Tuning Interlayer Exciton Emission with TMD Alloys in van der Waals Heterobilayers of Mo0.5W0.5Se2 and Its Binary Counterparts
Abstract
:1. Introduction
2. Experimental Details
2.1. Sample Fabrication
2.2. Optical Characterization
3. Results and Discussion
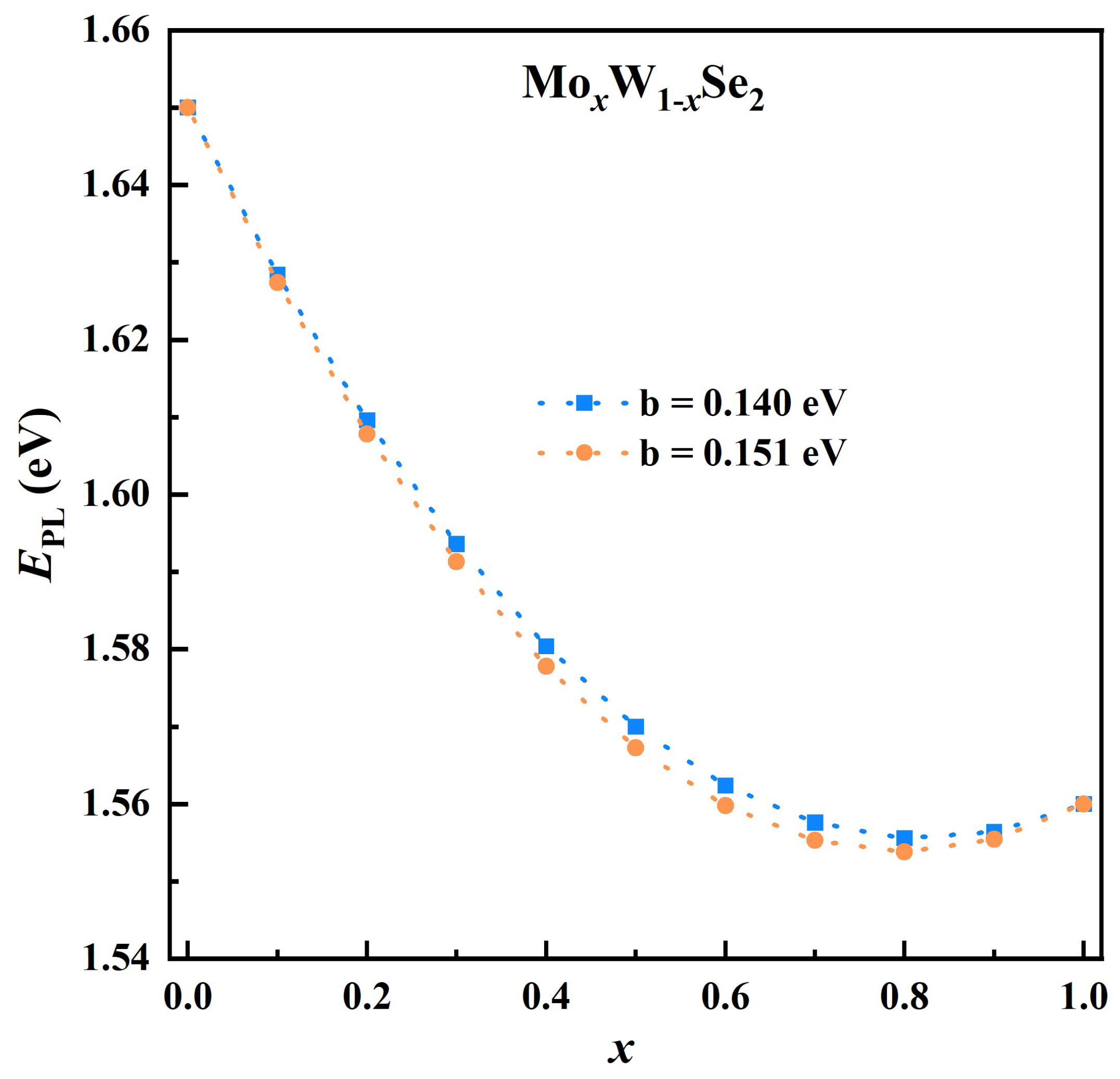
3.1. Excitonic Features in Binary–Ternary Heterobilayers
3.2. Interlayer Exciton-Induced Effects
4. Conclusions
5. Visualization
Supplementary Materials
Author Contributions
Funding
Data Availability Statement
Conflicts of Interest
References
- Esaki, L. Long journey into tunneling. Rev. Mod. Phys. 1974, 46, 237–244. [Google Scholar] [CrossRef]
- Kroemer, H. Nobel Lecture: Quasielectric fields and band offsets: Teaching electrons new tricks. Rev. Mod. Phys. 2001, 73, 783–793. [Google Scholar] [CrossRef]
- Alferov, Z.I. Nobel Lecture: The double heterostructure concept and its applications in physics, electronics, and technology. Rev. Mod. Phys. 2001, 73, 767–782. [Google Scholar] [CrossRef]
- Nakamura, S. Nobel Lecture: Background story of the invention of efficient blue InGaN light emitting diodes. Rev. Mod. Phys. 2015, 87, 1139. [Google Scholar] [CrossRef]
- Akasaki, I. Fascinating journeys into blue light (Nobel Lecture). Ann. Der Phys. 2015, 527, 311–326. [Google Scholar] [CrossRef]
- Amano, H. Growth of GaN on sapphire via low-temperature deposited buffer layer and realization of p-type GaN by Mg doping followed by low-energy electron beam irradiation (Nobel Lecture). Ann. Der Phys. 2015, 527, 327–333. [Google Scholar] [CrossRef]
- Dingle, R.; Wiegmann, W.; Henry, C.H. Quantum States of Confined Carriers in Very Thin AlxGa1-xAs-GaAs-AlxGa1-xAs Heterostructures. Phys. Rev. Lett. 1974, 33, 827–830. [Google Scholar] [CrossRef]
- Mimura, T.; Hiyamizu, S.; Fujii, T.; Nanbu, K. A new field-effect transistor with selectively doped GaAs/n-AlxGa1–xAs heterojunctions. Jpn. J. Appl. Phys. 1980, 19, L225–L227. [Google Scholar] [CrossRef]
- Delagebeaudeuf, D.; Linh, N.T. Metal– (n) AIGaAs–GaAs Two-Dimensional Electron Gas FET. IEEE Trans. Electron Devices 1982, 29, 955–960. [Google Scholar] [CrossRef]
- Mak, K.F.; Lee, C.; Hone, J.; Shan, J.; Heinz, T.F. Atomically thin MoS2: A new direct-gap semiconductor. Phys. Rev. Lett. 2010, 105, 136805. [Google Scholar] [CrossRef]
- Splendiani, A.; Sun, L.; Zhang, Y.; Li, T.; Kim, J.; Chim, C.Y.; Galli, G.; Wang, F. Emerging Photoluminescence in Monolayer MoS2. Nano Lett. 2010, 10, 1271–1275. [Google Scholar] [CrossRef] [PubMed]
- Chernikov, A.; Berkelbach, T.C.; Hill, H.M.; Rigosi, A.; Li, Y.; Aslan, O.B.; Reichman, D.R.; Hybertsen, M.S.; Heinz, T.F. Exciton binding energy and nonhydrogenic Rydberg series in monolayer WS2. Phys. Rev. Lett. 2014, 113, 076802. [Google Scholar] [CrossRef] [PubMed]
- Wang, G.; Chernikov, A.; Glazov, M.M.; Heinz, T.F.; Marie, X.; Amand, T.; Urbaszek, B. Colloquium: Excitons in atomically thin transition metal dichalcogenides. Rev. Mod. Phys. 2018, 90, 021001. [Google Scholar] [CrossRef]
- Rong, K.; Duan, X.; Wang, B.; Reichenberg, D.; Cohen, A.; Liu, C.-L.; Mohapatra, P.K.; Patsha, A.; Gorovoy, V.; Mukherjee, S.; et al. Spin-valley Rashba monolayer laser. Nat. Mater. 2023, 22, 1085–1093. [Google Scholar] [CrossRef] [PubMed]
- Radisavljevic, B.; Radenovic, A.; Brivio, J.; Giacometti, V.; Kis, A. Single-layer MoS2 transistors. Nat. Nanotechnol. 2011, 6, 147–150. [Google Scholar] [CrossRef]
- Turunen, M.; Brotons-Gisbert, M.; Dai, Y.; Wang, Y.; Scerri, E.; Bonato, C.; Jöns, K.D.; Sun, Z.; Gerardot, B.D. Quantum photonics with layered 2D materials. Nat. Rev. Phys. 2022, 4, 219–236. [Google Scholar] [CrossRef]
- Akkanen, S.T.M.; Fernandez, H.A.; Sun, Z.; Akkanen, S.T.M.; Fernandez, H.A.; Sun, Z. Optical Modification of 2D Materials: Methods and Applications. Adv. Mater. 2022, 34, 2110152. [Google Scholar] [CrossRef]
- Liu, Z.; Liu, J.; Yin, P.; Ge, Y.; Al-Hartomy, O.A.; Al-Ghamdi, A.; Wageh, S.; Tang, Y.; Zhang, H.; Liu, Z.; et al. 2D Xenes: Optical and Optoelectronic Properties and Applications in Photonic Devices. Adv. Funct. Mater. 2022, 32, 2206507. [Google Scholar] [CrossRef]
- Huang, X.; Liu, C.; Zhou, P. 2D semiconductors for specific electronic applications: From device to system. NPJ 2D Mater. Appl. 2022, 6, 51. [Google Scholar] [CrossRef]
- Perea-Causin, R.; Erkensten, D.; Fitzgerald, J.M.; Thompson, J.J.; Rosati, R.; Brem, S.; Malic, E. Exciton optics, dynamics, and transport in atomically thin semiconductors. APL Mater. 2022, 10, 100701. [Google Scholar] [CrossRef]
- Geim, A.K.; Grigorieva, I.V. Van der Waals heterostructures. Nature 2013, 499, 419–425. [Google Scholar] [CrossRef] [PubMed]
- Withers, F.; Pozo-Zamudio, O.D.; Mishchenko, A.; Rooney, A.P.; Gholinia, A.; Watanabe, K.; Taniguchi, T.; Haigh, S.J.; Geim, A.K.; Tartakovskii, A.I.; et al. Light-emitting diodes by band-structure engineering in van der Waals heterostructures. Nat. Mater. 2015, 14, 301–306. [Google Scholar] [CrossRef] [PubMed]
- Ajayan, P.; Kim, P.; Banerjee, K. Two-dimensional van der Waals materials. Phys. Today 2016, 69, 38–44. [Google Scholar] [CrossRef]
- Novoselov, K.S.; Mishchenko, A.; Carvalho, A.; Castro Neto, A.H. 2D materials and van der Waals heterostructures. Science 2016, 353, aac9439. [Google Scholar] [CrossRef]
- Wurstbauer, U.; Miller, B.; Parzinger, E.; Holleitner, A.W. Light-matter interaction in transition metal dichalcogenides and their heterostructures. J. Phys. D Appl. Phys. 2017, 50, 173001. [Google Scholar] [CrossRef]
- Mueller, T.; Malic, E. Exciton physics and device application of two-dimensional transition metal dichalcogenide semiconductors. NPJ 2D Mater. Appl. 2018, 2, 29. [Google Scholar] [CrossRef]
- Tagarelli, F.; Lopriore, E.; Erkensten, D.; Perea-Causín, R.; Brem, S.; Hagel, J.; Sun, Z.; Pasquale, G.; Watanabe, K.; Taniguchi, T.; et al. Electrical control of hybrid exciton transport in a van der Waals heterostructure. Nat. Photonics 2023, 17, 615–621. [Google Scholar] [CrossRef]
- Aly, M.A.; Shah, M.; Schneider, L.M.; Kang, K.; Koch, M.; Yang, E.H.; Rahimi-Iman, A. Radiative pattern of intralayer and interlayer excitons in two-dimensional WS2/WSe2 heterostructure. Sci. Rep. 2022, 12, 6939. [Google Scholar] [CrossRef]
- Usman, A.; Adel Aly, M.; Masenda, H.; Thompson, J.J.P.; Gunasekera, S.M.; Mucha-Kruczyński, M.; Brem, S.; Malic, E.; Koch, M. Enhanced excitonic features in an anisotropic ReS2/WSe2 heterostructure. Nanoscale 2022, 14, 10851–10861. [Google Scholar] [CrossRef]
- Göbel, E.O.; Ploog, K. Fabrication and optical properties of semiconductor quantum wells and superlattices. Prog. Quantum Electron. 1990, 14, 289–356. [Google Scholar] [CrossRef]
- Iber, H.; Peiner, E.; Schlachetzki, A. The effect of dislocations on the optical absorption of heteroepitaxial InP and GaAs on Si. J. Appl. Phys. 1996, 79, 9273–9277. [Google Scholar] [CrossRef]
- Sun, X.; Zhu, C.; Zhu, X.; Yi, J.; Liu, Y.; Li, D.; Pan, A. Recent Advances in Two-Dimensional Heterostructures: From Band Alignment Engineering to Advanced Optoelectronic Applications. Adv. Electron. Mater. 2021, 7, 2001174. [Google Scholar] [CrossRef]
- Rivera, P.; Schaibley, J.R.; Jones, A.M.; Ross, J.S.; Wu, S.; Aivazian, G.; Klement, P.; Seyler, K.; Clark, G.; Ghimire, N.J.; et al. Observation of long-lived interlayer excitons in monolayer MoSe 2-WSe 2 heterostructures. Nat. Commun. 2015, 6, 6242. [Google Scholar] [CrossRef]
- Miller, B.; Steinhoff, A.; Pano, B.; Klein, J.; Jahnke, F.; Holleitner, A.; Wurstbauer, U. Long-Lived Direct and Indirect Interlayer Excitons in van der Waals Heterostructures. Nano Lett. 2017, 17, 5229–5237. [Google Scholar] [CrossRef] [PubMed]
- Unuchek, D.; Ciarrocchi, A.; Avsar, A.; Watanabe, K.; Taniguchi, T.; Kis, A. Room-temperature electrical control of exciton flux in a van der Waals heterostructure. Nature 2018, 560, 340–344. [Google Scholar] [CrossRef] [PubMed]
- Jiang, Y.; Chen, S.; Zheng, W.; Zheng, B.; Pan, A. Interlayer exciton formation, relaxation, and transport in TMD van der Waals heterostructures. Light Sci. Appl. 2021, 10, 72. [Google Scholar] [CrossRef] [PubMed]
- Sivalertporn, K.; Mouchliadis, L.; Ivanov, A.L.; Philp, R.; Muljarov, E.A. Direct and indirect excitons in semiconductor coupled quantum wells in an applied electric field. Phys. Rev. B 2012, 85, 045207. [Google Scholar] [CrossRef]
- Lefebvre, P.; Kalliakos, S.; Bretagnon, T.; Valvin, P.; Taliercio, T.; Gil, B.; Grandjean, N.; Massies, J. Observation and modeling of the time-dependent descreening of internal electric field in a wurtzite GaN/Al0.15Ga0.85N quantum well after high photoexcitation. Phys. Rev. B 2004, 69, 035307. [Google Scholar] [CrossRef]
- Fedichkin, F.; Guillet, T.; Valvin, P.; Jouault, B.; Brimont, C.; Bretagnon, T.; Lahourcade, L.; Grandjean, N.; Lefebvre, P.; Vladimirova, M. Room-Temperature Transport of Indirect Excitons in (Al,Ga)N/GaN Quantum Wells. Phys. Rev. Appl. 2016, 6, 014011. [Google Scholar] [CrossRef]
- Shanks, D.N.; Mahdikhanysarvejahany, F.; Stanfill, T.G.; Koehler, M.R.; Mandrus, D.G.; Taniguchi, T.; Watanabe, K.; LeRoy, B.J.; Schaibley, J.R. Interlayer Exciton Diode and Transistor. Nano Lett. 2022, 22, 6599–6605. [Google Scholar] [CrossRef]
- Wang, Z.; Rhodes, D.A.; Watanabe, K.; Taniguchi, T.; Hone, J.C.; Shan, J.; Mak, K.F. Evidence of high-temperature exciton condensation in two-dimensional atomic double layers. Nature 2019, 574, 76–80. [Google Scholar] [CrossRef]
- Regan, E.C.; Wang, D.; Paik, E.Y.; Zeng, Y.; Zhang, L.; Zhu, J.; MacDonald, A.H.; Deng, H.; Wang, F. Emerging exciton physics in transition metal dichalcogenide heterobilayers. Nat. Rev. Mater. 2022, 7, 778–795. [Google Scholar] [CrossRef]
- Cheon, G.; Duerloo, K.A.N.; Sendek, A.D.; Porter, C.; Chen, Y.; Reed, E.J. Data Mining for New Two- and One-Dimensional Weakly Bonded Solids and Lattice-Commensurate Heterostructures. Nano Lett. 2017, 17, 1915–1923. [Google Scholar] [CrossRef] [PubMed]
- Mounet, N.; Gibertini, M.; Schwaller, P.; Campi, D.; Merkys, A.; Marrazzo, A.; Sohier, T.; Castelli, I.E.; Cepellotti, A.; Pizzi, G.; et al. Two-dimensional materials from high-throughput computational exfoliation of experimentally known compounds. Nat. Nanotechnol. 2018, 13, 246–252. [Google Scholar] [CrossRef] [PubMed]
- Zhou, J.; Shen, L.; Costa, M.D.; Persson, K.A.; Ong, S.P.; Huck, P.; Lu, Y.; Ma, X.; Chen, Y.; Tang, H.; et al. 2DMatPedia, an open computational database of two-dimensional materials from top-down and bottom-up approaches. Sci. Data 2019, 6, 86. [Google Scholar] [CrossRef] [PubMed]
- Tongay, S.; Narang, D.S.; Kang, J.; Fan, W.; Ko, C.; Luce, A.V.; Wang, K.X.; Suh, J.; Patel, K.D.; Pathak, V.M.; et al. Two-dimensional semiconductor alloys: Monolayer Mo1-xW xSe2. Appl. Phys. Lett. 2014, 104, 12101. [Google Scholar] [CrossRef]
- Zhang, M.; Wu, J.; Zhu, Y.; Dumcenco, D.O.; Hong, J.; Mao, N.; Deng, S.; Chen, Y.; Yang, Y.; Jin, C.; et al. Two-dimensional molybdenum tungsten diselenide alloys: Photoluminescence, Raman scattering, and electrical transport. ACS Nano 2014, 8, 7130–7137. [Google Scholar] [CrossRef]
- Wang, G.; Robert, C.; Suslu, A.; Chen, B.; Yang, S.; Alamdari, S.; Gerber, I.C.; Amand, T.; Marie, X.; Tongay, S.; et al. Spin-orbit engineering in transition metal dichalcogenide alloy monolayers. Nat. Commun. 2015, 6, 10110. [Google Scholar] [CrossRef]
- Zhou, S.; Ning, J.; Sun, J.; Srolovitz, D.J. Composition-induced type i and direct bandgap transition metal dichalcogenides alloy vertical heterojunctions. Nanoscale 2020, 12, 201–209. [Google Scholar] [CrossRef]
- Masenda, H.; Schneider, L.M.; Aly, M.A.; Machchhar, S.J.; Usman, A.; Meerholz, K.; Gebhard, F.; Baranovskii, S.D.; Koch, M. Energy Scaling of Compositional Disorder in Ternary Transition-Metal Dichalcogenide Monolayers. Adv. Electron. Mater. 2021, 7, 2100196. [Google Scholar] [CrossRef]
- Dong, J.; Zhao, Y.; Ouyang, G. The effect of alloying on the band engineering of two-dimensional transition metal dichalcogenides. Phys. E Low-Dimens. Syst. Nanostruct. 2019, 105, 90–96. [Google Scholar] [CrossRef]
- Fang, H.; Battaglia, C.; Carraro, C.; Nemsak, S.; Ozdol, B.; Kang, J.S.; Bechtel, H.A.; Desai, S.B.; Kronast, F.; Unal, A.A.; et al. Strong interlayer coupling in van der Waals heterostructures built from single-layer chalcogenides. Proc. Natl. Acad. Sci. USA 2014, 111, 6198–6202. [Google Scholar] [CrossRef]
- Ceballos, F.; Bellus, M.Z.; Chiu, H.Y.; Zhao, H. Probing charge transfer excitons in a MoSe2-WS2 van der Waals heterostructure. Nanoscale 2015, 7, 17523–17528. [Google Scholar] [CrossRef]
- Yu, Y.; Hu, S.; Su, L.; Huang, L.; Liu, Y.; Jin, Z.; Purezky, A.A.; Geohegan, D.B.; Kim, K.W.; Zhang, Y.; et al. Equally efficient interlayer exciton relaxation and improved absorption in epitaxial and nonepitaxial MoS2/WS2 Heterostructures. Nano Lett. 2015, 15, 486–491. [Google Scholar] [CrossRef] [PubMed]
- Kozawa, D.; Carvalho, A.; Verzhbitskiy, I.; Giustiniano, F.; Miyauchi, Y.; Mouri, S.; Neto, A.H.C.; Matsuda, K.; Eda, G. Evidence for Fast Interlayer Energy Transfer in MoSe2/WS2 Heterostructures. Nano Lett. 2016, 16, 4087–4093. [Google Scholar] [CrossRef] [PubMed]
- Schaibley, J.R.; Rivera, P.; Yu, H.; Seyler, K.L.; Yan, J.; Mandrus, D.G.; Taniguchi, T.; Watanabe, K.; Yao, W.; Xu, X. Directional interlayer spin-valley transfer in two-dimensional heterostructures. Nat. Commun. 2016, 7, 13747. [Google Scholar] [CrossRef]
- Nagler, P.; Plechinger, G.; Ballottin, M.V.; Mitioglu, A.; Meier, S.; Paradiso, N.; Strunk, C.; Chernikov, A.; Christianen, P.C.M.; Schüller, C.; et al. Interlayer exciton dynamics in a dichalcogenide monolayer heterostructure. 2D Mater. 2017, 4, 025112. [Google Scholar] [CrossRef]
- Ross, J.S.; Rivera, P.; Schaibley, J.; Lee-Wong, E.; Yu, H.; Taniguchi, T.; Watanabe, K.; Yan, J.; Mandrus, D.; Cobden, D.; et al. Interlayer Exciton Optoelectronics in a 2D Heterostructure p-n Junction. Nano Lett. 2017, 17, 638–643. [Google Scholar] [CrossRef]
- Nayak, P.K.; Horbatenko, Y.; Ahn, S.; Kim, G.; Lee, J.U.; Ma, K.Y.; Jang, A.R.; Lim, H.; Kim, D.; Ryu, S.; et al. Probing Evolution of Twist-Angle-Dependent Interlayer Excitons in MoSe2/WSe2 van der Waals Heterostructures. ACS Nano 2017, 11, 4041–4050. [Google Scholar] [CrossRef]
- Wilson, N.R.; Nguyen, P.V.; Seyler, K.; Rivera, P.; Marsden, A.J.; Laker, Z.P.; Constantinescu, G.C.; Kandyba, V.; Barinov, A.; Hine, N.D.; et al. Determination of band offsets, hybridization, and exciton binding in 2D semiconductor heterostructures. Sci. Adv. 2017, 3, e1601832. [Google Scholar] [CrossRef]
- Kunstmann, J.; Mooshammer, F.; Nagler, P.; Chaves, A.; Stein, F.; Paradiso, N.; Plechinger, G.; Strunk, C.; Schüller, C.; Seifert, G.; et al. Momentum-space indirect interlayer excitons in transition-metal dichalcogenide van der Waals heterostructures. Nat. Phys. 2018, 14, 801–805. [Google Scholar] [CrossRef]
- Gillen, R.; Maultzsch, J. Interlayer excitons in MoSe2/WSe2 heterostructures from first principles. Phys. Rev. B 2018, 97, 165306. [Google Scholar] [CrossRef]
- Karni, O.; Barré, E.; Lau, S.C.; Gillen, R.; Ma, E.Y.; Kim, B.; Watanabe, K.; Taniguchi, T.; Maultzsch, J.; Barmak, K.; et al. Infrared Interlayer Exciton Emission in MoS2/WSe2 Heterostructures. Phys. Rev. Lett. 2019, 123, 247402. [Google Scholar] [CrossRef] [PubMed]
- Tran, K.; Moody, G.; Wu, F.; Lu, X.; Choi, J.; Kim, K.; Rai, A.; Sanchez, D.A.; Quan, J.; Singh, A.; et al. Evidence for moiré excitons in van der Waals heterostructures. Nature 2019, 567, 71–75. [Google Scholar] [CrossRef] [PubMed]
- Calman, E.V.; Fowler-Gerace, L.H.; Choksy, D.J.; Butov, L.V.; Nikonov, D.E.; Young, I.A.; Hu, S.; Mishchenko, A.; Geim, A.K. Indirect Excitons and Trions in MoSe2/WSe2 van der Waals Heterostructures. Nano Lett. 2020, 20, 1869–1875. [Google Scholar] [CrossRef]
- Sigl, L.; Sigger, F.; Kronowetter, F.; Kiemle, J.; Klein, J.; Watanabe, K.; Taniguchi, T.; Finley, J.J.; Wurstbauer, U.; Holleitner, A.W. Signatures of a degenerate many-body state of interlayer excitons in a van der Waals heterostack. Phys. Rev. Res. 2020, 2, 042044. [Google Scholar] [CrossRef]
- Sigl, L.; Troue, M.; Katzer, M.; Selig, M.; Sigger, F.; Kiemle, J.; Brotons-Gisbert, M.; Watanabe, K.; Taniguchi, T.; Gerardot, B.D.; et al. Optical dipole orientation of interlayer excitons in MoSe2-WSe2 heterostacks. Phys. Rev. B 2021, 105, 35417. [Google Scholar] [CrossRef]
- Gillen, R. Interlayer Excitonic Spectra of Vertically Stacked MoSe2/WSe2 Heterobilayers. Phys. Status Solidi (B) Basic Res. 2021, 258, 2000614. [Google Scholar] [CrossRef]
- Castellanos-Gomez, A.; Buscema, M.; Molenaar, R.; Singh, V.; Janssen, L.; van der Zant, H.S.J.; Steele, G.A. Deterministic transfer of two-dimensional materials by all-dry viscoelastic stamping. 2D Mater. 2014, 1, 011002. [Google Scholar] [CrossRef]
- Iannaccone, G.; Bonaccorso, F.; Colombo, L.; Fiori, G. Quantum engineering of transistors based on 2D materials heterostructures. Nat. Nanotechnol. 2018, 13, 183–191. [Google Scholar] [CrossRef]
- Liu, X.; Hersam, M.C. 2D materials for quantum information science. Nat. Rev. Mater. 2019, 4, 669–684. [Google Scholar] [CrossRef]
- Lemme, M.C.; Akinwande, D.; Huyghebaert, C.; Stampfer, C. 2D materials for future heterogeneous electronics. Nat. Commun. 2022, 13, 1392. [Google Scholar] [CrossRef]
- Liu, Y.; Elbanna, A.; Gao, W.; Pan, J.; Shen, Z.; Teng, J. Interlayer Excitons in Transition Metal Dichalcogenide Semiconductors for 2D Optoelectronics. Adv. Mater. 2022, 34, 2107138. [Google Scholar] [CrossRef]
- Liu, Y.; Fang, H.; Rasmita, A.; Zhou, Y.; Li, J.; Yu, T.; Xiong, Q.; Zheludev, N.; Liu, J.; Gao, W. Room temperature nanocavity laser with interlayer excitons in 2D heterostructures. Sci. Adv. 2019, 5, eaav4506. [Google Scholar] [CrossRef] [PubMed]
- Paik, E.Y.; Zhang, L.; Burg, G.W.; Gogna, R.; Tutuc, E.; Deng, H. Interlayer exciton laser of extended spatial coherence in atomically thin heterostructures. Nature 2019, 576, 80–84. [Google Scholar] [CrossRef] [PubMed]
- Cheng, R.; Li, D.; Zhou, H.; Wang, C.; Yin, A.; Jiang, S.; Liu, Y.; Chen, Y.; Huang, Y.; Duan, X. Electroluminescence and photocurrent generation from atomically sharp WSe2/MoS2 heterojunction p-n diodes. Nano Lett. 2014, 14, 5590–5597. [Google Scholar] [CrossRef] [PubMed]
- Zhou, X.; Hu, X.; Yu, J.; Liu, S.; Shu, Z.; Zhang, Q.; Li, H.; Ma, Y.; Xu, H.; Zhai, T. 2D Layered Material-Based van der Waals Heterostructures for Optoelectronics. Adv. Funct. Mater. 2018, 28, 1706587. [Google Scholar] [CrossRef]
- Long, M.; Wang, P.; Fang, H.; Hu, W. Progress, Challenges, and Opportunities for 2D Material Based Photodetectors. Adv. Funct. Mater. 2019, 29, 1803807. [Google Scholar] [CrossRef]
- Liang, S.J.; Cheng, B.; Cui, X.; Miao, F. Van der Waals Heterostructures for High-Performance Device Applications: Challenges and Opportunities. Adv. Mater. 2020, 32, 1903800. [Google Scholar] [CrossRef] [PubMed]
- Qi, T.; Gong, Y.; Li, A.; Ma, X.; Wang, P.; Huang, R.; Liu, C.; Sakidja, R.; Wu, J.Z.; Chen, R.; et al. Interlayer Transition in a vdW Heterostructure toward Ultrahigh Detectivity Shortwave Infrared Photodetectors. Adv. Funct. Mater. 2020, 30, 1905687. [Google Scholar] [CrossRef]
- Chen, Y.; Tan, C.; Wang, Z.; Miao, J.; Ge, X.; Zhao, T.; Liao, K.; Ge, H.; Wang, Y.; Wang, F.; et al. Momentum-matching and band-alignment van der Waals heterostructures for high-efficiency infrared photodetection. Sci. Adv. 2022, 8, eabq1781. [Google Scholar] [CrossRef]
- Ahmad, W.; Pan, L.; Khan, K.; Jia, L.; Zhuang, Q.; Wang, Z. Progress and Insight of Van der Waals Heterostructures Containing Interlayer Transition for Near Infrared Photodetectors. Adv. Funct. Mater. 2023, 33, 2300686. [Google Scholar] [CrossRef]
- Lee, C.H.; Lee, G.H.; Zande, A.M.V.D.; Chen, W.; Li, Y.; Han, M.; Cui, X.; Arefe, G.; Nuckolls, C.; Heinz, T.F.; et al. Atomically thin p–n junctions with van der Waals heterointerfaces. Nat. Nanotechnol. 2014, 9, 676–681. [Google Scholar] [CrossRef]
- Huo, N.; Yang, J.; Huang, L.; Wei, Z.; Li, S.S.; Wei, S.H.; Li, J. Tunable Polarity Behavior and Self-Driven Photoswitching in p-WSe2/n-WS2 Heterojunctions. Small 2015, 11, 5430–5438. [Google Scholar] [CrossRef]
- Pezeshki, A.; Shokouh, S.H.H.; Nazari, T.; Oh, K.; Im, S.; Pezeshki, A.; Shokouh, S.H.H.; Nazari, T.; Oh, K.; Im, S. Electric and Photovoltaic Behavior of a Few-Layer α-MoTe2/MoS2 Dichalcogenide Heterojunction. Adv. Mater. 2016, 28, 3216–3222. [Google Scholar] [CrossRef] [PubMed]
- Cho, A.J.; Namgung, S.D.; Kim, H.; Kwon, J.Y. Electric and photovoltaic characteristics of a multi-layer ReS2/ReSe2 heterostructure. APL Mater. 2017, 5, 076101. [Google Scholar] [CrossRef]
- Tsai, M.L.; Li, M.Y.; Ramón, J.; Retamal, D.; Lam, K.T.; Lin, Y.C.; Suenaga, K.; Chen, L.J.; Liang, G.; Li, L.J.; et al. Single Atomically Sharp Lateral Monolayer p-n Heterojunction Solar Cells with Extraordinarily High Power Conversion Efficiency. Adv. Mater. 2017, 29, 1701168. [Google Scholar] [CrossRef] [PubMed]
- Jauregui, L.A.; Joe, A.Y.; Pistunova, K.; Wild, D.S.; High, A.A.; Zhou, Y.; Scuri, G.; de Greve, K.; Sushko, A.; Yu, C.H.; et al. Electrical control of interlayer exciton dynamics in atomically thin heterostructures. Science 2019, 366, 870–875. [Google Scholar] [CrossRef]
- Yuan, L.; Zheng, B.; Kunstmann, J.; Brumme, T.; Kuc, A.B.; Ma, C.; Deng, S.; Blach, D.; Pan, A.; Huang, L. Twist-angle-dependent interlayer exciton diffusion in WS2–WSe2 heterobilayers. Nat. Mater. 2020, 19, 617–623. [Google Scholar] [CrossRef] [PubMed]
- Lundt, N.; Maryński, A.; Cherotchenko, E.; Pant, A.; Fan, X.; Tongay, S.; Sęk, G.; Kavokin, A.V.; Höfling, S.; Schneider, C. Monolayered MoSe2: A candidate for room temperature polaritonics. 2D Mater. 2016, 4, 015006. [Google Scholar] [CrossRef]
- Christiansen, D.; Selig, M.; Berghäuser, G.; Schmidt, R.; Niehues, I.; Schneider, R.; Arora, A.; de Vasconcellos, S.M.; Bratschitsch, R.; Malic, E.; et al. Phonon Sidebands in Monolayer Transition Metal Dichalcogenides. Phys. Rev. Lett. 2017, 119, 187402. [Google Scholar] [CrossRef] [PubMed]
- Duan, J.; Chava, P.; Ghorbani-Asl, M.; Erb, D.; Hu, L.; Krasheninnikov, A.V.; Schneider, H.; Rebohle, L.; Erbe, A.; Helm, M.; et al. Enhanced Trion Emission in Monolayer MoSe2 by Constructing a Type-I Van Der Waals Heterostructure. Adv. Funct. Mater. 2021, 31, 2104960. [Google Scholar] [CrossRef]
- Liu, Y.; Tom, K.; Zhang, X.; Lou, S.; Liu, Y.; Yao, J. Alloying effect on bright-dark exciton states in ternary monolayer Mo x W1-xSe2. New J. Phys. 2017, 19, 073018. [Google Scholar] [CrossRef]
- Ye, J.; Niu, B.; Li, Y.; Li, T.; Zhang, X. Exciton valley dynamics in monolayer Mo1-xWxSe2 (x = 0, 0.5, 1). Appl. Phys. Lett. 2017, 111, 152106. [Google Scholar] [CrossRef]
- Chen, S.Y.; Goldstein, T.; Taniguchi, T.; Watanabe, K.; Yan, J. Coulomb-bound four- and five-particle intervalley states in an atomically-thin semiconductor. Nat. Commun. 2018, 9, 3717. [Google Scholar] [CrossRef]
- Barbone, M.; Montblanch, A.R.; Kara, D.M.; Palacios-Berraquero, C.; Cadore, A.R.; Fazio, D.D.; Pingault, B.; Mostaani, E.; Li, H.; Chen, B.; et al. Charge-tuneable biexciton complexes in monolayer WSe2. Nat. Commun. 2018, 9, 3721. [Google Scholar] [CrossRef]
- Steinhoff, A.; Florian, M.; Singh, A.; Tran, K.; Kolarczik, M.; Helmrich, S.; Achtstein, A.W.; Woggon, U.; Owschimikow, N.; Jahnke, F.; et al. Biexciton fine structure in monolayer transition metal dichalcogenides. Nat. Phys. 2018, 14, 1199–1204. [Google Scholar] [CrossRef]
- Brem, S.; Ekman, A.; Christiansen, D.; Katsch, F.; Selig, M.; Robert, C.; Marie, X.; Urbaszek, B.; Knorr, A.; Malic, E. Phonon-Assisted Photoluminescence from Indirect Excitons in Monolayers of Transition-Metal Dichalcogenides. Nano Lett. 2020, 20, 2849–2856. [Google Scholar] [CrossRef]
- Schneider, L.M.; Esdaille, S.S.; Rhodes, D.A.; Barmak, K.; Hone, J.C.; Rahimi-Iman, A. Direct Measurement of the Radiative Pattern of Bright and Dark Excitons and Exciton Complexes in Encapsulated Tungsten Diselenide. Sci. Rep. 2020, 10, 8091. [Google Scholar] [CrossRef]
- Koo, Y.; Lee, H.; Ivanova, T.; Kefayati, A.; Perebeinos, V.; Khestanova, E.; Kravtsov, V.; Park, K.D. Tunable interlayer excitons and switchable interlayer trions via dynamic near-field cavity. Light. Sci. Appl. 2023, 12, 59. [Google Scholar] [CrossRef]
- The Materials Project. Materials Data on WSe2 by Materials Project. Available online: https://doi.org/10.17188/1192989 (accessed on 2 August 2023).
- The Materials Project. Materials Data on MoSe2 by Materials Project. Available online: https://doi.org/10.17188/1191826 (accessed on 2 August 2023).
- The Materials Project. Materials Data on BN by Materials Project. Available online: https://doi.org/10.17188/1281942 (accessed on 2 August 2023).
- Momma, K.; Izumi, F. VESTA3 for three-dimensional visualization of crystal, volumetric and morphology data. J. Appl. Crystallogr. 2011, 44, 1272–1276. [Google Scholar] [CrossRef]
- Hanbicki, A.T.; Chuang, H.J.J.; Rosenberger, M.R.; Hellberg, C.S.; Sivaram, S.V.; McCreary, K.M.; Mazin, I.I.; Jonker, B.T.; Hanbicki, A.T.; Chuang, H.J.J.; et al. Double Indirect Interlayer Exciton in a MoSe2/WSe2 van der Waals Heterostructure. ACS Nano 2018, 12, 4719–4726. [Google Scholar] [CrossRef]
- Zhu, M.; Zhang, Z.; Zhang, T.; Liu, D.; Zhang, H.; Zhang, Z.; Li, Z.; Cheng, Y.; Huang, W. Exchange between Interlayer and Intralayer Exciton in WSe2/WS2 Heterostructure by Interlayer Coupling Engineering. Nano Lett. 2022, 18, 49. [Google Scholar] [CrossRef]





| Monolayer | T [K] | [eV] | [eV] |
|---|---|---|---|
| MoSe | 300 | 1.572 | 1.518 |
| 12 | 1.640 | 1.611 | |
| MoWSe on | 300 | 1.568 | 1.545 |
| 12 | 1.648 | 1.619 | |
| MoWSe on | 300 | 1.572 | 1.538 |
| 12 | 1.632 | 1.605 | |
| WSe | 300 | 1.663 | 1.613 |
| 12 | 1.736 | 1.689 |
| MoSe/MoWSe | WSe/MoWSe | ||||
|---|---|---|---|---|---|
| T [K] | 10 K | RT | T [K] | 10 K | RT |
| Peak | [eV] | Peak | [eV] | ||
| 1.614 | 1.577 | 1.721 | 1.649 | ||
| 1.597 | 1.555 | 1.700 | 1.620 | ||
| 1.604 | 1.536 | 1.637 | 1.570 | ||
| 1.579 | 1.515 | 1.619 | 1.529 | ||
| - | - | - | 1.680 | - | |
| - | - | - | 1.649 | - | |
| - | - | - | 1.598 | - | |
| - | - | - | 1.579 | - | |
| ILX | 1.516 | - | ILX | 1.490 | 1.427 |
Disclaimer/Publisher’s Note: The statements, opinions and data contained in all publications are solely those of the individual author(s) and contributor(s) and not of MDPI and/or the editor(s). MDPI and/or the editor(s) disclaim responsibility for any injury to people or property resulting from any ideas, methods, instructions or products referred to in the content. |
© 2023 by the authors. Licensee MDPI, Basel, Switzerland. This article is an open access article distributed under the terms and conditions of the Creative Commons Attribution (CC BY) license (https://creativecommons.org/licenses/by/4.0/).
Share and Cite
Aly, M.A.; Enakerakpor, E.O.; Koch, M.; Masenda, H. Tuning Interlayer Exciton Emission with TMD Alloys in van der Waals Heterobilayers of Mo0.5W0.5Se2 and Its Binary Counterparts. Nanomaterials 2023, 13, 2769. https://doi.org/10.3390/nano13202769
Aly MA, Enakerakpor EO, Koch M, Masenda H. Tuning Interlayer Exciton Emission with TMD Alloys in van der Waals Heterobilayers of Mo0.5W0.5Se2 and Its Binary Counterparts. Nanomaterials. 2023; 13(20):2769. https://doi.org/10.3390/nano13202769
Chicago/Turabian StyleAly, Mohammed Adel, Emmanuel Oghenevo Enakerakpor, Martin Koch, and Hilary Masenda. 2023. "Tuning Interlayer Exciton Emission with TMD Alloys in van der Waals Heterobilayers of Mo0.5W0.5Se2 and Its Binary Counterparts" Nanomaterials 13, no. 20: 2769. https://doi.org/10.3390/nano13202769
APA StyleAly, M. A., Enakerakpor, E. O., Koch, M., & Masenda, H. (2023). Tuning Interlayer Exciton Emission with TMD Alloys in van der Waals Heterobilayers of Mo0.5W0.5Se2 and Its Binary Counterparts. Nanomaterials, 13(20), 2769. https://doi.org/10.3390/nano13202769

