Luminescence Thermometry with Nanoparticles: A Review
Abstract
:1. Introduction
2. Lanthanide Activated Nanoparticles
3. Transition Metal Ion-Activated Nanoparticles
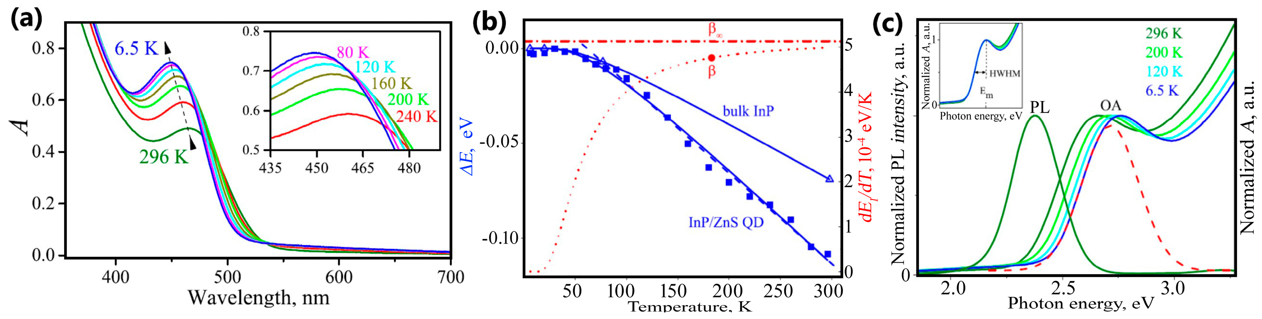
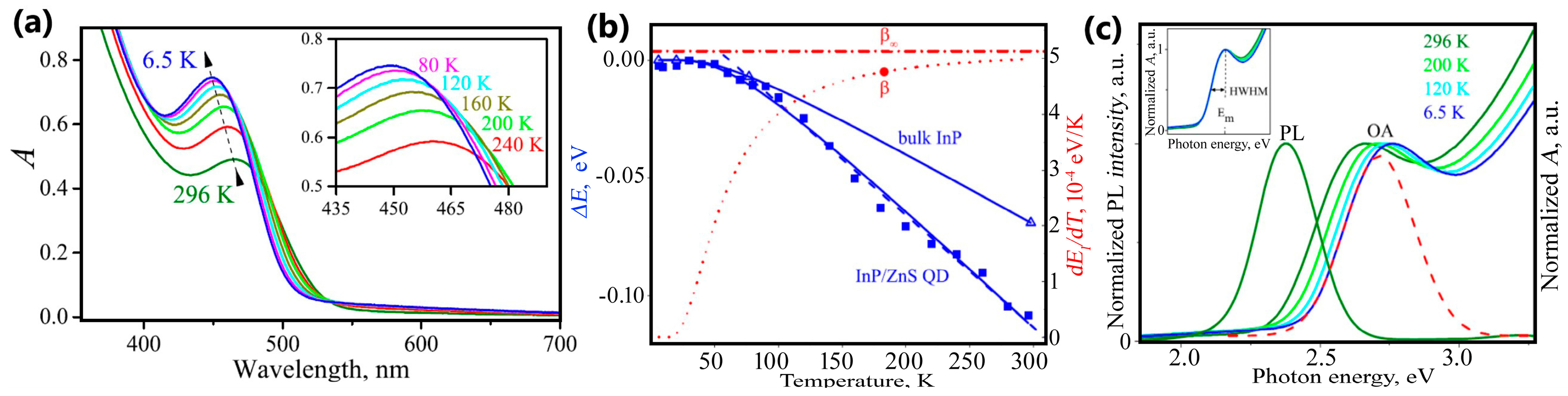
4. Semiconductor Quantum Dots
5. Polymer Nanoparticles
6. Carbon Dots
- Surface States and Functional Groups: Carbon dots have a high density of surface states—the electronic states are localized near their surface. These surface states can arise from the presence of oxygen and functional groups such as carboxyl, hydroxyl, or amino groups on the surface of the carbon dots, schematically shown in Figure 13a. The interaction between these surface states and the excited electrons can lead to radiative recombination, resulting in the emission of light [112], Figure 13b,c.
- Quantum Confinement Effect: The small size of carbon dots leads to quantum confinement effects, which can influence the electronic structure of the carbon material, causing the formation of discrete energy levels [113].
7. Nanodiamonds
8. Conclusions
Author Contributions
Funding
Data Availability Statement
Conflicts of Interest
References
- Brik, M.G.; Srivastava, A.M. Luminescent Materials: Fundamentals and Applications; De Gruyter: Berlin, Germany; Boston, MA, USA, 2023. [Google Scholar]
- Carlos, L.D.; Palacio, F. Thermometry at the Nanoscale: Techniques and Selected Applications; Royal Society of Chemistry: Cambridge, CA, USA, 2016. [Google Scholar]
- Macherel, D.; Haraux, F.; Guillou, H.; Bourgeois, O. The conundrum of hot mitochondria. Biochim. Biophys. Acta Bioenerg. 2021, 1862, 148348. [Google Scholar] [CrossRef]
- Dramićanin, M. Luminescence thermometry. Methods, Materials and Applications; Elsevier: Amsterdam, The Netherlands, 2018. [Google Scholar]
- Martí, J.J.C.; Baiges, M.C.P. Luminescent Thermometry: Applications and Uses; Springer: Cham, Switzerland, 2023. [Google Scholar]
- Brites, C.D.S.; Balabhadra, S.; Carlos, L.D. Lanthanide-Based Thermometers: At the Cutting-Edge of Luminescence Thermometry. Adv. Optical Mater. 2019, 7, 1801239. [Google Scholar] [CrossRef]
- Dramićanin, M.D. Trends in luminescence thermometry. J. Appl. Phys. 2020, 128, 040902. [Google Scholar] [CrossRef]
- Bednarkiewicz, A.; Marciniak, L.; Carlos, L.D.; Jaque, D. Standardizing luminescence nanothermometry for biomedical applications. Nanoscale 2020, 12, 14405–14421. [Google Scholar] [CrossRef] [PubMed]
- Brites, C.D.S.; Marin, R.; Suta, M.; Neto, A.N.C.; Ximendes, E.; Jaque, D.; Carlos, L.D. Spotlight on Luminescence Thermometry: Basics, Challenges, and Cutting-Edge Applications. Adv. Mater. 2023, 35, 2302749. [Google Scholar] [CrossRef] [PubMed]
- Marciniak, L.; Kniec, K.; Elzbieciak-Piecka, K.; Trejgis, K.; Stefanska, J.; Dramićanin, M. Luminescence thermometry with transition metal ions. A review. Coord. Chem. Rev. 2022, 469, 214671. [Google Scholar] [CrossRef]
- Kako, T. Luminescence centers of rare-earth ions. In Fundamentals of Phosphors; Yen, W.M., Shionoya, S., Yamamoto, H., Eds.; CRC Press: Boca Raton, FL, USA, 2007; Chapter 2, Section 3; pp. 181–204. [Google Scholar]
- Yu, D.; Li, H.; Zhang, D.; Zhang, Q.; Meijerink, A.; Suta, M. One ion to catch them all: Targeted high-precision Boltzmann thermometry over a wide temperature range with Gd3+. Light Sci. Appl. 2021, 10, 236. [Google Scholar] [CrossRef] [PubMed]
- Nexha, A.; Carvajal, J.J.; Pujol, M.C.; Díaz, F.; Aguiló, M. Lanthanide doped luminescence nanothermometers in the biological windows: Strategies and applications. Nanoscale 2021, 13, 7913. [Google Scholar] [CrossRef]
- Quintanilla, M.; Liz-Marzán, L.M. Guiding Rules for Selecting a Nanothermometer. Nano Today 2018, 19, 126–145. [Google Scholar] [CrossRef]
- Shang, Y.; Han, Q.; Hao, S.; Chen, T.; Zhu, Y.; Wang, Z.; Yang, C. Dual-mode upconversion nanoprobe enables broad-range thermometry from cryogenic to room temperature. ACS Appl. Mater. Interfaces 2019, 11, 42455–42461. [Google Scholar] [CrossRef] [PubMed]
- Tuxun, H.; Cai, Z.; Ji, M.; Zhang, B.; Zhang, C.; Li, J.; Yu, X.; Fu, Z.; Zhang, Z.; Zheng, H. Controlling and probing heat generation in an optical heater system. Nanophotonics 2022, 11, 979–986. [Google Scholar] [CrossRef]
- Zhang, B.; Guo, X.; Zhang, Z.; Fu, Z.; Zheng, H. Luminescence thermometry with rare earth doped nanoparticles: Status and challenges. J. Lumin. 2022, 250, 119110. [Google Scholar] [CrossRef]
- Bradac, C.; Lim, S.F.; Chang, H.-C.; Aharonovich, I. Optical Nanoscale Thermometry: From Fundamental Mechanisms to Emerging Practical Applications. Adv. Opt. Mater. 2020, 8, 2000183. [Google Scholar] [CrossRef]
- Kusama, H.; Sovers, O.J.; Yoshioka, T. Line Shift Method for Phosphor Temperature Measurements. Jpn. J. Appl. Phys. 1976, 15, 2349–2358. [Google Scholar] [CrossRef]
- Dramićanin, M.D. Sensing temperature via downshifting emissions of lanthanide-doped metal oxides and salts. A review. Methods Appl. Fluoresc. 2016, 4, 042001. [Google Scholar] [CrossRef] [PubMed]
- Trejgis, K.; Bednarkiewicz, A.; Marciniak, L. Engineering excited state absorption based nanothermometry for temperature sensing and imaging. Nanoscale 2020, 12, 4667–4675. [Google Scholar] [CrossRef]
- Nikolic, M.G.; Rabasovic, M.S.; Krizan, J.; Savic-Sevic, S.; Rabasovic, M.D.; Marinkovic, B.P.; Vlasic, A.; Sevic, D. Luminescence thermometry using Gd2Zr2O7:Eu3+. Opt. Quantum Electron. 2018, 50, 258. [Google Scholar] [CrossRef]
- Garvas, M.; Acosta, S.; Urbančič, I.; Koklič, T.; Štrancar, J.; Nunes, L.A.O.; Guttmann, P.; Umek, P.; Bittencourt, C. Single cell temperature probed by Eu3+ doped TiO2 nanoparticles luminescence. Nano Select 2021, 2, 1208–1217. [Google Scholar] [CrossRef]
- Kolesnikov, I.E.; Mamonova, D.V.; Kurochkin, M.A.; Medvedev, V.A.; Kolesnikov, E.Y. Effect of doping concentration on dual-mode LaVO4:Eu3+ luminescence thermometers. Ceram. Int. 2023, 49, 20699–20705. [Google Scholar] [CrossRef]
- Trejgis, K.; Ledwa, K.; Bednarkiewicz, A.; Marciniak, L. Impact of host composition and dopant ion concentration on the thermometric properties of a Eu3+ activated fluoride-based single-band ratiometric luminescent thermometer. J. Alloys Compd. 2022, 898, 162839. [Google Scholar] [CrossRef]
- Kolesnikov, I.E.; Kurochkina, M.A.; Golyevac, E.V.; Mamonovaa, D.V.; Kalinicheva, A.A.; Kolesnikov, E.Y.; Lähderanta, E. Multimode high-sensitive optical YVO4:Ln3+ nanothermometers (Ln3+ = Eu3+, Dy3+, Sm3+) using charge transfer band features. Phys. Chem. Chem. Phys. 2020, 22, 28183–28190. [Google Scholar] [CrossRef]
- Ćulubrk, S.; Lojpur, V.; Ahrenkiel, S.P.; Nedeljković, J.M.; Dramićanin, M.D. Non-contact thermometry with Dy3+ doped Gd2Ti2O7 nano-powders. J. Lumin. 2016, 170, 395–400. [Google Scholar] [CrossRef]
- Periša, J.; Ćirić, A.; Zeković, I.; Ðordević, V.; Sekulić, M.; Antić, Ž.; Dramićanin, M.D. Exploiting High-Energy Emissions of YAlO3:Dy3+ for Sensitivity Improvement of Ratiometric Luminescence Thermometry. Sensors 2022, 22, 7997. [Google Scholar] [CrossRef] [PubMed]
- Jahanbazi, F.; Wang, Y.; Dorman, J.A.; Mao, Y. La2Zr2O7:Pr3+ nanoparticles for luminescence thermometry based on a single parameter over a wide temperature range of 620 K. J. Alloys Compd. 2022, 911, 165013. [Google Scholar] [CrossRef]
- Hernández-Rodrígueza, M.A.; Lozano-Gorrína, A.D.; Martína, I.R.; Rodríguez-Mendoza, U.R.; Lavína, V. Comparison of the sensitivity as optical temperature sensor of nano-perovskite doped with Nd3+ ions in the first and second biological windows. Sens. Actuators B Chem. 2018, 255, 970–976. [Google Scholar] [CrossRef]
- Kolesnikov, I.E.; Kalinichev, A.A.; Kurochkin, M.A.; Golyeva, E.V.; Kolesnikov, E.Y.; Kurochkin, A.V.; Lahderanta, E.; Mikhailov, M.D. YVO4:Nd3+ nanophosphors as NIR-to-NIR thermal sensors in wide temperature range. Sci. Rep. 2017, 7, 18002. [Google Scholar] [CrossRef]
- Wu, Q.; Li, S.; Li, C.; Xu, Q.; Sun, J.; Kang, Z.; Song, C. Down-conversion PL characteristics of CaSrSiO4: Tb3+ nanophosphor and its application on optical low-temperature sensor. Appl. Phys. B 2018, 124, 199. [Google Scholar] [CrossRef]
- Periša, J.; Ristić, Z.; Piotrowski, W.; Antić, Ž.; Marciniak, M.; Dramićanin, M.D. All near-infrared multiparametric luminescence thermometry using Er3+, Yb3+-doped YAG nanoparticles. RSC Adv. 2021, 11, 15933–15942. [Google Scholar] [CrossRef]
- Sun, C.; Gradzielski, M. Advances in fluorescence sensing enabled by lanthanide-doped upconversion nanophosphors. Adv. Colloid Interface Sci. 2022, 300, 102579. [Google Scholar] [CrossRef]
- Chen, H.; Ding, B.; Ma, P.; Lin, J. Recent progress in upconversion nanomaterials for emerging optical biological applications. Adv. Drug Deliv. Rev. 2022, 188, 114414. [Google Scholar] [CrossRef] [PubMed]
- Kumar, B.; Malhotra, K.; Fuku, R.; Van Houten, J.; Qu, G.Y.; Piunno, P.A.E.; Krull, U.J. Recent trends in the developments of analytical probes based on lanthanide-doped upconversion nanoparticles. Trends Anal. Chem. 2021, 139, 116256. [Google Scholar] [CrossRef]
- Auzel, F. Upconversion and anti-stokes processes with f and d ions in solids. Chem. Rev. 2004, 104, 139–174. [Google Scholar] [CrossRef] [PubMed]
- Wang, R.; Zhang, F. Lanthanide-based near infrared nanomaterials for bioimaging. In Near-Infrared Nanomaterials: Preparation, Bioimaging and Therapy Applications; Zhang, F., Ed.; RSC: London, UK, 2016; Chapter 1; pp. 1–39. [Google Scholar]
- Vetrone, F.; Naccache, R.; Zamarron, A.; de la Fuente, A.J.; Sanz-Rodríguez, F.; Maestro, L.M.; Rodriguez, E.M.; Jaque, D.; Sole, J.G.; Capobianco, J.A. Temperature Sensing Using Fluorescent Nanothermometers. ACS Nano 2010, 4, 3254–3258. [Google Scholar] [CrossRef]
- Labrador-Páez, L.; Pedroni, M.; Speghini, A.; García-Solé, J.; Haro-González, P.; Jaque, D. Reliability of rare-earth-doped infrared luminescent nanothermometers. Nanoscale 2018, 10, 22319–22328. [Google Scholar] [CrossRef]
- Runowski, M.; Woźny, P.; Stopikowska, N.; Martín, I.R.; Lavín, V.; Lis, S. Luminescent Nanothermometer Operating at Very High Temperature-Sensing up to 1000 K with Upconverting Nanoparticles (Yb3+/Tm3+). ACS Appl. Mater. Interfaces 2020, 12, 43933–43941. [Google Scholar] [CrossRef] [PubMed]
- Pereira, A.F.; Silva, J.F.; Gouveia-Neto, A.S.; Jacinto, C. 1.319 µm excited thulium doped nanoparticles for subtissue thermal sensing with deep penetration and high contrast imaging. Sens. Actuators B Chem. 2017, 238, 525–531. [Google Scholar] [CrossRef]
- Runowski, M.; Shyichuk, A.; Tymiński, A.; Grzyb, T.; Lavín, V.; Lis, S. Multifunctional Optical Sensors for Nanomanometry and Nanothermometry: High-Pressure and High-Temperature Upconversion Luminescence of Lanthanide-Doped Phosphates—LaPO4/YPO4:Yb3+−Tm3+. ACS Appl. Mater. Interfaces 2018, 10, 17269–17279. [Google Scholar] [CrossRef] [PubMed]
- Xu, F.; Ba, Z.; Zheng, Y.; Wang, Y.; Hu, M.; Xu, X.; Wang, J.; Zhang, Z. Rare-earth-doped optical nanothermometer in visible and near-infrared regions. J. Mater. Sci. 2018, 53, 15107–15117. [Google Scholar] [CrossRef]
- Xu, W.; Zhao, D.; Zhu, X.; Zheng, L.; Zhang, Z.; Cao, W. NIR to NIR luminescence thermometry in core/multishells-structured nanoparticles operating in the biological window. J. Lumin. 2020, 225, 117358. [Google Scholar] [CrossRef]
- Savchuk, O.A.; Carvajal, J.J.; Brites, C.D.S.; Carlos, L.D.; Aguilo, M.; Diaz, F. Upconversion thermometry: A new tool to measure the thermal resistance of nanoparticles. Nanoscale 2018, 10, 6602–6610. [Google Scholar] [CrossRef]
- Perrella, R.V.; de Sousa Filho, P.C. High-sensitivity dual UV/NIR-excited luminescence thermometry by rare earth vanadate nanoparticles. Dalton Trans. 2020, 49, 911–922. [Google Scholar] [CrossRef] [PubMed]
- Shang, F.; Hu, C.; Xu, W.; Zhu, X.; Zhao, D.; Zhang, W.; Zhang, Z.; Cao, W. Near-infrared emitting Nd3+-Yb3+ codoped Y2O3 nanocrystals for highly sensitive optical thermometry. J. Alloys Compd. 2021, 858, 157637. [Google Scholar] [CrossRef]
- Tamatani, M. Luminescence centers of transition metal ions. In Fundamentals of Phosphors; Yen, W.M., Shionoya, S., Yamamoto, H., Eds.; CRC Press: Boca Raton, FL, USA, 2007; Chapter 2, Section 2; pp. 157–180. [Google Scholar]
- Avram, N.M.; Brik, M.G. Optical Properties of 3d-Ions in Crystals: Spectroscopy and Crystal Field Analysis; Springer: Berlin/Heidelberg, Germany; New York, NY, USA; Dordrecht, The Netherlands; London, UK, 2013. [Google Scholar]
- Van Vleck, J.H. The John-Teller effect and crystalline stark splitting for clusters of the form XY6. J. Chem. Phys. 1939, 7, 72–84. [Google Scholar] [CrossRef]
- Tanabe, Y.; Sugano, S. On the Absorption Spectra of Complex Ions I. J. Phys. Soc. Jpn. 1954, 9, 753–766. [Google Scholar] [CrossRef]
- Fernicola, V.C.; Zhang, Z.Y.; Grattan, K.T.V. Fiber optic thermometry based on Cr-fluorescence in olivine crystals. Rev. Sci. Instrum. 1997, 68, 2418–2421. [Google Scholar] [CrossRef]
- Sun, T.; Zhang, Z.Y.; Grattan, K.T.V.; Palmer, A.W.; Collins, S.F. Analysis of the double exponential behavior in alexandrite for optical temperature sensing applications. Rev. Sci. Instrum. 1997, 68, 3442–3446. [Google Scholar] [CrossRef]
- Piotrowski, W.; Kuchowicz, M.; Dramićanin, M.; Marciniak, L. Lanthanide dopant stabilized Ti3+ state and supersensitive Ti3+ -based multiparametric luminescent thermometer in SrTiO3:Ln3+ (Ln3+ = Lu3+, La3+, Tb3+) nanocrystals. Chem. Eng. J. 2022, 428, 131165. [Google Scholar] [CrossRef]
- Li, F.; Cai, J.; Chi, F.F.; Chen, Y.; Duan, C.; Yin, M. Investigation of luminescence from LuAG: Mn4+ for physiological temperature sensing. Opt. Mater. 2017, 66, 447–452. [Google Scholar] [CrossRef]
- Trejgis, K.; Dramićanin, M.D.; Marciniak, L. Highly sensitive multiparametric luminescent thermometer for biologically-relevant temperatures based on Mn4+, Ln3+ co-doped SrTiO3 nanocrystals. J. Alloys Compd. 2021, 875, 159973. [Google Scholar] [CrossRef]
- Chen, D.; Chen, X.; Li, X.; Guo, H.; Liu, S.; Li, X. Cr3+-doped Bi2Ga4O9-Bi2Al4O9 solid-solution phosphors: Crystal-field modulation and lifetime based temperature sensing. Opt. Lett. 2017, 42, 4950–4953. [Google Scholar] [CrossRef]
- Kniec, K.; Marciniak, L. The influence of grain size and vanadium concentration on the spectroscopic properties of YAG:V3+, V5+ and YAG: V, Ln3+ (Ln3+ = Eu3+, Dy3+, Nd3+) nanocrystalline luminescent thermometers. Sens. Actuators B Chem. 2018, 264, 382–390. [Google Scholar] [CrossRef]
- Elzbieciak, K.; Bednarkiewicz, A.; Marciniak, L. Temperature sensitivity modulation through crystal field engineering in Ga3+ co-doped Gd3Al5−xGaxO12:Cr3+, Nd3+ nanothermometers. Sens. Actuators B Chem. 2018, 269, 96–102. [Google Scholar] [CrossRef]
- Elzbieciak-Piecka, K.; Matuszewska, C.; Marciniak, L. Step by step designing of sensitive luminescent nanothermometers based on Cr3+, Nd3+ co-doped La3−xLuxAl5−yGayO12 nanocrystals. New J. Chem. 2019, 43, 12614–12622. [Google Scholar] [CrossRef]
- Elzbieciak, K.; Marciniak, L. The Impact of Cr3+ Doping on Temperature Sensitivity Modulation in Cr3+ Doped and Cr3+, Nd3+ Co-doped Y3Al5O12, Y3Al2Ga3O12, and Y3Ga5O12 Nanothermometers. Front. Chem. 2018, 6, 424. [Google Scholar] [CrossRef]
- Avram, D.; Porosnicu, I.; Patrascu, A.; Tiseanu, C. Real-Time Thermal Imaging based on the Simultaneous Rise and Decay Luminescence Lifetime Thermometry. Adv. Photonics Res. 2022, 3, 2100208. [Google Scholar] [CrossRef]
- Piotrowski, W.M.; Marin, R.; Szymczak, M.; Rodríguez, E.M.; Ortgies, D.H.; Rodríguez-Sevilla, P.; Dramićanin, M.D.; Jaque, D.; Marciniak, L. Mn5+ Lifetime-Based Thermal Imaging in the Optical Transparency Windows Through Skin-Mimicking Tissue Phantom. Adv. Opt. Mater. 2023, 11, 2202366. [Google Scholar] [CrossRef]
- Drabik, J.; Cichy, B.; Marciniak, L. New Type of Nanocrystalline Luminescent Thermometers Based on Ti3+/Ti4+ and Ti4+/Ln3+ (Ln3+ = Nd3+, Eu3+, Dy3+) Luminescence Intensity Ratio. J. Phys. Chem. C 2018, 122, 26, 14928–14936. [Google Scholar] [CrossRef]
- Drabik, J.; Marciniak, L. The influence of Eu3+ concentration on the spectroscopic properties of YAG:Ti, Eu3+ nanocrystalline luminescent thermometer. J. Lumin. 2019, 208, 213–217. [Google Scholar] [CrossRef]
- Jiang, R.; Yang, J.; Meng, Y.; Yan, D.; Liu, C.; Xu, C.; Liu, Y. The effects of the amount of Ge4+ doped in Zn2Ga3.98−4x/3GexO8:Cr0.02 nanoparticles on size distribution, NIR afterglow imaging and temperature sensing. J. Alloys Compd. 2020, 822, 153626. [Google Scholar] [CrossRef]
- Elzbieciak-Piecka, K.; Suta, M.; Marciniak, L. Structurally induced tuning of the relative sensitivity of LaScO3:Cr3+ luminescent thermometers by co-doping lanthanide ions. Chem. Eng. J. 2021, 421, 129757. [Google Scholar] [CrossRef]
- Ristić, Z.; Đorđević, V.; Medić, M.; Kuzman, S.; Sekulić, M.; Antić, Ž.; Dramićanin, M.D. Triple-temperature readout in luminescence thermometry with Cr3+-doped Mg2SiO4 operating from cryogenic to physiologically relevant temperatures. Meas. Sci. Technol. 2021, 32, 054004. [Google Scholar] [CrossRef]
- Kniec, K.; Ledwa, K.; Marciniak, L. Enhancing the Relative Sensitivity of V5+, V4+ and V3+ Based Luminescent Thermometer by the Optimization of the Stoichiometry of Y3Al5−xGaxO12 Nanocrystals. Nanomaterials 2019, 9, 1375. [Google Scholar] [CrossRef]
- Marciniak, L.; Trejgis, K. Luminescence lifetime thermometry with Mn3+-Mn4+ co-doped nanocrystals. J. Mater. Chem. C 2018, 6, 7092–7100. [Google Scholar] [CrossRef]
- Piotrowski, W.; Trejgis, K.; Maciejewska, K.; Ledwa, K.; Fond, B.; Marciniak, L. Thermochromic Luminescent Nanomaterials Based on Mn4+/Tb3+ Codoping for Temperature Imaging with Digital Cameras. ACS Appl. Mater. Interfaces 2020, 12, 44039–44048. [Google Scholar] [CrossRef]
- Piotrowski, W.M.; Marin, R.; Szymczak, M.; Martín Rodríguez, E.; Ortgies, D.H.; Rodríguez-Sevilla, P.; Bolek, P.; Dramićanin, M.D.; Jaque, D.; Marciniak, L. Critical evaluation of the thermometric performance of ratiometric luminescence thermometers based on Ba3(VO4)2:Mn5+,Nd3+ for deep-tissue thermal imaging. J. Mater. Chem. C 2023, 11, 6713–6723. [Google Scholar] [CrossRef]
- Matuszewska, C.; Elzbieciak-Piecka, K.; Marciniak, L. Transition Metal Ion-Based Nanocrystalline Luminescent Thermometry in SrTiO3:Ni2+,Er3+ Nanocrystals Operating in the Second Optical Window of Biological Tissues. J. Phys. Chem. C 2019, 123, 30, 18646–18653. [Google Scholar] [CrossRef]
- Weng, J.; Ren, J. Luminescent Quantum Dots: A Very Attractive and Promising Tool in Biomedicine. Curr. Med. Chem. 2006, 13, 897–909. [Google Scholar] [CrossRef]
- Cotta, M.A. Quantum Dots and Their Applications: What Lies Ahead? ACS Appl. Nano Mater. 2020, 3, 4920–4924. [Google Scholar] [CrossRef]
- Costa-Fernández, J.M.; Pereiro, R.; Sanz-Medel, A. The use of luminescent quantum dots for optical sensing. Trends Anal. Chem. 2006, 25, 207–218. [Google Scholar] [CrossRef]
- Del Rosal, B.; Ximendes, E.; Rocha, U.; Jaque, D. In Vivo Luminescence Nanothermometry: From Materials to Applications. Adv. Opt. Mater. 2016, 5, 1–14. [Google Scholar] [CrossRef]
- Zhao, P.; Xu, Q.; Tao, J.; Jin, Z.; Pan, Y.; Yu, C.; Yu, Z. Near infrared quantum dots in biomedical applications: Current status and future perspective. Wiley Interdiscip. Rev. Nanomed. Nanobiotechnol. 2018, 10, e1483. [Google Scholar] [CrossRef] [PubMed]
- Alivisatos, A.P. Semiconductor Clusters, Nanocrystals and Quantum Dots. Science 1996, 271, 933–937. [Google Scholar] [CrossRef]
- Bednarkiewicz, A.; Drabik, J.; Trejgis, K.; Jaque, D.; Ximendes, E.; Marciniak, L. Luminescence based temperature bio-imaging: Status, challenges, and perspectives. Appl. Phys. Rev. 2021, 8, 011317. [Google Scholar] [CrossRef]
- Wang, S.; Westcott, S.; Chen, W. Nanoparticle Luminescence Thermometry. J. Phys. Chem. B 2002, 106, 11203–11209. [Google Scholar] [CrossRef]
- Brites, C.D.S.; Lima, P.P.; Silva, N.J.O.; Millán, A.; Amaral, V.S.; Palacio, F.; Carlos, L.D. Thermometry at the nanoscale. Nanoscale 2012, 4, 4799–4829. [Google Scholar] [CrossRef]
- Joly, A.G.; Chen, W.; Roark, J.; Zhang, J.Z. Temperature Dependence of Up-Conversion Luminescence and Photoluminescence of Mn2+ in ZnS:Mn2+ Nanoparticles. J. Nanosci. Nanotechnol. 2001, 1, 295–301. [Google Scholar] [CrossRef]
- Maestro, L.M.; Rodríguez, E.M.; Rodríguez, F.S.; Iglesias-de la Cruz, M.C.; Juarranz, A.; Naccache, R.; Vetrone, F.; Jaque, D.; Capobianco, J.A.; Solé, J.G. CdSe Quantum Dots for Two-Photon Fluorescence Thermal Imaging. Nano Lett. 2010, 10, 5109–5115. [Google Scholar] [CrossRef]
- Savchenko, S.S.; Vokhmintsev, A.S.; Weinstein, I.A. Temperature-induced shift of the exciton absorption band in InP/ZnS quantum dots. Opt. Mater. Express 2017, 7, 354–359. [Google Scholar] [CrossRef]
- Marin, R.; Vivian, A.; Skripka, A.; Migliori, A.; Morandi, V.; Enrichi, F.; Vetrone, F.; Ceroni, P.; Aprile, C.; Canton, P. Mercaptosilane-Passivated CuInS2 Quantum Dots for Luminescence Thermometry and Luminescent Labels. ACS Appl. Nano Mater. 2019, 2, 2426–2436. [Google Scholar] [CrossRef]
- Albahrani, S.M.B.; Seoudi, T.; Philippon, D.; Lafarge, L.; Reiss, P.; Hajjaji, H.; Guillot, G.; Querry, M.; Bluet, J.-M.; Vergne, P. Quantum dots to probe temperature and pressure in highly confined liquids. RSC Adv. 2018, 8, 22897–22908. [Google Scholar] [CrossRef]
- Birchall, L.; Foerster, A.; Rance, G.A.; Terry, A.; Wildman, R.D.; Tuck, C.J. An inkjet-printable fluorescent thermal sensor based on CdSe/ZnS quantum dots immobilised in a silicone matrix. Sens. Actuator A Phys. 2022, 347, 113977. [Google Scholar] [CrossRef]
- Chang, Q.; Zhou, X.; Jiang, S.; Xiang, G.; Li, L.; Li, Y.; Jing, C.; Ling, F.; Wang, Y.; Xiao, P. Dual-mode luminescence temperature sensing performance of manganese (II) doped CsPbCl3 perovskite quantum dots. Ceram. Int. 2022, 48, 33645–33652. [Google Scholar] [CrossRef]
- Kalytchuk, S.; Adam, M.; Tomanec, O.; Zboril, R.; Gaponik, N.; Rogach, A.L. Sodium Chloride Protected CdHgTe Quantum Dot Based Solid-State Near-Infrared Luminophore for Light-Emitting Devices and Luminescence Thermometry. ACS Photonics 2017, 4, 1459–1465. [Google Scholar] [CrossRef]
- Del Rosal, B.; Carrasco, E.; Ren, F.; Benayas, A.; Vetrone, F.; Sanz-Rodríguez, F.; Ma, D.; Juarranz, Á.; Jaque, D. Infrared-Emitting QDs for Thermal Therapy with Real-Time Subcutaneous Temperature Feedback. Adv. Funct. Mater. 2016, 2, 6060–6068. [Google Scholar] [CrossRef]
- Silva, J.F.; de Oliveira, J.M.; Silva, W.F.; Soares, A.C.C.; Rocha, U.; Dantas, N.O.; da Silva Filho, E.A.; Duzzioni, M.; Cofré, A.H.R.; de Castro, O.W.; et al. Supersensitive nanothermometer based on CdSe/CdSxSe1−x magic-sized quantum dots with in vivo low toxicity. Chem. Eng. Sci. 2022, 264, 118153. [Google Scholar] [CrossRef]
- Adachi, C.; Tsutsui, T. Luminescence of organic compounds. In Fundamentals of Phosphors; Yen, W.M., Shionoya, S., Yamamoto, H., Eds.; CRC Press: Boca Raton, FL, USA, 2007; Chapter 1, Section 5; pp. 51–59. [Google Scholar]
- Qiao, J.; Mu, X.; Qi, L. Construction of fluorescent polymeric nano-thermometers for intracellular temperature imaging: A review. Biosens. Bioelectron. 2016, 85, 403–413. [Google Scholar] [CrossRef]
- Meng, L.; Jiang, S.; Song, M.; Yan, F.; Zhang, W.; Xu, B.; Tian, W. TICT-Based Near-Infrared Ratiometric Organic Fluorescent Thermometer for Intracellular Temperature Sensing. ACS Appl. Mater. Interfaces 2020, 12, 26842–26851. [Google Scholar] [CrossRef] [PubMed]
- Russegger, A.; Debruyne, A.C.; Berrio, D.C.; Fuchs, S.; Marzi, J.; Schenke-Layland, K.; Dmitriev, R.I.; Borisov, S.M. Bright and Photostable TADF-Emitting Zirconium(IV) Pyridinedipyrrolide Complexes: Efficient Dyes for Decay Time-Based Temperature Sensing and Imaging. Adv. Opt. Mater. 2023, 11, 2202720. [Google Scholar] [CrossRef]
- Palner, M.; Pu, K.; Shao, S.; Rao, J. Semiconducting Polymer Nanoparticles with Persistent Near-Infrared Luminescence for In Vivo Optical Imaging. Angew. Chem. Int. Ed. 2015, 54, 11477–11480. [Google Scholar] [CrossRef] [PubMed]
- Wu, Y.; Liu, J.; Ma, J.; Liu, Y.; Wang, Y.; Wu, D. Ratiometric nanothermometer based on Rhodamine dye-incorporated F127-melamine-formaldehyde polymer nanoparticle: Preparation, characterization, wide-range temperature sensing, and precise intracellular thermometry. ACS Appl. Mater. Interfaces 2016, 8, 14396–14405. [Google Scholar] [CrossRef]
- Bustamante, N.; Ielasi, G.; Bedoya, M.; Orellana, G. Optimization of Temperature Sensing with Polymer-Embedded Luminescent Ru(II) Complexes. Polymers 2018, 10, 234. [Google Scholar] [CrossRef]
- Piñol, R.; Zeler, J.; Brites, C.D.S.; Gu, Y.; Tellez, P.; Neto, A.N.C.; da Silva, T.E.; Moreno-Loshuertos, R.; Fernandez-Silva, P.; Gallego, A.I.; et al. Real-Time Intracellular Temperature Imaging Using LanthanideBearing Polymeric Micelles. Nano Lett. 2020, 20, 6466–6472. [Google Scholar] [CrossRef] [PubMed]
- Kolesnikov, I.E.; Kurochkin, M.A.; Meshkov, I.N.; Akasov, R.A.; Kalinichev, A.A.; Kolesnikov, E.Y.; Gorbunova, Y.G.; Lähderanta, E. Water-soluble multimode fluorescent thermometers based on porphyrins photosensitizers. Mater. Des. 2021, 203, 109613. [Google Scholar] [CrossRef]
- Saha, B.; Ruidas, B.; Mete, S.; Mukhopadhyay, C.D.; Bauri, K.; De, P. AIE-active non-conjugated poly(Nvinylcaprolactam) as a fluorescent thermometer for intracellular temperature imaging. Chem. Sci. 2020, 11, 141–147. [Google Scholar] [CrossRef]
- Savchuk, O.A.; Silvestre, O.F.; Adão, R.M.R.; Nieder, J.B. GFP fluorescence peak fraction analysis based nanothermometer for the assessment of exothermal mitochondria activity in live cells. Sci. Rep. 2019, 9, 7535. [Google Scholar] [CrossRef]
- Steinegger, A.; Klimant, I.; Borisov, S.M. Purely Organic Dyes with Thermally Activated Delayed Fluorescence—A Versatile Class of Indicators for Optical Temperature Sensing. Adv. Opt. Mater. 2017, 5, 1700372. [Google Scholar] [CrossRef]
- Su, X.; Wen, Y.; Yuan, W.; Xu, M.; Liu, Q.; Huang, C.; Li, F. Lifetime-based nanothermometry in vivo with ultra-long-lived luminescence. Chem. Commun. 2020, 56, 10694–10697. [Google Scholar] [CrossRef] [PubMed]
- Sagbas, S.; Sahiner, N. Carbon Dots: Preparation, Properties, and Application. In Nanocarbon and its Composites. Preparation, Properties and Applications; Khan, A., Jawaid, M., Inamuddin, Asiri, A.M., Eds.; Elsevier: Amsterdam, The Netherlands, 2018; Chapter 22; pp. 651–676. [Google Scholar]
- Mohammed, L.J.; Omer, K.M. Carbon Dots as New Generation Materials for Nanothermometer: Review. Nanoscale Res. Lett. 2020, 15, 182. [Google Scholar] [CrossRef] [PubMed]
- Liu, M.L.; Chen, B.B.; Li, C.M.; Huang, C.Z. Carbon dots: Synthesis, formation mechanism, fluorescence origin and sensing applications. Green Chem. 2019, 21, 449–471. [Google Scholar] [CrossRef]
- Mansuriya, B.D.; Altintas, Z. Carbon Dots: Classification, Properties, Synthesis, Characterization, and Applications in Health Care—An Updated Review (2018–2021). Nanomaterials 2021, 11, 2525. [Google Scholar] [CrossRef] [PubMed]
- Han, Y.; Liccardo, L.; Moretti, E.; Zhao, H.; Vomiero, A. Synthesis, optical properties and applications of red/near-infrared carbon dots. J. Mater. Chem. C 2022, 10, 11827. [Google Scholar] [CrossRef]
- Zhu, J.Y.; Shao, H.; Bai, X.; Zhai, Y.; Zhu, Y.S.; Chen, X.; Pan, G.C.; Dong, B.; Xu, L.; Zhang, H.Z.; et al. Modulation of the photoluminescence in carbon dots through surface modification: From mechanism to white light-emitting diodes. Nanotechnology 2018, 29, 245702. [Google Scholar] [CrossRef] [PubMed]
- Jiang, K.; Sun, S.; Zhang, L.; Lu, Y.; Wu, A.; Cai, C.; Lin, H. Red, green, and blue luminescence by carbon dots: Full-color emission tuning and multicolor cellular imaging. Angew. Chem. Int. Ed. 2015, 54, 5360–5363. [Google Scholar] [CrossRef]
- Schneider, C.J.; Reckmeier, C.J.; Xiong, Y.; von Seckendorff, M.; Susha, A.S.; Kasák, P.; Rogach, A.L. Aggregated Molecular Fluorophores in the Ammonothermal Synthesis of Carbon Dots. J. Phys. Chem. C 2017, 121, 2014–2022. [Google Scholar] [CrossRef]
- Han, Y.; Liu, Y.; Zhao, H.; Vomiero, A.; Li, R. Highly efficient ratiometric nanothermometers based on colloidal carbon quantum dots. J. Mater. Chem. B 2021, 9, 4111–4119. [Google Scholar] [CrossRef] [PubMed]
- Zhao, H.; Vomiero, A.; Rosei, F. Tailoring the Heterostructure of Colloidal Quantum Dots for Ratiometric Optical Nanothermometry. Small 2020, 16, 2000804. [Google Scholar] [CrossRef]
- Yang, Y.; Kong, W.; Li, H.; Liu, J.; Yang, M.; Huang, H.; Liu, Y.; Wang, Z.; Wang, Z.; Sham, T.-K.; et al. Fluorescent N-Doped Carbon Dots as in Vitro and in Vivo Nanothermometer. ACS Appl. Mater. Interfaces 2015, 7, 27324–27330. [Google Scholar] [CrossRef] [PubMed]
- Yu, P.; Wen, X.; Toh, Y.-R.; Tang, J. Temperature-dependent fluorescence in carbon dots. J. Phys. Chem. C 2012, 116, 25552–25557. [Google Scholar] [CrossRef]
- Yuan, F.; Ding, L.; Li, Y.; Li, X.; Fan, L.; Zhou, S.; Fang, D.; Yang, S. Multicolor fluorescent graphene quantum dots colorimetrically responsive to all-pH and a wide temperature range. Nanoscale 2015, 7, 11727–11733. [Google Scholar] [CrossRef]
- Zhang, J.; Nan, D.; Pan, S.; Liu, H.; Yang, H.; Hu, X. N,S co-doped carbon dots as a dual-functional fluorescent sensor for sensitive detection of baicalein and temperature. Spectrochim. Acta Part A Mol. Biomol. Spectrosc. 2019, 221, 117161. [Google Scholar] [CrossRef]
- Kalytchuk, S.; Polakova, K.; Wang, Y.; Froning, J.P.; Cepe, K.; Rogach, A.L.; Zboril, R. Carbon Dot Nanothermometry: Intracellular Photoluminescence Lifetime Thermal Sensing. ACS Nano 2017, 11, 1432–1442. [Google Scholar] [CrossRef]
- Mohammed, L.J.; Omer, K.M. Dual functional highly luminescence B, N co-doped carbon nanodots as nanothermometer and Fe3+/Fe2+ sensor. Sci. Rep. 2020, 10, 3028. [Google Scholar] [CrossRef] [PubMed]
- Wang, C.; Jiang, K.; Wu, Q.; Wu, J.; Zhang, C. Green Synthesis of Red-Emitting Carbon Nanodots as a Novel “Turn-on” Nanothermometer in Living Cells. Chem. Eur. J. 2016, 22, 14475. [Google Scholar] [CrossRef] [PubMed]
- Cui, X.; Wang, Y.; Liu, J.; Yang, Q.; Zhang, B.; Gao, Y.; Wang, Y.; Lu, G. Dual functional N- and S-co-doped carbon dots as the sensor for temperature and Fe3+ ions. Sens. Actuators B Chem. 2017, 242, 1272–1280. [Google Scholar] [CrossRef]
- Wang, C.; Hu, T.; Thomas, T.; Song, S.; Wen, Z.; Wang, C.; Song, Q.; Yang, M. Surface state-controlled C-dot/C-dot based dual-emission fluorescent nanothermometers for intra-cellular thermometry. Nanoscale 2018, 10, 21809. [Google Scholar] [CrossRef]
- Nguyen, V.; Yan, L.; Xu, H.; Yue, M. One-step synthesis of multi-emission carbon nanodots for ratiometric temperature sensing. Appl. Surf. Sci. 2018, 427, 1118–1123. [Google Scholar] [CrossRef]
- Macairan, J.-R.; Jaunky, D.B.; Piekny, A.; Naccache, R. Intracellular ratiometric temperature sensing using fluorescent carbon dots. Nanoscale Adv. 2019, 1, 105–113. [Google Scholar] [CrossRef]
- Xu, Y.; Yang, Y.; Lin, S.; Xiao, L. Red-Emitting Carbon Nanodot-Based Wide-Range Responsive Nanothermometer for Intracellular Temperature Sensing. Anal. Chem. 2020, 92, 15632–15638. [Google Scholar] [CrossRef]
- Guo, Z.; Luo, J.; Zhu, Z.; Sun, Z.; Zhang, X.; Wu, Z.-C.; Mo, F.; Guan, A. A facile synthesis of high-efficient N,S co-doped carbon dots for temperature sensing application. Dye. Pigment. 2020, 173, 107952. [Google Scholar] [CrossRef]
- Li, C.; Qin, Z.; Wang, M.; Liu, W.; Jiang, H.; Wang, X. Manganese oxide doped carbon dots for temperature responsive biosensing and target bioimaging. Anal. Chim. Acta 2020, 1104, 125–131. [Google Scholar] [CrossRef]
- Treussart, F.; Vlasov, I.I. Photoluminescence of color centers in nanodiamonds. In Nanodiamonds, Advanced Material Analysis, Properties and Applications, Micro and Nano Technologies; Arnault, J.-C., Ed.; Elsevier: Amsterdam, The Netherlands, 2017; Chapter 7; pp. 155–181. [Google Scholar]
- Nebel, C.E. General properties of diamond. In Nanodiamonds, Advanced Material Analysis, Properties and Applications, Micro and Nano Technologies; Arnault, J.-C., Ed.; Elsevier: Amsterdam, The Netherlands, 2017; Chapter 7; pp. 1–24. [Google Scholar]
- Mochalin, V.N.; Shenderova, O.; Ho, D.; Gogotsi, Y. The properties and applications of nanodiamonds. Nat. Nanotechnol. 2012, 7, 11–23. [Google Scholar] [CrossRef]
- Kucsko, G.; Maurer, P.C.; Yao, N.Y.; Kubo, M.H.; Noh, J.; Lo, P.K.; Park, H.; Lukin, M.D. Nanometre-scale thermometry in a living cell. Nature 2013, 500, 54–59. [Google Scholar] [CrossRef]
- Petrini, G.; Tomagra, G.; Bernardi, E.; Moreva, E.; Traina, P.; Marcantoni, A.; Picollo, F.; Kvaková, K.; Cígler, P.; Degiovanni, I.P.; et al. Nanodiamond–quantum sensors reveal temperature variation associated to hippocampal neurons firing. Adv. Sci. 2022, 9, e2202014. [Google Scholar] [CrossRef]
- Zhang, T.; Pramanik, G.; Zhang, K.; Gulka, M.; Wang, L.; Jing, J.; Xu, F.; Li, Z.; Wei, Q.; Cigler, P.; et al. Toward Quantitative Bio-sensing with Nitrogen−Vacancy Center in Diamond. ACS Sens. 2021, 6, 2077–2107. [Google Scholar] [CrossRef] [PubMed]
- Fujiwara, M.; Shikano, Y. Diamond quantum thermometry: From foundations to applications. Nanotechnology 2021, 32, 482002. [Google Scholar] [CrossRef] [PubMed]
- Glushkov, E.; Navikasa, V.; Radenovic, A. Fluorescent Nanodiamonds as Versatile Intracellular Temperature Sensors. Chimia 2019, 73, 73–77. [Google Scholar] [CrossRef] [PubMed]
- Sotoma, S.; Epperla, C.P.; Chang, H.-C. Diamond Nanothermometry. Chem. Nano Mat. 2018, 2, 15–27. [Google Scholar] [CrossRef]
- Qureshi, S.A.; Hsiao, W.W.; Hussain, L.; Aman, H.; Le, T.-N.; Rafique, M. Recent Development of Fluorescent Nanodiamonds for Optical Biosensing and Disease Diagnosis. Biosensors 2022, 12, 1181. [Google Scholar] [CrossRef]
- Radtke, M.; Bernardi, E.; Slablab, A.; Nelz, R.; Neu, E. Nanoscale sensing based on nitrogen vacancy centers in single crystal diamond and nanodiamonds: Achievements and challenges. Nano Futures 2019, 3, 042004. [Google Scholar] [CrossRef]
- Plakhotnik, T.; Gruber, D. Luminescence of nitrogen-vacancy centers in nanodiamonds at temperatures between 300 and 700 K: Perspectives on nanothermometry. Phys. Chem. Chem. Phys. 2010, 12, 9751–9756. [Google Scholar] [CrossRef]
- Choi, J.; Zhou, H.; Landig, R.; Wu, H.-Y.; Yu, X.; Von Stetina, S.E.; Kucsko, G.; Mango, S.E.; Needleman, D.J.; Samuel, A.D.T.; et al. Probing and Manipulating Embryogenesis via Nanoscale Thermometry and Temperature Control. Proc. Natl. Acad. Sci. USA 2020, 117, 14636–14641. [Google Scholar] [CrossRef] [PubMed]
- Choi, S.; Agafonov, V.N.; Davydov, V.A.; Plakhotnik, T. Ultrasensitive All-Optical Thermometry Using Nanodiamonds with a High Concentration of Silicon-Vacancy Centers and Multiparametric Data Analysis. ACS Photonics 2019, 6, 1387–1392. [Google Scholar] [CrossRef]
- Ekimova, E.A.; Kondrina, M.V.; Krivobok, V.S.; Khomichc, A.A.; Vlasovc, I.I.; Khmelnitskiy, R.A.; Iwasakie, T.; Hatano, M. Effect of Si, Ge and Sn dopant elements on structure and photoluminescence of nano- and microdiamonds synthesized from organic compounds. Diam. Relat. Mater. 2019, 93, 75–83. [Google Scholar] [CrossRef]
- Fan, J.-W.; Cojocaru, I.; Becker, J.; Fedotov, I.V.; Hassan, M.; Alkahtani, A.; Alajlan, A.; Blakley, S.; Rezaee, M.; Lyamkina, A.; et al. Germanium-Vacancy Color Center in Diamond as a Temperature Sensor. ACS Photonics 2018, 5, 765–770. [Google Scholar] [CrossRef]
- Miller, C.; Puust, L.; Ekimov, E.; Vlasov, I.; Vanetsev, A.; Vinogradova, E.; Orlovskii, Y.; Treshchalov, A.; Sildos, I. Toward Performance and Applications of Large Area Optical Thermometry Based on the Luminescence of Germanium-Vacancy Defects in Diamond Nanocrystals. Phys. Status Solidi A 2020, 218, 2000217. [Google Scholar] [CrossRef]
- Romshin, A.M.; Zeeb, V.; Martyanov, A.K.; Kudryavtsev, O.S.; Pasternak, D.G.; Sedov, V.S.; Ralchenko, V.G.; Sinogeykin, A.G.; Vlasov, I.I. A new approach to precise mapping of local temperature fields in submicrometer aqueous volumes. Sci. Rep. 2021, 11, 14228. [Google Scholar] [CrossRef] [PubMed]
- Fukami, M.; Yale, C.G.; Andrich, P.; Liu, X.; Heremans, F.J.; Nealey, P.F.; Awschalom, D.D. All-Optical Cryogenic Thermometry Based on Nitrogen-Vacancy Centers in Nanodiamonds. Phys. Rev. Appl. 2019, 12, 014042. [Google Scholar] [CrossRef]
- Nishimura, Y.; Oshimi, K.; Umehara, Y.; Kumon, Y.; Miyaji, K.; Yukawa, H.; Shikano, Y.; Matsubara, T.; Fujiwara, M.; Baba, Y.; et al. Wide-Field Fluorescent Nanodiamond Spin Measurements Toward Real-Time Large-Area Intracellular Thermometry. Sci. Rep. 2021, 11, 4248. [Google Scholar] [CrossRef]
- Alkahtani, M.H.; Alghannam, F.; Jiang, L.; Rampersaud, A.A.; Brick, R.; Gomes, C.L.; Scully, M.O.; Hemmer, P.R. Fluorescent Nanodiamonds for Luminescent Thermometry in the Biological Transparency Window. Opt. Lett. 2018, 43, 3317–3320. [Google Scholar] [CrossRef]
- Singam, S.K.R.; Nesladek, M.; Goovaerts, E. NitrogenVacancy Nanodiamond Based Local Thermometry Using Frequency Jump Modulation. Nanotechnology 2020, 31, 105501. [Google Scholar] [CrossRef]
- Tsai, P.C.; Epperla, C.P.; Huang, J.S.; Chen, O.Y.; Wu, C.C.; Chang, H.C. Measuring Nanoscale Thermostability of Cell Membranes with Single Gold-Diamond Nanohybrids. Angew. Chem. Int. Ed. 2017, 56, 3025–3030. [Google Scholar] [CrossRef] [PubMed]
- Fujiwara, M.; Sun, S.; Dohms, A.; Nishimura, Y.; Suto, K.; Takezawa, Y.; Oshimi, K.; Zhao, L.; Sadzak, N.; Umehara, Y.; et al. RealTime Nanodiamond Thermometry Probing In Vivo Thermogenic Responses. Sci. Adv. 2020, 6, eaba9636. [Google Scholar] [CrossRef] [PubMed]
- Sotoma, S.; Zhong, C.; Kah, J.C.Y.; Yamashita, H.; Plakhotnik, T.; Harada, Y.; Suzuki, M. In Situ Measurements of Intracellular Thermal Conductivity Using Heater-Thermometer Hybrid Diamond Nanosensors. Sci. Adv. 2021, 7, eabd7888. [Google Scholar] [CrossRef] [PubMed]
- Nguyen, C.T.; Evans, R.E.; Sipahigil, A.; Bhaskar, M.K.; Sukachev, D.D.; Agafonov, V.N.; Davydov, V.A.; Kulikova, L.F.; Jelezko, F. Lukin, M.D. All-optical nanoscale thermometry with silicon-vacancy centers in diamond. Appl. Phys. Lett. 2018, 112, 203102. [Google Scholar] [CrossRef]
- Tran, T.T.; Regan, B.; Ekimov, E.A.; Mu, Z.; Zhou, Y.; Gao, W.; Narang, P.; Solntsev, A.S.; Toth, M.; Aharonovich, I.; et al. Anti-Stokes excitation of solid-state quantum emitters for nanoscale thermometry. Sci. Adv. 2019, 5, eaav9180. [Google Scholar] [CrossRef]



















| NPs Size [nm] | Host | Lanthanide Ion | Measurement Method | Temperature Range [K] | Maximal Sensitivity [%K−1] | Application | Ref. |
|---|---|---|---|---|---|---|---|
| 50–100 | Gd2Zr2O7 | Eu3+ | Ratiometric | 300–700 | 0.92 | Temperature sensing | [22] |
| 15–20 | TiO2 | Eu3+ | Luminescence intensity | 293–313 | 2 | Sensing temperature within L929 fibroblast cells | [23] |
| 100–200 | LaVO4 | Eu3+ | Ratiometric, dual-excited single band, CT band position | 98–773 | 2.3 | Remote thermometry | [24] |
| 17 × 25 | NaYF4 | Eu3+ | Ratiometric, dual-excited single band, resonant to GSA and ESA | 123–473 | 4.11 | Remote thermometry | [25] |
| 12 × 25 | NaGdF4 | 16.9 | |||||
| 70–80 | YVO4 | Eu3+ | Ratiometric, dual-excited single band, CT band position | 299–466 | 2.23 | Remote thermometry | [26] |
| Dy3+ | 2.36 | ||||||
| Sm3+ | 3.09 | ||||||
| 10–30 | Gd2Ti2O7 | Dy3+ | Ratiometric, trap emission of host and Dy3+ emission band | 293–443 | 0.9 | Temperature sensing | [27] |
| 80–100 | YAlO3 | Dy3+ | Ratiometric, three-level | 300–850 | 0.86 | Temperature sensing at high temperatures | [28] |
| ~20 | La2Zr2O7 | Pr3+ | Ratiometric | 85–705 | 0.41 | Temperature sensing at high temperatures | [29] |
| ~100 | YAlO3 | Nd3+ | Ratiometric | 290–610 | 1.8 | Sub-tissue luminescence imaging in I- and II-biological window | [30] |
| 60–70 | YVO4 | Nd3+ | Ratiometric | 123–398 | 0.54 | Temperature sensing in I- and II-biological window | [31] |
| ~50 | CaSrSiO4 | Tb3+ | Ratiometric | 10–290 | 0.18 | Low-temperature sensor | [32] |
| ~50 | Y3Al5O12 | Er3+, Yb3+ | Ratiometric (Stark components of Er3+) | 80–600 | 1 | Temperature sensing in biological windows | [33] |
| Ratiometric (emissions of Yb3+ and Er3+) | 0.8 | ||||||
| Yb3+ bandshift and bandwidth change | 0.4 | ||||||
| Yb3+ 2F5/2 state kinetics | 0.86 |
| NPs Size [nm] | Host | Lanthanide Ion | Measurement Method | Temperature Range [K] | Maximal Sensitivity [%K−1] | Application | Ref. |
|---|---|---|---|---|---|---|---|
| ~50 | NaNbO3 | Tm3+ | Ratiometric (1390 nm excitation) | 295–363 | 0.80 | Subtissue thermal sensing with deep penetration | [42] |
| 70–150 | LaPO4 | Tm3+, Yb3+ | Ratiometric | 293–773 | ~3 | In situ pressure and temperature measurements | [43] |
| 20–50 | YPO4 | ~2.3 | |||||
| 15 | NaYbF4@CaF2@ NaYF4:Yb3+/Er3+@ CaF2 core/multishell | Tm3+, Er3+/Yb3+ | Ratiometric (Tm3+) | 10–295 | 3.06 | Ultralow temperature sensing of the contactless luminescence nanoprobe | [15] |
| Ratiometric (Er3+) | 0.82 | ||||||
| 10–50 | NaYF4@ NaGdF4:Nd core/shell | Er3+/Yb3+ | Ratiometric (Er3+) | 283–338 | 9.3 | Temperature monitoring in photothermal therapy | [44] |
| ~25 | NaYbF4/NaYF4:Tm3+-Yb3+ /NaYF4 core/shell/shell | Tm3+, Yb3+ | Ratiometric | 303–423 | 3.9 | Temperature detection in bio-systems | [45] |
| 50–150 | KLu(WO4)2 | Tm3+, Ho3+ | Ratiometric (Tm3+ and Ho3+ lines) | 300–333 | 2.84 | Estimation of thermal resistance | [46] |
| 40 × 70 | YVO4 | Tm3+, Er3+/Yb3+ | Ratiometric (Er3+ lines) | 267–673 | 7.4 | Temperature sensing | [47] |
| Tm3+, Ho3+, Er3+/Yb3+ | Ratiometric (Er3+ lines) | 2.4 | |||||
| 20–60 | Y2O3 | Nd3+/Yb3+ | Ratiometric (Nd3+ and Yb3+ lines) | 303–333 | 2.9 | Temperature sensing in different temperature ranges | [48] |
| 423–773 | 2.3 |
| NPs Size [nm] | Host | Transition Metal Ion (Co-Doping ion) | Measurement Method | Temperature Range [K] | Maximal Sensitivity [%K−1] | Application | Ref. |
|---|---|---|---|---|---|---|---|
| <100 | Y3Al5O12 | Ti4+/Ti3+ | Ratiometric, Ti4+/Ti3+ bands | 123–573 | 0.71 | Temperature sensing | [65] |
| Ti4+/Ln3+ (Nd3+, Eu3+, Dy3+) | Ratiometric, Ti4+/Nd3+ bands | 3.70 | |||||
| 30 ± 10 | Y3Al5O12 | Ti3+ (Eu3+) | Ratiometric, Eu3+/Ti4+ bands | 123–573 | 1.37 | Temperature sensing | [66] |
| Ratiometric, Eu3+/Ti3+ bands | ~0.90 | ||||||
| 50 ± 10 | Gd3Al5−xGaxO12 | Cr3+ (Nd3+) | Ratiometric, Cr3+/Nd3+ bands | 123–573 | 1.90 | Temperature sensing | [60] |
| Ratiometric, Cr3+/Cr3+ bands | 1.30 | ||||||
| 70 ± 10 | Y3Al5O12 | Cr3+ (Nd3+) | Ratiometric, (Cr3+/Cr3+ bands, Cr3+/Nd3+ bands) | 123–573 | 2.64 | Temperature sensing | [62] |
| Y3Ga5O12 | ~2 | ||||||
| Y3Al2Ga3O12 | 2.16 | ||||||
| 40–50 | ZnGa2O4/ZnGaGeO4/ | Cr3+ | Ratiometric, Cr3+/Cr3+ bands | 295–328 | ~1 | Bioimaging and biosensing | [67] |
| 10–30 | La2LuGa5O12 | Cr3+ (Nd3+) | Ratiometric, (Nd3+/Cr3+ bands) | 123–573 | 1.47 | Temperature sensing | [61] |
| 35–55 | LaScO3 | Cr3+ (Yb3+) | Lifetime | 123–573 | 1.70 | Temperature sensing | [68] |
| ~100 | Mg2SiO4 | Cr3+ | Emission intensity | 10–350 | 0.7 | Temperature sensing | [69] |
| Lifetime | 0.8 | ||||||
| Emission band position | 0.85 | ||||||
| 22–47.6 | Y3Al5O12 | V3+,V5+ (Eu3+, Dy3+, Nd3+) | Ratiometric, (V3+/V5+ bands) | 123–573 | 4–6 | Temperature sensing | [61] |
| Ratiometric, (V3+/Eu3+ bands) | 0.4 | ||||||
| Ratiometric, (V3+/Dy3+ bands) | 3.5 | ||||||
| Ratiometric, (V3+/Nd3+ bands) | 0.91 | ||||||
| <100 | Y3Al5−xGaxO12 | V3+ | Emission intensity | 123–573 | 1.08 | Temperature sensing | [70] |
| V4+ | 1.34 | ||||||
| V5+ | 2 | ||||||
| V5+/V4+ | Ratiometric (V5+/V4+ bands) | 2.64 | |||||
| <100 | GAG, GGG, LuAG, YAP, YAG | Mn3+ Mn4+ | Lifetime (decay time) | 120–570 | 2.08 (GAG) | Temperature sensing | [71] |
| Lifetime (risetime) | 3.58 (GGG) | ||||||
| 20–200 | Sr4Al14O25 | Mn4+ (Tb3+) | Ratiometric, (Mn4+/Tb3+ bands) | 123–543 | 2.8 | Thermal imaging | [72] |
| <100 | Ba3(VO4)2 | Mn5+ (Nd3+) | Ratiometric, (Nd3+/Mn5+ bands) | 83–683 | 0.94 | Deep-tissue thermal imaging | [73] |
| 10–50 | SrTiO3 | Ni2+ (Er3+) | Ratiometric, (Ni2+ bands) | 123–483 | 0.25 | Temperature sensing in the second biological window | [74] |
| Ratiometric (Er3+/Ni2+ bands) | 0.80 |
| QDs Size [nm] | Type of QDs | Measurement Method | Temperature Range [K] | Maximal Sensitivity [%K−1] | Application | Ref. |
|---|---|---|---|---|---|---|
| 5–6 | CdSe/CdS/ZnS dispersed in squalane | 295–393 | NA | Temperature measurement in situ of thin films of liquids in dynamic conditions | [88] | |
| ~7.5 | CdSe/ZnS immobilised in silicone matrix | 303–333 | 0.93 | In situ thermal analysis and calibration within the microfluidics | [89] | |
| ~7.5 | CsPbCl3:Mn2+ | ) | 298–353 | 7.38 | Highly sensitive temperature measurement of nanoprobes | [90] |
| FWHM method (Exciton emission) | 2.13 | |||||
| ~6 | CdHgTe in NaCl matrix | 80–340 | 0.02 | NIR LED, NIR noncontact thermometry | [91] | |
| Lifetime | 1.4 | |||||
| ~4 | PbS/CdS/ZnS | Intensity | 283–333 | 1 | Minimally invasive photothermal tumor treatments with real-time intratumoral thermal feedback | [92] |
| NA | CdSe/CdSxSe1−x | Ratiometric (FWHM and the maximum emission intensity) | 306–343 | 6.9 | Supersensitive luminescent nanothermometers with low toxicity | [93] |
| PNPs Size [nm] | Type of PNPs | Measurement Method | Temperature Range [K] | Maximal Sensitivity [% K−1] | Application | Ref. |
|---|---|---|---|---|---|---|
| 20–50 | NIR775 dye in MEH-PPV polymer | Lifetime of persistent luminescence | 277–308 | NA | Optical imaging in living mice | [98] |
| 90 | Rhodamine dye in F127-melamine-formaldehyde polymer | Ratiometric (R110 emission/RB emission) | 253–383 | 7.6 | Cellular temperature monitoring in HeLa cells during microwave exposure | [99] |
| NA | Ru(II) polypyridyl complexes embedded in poly(cyanoacrylate) | ) | 273–323 | 3.3 | Production of temperature-sensitive optical fiber tips for temperature and O2 monitoring | [100] |
| ~20 | Eu3+,Sm3+-btfa-based polymeric micelles | Ratiometric, dual emission (Sm emission/Eu emission) | 300–328 | 1.5 | Intracellular temperature mapping of breast metastatic adenocarcinoma cells | [101] |
| Eu3+,Sm3+-DNPD-based polymeric micelles | 1.7 | |||||
| NA (water solutions) | Tetrasulfonatophenylporphyrinate (tetra sodium salt) TSPH2 | Ratiometric (peak-to-valley ratio) | 293–318 | 1.04 | Molecular thermometers for phototherapy to avoid heat-induced adverse effects | [102] |
| Mono(4-pyridyl)-triphenylporphyrinato)phosphorus(V) bromide MPyPP(OH)2 | Lifetime-based | 0.24 | ||||
| 8 | Poly(N-vinylcaprolactam) | Aggregation-induced emission after heating | 293–313 | NA | Intracellular temperature imaging in MCF-7 cells | [103] |
| NA (in solutions) | Green Fluorescent Protein | Peak Fractions analysis | 293–333 | 2.5 | Determination of chemically induced heat production in the HeLa cells | [104] |
| NA | Carbazole-substituted dicyanobenzenes, anthraquinone based dyes in RL100 nanoparticles | Lifetime-based | 278–323 | 2.8 | Temperature sensing and imaging | [105] |
| 150 (178) | Nanocapsules consisting of PdPc(OBu)8, PCU, perylene, nujol (medium), albumin (stabilizer) | Lifetime-based | 293–318 | ~7.5 | Detection of the temperature changes in vivo in mice | [106] |
| CDs Size [nm] | Type of CDs | Measurement Method | Temperature Range [K] | Maximal Sensitivity [% K−1] | Application | Ref. |
|---|---|---|---|---|---|---|
| ~4 | CD | (intensity rises with temperature) | 283–353 | 1.07 | Temperature measurement in living MC3T3-E1 cells | [123] |
| ~2.3 | N, S—CD | 298–348 | NA | Temperature sensor | [124] | |
| ~27 | CD | Ratiometric, dual emission | 288–358 | 0.93 | Cellular temperature imaging of MC3T3-EI cells | [125] |
| ~1.5 | CD | Ratiometric, dual emission | 278–358 | 1.48 | Temperature sensor | [126] |
| ~2.5 | N, S—CD | 278–348 | 0.41 | Temperature sensor | [120] | |
| ~7.5 | CD | Ratiometric, dual emission | 278–333 | 3.71 | In vitro thermal sensing using HeLa cells | [127] |
| ~3 | CD | Ratiometric (intensity rises with temperature) | 277–353 | 1.2 | Intracellular temperature sensing in different cells | [128] |
| ~3.6 | N, S—CD | Ratiometric | 283–343 | 0.64 | Temperature sensor | [129] |
| ~5.6 | MnO—CD | Ratiometric | 283–333 | NA | In vitro thermal sensing using HepG2 cells | [130] |
| <5 | CD | Ratiometric, dual emission | 305–315 | 8.2 | Intracellular temperature measurement in HEK293T cells | [115] |
| NDs Size [nm] | Type of luminescent Center | Measurement Method | Temperature Range [K] | Maximal Sensitivity | Application | Ref. |
|---|---|---|---|---|---|---|
| 100 | NV | All-optical | 85–300 | ~15 K/Hz−1/2 | Low-temperature thermometry | [149] |
| 100 | NV | ODMR | RT | ~2 K/Hz−1/2 | Camera-based thermometry of living cells | [150] |
| 100 | NV | All-optical | RT | ~0.2 K/Hz−1/2 | Nanothermometry in the biological transparency window | [151] |
| NiV | ODMR | ~0.9 K/Hz−1/2 | ||||
| 40 | NV | ODMR (frequency-jump modulation) | RT ∆T~20 K | NA | Thermal probing and heat diffusion measurements in the microelectronic circuit | [152] |
| 100 | NV | All-optical | 301–348 | 2 K/Hz−1/2 | Hyperthermia research in human embryonic kidney cells | [153] |
| 168 | NV | ODMR | 303.4–317.3 | 1.4 K/Hz−1/2 | Temperature measurement in living animals which may allow quantification of their biological activities | [154] |
| 150 | NV | ODMR | 302.1–313.9 | 2.2 K/Hz−1/2 | Measurement of the intracellular thermal conductivities of HeLa and MCF-7 cells | [155] |
| 70 | SiV | All-optical | RT | 0.037 K−1 | Temperature monitoring and mapping within intracellular regions | [144] |
| 200 | SiV | All-optical | RT ∆T~20 K | ~0.5 K/Hz−1/2 | Calibration-free thermometry for sensing and control of complex nanoscale systems | [156] |
| 300 | SiV | All-optical | 200–400 | ~0.5 K/Hz−1/2 | Practical nanoscale thermometry and sensing | [157] |
Disclaimer/Publisher’s Note: The statements, opinions and data contained in all publications are solely those of the individual author(s) and contributor(s) and not of MDPI and/or the editor(s). MDPI and/or the editor(s) disclaim responsibility for any injury to people or property resulting from any ideas, methods, instructions or products referred to in the content. |
© 2023 by the authors. Licensee MDPI, Basel, Switzerland. This article is an open access article distributed under the terms and conditions of the Creative Commons Attribution (CC BY) license (https://creativecommons.org/licenses/by/4.0/).
Share and Cite
Đačanin Far, L.; Dramićanin, M.D. Luminescence Thermometry with Nanoparticles: A Review. Nanomaterials 2023, 13, 2904. https://doi.org/10.3390/nano13212904
Đačanin Far L, Dramićanin MD. Luminescence Thermometry with Nanoparticles: A Review. Nanomaterials. 2023; 13(21):2904. https://doi.org/10.3390/nano13212904
Chicago/Turabian StyleĐačanin Far, Ljubica, and Miroslav D. Dramićanin. 2023. "Luminescence Thermometry with Nanoparticles: A Review" Nanomaterials 13, no. 21: 2904. https://doi.org/10.3390/nano13212904
APA StyleĐačanin Far, L., & Dramićanin, M. D. (2023). Luminescence Thermometry with Nanoparticles: A Review. Nanomaterials, 13(21), 2904. https://doi.org/10.3390/nano13212904
