Shape-Factor Impact on a Mass-Based Hybrid Nanofluid Model for Homann Stagnation-Point Flow in Porous Media
Abstract
1. Introduction
2. Mathematical Formulas
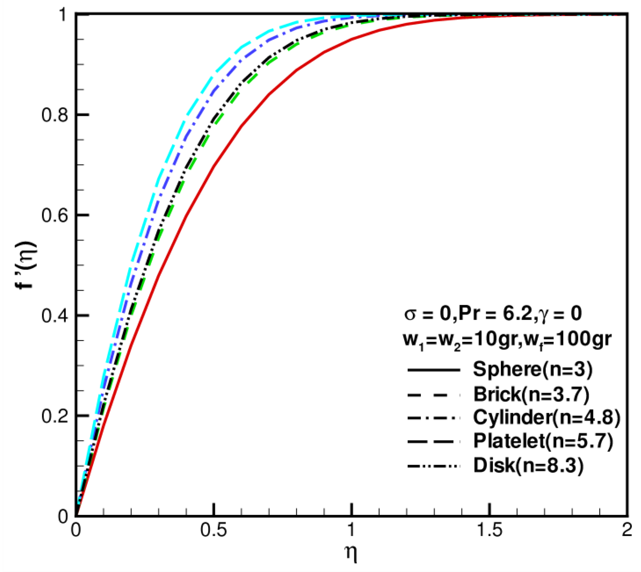
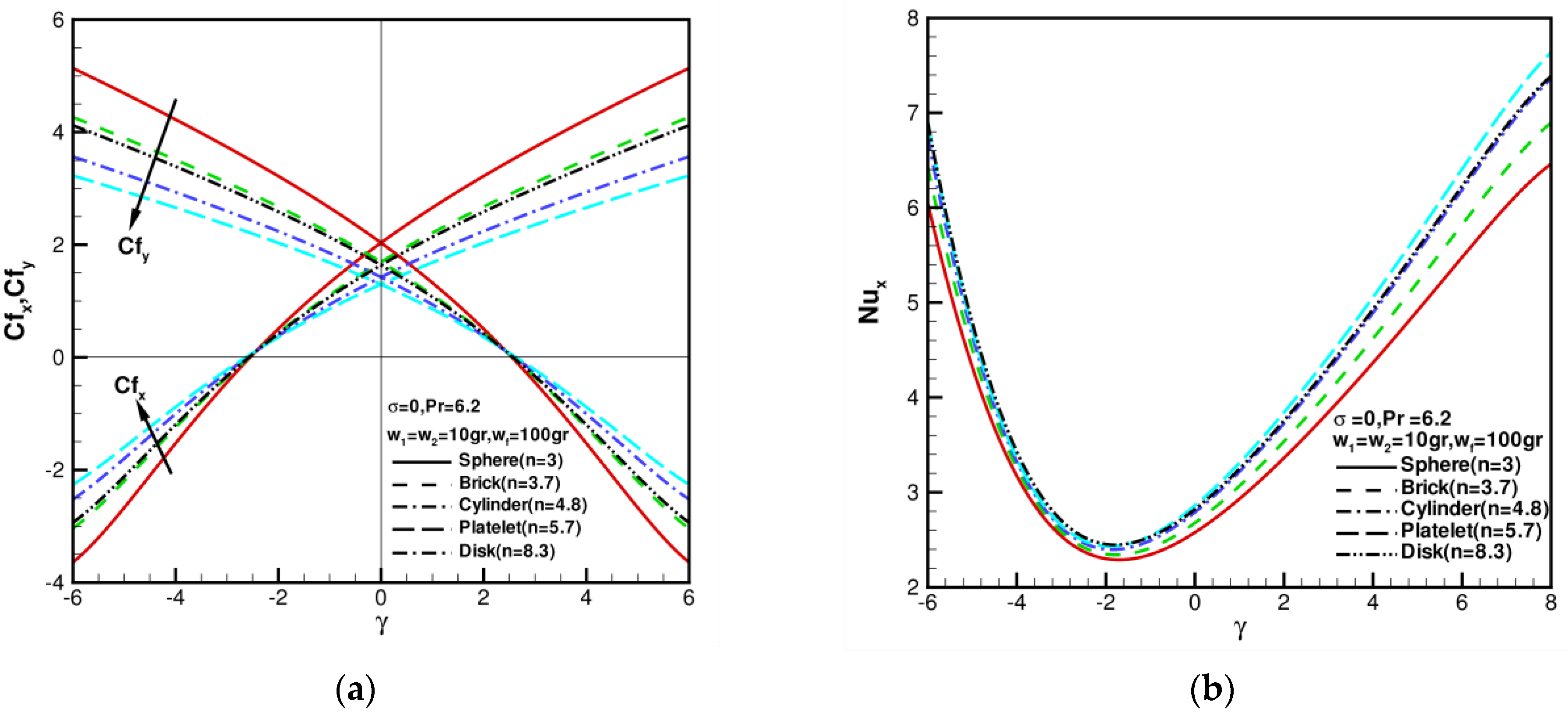
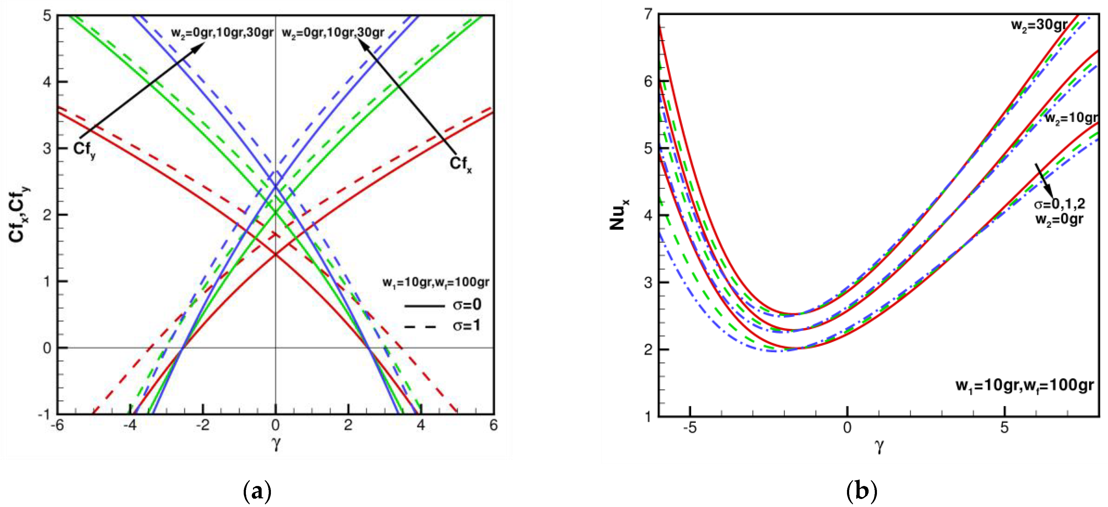
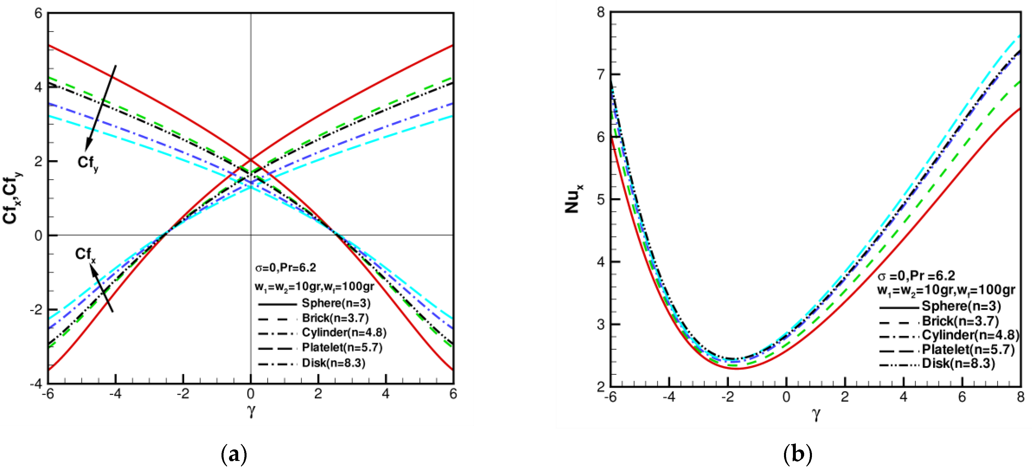
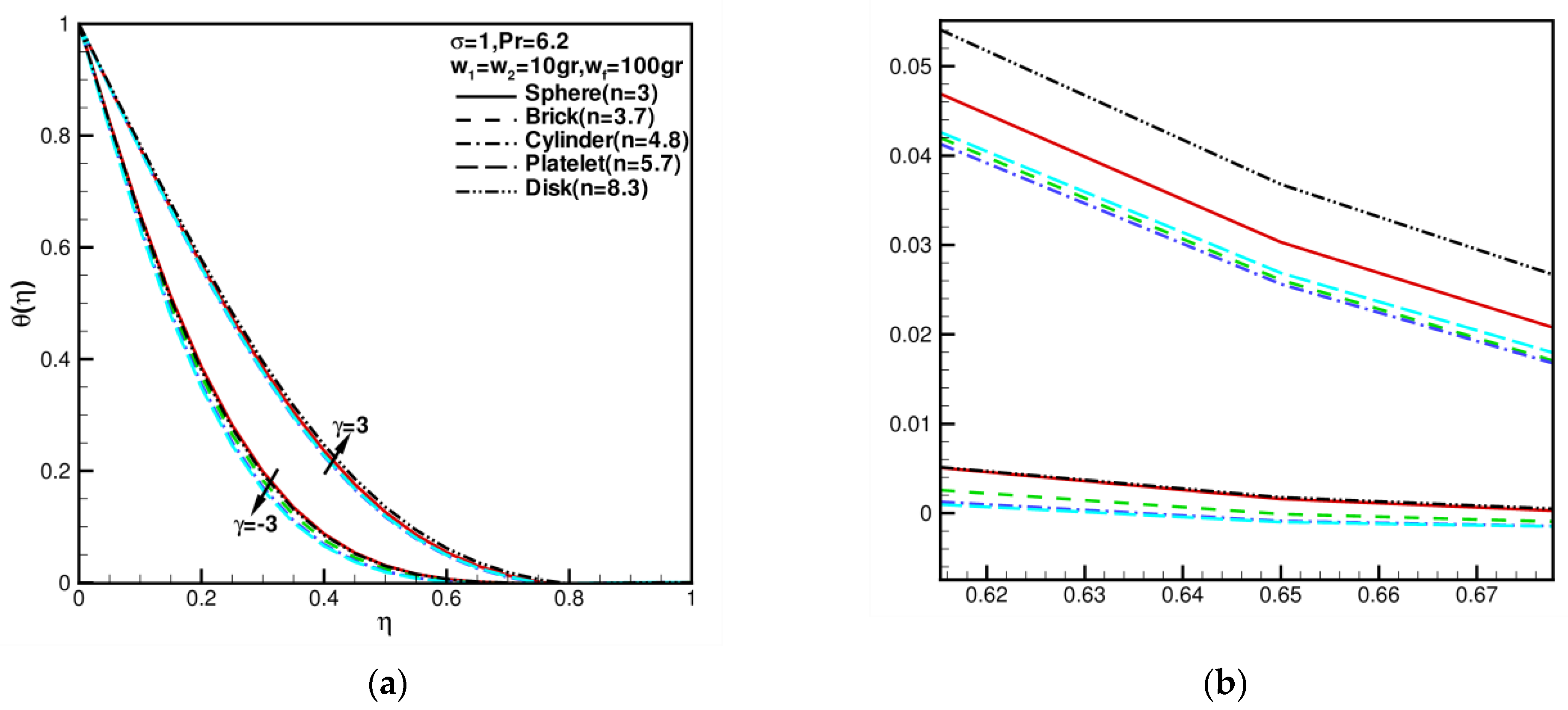
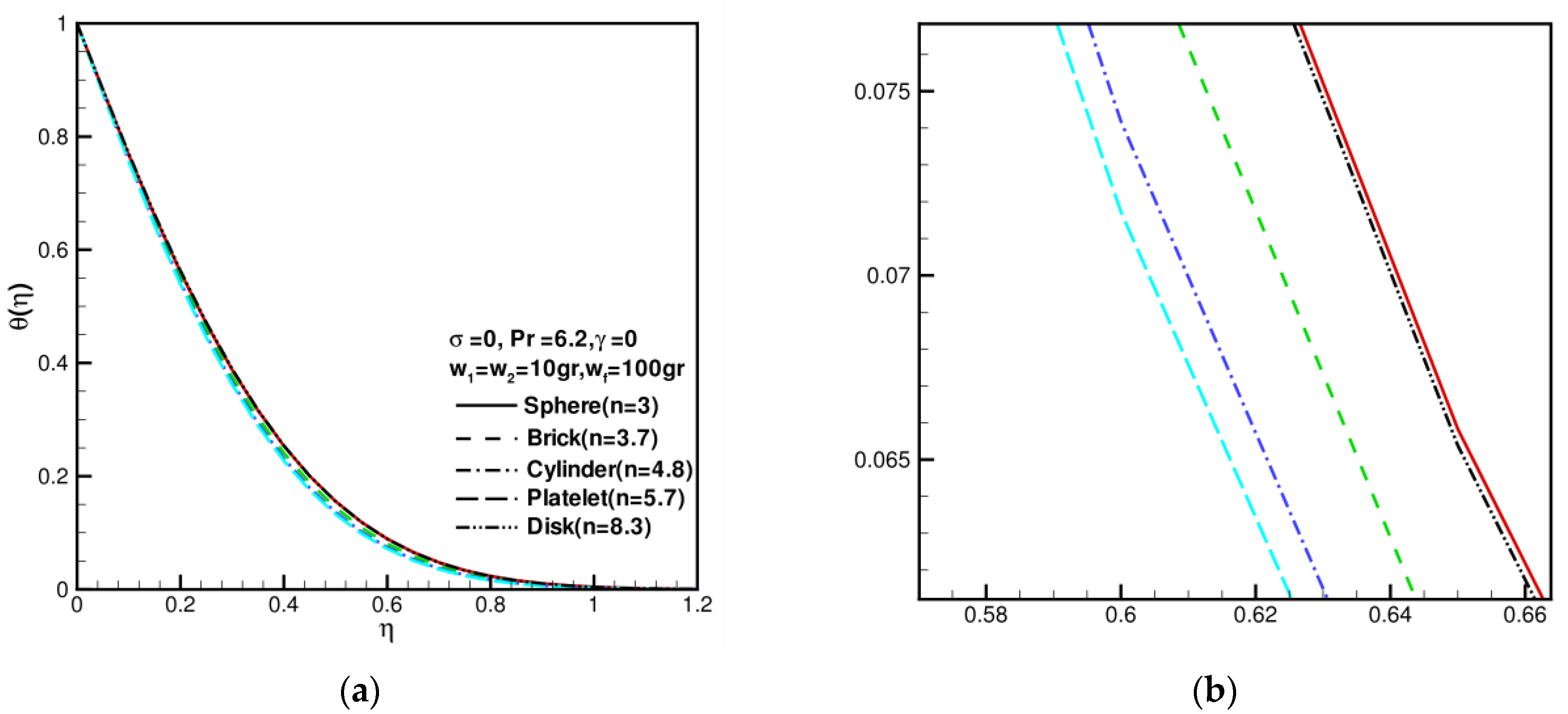
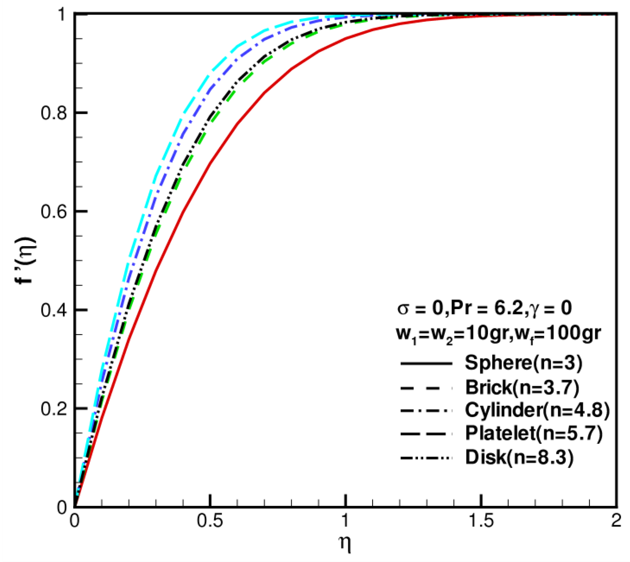
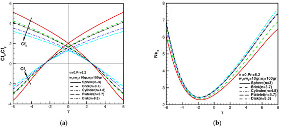
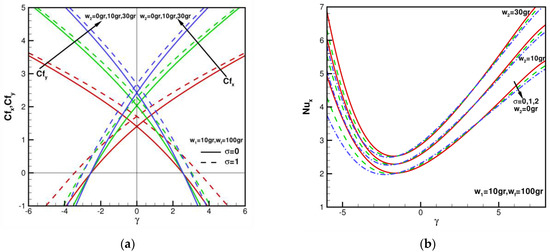
3. Results Analysis and Discussion
4. Conclusions
Author Contributions
Funding
Data Availability Statement
Conflicts of Interest
Nomenclature
| The velocity components | |
| The external flow velocities | |
| The strain shear rates | |
| The ambient temperature | |
| The characteristic temperature | |
| The permeability of porous media | |
| The conductivity in temperature | |
| The coefficient of specific heat capacity | |
| Coefficient for non-spherical nanoparticles in the effective viscosity relation for nanoparticles of different shapes | |
| Coefficient for non-spherical nanoparticles in the effective viscosity relation for nanoparticles of different shapes | |
| Shape factor | |
| Coefficients of skin friction | |
| Nusselt number | |
| Coefficients from hybrid nanofluids | |
| The Prandtl number | |
| The local Reynolds numbers | |
| Mass of first nanoparticles of hybrid nanofluids | |
| Mass of second nanoparticles of hybrid nanofluids | |
| Mass of base fluid | |
| Greek symbols | |
| The fluid density | |
| The dynamic viscosity | |
| Volume fraction of hybrid nanofluids | |
| Sphericity of nanoparticles | |
| Ratio of shear–strain rate | |
| Coefficient of permeability | 
References
- Chamkha, A.J. Unsteady laminar hydromagnetic flow and heat transfer in porous channels with temperature-dependent properties. Int. J. Numer. Methods Heat Fluid Flow 2001, 11, 430–448. [Google Scholar] [CrossRef]
- Umavathi, J.C.; Chamkha, A.J.; Mateen, A.; Al-Mudhaf, A. Unsteady oscillatory flow and heat transfer in a horizontal composite porous medium channel. Nonlinear Anal. Model. Control 2009, 14, 397–415. [Google Scholar] [CrossRef]
- Momin, G.C. Experimental investigation of mixed convection with water-Al2O3 & hybrid nanofluid in inclined tube for laminar flow. Int. J. Sci. Technol. Res. 2013, 2, 195–202. [Google Scholar]
- Kasaeian, A.; Daneshazarian, R.; Mahian, O.; Kolsic, L.; Chamkhae, A.J.; Wongwise, S.; Pop, I. Nanofluid flow and heat transfer in porous media: A review of the latest developments. Int. J. Heat Mass Tran. 2017, 107, 778–791. [Google Scholar] [CrossRef]
- Ali, A.R.I.; Salam, B. A review on nanofluid: Preparation, stability, thermophysical properties, heat transfer characteristics and application. SN Appl. Sci. 2020, 2, 1636. [Google Scholar] [CrossRef]
- Khashi’ie, N.S.; Waini, I.; Arifin, N.M.; Pop, I. Unsteady squeezing flow of Cu-Al2O3/water hybrid nanofluid in a horizontal channel with magnetic field. Sci. Rep. 2021, 11, 14128. [Google Scholar] [CrossRef] [PubMed]
- Sangapatanam, S.; Subbarayudu, K.; Reddy, B.A. Hybrid nanofluids development and benefits: A comprehensive review. J. Therm. Eng. 2022, 8, 445–455. [Google Scholar]
- Modi, K.V.; Patel, P.R.; Patel, S.K. Applicability of mono-nanofluid and hybrid-nanofluid as a technique to improve the performance of solar still: A critical review. J. Clean. Prod. 2023, 387, 135875. [Google Scholar] [CrossRef]
- Murshed, S.; Leong, K.; Yang, C. Enhanced thermal conductivity of TiO2/water based nanofluids. Int. J. Therm. Sci. 2005, 44, 367–373. [Google Scholar] [CrossRef]
- Timofeeva, E.V.; Routbort, J.L.; Singh, D. Particle shape effects on thermophysical properties of alumina nanofluids. J. Appl. Phys. 2009, 106, 014304. [Google Scholar] [CrossRef]
- Jeong, J.; Li, C.; Kwon, Y.; Lee, J.; Kim, S.H.; Yun, R. Particle shape effect on the viscosity and thermal conductivity of ZnO nanofluids. Int. J. Refrig. 2013, 36, 2233–2241. [Google Scholar] [CrossRef]
- Elias, M.M.; Miqdad, M.; Mahbubul, I.M.; Saidur, R.; Kamalisarvestani, M.; Sohel, M.R.; Hepbasli, A.; Rahim, N.A.; Amalina, M.A. Effect of nanoparticle shape on the heat transfer and thermodynamic performance of a shell and tube heat exchanger. Int. Commun. Heat Mass Tran. 2013, 44, 93–99. [Google Scholar] [CrossRef]
- Vanaki, S.M.; Mohammed, H.A.; Abdollahi, A.; Wahid, M.A. Effect of nanoparticle shapes on the heat transfer enhancement in a wavy channel with different phase shifts. J. Mol. Liq. 2014, 196, 32–42. [Google Scholar] [CrossRef]
- Ghadikolaei, S.S.; Yassari, M.; Sadeghi, H.; Hosseinzadeh, K.; Ganji, D.D. Investigation on thermophysical properties of TiO2-Cu/H2O hybrid nanofluid transport dependent on shape factor in MHD stagnation-point flow. Powder Technol. 2017, 322, 428–438. [Google Scholar] [CrossRef]
- Sheikholeslami, M.; Sajjadi, H.; Delouei, A.A.; Atashafrooz, M.; Li, Z. Magnetic force and radiation influences on nanofluid transportation through a permeable media considering Al2O3 nanoparticles. J. Therm. Anal. Calorim. 2018, 136, 2477–2485. [Google Scholar] [CrossRef]
- Benkhedda, M.; Boufendi, T.; Tayebi, T.; Chamkha, A.J. Convective heat transfer performance of hybrid nanofluid in a horizontal pipe considering nanoparticles shapes effect. J. Therm. Anal. Calorim. 2020, 140, 411–425. [Google Scholar] [CrossRef]
- Shah, Z.; Ikramullah; Kumam, P.; Selim, M.M.; Alshehri, A. Impact of nanoparticles shape and radiation on the behavior of nanofluid under the Lorentz forces. Case Stud. Therm. Eng. 2021, 26, 101161. [Google Scholar] [CrossRef]
- Khashi’ie, N.S.; Arifin, N.M.; Sheremet, M.; Pop, I. Shape factor effect of radiative Cu-Al2O3/H2O hybrid nanofluid flow towards an EMHD plate. Case Stud. Therm. Eng. 2021, 26, 101199. [Google Scholar] [CrossRef]
- You, X.; Li, S. Fully developed opposing mixed convection flow in the inclined channel filled with a hybrid nanofluid. Nanomaterials 2021, 11, 1107. [Google Scholar] [CrossRef]
- You, X.; Li, S. Effect of nanoparticle sphericity on mixed convective flow of nanofluids in an inclined channel. Pet. Sci. Bull. 2021, 6, 604–613. [Google Scholar]
- You, X. Nanoparticle sphericity investigation of Cu-Al2O3-H2O hybrid nanofluid flows between inclined channels filled with a porous medium. Nanomaterials 2022, 12, 2552. [Google Scholar] [CrossRef]
- Wanatasanappan, V.V.; Kanti, P.K.; Sharma, P.; Husna, N.; Abdullah, M.Z. Viscosity and rheological behavior of Al2O3-Fe2O3/water-EG based hybrid nanofluid: A new correlation based on mixture ratio. J. Mol. Liq. 2023, 375, 121365. [Google Scholar] [CrossRef]
- Dinarvand, S.; Rostami, M.N. An innovative mass-based model of aqueous zinc oxide–gold hybrid nanofluid for von Ka´rma´n’s swirling flow. J. Therm. Anal. Calorim. 2019, 138, 845–855. [Google Scholar] [CrossRef]
- Berrehal, H.; Dinarvand, S.; Khan, I. Mass-based hybrid nanofluid model for entropy generation analysis of flow upon a convectively-warmed moving wedge. Chin. J. Phys. 2022, 77, 2603–2616. [Google Scholar] [CrossRef]
- Rahimi, A.; Surendar, A.; Kasaeipoor, A.; Hooshmand, P.; Malekshah, E.H. Lattice Boltzmann simulation of nanofluid flow and heat transfer in a hollow multi-pipe heat exchanger considering nanoparticles’ shapes. Powder Technol. 2018, 339, 974–984. [Google Scholar] [CrossRef]
- Rao, Y.; Shao, Z.; Rahimi, A.; Kasaeipoor, A.; Malekshah, E.H. Study on fluid flow and heat transfer in fluid channel filled with KKL model-based nanofluid during natural convection using FVM. Int. J. Numer. Methods Heat Fluid Flow 2019, 29, 2622–2641. [Google Scholar] [CrossRef]
- Soumya, D.O.; Gireesha, B.J.; Venkatesh, P.; Alsulami, M.D. Effect of NP shapes on Fe3O4-Ag/kerosene and Fe3O4-Ag/water hybrid nanofluid flow in suction/injection process with nonlinear-thermal-radiation and slip condition; Hamilton and Crosser’s model. Wave Random Complex 2022. [Google Scholar] [CrossRef]
- Subray, P.V.A.; Hanumagowda, B.N.; Varma, S.V.K.; Hatami, M. The impacts of shape factor and heat transfer on two-phase flow of nano and hybrid nanofuid in a saturated porous medium. Sci. Rep. 2022, 12, 21864. [Google Scholar] [CrossRef]
- Esfe, M.H.; Alidoost, S.; Esfandeh, S.; Toghraie, D.; Hatami, H.; Kamyab, M.H.; Ardeshir, E.M. Theoretical-Experimental study of factors affecting the thermal conductivity of SWCNT-CuO (25:75)/water nanofluid and its challenging comparison with CuO nanofluids/water aiming to improve the base fluid thermal conductivity. Arab. J. Chem. 2023, 16, 104689. [Google Scholar] [CrossRef]
- Mandal, G.; Pal, D. Dual solutions of radiative Ag-MoS_2/water hybrid nanofluid flow with variable viscosity and variable thermal conductivity along an exponentially shrinking permeable Riga surface: Stability and entropy generation analysis. Int. J. Simul. Model. 2023. [Google Scholar] [CrossRef]
- Farooq, U.; Waqas, H.; Aldhabani, M.S.; Fatima, N.; Alhushaybari, A.; Ali, M.R.; Sadat, R.; Muhammad, T. Modeling and computational framework of radiative hybrid nanofluid configured by a stretching surface subject to entropy generation: Using Keller box scheme. Arab. J. Chem. 2023, 16, 104628. [Google Scholar] [CrossRef]
- Li, X.; Tian, C.; Li, H.; Liu, X.; Zhang, L.; Hong, S.; Ning, N.; Tian, M. Combined effect of volume fractions of nanofillers and filler-polymer interactions on 3D multiscale dispersion of nanofiller and Payne effect. Compos. Part A 2022, 152, 106722. [Google Scholar] [CrossRef]
- Qi, W.; Liu, M.; Wu, J.; Xie, Q.; Chen, L.; Yang, X.; Shen, B.; Bian, X.; Song, W. Promoting the thermal transport via understanding the intrinsic relation between thermal conductivity and interfacial contact probability in the polymeric composites with hybrid fillers. Compos. Part B 2022, 232, 109613. [Google Scholar] [CrossRef]
- Adun, H.; Mukhtar, M.; Adedeji, M.; Agwa, T.; Ibrahim, K.H.; Bamisile, O.; Dagbasi, M. Synthesis and application of ternary nanofluid for photovoltaic-thermal system: Comparative analysis of energy and exergy performance with single and hybrid nanofluids. Energies 2021, 14, 4434. [Google Scholar] [CrossRef]
- Adun, H.; Kavaz, D.; Dagbasi, M.; Umar, H.; Wole-Osho, I.L. An experimental investigation of thermal conductivity and dynamic viscosity of Al2O3-ZnO-Fe3O4 ternary hybrid nanofluid and development of machine learning model. Powder Technol 2021, 394, 1121–1140. [Google Scholar] [CrossRef]
- Adun, H.; Kavaz, D.; Wole-Osho, I.; Dagbasi, M. Synthesis of Fe3O4-Al2O3-ZnO/water ternary hybrid nanofluid: Investigating the effects of temperature, volume concentration and mixture ratio on Specific heat capacity, and development of Hybrid machine learning for prediction. J. Energy Storage 2021, 41, 102947. [Google Scholar] [CrossRef]
- Ariel, P.D. On extra boundary condition in the stagnation point flow of a second grade fluid. Internat. J. Engrg. Sci. 2002, 40, 145–162. [Google Scholar] [CrossRef]
- Weidman, P.D. Non-axisymmetric Homann’s stagnation-point flows. J. Fluid Mech. 2012, 702, 460–469. [Google Scholar] [CrossRef]
- Weidman, P.D. Impinging rotational stagnation-point flows. Int. J. Nonlinear Mech. 2017, 88, 97–101. [Google Scholar] [CrossRef]
- Dinarvand, S.; Hosseini, R.; Pop, I. Homotopy analysis method for unsteady mixed convective stagnation-point flow of a nano fluid using Tiwari-Das nano fluid model. Int. J. Numer. Methods Heat Fluid Flow 2016, 26, 40–62. [Google Scholar] [CrossRef]
- Othman, N.A.; Yacob, N.A.; Bachok, N.; Ishak, A.; Pop, I. Mixed convection boundary-layer stagnation point flow past a vertical stretching/shrinking surface in a nanofluid. Appl. Therm. Eng. 2017, 11, 1412–1417. [Google Scholar] [CrossRef]
- Abbas, N.; Saleem, S.; Nadeem, S.; Alderremy, A.A.; Khan, A.U. On stagnation point flow of a micro polar nanofluid past a circular cylinder with velocity and thermal slip. Res. Phys. 2018, 9, 1224–1232. [Google Scholar] [CrossRef]
- Turkyilmazoglu, M. Unsteady flow over a decelerating rotating sphere. Phys. Fluids 2018, 30, 033601. [Google Scholar] [CrossRef]
- Sharma, P.R.; Sinha, S.; Yadav, R.S.; Filippov, A.N. MHD mixed convective stagnation point flow along a vertical stretching sheet with heat source/sink. Int. J. Heat Mass Tran. 2018, 117, 780–786. [Google Scholar] [CrossRef]
- Sadiq, M.A.; Khan, A.U.; Saleem, S.; Nadeem, S. Numerical simulation of oscillatory oblique stagnation point flow of a magneto micropolar nanofluid. RSC Adv. 2019, 9, 4751–4764. [Google Scholar] [CrossRef]
- Ahmed, J.; Shahzad, A.; Farooq, A.; Kamran, M.; Khan, S.U.D.; Khan, S.U.D. Radiative heat transfer in Homann stagnation-point flow of hybrid nanofluid. Appl. Nanosci. 2020, 10, 5305–5314. [Google Scholar] [CrossRef]
- Khan, A.U.; Saleem, S.; Nadeem, S.; Alderremy, A.A. Analysis of unsteady non-axisymmetric Homann stagnation point flow of nanofluid and possible existence of multiple solutions. Physica A 2020, 554, 123920. [Google Scholar] [CrossRef]
- Mahapatra, T.R.; Sidui, S. Non-axisymmetric Homann stagnation-point flow of a viscoelastic fluid towards a fixed plate. Eur. J. Mech. B Fluids 2020, 79, 38–43. [Google Scholar] [CrossRef]
- Khan, M.; Sarfraz, M.; Ahmed, J.; Ahmad, L.; Fetecau, C. Non-axisymmetric Homann stagnation-point flow of Walter’s B nanofluid over a cylindrical disk. Appl. Math. Mech. 2020, 41, 725–740. [Google Scholar] [CrossRef]
- Waini, I.; Ishak, A.; Pop, I. Symmetrical solutions of hybrid nanofluid stagnation-point flow in a porous medium. Int. Commun. Heat Mass Tran. 2022, 130, 105804. [Google Scholar] [CrossRef]
- Liao, S. Advances in the Homotopy Analysis Method, 1st ed.; World scientific press: Singapore, 2013; pp. 361–400. [Google Scholar]
- Farooq, U.; Zhao, Y.; Hayat, T.; Alsaedi, A.; Liao, S. Application of the HAM-based Mathematica package BVPh 2.0 on MHD Falkner-Skan flow of nano-fluid. Comput. Fluids 2015, 111, 69–75. [Google Scholar] [CrossRef]
- Dinarvand, S.; Rostami, M.N.; Pop, I. A novel hybridity model for TiO2-CuO/water hybrid nanofuid flow over a static/moving wedge or corner. Sci. Rep. 2019, 9, 16290. [Google Scholar] [CrossRef] [PubMed]









| Properties | |||
|---|---|---|---|
| H2O | 997.1 | 0.613 | 4179 | 
| Cu | 8933 | 401 | 385 | 
| Al2O3 | 3970 | 40 | 765 | 
| Properties | Formulation | 
|---|---|
| Heat capacitance | |
| Density | |
| Dynamic viscosity | (Spherical) | 
| (Non-spherical) | |
| Thermal conductivity | |
| Properties | Mathematical Relations | 
|---|---|
| Equivalent density | |
| Specific heat equivalent of nanoparticles at constant pressure | |
| Solid volume fraction of first nanoparticle | |
| Solid volume fraction of second nanoparticle | |
| Equivalent volume fraction of nanoparticles | 
| Nanoparticle Shape | Sphere | Brick | Cylinder | Platelet | Disk | 
|---|---|---|---|---|---|
| n | 3 | 3.7 | 4.8 | 5.7 | 8.3 | 
| 1 | 0.81 | 0.62 | 0.52 | 0.36 | |
| A | 1.9 | 13.5 | 37.1 | 14.6 | |
| B | 471.4 | 904.4 | 612.6 | 123.3 | 
| (Ref. [50]) | HAM 20th | Relative Error(%) | (Ref. [50]) | HAM 20th | Relative Error(%) | (Ref. [50]) | HAM 20th | Relative Error(%) | |||
|---|---|---|---|---|---|---|---|---|---|---|---|
| 0 | 0 | 0 | 1.311938 | 1.311608 | 0.0252 | 1.311938 | 1.311608 | 0.0252 | 1.806069 | 1.810147 | 0.2258 | 
| 5 | 3.038940 | 3.036096 | 0.0935 | −0.894909 | −0.902242 | 0.8194 | 3.938146 | 3.998352 | 0.2257 | ||
| −5 | −0.894909 | −0.902242 | 0.8194 | 3.038940 | 3.036096 | 0.0935 | 3.074275 | 3.084240 | 0.3241 | 
| Disclaimer/Publisher’s Note: The statements, opinions and data contained in all publications are solely those of the individual author(s) and contributor(s) and not of MDPI and/or the editor(s). MDPI and/or the editor(s) disclaim responsibility for any injury to people or property resulting from any ideas, methods, instructions or products referred to in the content. | 
© 2023 by the authors. Licensee MDPI, Basel, Switzerland. This article is an open access article distributed under the terms and conditions of the Creative Commons Attribution (CC BY) license (https://creativecommons.org/licenses/by/4.0/).
Share and Cite
Li, S.; You, X. Shape-Factor Impact on a Mass-Based Hybrid Nanofluid Model for Homann Stagnation-Point Flow in Porous Media. Nanomaterials 2023, 13, 984. https://doi.org/10.3390/nano13060984
Li S, You X. Shape-Factor Impact on a Mass-Based Hybrid Nanofluid Model for Homann Stagnation-Point Flow in Porous Media. Nanomaterials. 2023; 13(6):984. https://doi.org/10.3390/nano13060984
Chicago/Turabian StyleLi, Shiyuan, and Xiangcheng You. 2023. "Shape-Factor Impact on a Mass-Based Hybrid Nanofluid Model for Homann Stagnation-Point Flow in Porous Media" Nanomaterials 13, no. 6: 984. https://doi.org/10.3390/nano13060984
APA StyleLi, S., & You, X. (2023). Shape-Factor Impact on a Mass-Based Hybrid Nanofluid Model for Homann Stagnation-Point Flow in Porous Media. Nanomaterials, 13(6), 984. https://doi.org/10.3390/nano13060984
 
        




 
       