MWCNTs Composites-Based on New Chemically Modified Polysulfone Matrix for Biomedical Applications
Abstract
:1. Introduction
2. Experimental
2.1. Materials
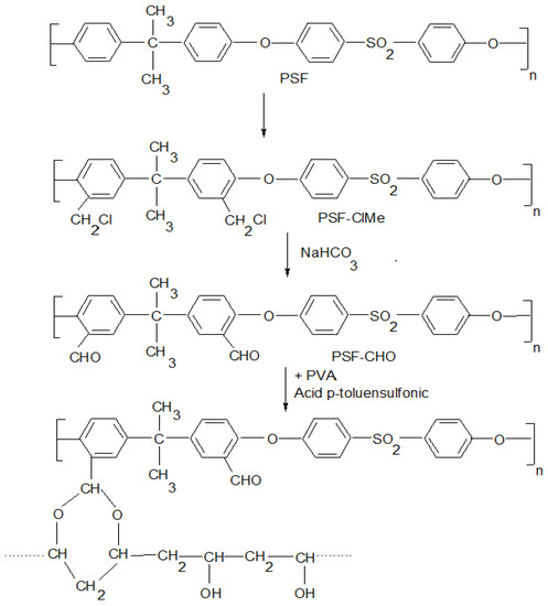
2.2. MWCNTs Modification and Composite Synthesis
2.3. Methods
2.4. Hemolysis Assay
3. Results and Discussion
3.1. ATR–FTIR Characterization of Polymeric Matrices
3.2. ATR–FTIR Characterization of Composites
3.3. Wettability and Surface Free Energy Analysis
3.4. Adsorption Isotherms
3.5. Morphological Analysis
3.6. In Vitro Hemolysis Assay
4. Conclusions
Author Contributions
Funding
Institutional Review Board Statement
Informed Consent Statement
Data Availability Statement
Conflicts of Interest
References
- Tan, X.; Rodrigue, D. A Review on Porous Polymeric Membrane Preparation. Part I: Production Techniques with Polysulfone and Poly(Vinylidene Fluoride). Polymers 2019, 11, 1160. [Google Scholar] [CrossRef] [Green Version]
- Tweddle, T.A.; Kutowy, O.; Thayer, W.L.; Sourirajan, S. Polysulfone Ultrafiltration Membranes. Ind. Eng. Chem. Prod. Res. Dev. 1983, 22, 320–326. [Google Scholar] [CrossRef]
- MacGregor-Ramiasa, M.N.; Vasilev, K. Questions and Answers on the Wettability of Nano-Engineered Surfaces. Adv. Mater. Interfaces 2017, 4, 1700381. [Google Scholar] [CrossRef]
- Makvandi, P.; Iftekhar, S.; Pizzetti, F.; Zarepour, A.; Zare, E.N.; Ashrafizadeh, M.; Agarwal, T.; Padil, V.V.; Mohammadinejad, R.; Sillanpaa, M.; et al. Functionalization of polymers and nanomaterials for water treatment, food packaging, textile and biomedical applications: A review. Environ. Chem. Lett. 2021, 19, 583–611. [Google Scholar] [CrossRef]
- Huang, J.; Zhang, K.; Wang, K.; Xie, Z.; Ladewig, B.P.; Wang, H. Fabrication of polyethersulfone-mesoporous silica nanocomposite ultrafiltration membranes with antifouling properties. J. Membr. Sci. 2012, 423–424, 362–370. [Google Scholar] [CrossRef]
- Wenten, I.G.; Aryanti, P.T.P.; Khoiruddin, K.; Hakim, A.N.; Himma, N.F. Advances in Polysulfone-Based Membranes for Hemodialysis. J. Membr. Sci. Res. 2016, 2, 78–89. [Google Scholar] [CrossRef]
- Stamatialis, D.F.; Papenburg, B.J.; Gironés, M.; Saiful, S.; Bettahalli, S.N.; Schmitmeier, S.; Wessling, M. Medical applications of membranes: Drug delivery, artificial organs and tissue engineering. J. Membr. Sci. 2008, 308, 1–34. [Google Scholar] [CrossRef] [Green Version]
- Koga, Y.; Fujieda, H.; Meguro, H.; Ueno, Y.; Aoki, T.; Miwa, K.; Kainoh, M. Biocompatibility of Polysulfone Hemodialysis Membranes and Its Mechanisms: Involvement of Fibrinogen and Its Integrin Receptors in Activation of Platelets and Neutrophils. Artif. Organs. 2018, 42, E246–E258. [Google Scholar] [CrossRef]
- Kochkodan, V.; Johnson, D.J.; Hilal, N. Polymeric membranes: Surface modification for minimizing (bio)colloidal fouling. Adv. Colloid Interface Sci. 2014, 206, 116–140. [Google Scholar] [CrossRef]
- Donchaka, V.; Stetsyshyna, Y.; Bratychak, M.; Brozac, G.; Harhaya, K.; Stepinaa, N.; Kostenkoa, M.; Voronova, S. Nanoarchitectonics at surfaces using multifunctional initiators of surface-initiated radical polymerization for fabrication of the nanocomposites. Appl. Surf. Sci. 2021, 5, 100104. [Google Scholar] [CrossRef]
- Melnyk, Y.; Stetsyshyn, Y.; Skorokhoda, V.; Nastishin, Y. Polyvinylpyrrolidone-graft-poly(2-hydroxyethylmethacrylate) hydrogel membranes for encapsulated forms of drugs. J. Polym. Res. 2020, 27, 354. [Google Scholar] [CrossRef]
- Kheirieh, S.; Asghari, M.; Afsari, M. Application and modification of polysulfone membranes. Rev. Chem. Eng. 2018, 34, 657. [Google Scholar] [CrossRef]
- Abdelrasoul, A.; Doan, H.; Lohi, A.; Cheng, C. Morphology Control of Polysulfone Membranes in Filtration Processes: A Critical Review. Chem. Bio. Eng. 2015, 2, 22–43. [Google Scholar] [CrossRef]
- Albu, R.M.; Avram, E.; Musteata, V.E.; Homocianu, M.; Ioan, S. Opto-electrical properties of some quaternizedpolysulfones. High Perform. Polym. 2011, 23, 85–96. [Google Scholar] [CrossRef]
- Ioan, S.; Albu, R.M.; Avram, E.; Stoica, I.; Ioanid, E.G. Surface characterization of quaternizedpolysulfone films and biocompatibility studies. J. Appl. Polym. Sci. 2011, 121, 127–137. [Google Scholar] [CrossRef]
- Albu, R.M.; Avram, E.; Stoica, I.; Ioanid, E.G.; Ioan, S. Miscibility and morphological properties of quaternizedpolysulfone blends with polystyrene and poly(4-vinylpyridine). Polym. Compos. 2011, 32, 1661–1670. [Google Scholar] [CrossRef]
- Filimon, A.; Albu, R.M.; Avram, E.; Ioan, S. Impact of association phenomena on the thermodynamic properties of modified polysulfones in solutions. J. Macromol. Sci. B 2013, 52, 545–560. [Google Scholar] [CrossRef]
- Shiohara, A.; Prieto-Simon, B.; Voelcker, N.H. Porous polymeric membranes: Fabrication techniques and biomedical applications. J. Mater. Chem. B 2021, 9, 2129–2154. [Google Scholar] [CrossRef]
- Zweigart, C.; Boschetti-de-Fierro, A.; Hulko, M.; Nilsson, L.G.; Beck, W.; Storr, M.; Krause, B. Medium Cut-Off Membranes -Closer to the Natural Kidney Removal Function. Int. J. Artif. Organs. 2017, 40, 328–334. [Google Scholar] [CrossRef]
- Filimon, A.; Stoica, I.; Onofrei, M.D.; Bargan, A.; Dunca, S. Quaternized polysulfones-based blends: Surface properties and performance in life quality and environmental applications. Polym. Test. 2018, 71, 285–295. [Google Scholar] [CrossRef]
- Qi, X.; Yanga, N.; Luo, Y.; Jia, X.; Zhao, J.; Xia, F.; Li, C.; Zhao, Y. Resveratrol as a plant type antioxidant modifier for polysulfone membranes to improve hemodialysis-induced oxidative stress. Mater. Sci. Eng. C 2021, 123, 111953. [Google Scholar] [CrossRef]
- Zhong, D.; Wang, Z.; Zhou, J.; Wang, Y. Additive-free preparation of hemodialysis membranes from block copolymers of polysulfone and polyethylene glycol. J. Membr. Sci. 2021, 618, 118690. [Google Scholar] [CrossRef]
- Amri, C.; Mudasir, M.; Siswanta, D.; Roto, R. In Vitro hemocompatibility of PVA-alginate ester as a candidate for hemodialysis membrane. Int. J. Biol. Macromol. 2016, 82, 48–53. [Google Scholar] [CrossRef]
- Azhar, O.; Jahan, Z.; Sher, F.; Niazi, M.B.K.; Kakar, S.J.; Shahid, M. Cellulose acetate-polyvinyl alcohol blend hemodialysis membranes integrated with dialysis performance and high biocompatibility. Mater. Sci. Eng. C 2021, 126, 112127. [Google Scholar] [CrossRef]
- Tolba, E.; Abd-Elhady, B.M.; Elkholy, B.; Elkady, H.; Eltonsi, M. Biomimetic synthesis of guided-tissue regeneration hydroxyapatite/polyvinyl alcohol nanocomposite scaffolds: Influence of alginate on mechanical and biological properties. J. Am. Sci. 2010, 6, 239–249. [Google Scholar]
- Arahman, N.; Rosnelly, C.M.; Yusni, Y.; Fahrina, A.; Silmina, S.; Ambarita, A.C.; Bilad, M.R.; Gunawan, P.; Rajabzadeh, S.; Takagi, R.; et al. Ultrafiltration of α-Lactalbumin Protein: Acquaintance of the Filtration Performance by Membrane Structure and Surface Alteration. Polymers 2021, 13, 3632. [Google Scholar] [CrossRef]
- Ates, M.; Eker, A.A.; Eker, B. Carbon nanotube-based nanocomposites and their applications. J. Adhes. Sci. Technol. 2017, 31, 1977–1997. [Google Scholar] [CrossRef]
- Salehi, E.; Heidary, F.; Daraei, P.; Keyhani, M.; Behjomanesh, M. Carbon nanostructures for advanced nanocomposite mixed matrix membranes: A comprehensive overview. Rev. Chem. Eng. 2019, 36, 723–748. [Google Scholar] [CrossRef]
- Pacheco, M.J.; Vences, L.J.; Moreno, H.; Pacheco, J.O.; Valdivia, R.; Hernández, C. Hernández Review: Mixed-Matrix Membranes with CNT for CO2 Separation Processes. Membranes 2021, 11, 457. [Google Scholar] [CrossRef]
- Mazloum-Ardakani, M.; Tavakolian-Ardakani, Z.; Sahraei, N.; Moshtaghioun, S.M. Fabrication of an ultrasensitive and selective electrochemical aptasensor to detect carcinoembryonic antigen by using a new nanocomposite. Biosens. Bioelectron. 2019, 129, 1–6. [Google Scholar] [CrossRef]
- Hao, L.; Li, S.S.; Wang, J.; Tan, Y.; Bai, L.; Liu, A. MnO2/multi-walled carbon nanotubes based nanocomposite with enhanced electrocatalytic activity for sensitive amperometric glucose biosensing. J. Electroanal. Chem. 2020, 878, 114602. [Google Scholar] [CrossRef]
- Tiwaree, M.; Seal, P.; Borah, J.P.; Paul, N. Functionalization of Carbon Nanotubes and its Nanocomposites for Hyperthermia studies. Mater. Today Proc. 2019, 18, 1317–1323. [Google Scholar] [CrossRef]
- Liu, Y.; Li, Q.-q.; Zhang, H.; Yu, S.-P.; Zhang, L.; Yang, Y.-Z. Research progress on the use of micro/nano carbon materials for antibacterial dressings. New Carbon. Mater. 2020, 35, 323–335. [Google Scholar] [CrossRef]
- Sanchez, A.G.; Prokhorov, E.; Luna-Barcenas, G.; Hernández-Vargas, J.; Román-Doval, R.; Mendoza, S.; Rojas-Chávez, H. Chitosan-hydroxyapatite-MWCNTs nanocomposite patch for bone tissue engineering applications. Mater. Today Commun. 2021, 28, 102615. [Google Scholar] [CrossRef]
- Matin, A.A.; Biparva, P.; Gheshlaghi, M.; Khosrowshahi, E.M.; Farhadi, K. Monolithic mixed matrix membrane based on polyethersulfone/functionalized MWCNTs nanocomposite as an SPME fiber: Application to extract chlorophenols from human urine and serum samples followed by GC-ECD. J. Chromatogr. B Analyt. Technol. Biomed. Life Sci. 2020, 1150, 122190. [Google Scholar] [CrossRef] [PubMed]
- Marand, E. Method for Making Oriented Carbon Nanotube/Polymer Nano-Composite Membranes. US Patent WO2008028155a2, 6 March 2008. [Google Scholar]
- Pilehvar, S.; Rather, J.A.; Dardenne, F.; Robbens, J.; Blust, R.; de Wael, K. Carbon nanotubes based electrochemical aptasensing platform for the detection of hydroxylated polychlorinated biphenyl in human blood serum. Biosens. Bioelectron 2014, 54, 78–84. [Google Scholar] [CrossRef]
- Abuilaiwi, F.A.; Laoui, T.; Al-Harthi, M.; Atieh, M.A. Modification and functionalization of multiwalled carbon nanotube (MWCNT) via fischer esterification. Arab. J. Sci. Eng. 2010, 35, 37–48. [Google Scholar]
- Khan, F.S.A.; Mubarak, N.M.; Khalid, M.; Walvekar, R.; Abdullah, E.C.; Ahmad, A.; Karri, R.R.; Pakalapati, H. Functionalized multi-walled carbon nanotubes and hydroxyapatite nanorods reinforced with polypropylene for biomedical application. Sci. Rep. 2021, 11, 843. [Google Scholar] [CrossRef]
- Anzar, N.; Hasan, R.; Tyagi, M.; Yadav, N.; Narang, J. Carbon nanotube—A review on Synthesis, Properties and plethora of applications in the field of biomedical science. Sens. Int. 2020, 1, 100003. [Google Scholar] [CrossRef]
- Gholami, S.; Llacuna, J.L.; Vatanpour, V.; Dehqan, A.; Paziresh, S.; Cortina, J.L. Impact of a new functionalization of multiwalled carbon nanotubes on antifouling and permeability of PVDF nanocomposite membranes for dye wastewater treatment. Chemosphere 2022, 294, 133699. [Google Scholar] [CrossRef]
- Yeh, Y.-T.; Lin, Z.; Zheng, S.-Y.; Terrones, M. A carbon nanotube integrated microfluidic device for blood plasma extraction. Sci. Rep. 2018, 8, 13623. [Google Scholar] [CrossRef] [PubMed] [Green Version]
- García-Carmona, L.; Moreno-Guzmán, M.; Sierra, T.; González, M.C.; Escarpa, A. Filtered carbon nanotubes-based electrodes for rapid sensing and monitoring of L-tyrosine in plasma and whole blood samples. Sens. Actuators B Chem. 2018, 259, 762–767. [Google Scholar] [CrossRef]
- Zheng, D.; Vashist, S.K.; Dykas, M.M.; Saha, S.; Al-Rubeaan, K.; Lam, E.; Luong, J.H.T.; Fwu-Shan, S. Graphene versus Multi-Walled Carbon Nanotubes for Electrochemical Glucose Biosensing. Materials 2013, 6, 1011–1027. [Google Scholar] [CrossRef] [PubMed] [Green Version]
- Kim, J.S.; Song, K.S.; Yu, I.J. Multiwall Carbon Nanotube-Induced DNA Damage and Cytotoxicity in Male Human Peripheral Blood Lymphocytes. Int. J. Toxicol. 2016, 35, 1–11. [Google Scholar] [CrossRef] [Green Version]
- Zheng, W.; McKinney, W.; Kashon, M.L.; Pan, D.; Castranova, V.; Kan, H. The effects of inhaled multi-walled carbon nanotubes on blood pressure and cardiac function. Nanoscale Res. Lett. 2018, 13, 189. [Google Scholar] [CrossRef] [Green Version]
- Shityakov, S.; Salvador, E.; Pastorin, G.; Förster, C. Blood–brain barrier transport studies, aggregation, and molecular dynamics simulation of multiwalled carbon nanotube functionalized with fluorescein isothiocyanate. Int. J. Nanomed. 2015, 10, 1703–1713. [Google Scholar] [CrossRef] [Green Version]
- Ju, J.; Liang, F.; Zhang, X.; Sun, R.; Pan, X.; Guan, X.; Cui, G.; He, X.; Li, M. Advancement in separation materials for blood purification therapy. Chin. J. Chem. Eng. 2019, 27, 1383–1390. [Google Scholar] [CrossRef]
- Choi, E.Y.; Kim, J.Y.; Kim, C.K. Fabrication and properties of polycarbonate composites with polycarbonate grafted multi-walled carbon nanotubes by reactive extrusion. Polymer 2015, 60, 18–25. [Google Scholar] [CrossRef]
- Gaina, C.; Gaina, V.; Ionita, D. Chemical modification of chloromethylated polysulfone via click reactions. Polym. Int. 2011, 60, 296–303. [Google Scholar] [CrossRef]
- Popa, A.; Avram, E.; Cozan, V.; Pascariu, A.; Parvulescu, V. Aminophosphonate polymer-silica obtained by “one pot” of polysulphone functionalized with aldehyde. Mater. Plast. 2007, 44, 310–315. [Google Scholar] [CrossRef]
- Fowkes, F.M. Additivity of Intermolecular Forces at Interfaces. I. Determination of the Contribution to Surface and Interfacial Tensions of Dispersion Forces in Various Liquids. J. Phys. Chem. 1963, 67, 2538–2541. [Google Scholar] [CrossRef]
- Brunauer, S.; Emmett, P.H.; Teller, E. Adsorption of gases in multimolecular layers. J. Am. Chem. Soc. 1938, 60, 309–319. [Google Scholar] [CrossRef]
- Chhatri, A.; Bajpai, A.K.; Shandhu, S.S.; Jain, N.; Biswas, J. Cryogenic fabrication of savlon loaded macroporous blends of alginate and polyvinyl alcohol (PVA). Swelling, deswelling and antibacterial behaviors. Carbohydr. Polym. 2011, 83, 876–882. [Google Scholar] [CrossRef]
- Rata, D.M.; Cadinoiu, A.N.; Atanase, L.I.; Bacaita, S.E.; Mihalache, C.; Daraba, O.M.; Gherghel, D.; Popa, M. “In vitro” behaviour of aptamer-functionalized polymeric nanocapsules loaded with 5-fluorouracil for targeted therapy. Mater. Sci. Eng. 2019, C103, 109828. [Google Scholar] [CrossRef] [PubMed]
- Kamoun, E.A.; Kenawy, E.R.S.; Tamer, T.M.; El-Meligy, M.A.; MohyEldin, M.S. Poly (vinyl alcohol)-alginate physically crosslinked hydrogel membranes for wound dressing applications: Characterization and bio-evaluation. Arab. J. Chem. 2015, 8, 38–47. [Google Scholar] [CrossRef]
- Blout, E.R.; Karplus, R. The Infrared Spectrum of Polyvinyl Alcohol. J. Am. Chem. Soc. 1948, 70, 862–864. [Google Scholar] [CrossRef]
- Socrates, G. Infrared and Raman Characteristic Group Frequencies, 3rd ed.; Formerly of Brunel; John Wiley & Sons: Hoboken, NJ, USA; University of West London: Middlesex, UK, 2004. [Google Scholar]
- Tretinnikov, O.N.; Zagorskaya, S.A. Determination of the degree of crystallinity of poly(vinyl alcohol) by FTIR spectroscopy. J. Appl. Spectrosc. 2012, 79, 538–543. [Google Scholar] [CrossRef]
- Wei, X.; Wang, Z.; Wang, J.; Wang, S. A novel method of surface modification to polysulfone ultrafiltration membrane by preadsorption of citric acid or sodium bisulfate. Membr. Water. Treat. 2012, 3, 35–49. [Google Scholar] [CrossRef] [Green Version]
- Takeda, S.; Yamamoto, K.; Hayasaka, Y.; Matsumoto, K. Surface OH group governing wettability of commercial glasses. J. Non. Cryst. Solids 1999, 249, 41–46. [Google Scholar] [CrossRef]
- Nakamura, S.; Tsuji, Y.; Yoshizawa, K. Role of Hydrogen-Bonding and OH−π Interactions in the Adhesion of Epoxy Resin on Hydrophilic Surfaces. ACS Omega 2020, 5, 26211–26219. [Google Scholar] [CrossRef]
- Zhao, M.; Meng, L.; Ma, L.; Yang, X.; Huang, Y.; Ryu, J.E.; Shankar, A.; Li, T.; Yan, C.; Guo, Z. Layer-by-layer grafting CNTs onto carbon fibers surface for enhancing the interfacial properties of epoxy resin composites. Compos. Sci. Technol. 2018, 154, 28–36. [Google Scholar] [CrossRef]
- Narayanan, K.B.; Park, G.T.; Han, S.S. Electrospun poly(vinyl alcohol)/reduced graphene oxide nanofibrous scaffolds for skin tissue engineering. Colloids Surf. B 2020, 191, 110994. [Google Scholar] [CrossRef] [PubMed]
- Díez-Pascual, A.M. Chemical Functionalization of Carbon Nanotubes with Polymers: A Brief Overview. Macromol 2021, 1, 64–83. [Google Scholar] [CrossRef]
- Eskandari, P.; Abousalman-Rezvani, Z.; Roghani-Mamaqani, H.; Salami-Kalajahi, M. Polymer-functionalization of carbon nanotube by in situ conventional and controlled radical polymerizations. Adv. Colloid. Interface Sci. 2021, 294, 102471. [Google Scholar] [CrossRef]
- Khan, M.Q.; Kharaghani, D.; Nishat, N.; Sanaullah; Shahzad, A.; Hussain, T.; Kim, K.O.; Kim, I.S. The fabrications and characterizations of antibacterial PVA/Cu nanofibers composite membranes by synthesis of Cu nanoparticles from solution reduction, nanofibers reduction and immersion methods. Mater. Res. Express 2019, 6, 075051. [Google Scholar] [CrossRef]
- Bergaoui, M.; Nakhli, A.; Benguerba, Y.; Khalfaoui, M.; Erto, A.; Soetaredjo, F.E. Novel Insights into the Adsorption Mechanism of Methylene Blue onto Organo-Bentonite: Adsorption Isotherms Modeling and Molecular Simulation. J. Mol. Liq. 2018, 272, 697–707. [Google Scholar] [CrossRef]
- Sing, K.S.W. Reporting physisorption data for gas/solid systems with special reference to the determination of surface area and porosity. Pure Appl. Chem. 1982, 54, 2201–2218. [Google Scholar] [CrossRef]
- Donohue, M.D.; Aranovich, G.L. Classification of Gibbs adsorption isotherms. Adv. Colloid. Interface Sci. 1998, 77, 137–152. [Google Scholar] [CrossRef]
- Cychosz, K.A.; Thommes, M. Progress in the Physisorption Characterization of Nanoporous Gas Storage Materials. Res. Green Ind. Processes Rev. 2018, 4, 559–566. [Google Scholar] [CrossRef]
- Sangwichien, C.; Aranovich, G.L.; Donohue, M.D. Density functional theory predictions of adsorption isotherms with hysteresis loops. Colloids Surf. A Physicochem. Eng. 2002, 206, 313–320. [Google Scholar] [CrossRef]
- Zdravkov, B.D.; Čermák, J.J.; Šefara, M.; Janků, J. Pore classification in the characterization of porous materials: A perspective. Cent. Eur. J. Chem. 2007, 5, 385–395. [Google Scholar] [CrossRef]
- Thommes, M.; Kaneko, K.; Neimark, A.V.; Olivier, J.P.; Rodriguez-Reinoso, F.; Rouquerol, J.; Sing, K.S.W. Physisorption of Gases, with Special Reference to the Evaluation of Surface Area and Pore Size Distribution (IUPAC Technical Report). Pure Appl. Chem. 2015, 87, 1051–1069. [Google Scholar] [CrossRef] [Green Version]
- Inagaki, S.; Fukushima, Y.; Kuroda, K. Adsorption Isotherm of Water Vapor and Its Large Hysteresis on Highly Ordered Mesoporous Silica. J. Colloid. Interface Sci. 1996, 180, 623–624. [Google Scholar] [CrossRef]
- Berezkina, Y.F.; Dubinin, M.M.; Sarakhov, A.I. Adsorption of vapors on model nonporous adsorbents with a physically modified surface, IV. Low-temperature adsorption of argon vapors on graphitized carbon black with preadsorbed water or methanol. Izv.AkadNauk SSSR SerKhim 1969, 18, 2653–2661. [Google Scholar]
- Bradley, R.H.; Andreu, A.; Cassity, K.; Osbeck, S.; Andrews, R.; Johnston, M.M.C. Dependence of Water Vapour Adsorption on the Polarity of the Graphene Surfaces of Multi-wall Carbon Nanotubes. Adsorp. Sci. Technol. 2010, 28, 10. [Google Scholar] [CrossRef]
- Ahamed, M.A.A.; Perera, M.S.A.; Matthai, S.K.; Ranjith, P.G.; Li, D.Y. Coal composition and structural variation with rank and its influence on the coal-moisture interactions under coal seam temperature conditions—A review article. J. Pet. Sci. Eng. 2019, 180, 901–917. [Google Scholar] [CrossRef]
- Calixte, E.I.; Samoylova, O.N.; Shuford, K.L. Confinement and surface effects of aqueous solutions within charged carbon nanotubes. Phys. Chem. Chem. Phys. 2016, 18, 12204–12212. [Google Scholar] [CrossRef] [PubMed]
- Vainrot, N.; Li, M.; Isloor, A.M.; Eisen, M.S. New Preparation Methods for Pore Formation on Polysulfone Membranes. Membranes 2021, 11, 292. [Google Scholar] [CrossRef]
- Mangukiya, S.; Prajapati, S.; Kumar, S.; Aswal, V.K.; Murthy, C.N. Polysulfone-based composite membranes with functionalized carbon nanotubes show controlled porosity and enhanced electrical conductivity, Applied Polymer Science. J. Appl. Polym. Sci. 2016, 133, 43778. [Google Scholar] [CrossRef]
- Rubel, R.I.; Ali, H.; Jafor, A.; Alam, M. Carbon nanotubes agglomeration in reinforced composites: A review. AIMS Mater. Sci. 2019, 6, 756–780. [Google Scholar] [CrossRef]
- Wang, Z.; Xu, L.; Qi, C.; Zhao, C. Fabrication of MWCNTs-polysulfone composite membranes and its application in the removal of bisphenol A. Mater. Res. Express 2018, 5, 065101. [Google Scholar] [CrossRef]










| Assignment | PVA | APSF | mPSF | PVA/mMWCNTs | mPSF/mMWCNTs | ||||||
|---|---|---|---|---|---|---|---|---|---|---|---|
| 0.5% | 1% | 2.5% | 5% | 0.5% | 1% | 2.5% | 5% | ||||
| υ(O–H) | 3350 | - | 3340 | 3320 | 3320 | 3320 | 3320 | 3340 | 3340 | 3340 | 3340 |
| δ(O–H) + (C-O-H)bending | 1668 1490 1330 | - | 1663 1490 1330 | 1506 1435 1305 | 1506 1435 1305 | 1506 1435 1305 | 1506 1435 1305 | 1506 1429 1298 | 1506 1429 1298 | 1506 1429 1298 | 1506 1429 1298 |
| δ(O–H)out-of-plane | 654 | - | 654 | 660 | 660 | 660 | 660 | 687 | 687 | 687 | 687 |
| υ(C–H)aliphatic | 2920 2856 | 2920 2875 | 2920 2856 | 2924 2850 | 2924 2850 | 2924 2850 | 2924 2850 | 2924 2858 | 2924 2858 | 2924 2858 | 2924 2858 |
| υ(C–H)aromatic | - | 3100 3070 3030 | 3100 3070 3030 | - | - | - | - | 3100 3070 3030 | 3100 3070 3030 | 3100 3070 3030 | 3100 3070 3030 |
| δ(C–H) | 1427 | 1430 | 1427 1106 | 1429 | 1429 | 1429 | 1429 | 1430 | 1430 | 1430 | 1430 |
| (C–H)scissoring | 1440 | 1440 | 1440 | 1435 | 1435 | 1435 | 1435 | 1487 | 1487 | 1487 | 1487 |
| (C–H)twisting | 1300 | 1300 | 1300 | 1298 830 | 1305 830 | 1305 830 | 1305 830 | 1300 837 | 1300 837 | 1300 837 | 1300 837 |
| (C–H)rocking | 1237 | 1237 | 1237 | 1247 | 1247 | 1247 | 1247 | 1240 | 1240 | 1240 | 1240 |
| υ(C=O)acetate | 1733 1670 | 1730 | 1724 1670 | 1713 1657 | 1713 1657 | 1713 1657 | 1713 1657 | 1729 1713 | 1729 1713 | 1729 1713 | 1729 1713 |
| υ(C=O)aldehyde | - | 1696 | 1693 1663 | - | - | - | - | 1654 | 1654 | 1654 | 1654 |
| υ(C-O) | 1059 | 1148 1106 | 1190 1148 | 1092 1140 984 | 1092 1140 984 | 1092 1140 984 | 1092 1140 984 | 1096 1032 1012 | 1096 1032 1012 | 1096 1032 1012 | 1096 1032 1012 |
| υ(C-C-O) | 829 | - | 829 | 913 | 913 | 913 | 913 | 834 | 834 | 834 | 834 |
| υ(C=C) | - | 1650–1427 | 1650–1427 | - | - | - | - | 1654–1407 | 1654–1407 | 1654–1407 | 1654–1407 |
| υ(C=C-CH-) δ(C=C-CH-)in-plane δ(C=C-CH-)out-of-plane | - | 1585 850–720 700–580 | 1585 850–720 700–580 | - | - | - | - | 1586 800–700 700–580 | 1586 800–700 700–580 | 1586 800–700 700–580 | 1586 800–700 700–580 |
| υasymmetric(SO2) | - | 1383 1290 | 1383 1290 | - | - | - | - | 1373 1298 | 1373 1298 | 1373 1298 | 1373 1298 |
| υsymmetric(SO2) | 1170 1148 | 1170 1148 | - | - | - | - | 1170 1148 | 1170 1148 | 1170 1148 | 1170 1148 | |
| υ(C–S-) | - | 726 | 726 | - | - | - | 712 | 712 | 712 | 712 | |
| Materials | Contact Angle Values (°) | |
|---|---|---|
| Water | Ethylene Glycol | |
| PVA | 68 ± 0.25 | 48 ± 0.54 |
| mPSF | 95 ± 0.30 | 67 ± 0.83 |
| Filler amount (wt%) | PVA/mMWCNTs composite system | |
| 0.5 | 66 ± 0.47 | 34 ± 0.41 |
| 1 | 64 ± 0.98 | 43 ± 0.70 |
| 2.5 | 58 ± 1.53 | 40 ± 1.81 |
| 5 | 77 ± 0.49 | 48 ± 0.77 |
| Filler amount (wt%) | mPSF/mMWCNTs composite system | |
| 0.5 | 62 ± 1.12 | 36 ± 0.54 |
| 1 | 68 ± 0.62 | 42 ± 0.65 |
| 2.5 | 80 ± 0.43 | 53 ± 1.19 |
| 5 | 82 ± 0.75 | 51 ± 0.89 |
| Materials | |||||
|---|---|---|---|---|---|
| PVA | 14.1 | 20.72 | 34.82 | 7.54 | −45.52 |
| mPSF | 26.69 | 1.63 | 28.32 | 34.73 | −79.21 |
| Filler amount (wt%) | PVA/mMWCNTs composite system | ||||
| 0.5 | 24.87 | 15.29 | 40.16 | 10.54 | −43.18 |
| 1 | 14.32 | 23.60 | 37.92 | 5.99 | −40.87 |
| 2.5 | 10.96 | 31.73 | 42.69 | 4.12 | −34.23 |
| 5 | 25.67 | 8.60 | 34.27 | 17.87 | −56.4 |
| Filler amount (wt%) | mPSF/mMWCNTs composite system | ||||
| 0.5 | 18.276 | 22.071 | 40.347 | 6.13 | −38.583 |
| 1 | 19.85 | 16.75 | 36.6 | 9.34 | −45.54 |
| 2.5 | 23.397 | 8.151 | 31.55 | 18.40 | −59.65 |
| 5 | 29.60 | 5.06 | 34.65 | 24.53 | −62.68 |
| Materials | W (%) | rpm (nm) | BET Data | |
|---|---|---|---|---|
| Area (m2/g) | Monolayer (g/g) | |||
| PVA | 30.4038 | 1.54 | 394.995 | 0.1125 |
| mPSF | 16.3611 | 2.89 | 113.116 | 0.0322 |
| Filler amount (wt%) | PVA/mMWCNTsnanocomposite system | |||
| 0.5 | 20.5926 | 1.92 | 214.510 | 0.0611 |
| 1 | 17.9827 | 2.38 | 151.099 | 0.04304 |
| 2.5 | 21.4767 | 2.70 | 159.045 | 0.0453 |
| 5 | 16.323 | 2.61 | 125.222 | 0.0357 |
| Filler amount (wt%) | mPSF/mMWCNTsnanocomposite system | |||
| 0.5 | 15.1289 | 2.49 | 121.351 | 0.0346 |
| 1 | 14.9112 | 2.47 | 119.769 | 0.0341 |
| 2.5 | 11.0995 | 1.70 | 130.397 | 0.0371 |
| 5 | 12.9138 | 2.09 | 123.660 | 0.0352 |
Publisher’s Note: MDPI stays neutral with regard to jurisdictional claims in published maps and institutional affiliations. |
© 2022 by the authors. Licensee MDPI, Basel, Switzerland. This article is an open access article distributed under the terms and conditions of the Creative Commons Attribution (CC BY) license (https://creativecommons.org/licenses/by/4.0/).
Share and Cite
Nica, S.L.; Zaltariov, M.-F.; Pamfil, D.; Bargan, A.; Rusu, D.; Raţă, D.M.; Găină, C.; Atanase, L.I. MWCNTs Composites-Based on New Chemically Modified Polysulfone Matrix for Biomedical Applications. Nanomaterials 2022, 12, 1502. https://doi.org/10.3390/nano12091502
Nica SL, Zaltariov M-F, Pamfil D, Bargan A, Rusu D, Raţă DM, Găină C, Atanase LI. MWCNTs Composites-Based on New Chemically Modified Polysulfone Matrix for Biomedical Applications. Nanomaterials. 2022; 12(9):1502. https://doi.org/10.3390/nano12091502
Chicago/Turabian StyleNica, Simona Luminita, Mirela-Fernanda Zaltariov, Daniela Pamfil, Alexandra Bargan, Daniela Rusu, Delia Mihaela Raţă, Constantin Găină, and Leonard Ionut Atanase. 2022. "MWCNTs Composites-Based on New Chemically Modified Polysulfone Matrix for Biomedical Applications" Nanomaterials 12, no. 9: 1502. https://doi.org/10.3390/nano12091502
APA StyleNica, S. L., Zaltariov, M.-F., Pamfil, D., Bargan, A., Rusu, D., Raţă, D. M., Găină, C., & Atanase, L. I. (2022). MWCNTs Composites-Based on New Chemically Modified Polysulfone Matrix for Biomedical Applications. Nanomaterials, 12(9), 1502. https://doi.org/10.3390/nano12091502

