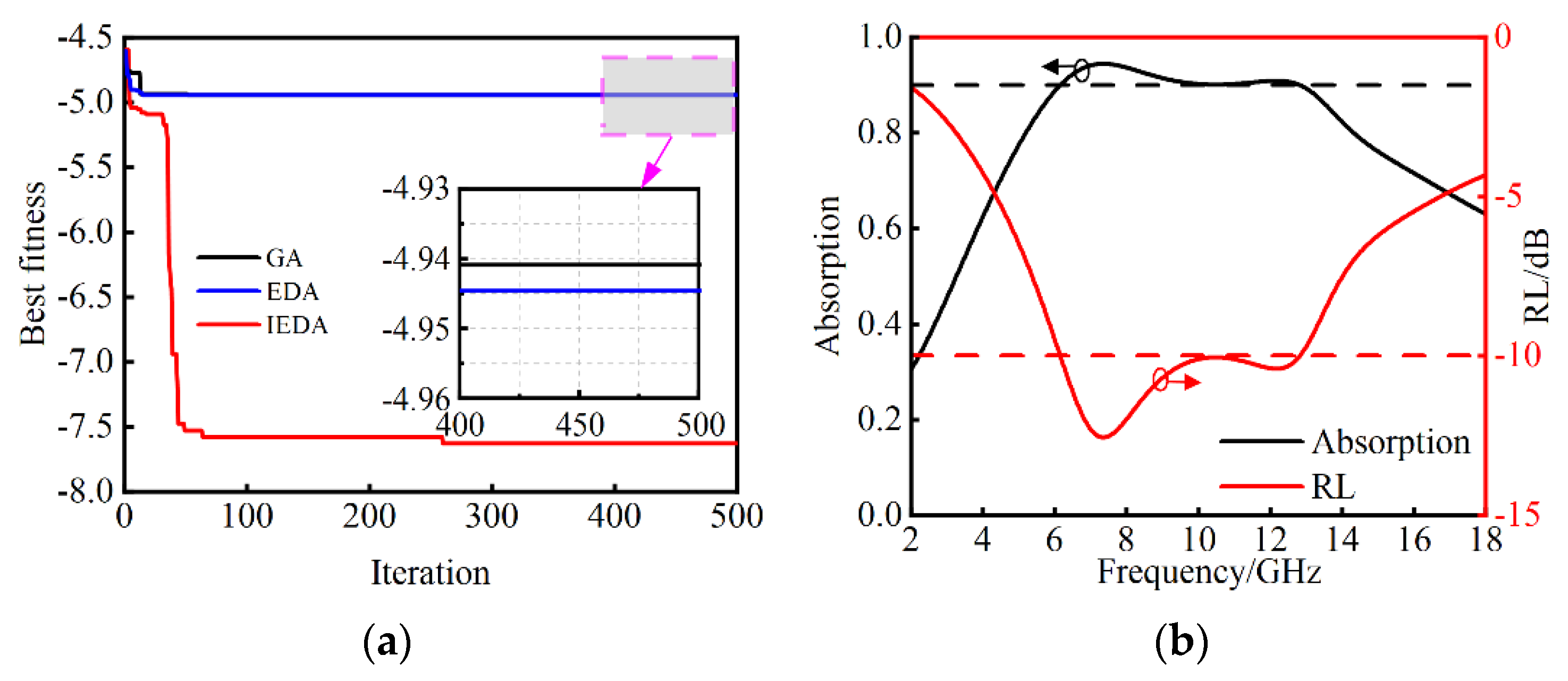
4.2. MAMs Design Using IEDA Optimizer
4.3. Experimental Verification
5. Conclusions
Author Contributions
Funding
Data Availability Statement
Conflicts of Interest
References
- Yao, J.R.; Zhou, J.T.; Lu, L.; Yang, F.; Yao, Z.J.; Ouyang, B.; Kan, E.J.; Zuo, Y.X.; Che, R.C.; Wu, F. Rare earth lanthanum pinning effect for corrosion resistance ultraefficient microwave absorption FeCo@rGO composites. J. Mater. Sci. Technol. 2024, 177, 181–190. [Google Scholar] [CrossRef]
- Cao, F.; Xu, J.; Zhang, X.; Li, B.; Zhang, X.; Ouyang, Q.; Zhang, X.; Chen, Y. Tuning Dielectric Loss of SiO2@CNTs for Electromagnetic Wave Absorption. Nanomaterials 2021, 11, 2636. [Google Scholar] [CrossRef]
- Peng, K.S.; Wu, Y.H.; Liu, C.Y.; Xiao, A.D.; Xu, G.Y.; Fang, G.; Zhang, Y.T.; Cao, Y.F.; Zhang, Y.J. Achievement of superior microwave absorption performance and ultra-wide regulation frequency range in Fe-Co-Nd via tuning the phase constitution and crystallinity. J. Magn. Magn. Mater. 2020, 502, 166561. [Google Scholar] [CrossRef]
- Zeng, X.J.; Cheng, X.Y.; Yu, R.H.; Stucky, G.D. Electromagnetic microwave absorption theory and recent achievements in microwave absorbers. Carbon 2020, 168, 606–623. [Google Scholar] [CrossRef]
- Li, B.; Tian, F.; Cui, X.; Xiang, B.; Zhao, H.; Zhang, H.; Wang, D.; Li, J.; Wang, X.; Fang, X.; et al. Review for Rare-Earth-Modified Perovskite Materials and Optoelectronic Applications. Nanomaterials 2022, 12, 1773. [Google Scholar] [CrossRef]
- Cheng, Y.; Ji, G.B.; Li, Z.Y.; Lv, H.L.; Liu, W.; Zhao, Y.; Cao, J.M.; Du, Y.W. Facile synthesis of FeCo alloys with excellent microwave absorption in the whole Ku-band: Effect of Fe/Co atomic ratio. J. Alloys Compd. 2017, 704, 289–295. [Google Scholar] [CrossRef]
- Yan, L.; Zhang, Y.J.; Zhang, Y.L.; Liu, R.; Liu, C.Y.; Wu, F.; Miao, X.F.; Liu, E.; Peng, X.L.; Li, J.; et al. Influence of Bi doping on the structure and electromagnetic wave absorption for LaFeO3 perovskite. J. Magn. Magn. Mater. 2024, 591, 171730. [Google Scholar] [CrossRef]
- Park, J.-H.; Ro, J.C.; Suh, S.-J. Fe/Co ratio dependent excellent microwave absorption of FeCo alloys with a wide bandwidth in the high-frequency region. Mater. Res. Bull. 2022, 145, 111513. [Google Scholar] [CrossRef]
- Han, Y.X.; He, M.K.; Hu, J.W.; Liu, P.B.; Liu, Z.W.; Ma, Z.L.; Ju, W.B.; Gu, J.W. Hierarchical design of FeCo-based microchains for enhanced microwave absorption in C band. Nano Res. 2023, 16, 1773–1778. [Google Scholar] [CrossRef]
- Thompson, D.R.; Liu, C.; Yang, J.; Salvador, J.R.; Haddad, D.B.; Ellison, N.D.; Waldo, R.A.; Yang, J.H. Rare-earth free p-type filled skutterudites: Mechanisms for low thermal conductivity and effects of Fe/Co ratio on the band structure and charge transport. Acta Mater. 2015, 92, 152–162. [Google Scholar] [CrossRef]
- Wen, H.; Zhao, W.; Han, X. Constructing Co3O4/La2Ti2O7 p-n Heterojunction for the Enhancement of Photocatalytic Hydrogen Evolution. Nanomaterials 2022, 12, 1695. [Google Scholar] [CrossRef]
- Xiong, J.L.; Pan, S.K. Effect of Rare Earth Elements on Electromagnetic and Microwave Absorption Properties of Fe-Based Alloys. J. Electron. Mater. 2017, 46, 6333–6340. [Google Scholar] [CrossRef]
- Zhang, Y.; Zhang, Y.; Yan, L.; Liu, R.; Liu, C.; Wu, F.; Liu, X.; Miao, X.; Shao, Y.; Gong, Y.; et al. Nd-, La-induced precipitate/defect in cobalt-iron magnetic alloy for strong and broadband microwave absorption. Acta Mater. 2024, 275, 120042. [Google Scholar] [CrossRef]
- Mang, C.Y.; Ma, Z.J.; Luo, J.; Rao, M.J.; Zhang, X.; Peng, Z.W. Electromagnetic wave absorption properties of cobalt-zinc ferrite nanoparticles doped with rare earth elements. J. Rare Earths 2021, 39, 1415–1426. [Google Scholar] [CrossRef]
- Ucar, H.; Choudhary, R.; Paudyal, D. Substitutional and interstitial doping in LaCo5 system for the development of hard magnetic properties: A first principles study. J. Alloys Compd. 2020, 836, 155263. [Google Scholar] [CrossRef]
- Pang, H.; Qiao, L.; Li, F.S. Calculation of magnetocrystalline anisotropy energy in NdCo5. Phys. Status Solidi (b) 2009, 246, 1345–1350. [Google Scholar] [CrossRef]
- Yao, H.M.; Yang, J.P.; Li, H.; Xu, J.C.; Bi, K. Optimal design of multilayer radar absorbing materials: A simulation-optimization approach. Adv. Compos. Hybrid Mater. 2023, 6, 43. [Google Scholar] [CrossRef]
- Wei, W.; Liu, X.; Lu, W.; Zhang, H.; He, J.; Wang, H.; Hou, Y. Light-weight Gadolinium Hydroxide@polypyrrole Rare-Earth Nanocomposites with Tunable and Broadband Electromagnetic Wave Absorption. ACS Appl. Mater. Interfaces 2019, 11, 12752–12760. [Google Scholar] [CrossRef]
- Liu, S.X.; Pei, C.B.; Khan, L.; Wang, H.; Tao, S.F. Multiobjective optimization of coding metamaterial for low-profile and broadband microwave absorber. IEEE Antennas Wirel. Propag. Lett. 2024, 23, 379–383. [Google Scholar] [CrossRef]
- Duong, T.X.; Tung, D.K.; Khuyen, B.X.; Anh, N.T.N.; Tung, B.S.; Lam, V.D.; Chen, L.Y.; Zheng, H.Y.; Lee, Y. Enhanced Electromagnetic Wave Absorption Properties of FeCo-C Alloy by Exploiting Metamaterial Structure. Crystals 2023, 13, 1006. [Google Scholar] [CrossRef]
- Goudos, S.K.; Sahalos, J.N. Microwave absorber optimal design using multi-objective particle swarm optimization. Microw. Opt. Technol. Lett. 2006, 48, 1553–1558. [Google Scholar] [CrossRef]
- El Assal, A.; Breiss, H.; Benzerga, R.; Sharaiha, A. Design and optimization of ultra-wideband planar multilayer absorber based on long-carbon fiber-loaded composites. J. Mater. Sci. 2021, 56, 19484–19500. [Google Scholar] [CrossRef]
- Tao, S.F.; Liu, B.C.; Liu, S.X.; Qi, L.; Wu, F.; Wang, H. Topological optimization of metamaterial absorber based on improved estimation of distribution algorithm. J. Syst. Eng. Electron. 2024; accepted. [Google Scholar]
- Toktas, A.; Ustun, D.; Erdogan, N. Pioneer Pareto artificial bee colony algorithm for three-dimensional objective space optimization of composite-based layered radar absorber. Appl. Soft Comput. 2020, 96, 106696. [Google Scholar] [CrossRef]
- Dang, S.C.; Lin, Y.; Wei, X.Z.; Ye, H. Design and preparation of an ultrawideband gradient triple-layered planar microwave absorber using flaky carbonyl iron as absorbent. J. Mater. Sci. Mater. Electron. 2018, 29, 17651–17660. [Google Scholar] [CrossRef]
- Chew, W.C. Planarly Layered Media. In Waves and Fields in Inhomogeneous Media; Dudley, D.G., Ed.; Wiley-IEEE Press: Hoboken, NJ, USA, 1990; pp. 45–160. [Google Scholar]
- Parazzoli, C.G.; Greegor, R.B.; Li, K.; Koltenbah, B.E.C.; Tanielian, M. Experimental Verification and Simulation of Negative Index of Refraction Using Snell’s Law. Phys. Rev. Lett. 2003, 90, 107401. [Google Scholar] [CrossRef]
- Hauschild, M.; Pelikan, M. An introduction and survey of estimation of distribution algorithms. Swarm Evol. Comput. 2011, 1, 111–128. [Google Scholar] [CrossRef]
- Li, J.Y.; Zhan, Z.H.; Xu, J.; Kwong, S.; Zhang, J. Surrogate-assisted hybrid-model estimation of distribution algorithm for mixed-variable hyperparameters optimization in convolutional neural networks. IEEE Trans. Neural Netw. Learn. Syst. 2021, 34, 2338–2352. [Google Scholar] [CrossRef]
- Han, L.; Wang, H.D. A random forest assisted evolutionary algorithm using competitive neighborhood search for expensive constrained combinatorial optimization. Memetic Comput. 2021, 13, 19–30. [Google Scholar] [CrossRef]
- Sun, M.X.; Li, Z.J.; Wei, B.; Lu, X.; Shi, J.Y.; Xie, L.X.; Song, Z.R.; Chen, C.C.; Zhong, J.L.; Zhou, J.T.; et al. MOFs derived Fe/Co/C heterogeneous composite absorbers for efficient microwave absorption. Synth. Met. 2023, 292, 117229. [Google Scholar] [CrossRef]
- Jing, H.; Geng, L.; Qiu, S.; Zou, H.; Liang, M.; Deng, D. Research progress of rare earth composite shielding materials. J. Rare Earths 2023, 41, 32–41. [Google Scholar] [CrossRef]
- Zhang, Z.; Zhang, L.; Chen, X.; Wu, Z.; He, Y.; Lv, Y.; Zou, Y. Broadband metamaterial absorber for low-frequency microwave absorption in the S-band and C-band. J. Magn. Magn. Mater. 2020, 497, 166075. [Google Scholar] [CrossRef]
- Liu, T.; Kim, S.-S. Ultrawide Bandwidth Electromagnetic Wave Absorbers Using a High-capacitive Folded Spiral Frequency Selective Surface in a Multilayer Structure. Sci. Rep. 2019, 9, 16494. [Google Scholar] [CrossRef]
- Al-badri, K.S.L. Electromagnetic broad band absorber based on metamaterial and lumped resistance. J. King Saud Univ.-Sci. 2020, 32, 501–506. [Google Scholar] [CrossRef]
- Ding, J.; Cheng, L.G.; Zhao, W.X. Self-Assembly Magnetic FeCo Nanostructures on Oxide Graphene for Enhanced Microwave Absorption. J. Electron. Mater. 2022, 51, 2856–2866. [Google Scholar] [CrossRef]
- Valiev, E.; Gimaev, R.; Zverev, V.; Kamilov, K.; Pyatakov, A.; Kovalev, B.; Tishin, A. Application of the exchange-striction model for the calculation of the FeRh alloys magnetic properties. Intermetallics 2019, 108, 81–86. [Google Scholar] [CrossRef]
- Cai, B.; Zhou, L.; Zhao, P.-Y.; Peng, H.-L.; Hou, Z.-L.; Hu, P.; Liu, L.-M.; Wang, G.-S. Interface-induced dual-pinning mechanism enhances low-frequency electromagnetic wave loss. Nat. Commun. 2024, 15, 3299. [Google Scholar] [CrossRef]













| Material Name | Supplementary Notes | Material Name | Label |
|---|---|---|---|
| Lax(Co8Fe2)1−x | x = 0.075 | LCF-1 | 1 |
| x = 0.1 | LCF-2 | 2 | |
| Ndx(Co8Fe2)1−x | x = 0.075 | NCF-1 | 3 |
| x = 0.1 | NCF-2 | 4 |
| Structure | Material | Thickness (mm) | Total Thickness (mm) |
|---|---|---|---|
| Triple-layer MAMs | m1 = LCF-2 | d1 = 0.71 | 2.39 |
| m2 = LCF-1 | d2 = 0.64 | ||
| m3 = LCF-2 | d3 = 1.04 |
| Reference | Materials | Structure | FBW | EAB (GHz) | Operating Frequency | Relative Thickness | Total Thickness (mm) | Fitness |
|---|---|---|---|---|---|---|---|---|
| [36] | CoFe/Go composite | Single-layer | 36.19% | 8.6–12.4 | X, Ku | 0.47 | 5 | −0.77 |
| [20] | CoFe-C alloy | Triple-layer | 59.56% | 7.9–14.6 | C, X, Ku | 0.20 | 3.5 | −2.98 |
| [14] | CoZn ferrites doped with Pr | Single-layer | 50.96% | 10.69–18 | X, Ku | 0.22 | 2.5 | −2.32 |
| [7] | Bi doped LaFeO3 | Single-layer | 30.01% | 10.28–13.91 | X, Ku | 0.29 | 2.18 | −1.03 |
| This work | CoFe alloy doped with La | Triple-layer | 70.18% | 6.16–12.82 | C, X, Ku | 0.09 | 2.39 | −7.80 |
Disclaimer/Publisher’s Note: The statements, opinions and data contained in all publications are solely those of the individual author(s) and contributor(s) and not of MDPI and/or the editor(s). MDPI and/or the editor(s) disclaim responsibility for any injury to people or property resulting from any ideas, methods, instructions or products referred to in the content. |
© 2024 by the authors. Licensee MDPI, Basel, Switzerland. This article is an open access article distributed under the terms and conditions of the Creative Commons Attribution (CC BY) license (https://creativecommons.org/licenses/by/4.0/).
Share and Cite
Liu, S.; Zhang, Y.; Wang, H.; Wu, F.; Tao, S.; Zhang, Y. Efficient Design of Broadband and Low-Profile Multilayer Absorbing Materials on Cobalt–Iron Magnetic Alloy Doped with Rare Earth Element. Nanomaterials 2024, 14, 1107. https://doi.org/10.3390/nano14131107
Liu S, Zhang Y, Wang H, Wu F, Tao S, Zhang Y. Efficient Design of Broadband and Low-Profile Multilayer Absorbing Materials on Cobalt–Iron Magnetic Alloy Doped with Rare Earth Element. Nanomaterials. 2024; 14(13):1107. https://doi.org/10.3390/nano14131107
Chicago/Turabian StyleLiu, Sixing, Yilin Zhang, Hao Wang, Fan Wu, Shifei Tao, and Yujing Zhang. 2024. "Efficient Design of Broadband and Low-Profile Multilayer Absorbing Materials on Cobalt–Iron Magnetic Alloy Doped with Rare Earth Element" Nanomaterials 14, no. 13: 1107. https://doi.org/10.3390/nano14131107
APA StyleLiu, S., Zhang, Y., Wang, H., Wu, F., Tao, S., & Zhang, Y. (2024). Efficient Design of Broadband and Low-Profile Multilayer Absorbing Materials on Cobalt–Iron Magnetic Alloy Doped with Rare Earth Element. Nanomaterials, 14(13), 1107. https://doi.org/10.3390/nano14131107

