Numerical Investigation of Photo-Generated Carrier Recombination Dynamics on the Device Characteristics for the Perovskite/Carbon Nitride Absorber-Layer Solar Cell
Abstract
1. Introduction
2. Numerical Modeling and Material Parameters
3. Results and Discussion
3.1. Influence of Recombination on Device Performance
3.2. Influence of Energy Distribution of Defects on the Device Performance
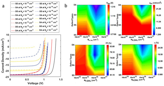
3.3. Influence of Metastable Defects on the Device Performance
3.4. Influence of Interface Defects on the Device Performance
4. Conclusions
Author Contributions
Funding
Data Availability Statement
Acknowledgments
Conflicts of Interest
Nomenclature
| Efficiency | |
| Open Circuit Voltage | |
| Short-Circuit Current Density | |
| FF | Fill Factor |
| HTL | Hole transport Layer |
| ETL | Electron Transport Layer |
| DAL | Double Absorber Layer |
| Wavelength | |
| Position-dependent hole concentration | |
| Position-dependent electron concentration | |
| Shallow/bulk carrier concentration | |
| G | Electron–hole pair generation |
| Minimum wavelength | |
| Maximum wavelength | |
| Transmission at front contact dependent on wavelength | |
| Reflection at back contact dependent on wavelength | |
| Internal reflection at front contact | |
| D | Layer thickness |
| Energy bandgap | |
| Optical absorption | |
| Photon energy | |
| Radiative recombination | |
| Auger recombination | |
| Schokley Read hall recombination | |
| K | Radiative recombination coefficient |
| Auger–electron recombination coefficient | |
| Auger–hole recombination coefficient | |
| Electron concentration | |
| Hole concentration | |
| Intrinsic-carrier concentration | |
| Electron-carrier lifetime | |
| Hole-carrier lifetime | |
| Trap density of double absorber layer | |
| Characteristic energy | |
| Width of Gaussian energy distribution | |
| Width of tail-like distribution | |
| Peak density of the distribution | |
| Energy trap level | |
| Intrinsic energy level | |
| Single-donor defect states | |
| Double-donor defect states | |
| Single-acceptor defect states | |
| Double-acceptor defect states | |
| Interface defect density at hole transport layer/absorber layer interface | |
| Interface defect density at absorber layer/electron transport layer interface |
Appendix A. Layer Parameters for Numerical Modeling of Double Absorber Layer Solar Cell
| Parameters | HTL | Perovskite | Carbon Nitride | ETL | FTO |
|---|---|---|---|---|---|
| Thickness (nm) | 600 | 320 | 30 | 600 | |
| Energy bandgap, (eV) | 1.55 | 1.8 | 3.2 | 3.5 | |
| Electron affinity, χ (eV) | 3.9 | 4.2 | 4.1 | 4.0 | |
| Relative -ermittivity, | 6.5 | 4.5 | 9 | 9 | |
| Density of states at conduction band, (cm−3) | |||||
| Density of states valance band, (cm−3) | |||||
| Electron mobility, (cm2/Vs) | 1.0 × 10−4 | 2 | 12 | 330 | |
| Hole mobility, (cm2/Vs) | 2 | 20 | 50 | ||
| Acceptor concentration, (cm−3) | 0 | 0 | 0 | ||
| Donor concentration, (cm−3) | 0 | ||||
| Defect density, (cm−3) |
References
- Khalifa, S.A.; Mastrorocco, B.V.; Au, D.D.; Ovaitt, S.; Barnes, T.M.; Carpenter, A.C.; Baxter, J.B. Dynamic material flow analysis of silicon photovoltaic modules to support a circular economy transition. Prog. Photovolt. Res. Appl. 2022, 30, 784–805. [Google Scholar] [CrossRef]
- Saeed, F.; Tauqeer, H.A.; Gelani, H.E.; Yousuf, M.H.; Idrees, A. Numerical modeling, simulation and evaluation of conventional and hybrid photovoltaic modules interconnection configurations under partial shading conditions. EPJ Photovolt. 2022, 13, 10. [Google Scholar] [CrossRef]
- Mohsin, M.; Taghizadeh-Hesary, F.; Iqbal, N.; Saydaliev, H.B. The role of technological progress and renewable energy deployment in green economic growth. Renew. Energy 2022, 190, 777–787. [Google Scholar] [CrossRef]
- Yan, D.; Cuevas, A.; Michel, J.I.; Zhang, C.; Wan, Y.; Zhang, X.; Bullock, J. Polysilicon passivated junctions: The next technology for silicon solar cells? Joule 2021, 5, 811–828. [Google Scholar] [CrossRef]
- Lameirinhas, R.A.M.; Torres, J.P.N.; Cunha, J.P.d.M. A Photovoltaic Technology Review: History, Fundamentals and Applications. Energies 2022, 15, 1823. [Google Scholar] [CrossRef]
- Kim, S.; Hoang, V.Q.; Bark, C.W. Silicon-Based Technologies for Flexible Photovoltaic (PV) Devices: From Basic Mechanism to Manufacturing Technologies. Nanomaterials 2021, 11, 2944. [Google Scholar] [CrossRef]
- Saeed, F.; Gelani, H.E. Unravelling the effect of defect density, grain boundary and gradient doping in an efficient lead-free formamidinium perovskite solar cell. Opt. Mater. 2022, 124, 111952. [Google Scholar] [CrossRef]
- Saeed, F.; Waris, M.D.; Rehman, T.U.; Khan, M.A.; Khan, M.H.; Gelani, H.E. A Comparative Study of Grid-Tied PV Systems Employing CIGS and Crystalline Solar Modules. In Proceedings of the 2021 Mohammad Ali Jinnah University International Conference on Computing (MAJICC), Karachi, Pakistan, 15–17 July 2021. [Google Scholar]
- Qiao, Y.; Li, S.; Liu, W.; Ran, M.; Lu, H.; Yang, Y. Recent Advances of Rare-Earth Ion Doped Luminescent Nanomaterials in Perovskite Solar Cells. Nanomaterials 2018, 8, 43. [Google Scholar] [CrossRef]
- Mirbagheri, N.S.; Engberg, S.; Crovetto, A.; Simonsen, S.B.; Hansen, O.; Lam, Y.M.; Schou, J. Synthesis of ligand-free CZTS nanoparticles via a facile hot injection route. Nanotechnology 2016, 27, 185603. [Google Scholar] [CrossRef]
- Zhang, X.; Fu, E.; Zheng, M.; Wang, Y. Fabrication of Cu2ZnSnS4 Thin Films from Ball-Milled Nanoparticle inks under Various Annealing Temperatures. Nanomaterials 2019, 9, 1615. [Google Scholar] [CrossRef]
- Bottiglieri, L.; Nourdine, A.; Resende, J.; Deschanvres, J.-L.; Jiménez, C. Optimized Stoichiometry for CuCrO2 Thin Films as Hole Transparent Layer in PBDD4T-2F:PC70BM Organic Solar Cells. Nanomaterials 2021, 11, 2109. [Google Scholar] [CrossRef] [PubMed]
- Liu, J.; Aydin, E.; Yin, J.; De Bastiani, M.; Isikgor, F.H.; Rehman, A.U.; Yengel, E.; Ugur, E.; Harrison, G.T.; Wang, M.; et al. 28.2%-efficient, outdoor-stable perovskite/silicon tandem solar cell. Joule 2021, 5, 3169–3186. [Google Scholar] [CrossRef]
- Ahmad, F.; Lakhtakia, A.; Monk, P.B. Double-absorber thin-film solar cell with 34% efficiency. Appl. Phys. Lett. 2020, 117, 033901. [Google Scholar] [CrossRef]
- Al-Ashouri, A.; Köhnen, E.; Li, B.; Magomedov, A.; Hempel, H.; Caprioglio, P.; Márquez, J.A.; Vilches, A.B.M.; Kasparavicius, E.; Smith, J.A.; et al. Monolithic perovskite/silicon tandem solar cell with >29% efficiency by enhanced hole extraction. Science 2020, 370, 1300–1309. [Google Scholar] [CrossRef]
- Yasin, S.; Moustafa, M.; Al Zoubi, T.; Laouini, G.; Abu Waar, Z. High efficiency performance of eco-friendly C2N/FASnI3 double-absorber solar cell probed by numerical analysis. Opt. Mater. 2021, 122, 111743. [Google Scholar] [CrossRef]
- Yeon, D.H.; Mohanty, B.C.; Lee, S.M.; Cho, Y.S. Effect of band-aligned double absorber layers on photovoltaic characteristics of chemical bath deposited PbS/CdS thin film solar cells. Sci. Rep. 2015, 5, 14353. [Google Scholar] [CrossRef]
- AlZoubi, T.; Moghrabi, A.; Moustafa, M.; Yasin, S. Efficiency boost of CZTS solar cells based on double-absorber architecture: Device modeling and analysis. Sol. Energy 2021, 225, 44–52. [Google Scholar] [CrossRef]
- Mamta; Maurya, K.; Singh, V. Sb2Se3/CZTS dual absorber layer based solar cell with 36.32 % efficiency: A numerical simulation. J. Sci. Adv. Mater. Devices 2022, 7, 100445. [Google Scholar] [CrossRef]
- Mahmood, J.; Lee, E.K.; Jung, M.; Shin, D.; Jeon, I.-Y.; Jung, S.-M.; Choi, H.-J.; Seo, J.-M.; Bae, S.-Y.; Sohn, S.-D.; et al. Nitrogenated holey two-dimensional structures. Nat. Commun. 2015, 6, 6486. [Google Scholar] [CrossRef]
- Chen, Z.; Li, X.; Yang, J. The Contacts of the Monolayer Semiconductor C2N with 2D Metal Electrodes. Adv. Theory Simul. 2019, 2, 1800161. [Google Scholar] [CrossRef]
- Zhang, H.; Zhang, X.; Yang, G.; Zhou, X. Point Defect Effects on Photoelectronic Properties of the Potential Metal-Free C2N Photocatalysts: Insight from First-Principles Computations. J. Phys. Chem. C 2018, 122, 5291–5302. [Google Scholar] [CrossRef]
- Sun, J.; Zhang, R.; Li, X.; Yang, J. A many-body GW + BSE investigation of electronic and optical properties of C2N. Appl. Phys. Lett. 2016, 109, 133108. [Google Scholar] [CrossRef]
- Islam, M.S.; Sobayel, K.; Al-Kahtani, A.; Islam, M.A.; Muhammad, G.; Amin, N.; Shahiduzzaman, M.; Akhtaruzzaman, M. Defect Study and Modelling of SnX3-Based Perovskite Solar Cells with SCAPS-1D. Nanomaterials 2021, 11, 1218. [Google Scholar] [CrossRef]
- He, Y.; Xu, L.; Yang, C.; Guo, X.; Li, S. Design and Numerical Investigation of a Lead-Free Inorganic Layered Double Perovskite Cs4CuSb2Cl12 Nanocrystal Solar Cell by SCAPS-1D. Nanomaterials 2021, 11, 2321. [Google Scholar] [CrossRef] [PubMed]
- Yao, H.; Liu, L. Design and Optimize the Performance of Self-Powered Photodetector Based on PbS/TiS3 Heterostructure by SCAPS-1D. Nanomaterials 2022, 12, 325. [Google Scholar] [CrossRef] [PubMed]
- Akhtaruzzaman, M.; Shahiduzzaman, M.; Amin, N.; Muhammad, G.; Islam, M.A.; Rafiq, K.S.B.; Sopian, K. Impact of Ar Flow Rates on Micro-Structural Properties of WS2 Thin Film by RF Magnetron Sputtering. Nanomaterials 2021, 11, 1635. [Google Scholar] [CrossRef] [PubMed]
- Burgelman, M.; Decock, K.; Niemegeers, A.; Verschraegen, J.; Degrave, S. SCAPS Manual; University of Ghent: Ghent, Belgium, 2019. [Google Scholar]
- Luo, D.; Su, R.; Zhang, W.; Gong, Q.; Zhu, R. Minimizing non-radiative recombination losses in perovskite solar cells. Nat. Rev. Mater. 2019, 5, 44–60. [Google Scholar] [CrossRef]
- Riquelme, A.; Bennett, L.J.; Courtier, N.E.; Wolf, M.J.; Contreras-Bernal, L.; Walker, A.B.; Richardson, G.; Anta, J.A. Identification of recombination losses and charge collection efficiency in a perovskite solar cell by comparing impedance response to a drift-diffusion model. Nanoscale 2020, 12, 17385–17398. [Google Scholar] [CrossRef]
- Shubham; Raghvendra; Pathak, C.; Pandey, S.K. Design, Performance, and Defect Density Analysis of Efficient Eco-Friendly Perovskite Solar Cell. IEEE Trans. Electron Devices 2020, 67, 2837–2843. [Google Scholar] [CrossRef]
- Mehdizadeh-Rad, H.; Singh, J. Influence of Urbach Energy, Temperature, and Longitudinal Position in the Active Layer on Carrier Diffusion Length in Perovskite Solar Cells. ChemPhysChem 2019, 20, 2712–2717. [Google Scholar] [CrossRef]
- Belaroussi, T.; Rached, D.; Rahal, W.L.; Hamdache, F. Sensitivity of a HIT c-Si Solar Cell to Structural Distortions of the Hydrogenated Amorphous Silicon Constituting the Front Face of the Device. J. Nano-Electron. Phys. 2020, 12, 5023. [Google Scholar] [CrossRef]
- Samiee, M.; Konduri, S.; Ganapathy, B.; Kottokkaran, R.; Abbas, H.A.; Kitahara, A.; Joshi, P.; Zhang, L.; Noack, M.; Dalal, V. Defect density and dielectric constant in perovskite solar cells. Appl. Phys. Lett. 2014, 105, 153502. [Google Scholar] [CrossRef]
- Zhou, Y.; Poli, I.; Meggiolaro, D.; De Angelis, F.; Petrozza, A. Defect activity in metal halide perovskites with wide and narrow bandgap. Nat. Rev. Mater. 2021, 6, 986–1002. [Google Scholar] [CrossRef]
- Burgelman, M.; Decock, K.; Khelifi, S.; Abass, A. Advanced electrical simulation of thin film solar cells. Thin Solid Films 2013, 535, 296–301. [Google Scholar] [CrossRef]
- Ball, J.M.; Petrozza, A. Defects in perovskite-halides and their effects in solar cells. Nat. Energy 2016, 1, 16149. [Google Scholar] [CrossRef]
- Shukla, S.; Sood, M.; Adeleye, D.; Peedle, S.; Kusch, G.; Dahliah, D.; Melchiorre, M.; Rignanese, G.M.; Hautier, G.; Oliver, R.; et al. Over 15% efficient wide-band-gap Cu(In,Ga)S2 solar cell: Suppressing bulk and interface recombination through composition engineering. Joule 2021, 5, 1816–1831. [Google Scholar] [CrossRef]
- Green, M.A.; Ho-Baillie, A.; Snaith, H.J. The emergence of perovskite solar cells. Nat. Photonics 2014, 8, 506–514. [Google Scholar] [CrossRef]
- Raoui, Y.; Ez-Zahraouy, H.; Tahiri, N.; El Bounagui, O.; Ahmad, S.; Kazim, S. Performance analysis of MAPbI3 based perovskite solar cells employing diverse charge selective contacts: Simulation study. Sol. Energy 2019, 193, 948–955. [Google Scholar] [CrossRef]











| Voc (V) | Jsc (mA/cm2) | FF (%) | η (%) | |
|---|---|---|---|---|
| Without Energy Distribution of Defects | 1.22 | 23.692 | 83.92 | 24.17 |
| With Energy Distribution of Defects | 1.14 | 23.634 | 81.01 | 22.12 |
| Voc (V) | Jsc (mA/cm2) | FF (%) | η (%) | |
|---|---|---|---|---|
| Single Donor | 1.3467 | 23.64038 | 84.16 | 26.79 |
| Single Acceptor | 1.3467 | 23.64012 | 84.16 | 26.79 |
| Double Donor | 1.0996 | 23.62985 | 81.09 | 21.07 |
| Double Acceptor | 1.0997 | 23.62824 | 81.71 | 21.23 |
| Voc (V) | Jsc (mA/cm2) | FF (%) | η (%) | |
|---|---|---|---|---|
| Single Donor | 1.228 | 23.63991 | 83.23 | 24.16 |
| Single Acceptor | 1.228 | 23.63899 | 83.29 | 24.18 |
| Double Donor | 1.005 | 23.29016 | 70.79 | 16.58 |
| Double Acceptor | 1.0168 | 23.42961 | 71.89 | 17.12 |
| Voc (V) | Jsc (mA/cm2) | FF (%) | η (%) | |
|---|---|---|---|---|
| Single Donor | 1.1131 | 23.51052 | 81.76 | 21.4 |
| Single Acceptor | 1.115 | 23.45095 | 82.84 | 21.66 |
| Double Donor | 0.8839 | 9.829793 | 61.15 | 5.31 |
| Double Acceptor | 0.9845 | 16.46489 | 74.39 | 12.06 |
| Voc (V) | Jsc (mA/cm2) | FF (%) | η (%) | |
|---|---|---|---|---|
| Single Donor | 1.0251 | 20.1563 | 78.86 | 16.29 |
| Single Acceptor | 1.0525 | 19.40046 | 82.35 | 16.82 |
| Double Donor | 0.7186 | 1.200655 | 63.14 | 0.54 |
| Double Acceptor | 1.0141 | 12.45877 | 72.17 | 9.12 |
Publisher’s Note: MDPI stays neutral with regard to jurisdictional claims in published maps and institutional affiliations. |
© 2022 by the authors. Licensee MDPI, Basel, Switzerland. This article is an open access article distributed under the terms and conditions of the Creative Commons Attribution (CC BY) license (https://creativecommons.org/licenses/by/4.0/).
Share and Cite
Saeed, F.; Haseeb Khan, M.; Tauqeer, H.A.; Haroon, A.; Idrees, A.; Shehrazi, S.M.; Prokop, L.; Blazek, V.; Misak, S.; Ullah, N. Numerical Investigation of Photo-Generated Carrier Recombination Dynamics on the Device Characteristics for the Perovskite/Carbon Nitride Absorber-Layer Solar Cell. Nanomaterials 2022, 12, 4012. https://doi.org/10.3390/nano12224012
Saeed F, Haseeb Khan M, Tauqeer HA, Haroon A, Idrees A, Shehrazi SM, Prokop L, Blazek V, Misak S, Ullah N. Numerical Investigation of Photo-Generated Carrier Recombination Dynamics on the Device Characteristics for the Perovskite/Carbon Nitride Absorber-Layer Solar Cell. Nanomaterials. 2022; 12(22):4012. https://doi.org/10.3390/nano12224012
Chicago/Turabian StyleSaeed, Faisal, Muhammad Haseeb Khan, Haider Ali Tauqeer, Asfand Haroon, Asad Idrees, Syed Mzhar Shehrazi, Lukas Prokop, Vojtech Blazek, Stanislav Misak, and Nasim Ullah. 2022. "Numerical Investigation of Photo-Generated Carrier Recombination Dynamics on the Device Characteristics for the Perovskite/Carbon Nitride Absorber-Layer Solar Cell" Nanomaterials 12, no. 22: 4012. https://doi.org/10.3390/nano12224012
APA StyleSaeed, F., Haseeb Khan, M., Tauqeer, H. A., Haroon, A., Idrees, A., Shehrazi, S. M., Prokop, L., Blazek, V., Misak, S., & Ullah, N. (2022). Numerical Investigation of Photo-Generated Carrier Recombination Dynamics on the Device Characteristics for the Perovskite/Carbon Nitride Absorber-Layer Solar Cell. Nanomaterials, 12(22), 4012. https://doi.org/10.3390/nano12224012

