Coupling Electronic and Phonon Thermal Transport in Poly(3,4-ethylenedioxythiophene)-poly(styrenesulfonate) Nanofibers
Abstract
:1. Introduction
2. Sample Preparation
3. Measurement
3.1. Electrical Conductivity
3.2. Thermal Conductivity
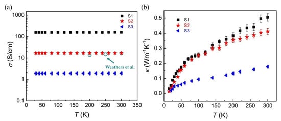
4. Results and Discussion
5. Conclusions
Author Contributions
Funding
Data Availability Statement
Conflicts of Interest
References
- Lu, H.; Li, X.; Lei, Q. Conjugated Conductive Polymer Materials and its Applications: A Mini-Review. Front. Chem. 2021, 9, 732132. [Google Scholar] [CrossRef] [PubMed]
- Le, T.-H.; Kim, Y.; Yoon, H. Electrical and Electrochemical Properties of Conducting Polymers. Polymers 2017, 9, 150. [Google Scholar] [CrossRef] [PubMed]
- Chiang, C.K.; Fincher, C.R., Jr.; Park, Y.W.; Heeger, A.J.; Shirakawa, H.; Louis, E.J.; Gau, S.C.; MacDiarmid, A.G. Electrical Conductivity in Doped Polyacetylene. Phys. Rev. Lett. 1977, 39, 1098–1101. [Google Scholar] [CrossRef]
- Ma, Z.; Shi, W.; Yan, K.; Pan, L.; Yu, G. Doping engineering of conductive polymer hydrogels and their application in advanced sensor technologies. Chem. Sci. 2019, 10, 6232. [Google Scholar] [CrossRef] [Green Version]
- Vagin, M.; Gueskine, V.; Mitraka, E.; Wang, S.; Singh, A.; Zozoulenko, I.; Berggren, M.; Fabiano, S.; Crispin, X. Negatively-doped conducting polymers for oxygen reduction reaction. Adv. Energy Mater. 2021, 11, 2002664. [Google Scholar] [CrossRef]
- Shanker, A.; Li, C.; Kim, G.-H.; Gidley, D.; Pipe, K.P.; Kim, J. High thermal conductivity in electrostatically engineered amorphous polymers. Sci. Adv. 2017, 3, e1700342. [Google Scholar] [CrossRef] [Green Version]
- Burroughes, J.H.; Bradley, D.D.C.; Brown, A.R.; Marks, R.N.; Mackay, K.; Friend, R.H.; Burns, P.L.; Holmes, A.B. Light-emitting diodes based on conjugated polymers. Nature 1990, 347, 539–541. [Google Scholar] [CrossRef]
- Bao, Z.; Dodabalapur, A.; Lovinger, A.J. Soluble and processable regioregular poly(3-hexylthiophene) for thin film field-effect transistor applications with high mobility. Appl. Phys. Lett. 1996, 69, 4108–4110. [Google Scholar] [CrossRef]
- Bidinger, S.L.; Han, S.; Malliaras, G.G.; Hasan, T. Highly stable PEDOT:PSS electrochemical transistors. Appl. Phys. Lett. 2022, 120, 073302. [Google Scholar] [CrossRef]
- Yang, Y.; Ouyang, J.; Ma, L.; Tseng, R.J.-H.; Chu, C.-W. Electrical switching and bistability in organic/polymeric thin films and memory devices. Adv. Funct. Mater. 2006, 16, 1001–1014. [Google Scholar] [CrossRef]
- Wang, Y.; Zhou, J.; Yang, R. Thermoelectric properties of molecular nanowires. J. Phys. Chem. C 2011, 115, 24418. [Google Scholar] [CrossRef]
- Bubnova, O.; Khan, Z.U.; Malti, A.; Braun, S.; Fahlman, M.; Berggren, M.; Crispin, X. Optimization of the thermoelectric figure of merit in the conducting polymer poly(3,4-ethylenedioxythiophene. Nat. Mater. 2011, 10, 429–433. [Google Scholar] [CrossRef] [PubMed]
- He, M.; Qiu, F.; Lin, Z. Towards high-performance polymer-based thermoelectric materials. Energy Environ. Sci. 2013, 6, 1352–1361. [Google Scholar] [CrossRef]
- Groenendaal, L.; Jonas, F.; Freitag, D.; Pielartzik, H.; Reynolds, J.R. Poly(3,4-ethylenedioxythiophene) and its derivatives: Past, present, and future. Adv. Mater. 2000, 12, 481. [Google Scholar] [CrossRef]
- Khasim, S.; Pasha, A.; Lakshmi, M.; Chellasamy, P.; Kadarkarai, M.; Darwish, A.A.A.; Hamdalla, T.A.; Al-Ghamdi, S.A.; Alfadhli, S. Post treated PEDOT-PSS films with excellent conductivity and optical properties as multifunctional flexible electrodes for possible optoelectronic and energy storage applications. Opt. Mater. 2022, 125, 112109. [Google Scholar] [CrossRef]
- Liu, J.; Wang, X.; Li, D.; Coates, N.E.; Segalman, R.A.; Cahill, D.G. Thermal conductivity and elastic constants of PEDOT:PSS with high electrical conductivity. Macromolecules 2015, 48, 585–591. [Google Scholar] [CrossRef]
- Choi, K.; Kim, S.L.; Yi, S.-i.; Hsu, J.-H.; Yu, C. Promoting dual electronic and ionic transport in PEDOT by embedding carbon nanotubes for large thermoelectric responses. ACS Appl. Mater. Interfaces 2018, 10, 23891–23899. [Google Scholar] [CrossRef]
- Lee, H.J.; Shin, H.; Anoop, G.; Yoo, T.J.; So, S.; Ryu, J.; Lee, B.H.; Song, J.Y.; Lee, E.; Hong, S.; et al. Tunable in-plane thermal conductivity of a single PEDOT:PSS nanotube. Nanoscale 2020, 12, 8701–8705. [Google Scholar] [CrossRef]
- Yang, L.; Gordon, M.P.; Menon, A.K.; Bruefach, A.; Haas, K.; Scott, M.C.; Prasher, R.S.; Urban, J.J. Decoupling electron and phonon transport in single-nanowire hybrid materials for high-performance thermoelectrics. Sci. Adv. 2021, 7, eabe6000. [Google Scholar] [CrossRef]
- Weathers, A.; Khan, Z.U.; Brooke, R.; Evans, D.; Pettes, M.T.; Andreasen, J.W.; Crispin, X.; Shi, L. Significant electronic thermal transport in the conducting polymer poly (3, 4-ethylenedioxythiophene). Adv. Mater. 2015, 27, 2101. [Google Scholar] [CrossRef] [Green Version]
- Ma, W.; Shi, K.; Wu, Y.; Lu, Z.Y.; Liu, H.Y.; Wang, J.Y.; Pei, J. Enhanced molecular packing of a conjugated polymer with high organic thermoelectric power factor. ACS Appl. Mater. Interfaces 2016, 8, 24737–24743. [Google Scholar] [CrossRef] [PubMed]
- Bae, E.J.; Kang, Y.H.; Jang, K.S.; Cho, S.Y. Enhancement of thermoelectric properties of PEDOT:PSS and Tellurium-PEDOT:PSS hybrid composites by simple chemical treatment. Sci. Rep. 2016, 6, 18805. [Google Scholar] [PubMed] [Green Version]
- Kim, G.H.; Shao, L.; Zhang, K.; Pipe, K.P. Engineered doping of organic semiconductors for enhanced thermoelectric efficiency. Nat. Mater. 2013, 12, 719–723. [Google Scholar] [CrossRef] [PubMed]
- Zapata-Arteaga, O.; Perevedentsev, A.; Marina, S.; Martin, J.; Reparaz, J.S.; Campoy-Quiles, M. Reduction of the lattice thermal conductivity of polymer semiconductors by molecular doping. ACS Energy Lett. 2020, 5, 2972–2978. [Google Scholar] [CrossRef]
- Sawtelle, S.D.; Reed, M.A. Temperature-dependent thermal conductivity and suppressed Lorenz number in ultrathin gold nanowires. Phys. Rev. B 2019, 99, 054304. [Google Scholar] [CrossRef] [Green Version]
- Xu, X.; Zhou, J.; Chen, J. Thermal transport in conductive polymer–based materials. Adv. Funct. Mater. 2020, 30, 1904704. [Google Scholar] [CrossRef]
- Xi, Q.; Zhong, J.; He, J.; Xu, X.; Nakayama, T.; Wang, Y.; Liu, J.; Zhou, J.; Li, B. A ubiquitous thermal conductivity formula for liquids, polymer glass, and amorphous solids. Chin. Phys. Lett. 2020, 37, 104401. [Google Scholar] [CrossRef]
- Shen, S.; Henry, A.; Tong, J.; Zheng, R.; Chen, G. Polyethylene nanofibres with very high thermal conductivities. Nat. Nanotechnol. 2010, 5, 251–255. [Google Scholar] [CrossRef]
- Zhong, Z.; Wingert, M.C.; Strzalka, J.; Wang, H.H.; Sun, T.; Wang, J.; Chen, R.; Jiang, Z. Structure-induced enhancement of thermal conductivities in electrospun polymer nanofibers. Nanoscale 2014, 6, 8283–8291. [Google Scholar] [CrossRef]
- Singh, V.; Bougher, T.L.; Weathers, A.; Cai, Y.; Bi, K.; Pettes, M.T.; McMenamin, S.A.; Lv, W.; Resler, D.P.; Gattuso, T.R.; et al. High thermal conductivity of chain-oriented amorphous polythiophene. Nat. Nanotechnol. 2014, 9, 384–390. [Google Scholar] [CrossRef]
- Dong, X.W.L.; Hu, Y.; Xu, X.; Bao, H. Suppressed thermal conductivity in polycrystalline gold nanofilm: The effect of grain boundary and substrate. Chin. Phys. Lett. 2021, 38, 027202. [Google Scholar] [CrossRef]
- Xu, X.; Pereira, L.F.C.; Wang, Y.; Wu, J.; Zhang, K.; Zhao, X.; Bae, S.; Bui, C.T.; Xie, R.; Thong, J.T.L.; et al. Length-dependent thermal conductivity in suspended single-layer graphene. Nat. Commun. 2014, 5, 3689. [Google Scholar] [CrossRef] [PubMed] [Green Version]
- Dong, L.; Xi, Q.; Zhou, J.; Xu, X.; Li, B. Phonon renormalization induced by electric field in ferroelectric Poly(Vinylidene Fluoride–Trifluoroethylene) nanofibers. Phys. Rev. Appl. 2020, 13, 034019. [Google Scholar] [CrossRef] [Green Version]
- Dong, L.; Xi, Q.; Chen, D.; Guo, J.; Nakayama, T.; Li, Y.; Liang, Z.; Zhou, J.; Xu, X.; Li, B. Dimensional crossover of heat conduction in amorphous polyimide nanofibers. Natl. Sci. Rev. 2018, 5, 500–506. [Google Scholar] [CrossRef] [Green Version]
- Dong, L.; Xu, X.; Li, B. High thermal conductivity and superior thermal stability of amorphous PMDA/ODA nanofiber. Appl. Phys. Lett. 2018, 112, 221904. [Google Scholar] [CrossRef]
- Aiyiti, A.; Bai, X.; Wu, J.; Xu, X.; Li, B. Measuring the thermal conductivity and interfacial thermal resistance of suspended MoS2 using electron beam self-heating technique. Sci. Bull. 2018, 63, 452–458. [Google Scholar] [CrossRef] [Green Version]
- Wang, Q.; Liang, X.; Liu, B.; Song, Y.; Gao, G.; Xu, X. Thermal conductivity of V2O5 nanowires and their contact thermal conductance. Nanoscale 2020, 12, 1138–1143. [Google Scholar] [CrossRef]
- Pasha, A.; Roy, A.S.; Murugendrappa, M.V.; Al-Hartomy, O.A.; Khasim, S. Conductivity and dielectric properties of PEDOT-PSS doped DMSO nano composite thin films. J. Mater. Sci. Mater. Electron. 2016, 27, 8332–8339. [Google Scholar] [CrossRef]
- Saghaei, J.; Fallahzadeh, A.; Yousefi, M.H. Improvement of electrical conductivity of PEDOT:PSS films by 2-Methylimidazole post treatment. Org. Electron. 2015, 19, 70–75. [Google Scholar] [CrossRef]
- Nešpůrek, S.; Kuberský, P.; Polanský, R.; Trchová, M.; Šebera, J.; Sychrovský, V. Raman spectroscopy and DFT calculations of PEDOT:PSS in a dipolar field. Phys. Chem. Chem. Phys. 2022, 24, 541–550. [Google Scholar] [CrossRef]
- Zhou, J.; Xi, Q.; He, J.; Xu, X.; Nakayama, T.; Wang, Y.; Liu, J. Thermal resistance network model for heat conduction of amorphous polymers Phys. Rev. Mater. 2020, 4, 015601. [Google Scholar]
- Pettes, M.T.; Maassen, J.; Jo, I.; Lundstrom, M.S.; Shi, L. Effects of surface band bending and scattering on thermoelectric transport in suspended bismuth telluride nanoplates. Nano Lett. 2013, 13, 5316–5322. [Google Scholar] [CrossRef] [PubMed]




Publisher’s Note: MDPI stays neutral with regard to jurisdictional claims in published maps and institutional affiliations. |
© 2022 by the authors. Licensee MDPI, Basel, Switzerland. This article is an open access article distributed under the terms and conditions of the Creative Commons Attribution (CC BY) license (https://creativecommons.org/licenses/by/4.0/).
Share and Cite
Dong, L.; Bao, C.; Hu, S.; Wang, Y.; Wu, Z.; Xie, H.; Xu, X. Coupling Electronic and Phonon Thermal Transport in Poly(3,4-ethylenedioxythiophene)-poly(styrenesulfonate) Nanofibers. Nanomaterials 2022, 12, 1282. https://doi.org/10.3390/nano12081282
Dong L, Bao C, Hu S, Wang Y, Wu Z, Xie H, Xu X. Coupling Electronic and Phonon Thermal Transport in Poly(3,4-ethylenedioxythiophene)-poly(styrenesulfonate) Nanofibers. Nanomaterials. 2022; 12(8):1282. https://doi.org/10.3390/nano12081282
Chicago/Turabian StyleDong, Lan, Chengpeng Bao, Shiqian Hu, Yuanyuan Wang, Zihua Wu, Huaqing Xie, and Xiangfan Xu. 2022. "Coupling Electronic and Phonon Thermal Transport in Poly(3,4-ethylenedioxythiophene)-poly(styrenesulfonate) Nanofibers" Nanomaterials 12, no. 8: 1282. https://doi.org/10.3390/nano12081282
APA StyleDong, L., Bao, C., Hu, S., Wang, Y., Wu, Z., Xie, H., & Xu, X. (2022). Coupling Electronic and Phonon Thermal Transport in Poly(3,4-ethylenedioxythiophene)-poly(styrenesulfonate) Nanofibers. Nanomaterials, 12(8), 1282. https://doi.org/10.3390/nano12081282

