Assisted Synthesis of Coated Iron Oxide Nanoparticles for Magnetic Hyperthermia
Abstract
:1. Introduction
2. Materials and Methods
2.1. Sample Preparation
2.2. Experimental Methods
3. Results
3.1. Starting Powders
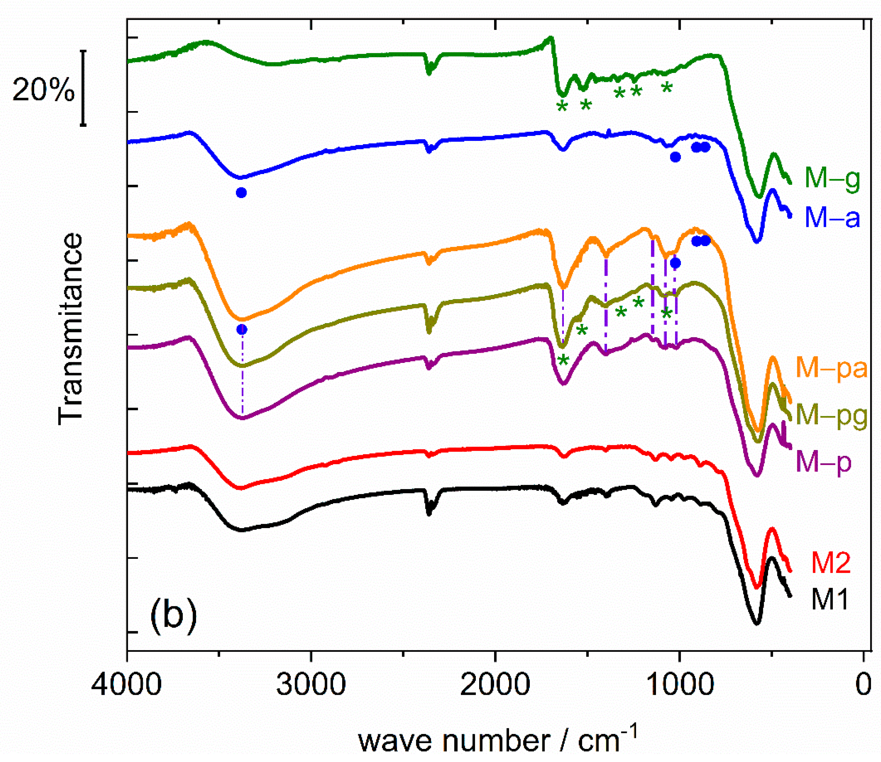
3.1.1. XRD and FTIR Characterization
3.1.2. Mössbauer Spectroscopy Study
3.1.3. SQUID Magnetometry
3.2. Characterization of Water-Based Suspensions and Ferrofluids
3.2.1. Zeta Potentials and Fe Loading
3.2.2. Particle Size and Size Distribution
3.2.3. SQUID Magnetometry
3.2.4. Magnetic Hyperthermia
4. Conclusions
Author Contributions
Funding
Institutional Review Board Statement
Informed Consent Statement
Data Availability Statement
Acknowledgments
Conflicts of Interest
References
- Tietze, R.; Zaloga, J.; Unterweger, H.; Lyer, S.; Friedrich, R.P.; Janko, C.; Pöttler, M.; Dürr, S.; Alexiou, C. Magnetic nanoparticle-based drug delivery for cancer therapy. Biochem. Biophys. Res. Commun. 2015, 468, 463–470. [Google Scholar] [CrossRef] [PubMed]
- Shokrollahi, H.; Khorramdin, A.; Isapour, G. Magnetic resonance imaging by using nano-magnetic particles. J. Magn. Magn. Mater. 2014, 369, 176–183. [Google Scholar] [CrossRef]
- Meola, A.; Rao, J.; Chaudhary, N.; Song, G.; Zheng, X.; Chang, S.D. Magnetic Particle Imaging in Neurosurgery. World Neurosurg. 2019, 125, 261–270. [Google Scholar] [CrossRef] [PubMed]
- Das, P.; Colombo, M.; Prosperi, D. Recent advances in magnetic fluid hyperthermia for cancer therapy. Colloids Surf. B Biointerfaces 2019, 174, 42–55. [Google Scholar] [CrossRef]
- Cruz, M.M.; Ferreira, L.P.; Alves, A.F.; Mendo, S.G.; Ferreira, P.; Godinho, M.; Carvalho, M.D. Nanoparticles for magnetic hyperthermia. In Nanostructures for Cancer Therapy; Ficai, A., Grumezescu, A.M., Eds.; Elsevier: Amsterdam, The Netherlands, 2017; pp. 485–511. [Google Scholar] [CrossRef]
- Brero, F.; Albino, M.; Antoccia, A.; Arosio, P.; Avolio, M.; Berardinelli, F.; Bettega, D.; Calzolari, P.; Ciocca, M.; Corti, M.; et al. Hadron Therapy, Magnetic Nanoparticles and Hyperthermia: A Promising Combined Tool for Pancreatic Cancer Treatment. Nanomaterials 2020, 10, 1919. [Google Scholar] [CrossRef]
- Salunkhe, B.; Khot, V.M.; Pawar, S.H. Magnetic hyperthermia with magnetic nanoparticles: A status review. Curr. Top. Med. Chem. 2014, 14, 572–594. [Google Scholar] [CrossRef]
- Hedayatnasab, Z.; Abnisa, F.; Daud, W.M.A.W. Review on magnetic nanoparticles for magnetic nanofluid hyperthermia application. Mater. Des. 2017, 123, 174–196. [Google Scholar] [CrossRef]
- Tombácz, E.; Turcu, R.; Socoliuc, V.; Vékás, L. Magnetic iron oxide nanoparticles: Recent trends in design and synthesis of magnetoresponsive nanosystems. Biochem. Biophys. Res. Commun. 2015, 468, 442–453. [Google Scholar] [CrossRef] [Green Version]
- Reyes-Ortega, F.; Delgado, Á.V.; Iglesias, G.R. Modulation of the Magnetic Hyperthermia Response Using Different Superparamagnetic Iron Oxide Nanoparticle Morphologies. Nanomaterials 2021, 11, 627. [Google Scholar] [CrossRef]
- Williams, J.P.; Southern, P.; Lissina, A.; Christian, H.C.; Sewell, A.K.; Phillips, R.; Pankhurst, Q.; Frater, J. Application of magnetic field hyperthermia and superparamagnetic iron oxide nanoparticles to HIV-1-specific T-cell cytotoxicity. Int. J. Nanomedicine 2013, 8, 2543–2554. [Google Scholar] [CrossRef] [Green Version]
- Gupta, A.K.; Gupta, M. Synthesis and surface engineering of iron oxide nanoparticles for biomedical applications. Biomaterials 2005, 26, 3995–4021. [Google Scholar] [CrossRef]
- Sodipo, B.K.; Aziz, A.A. Recent advances in synthesis and surface modification of superparamagnetic iron oxide nanoparticles with silica. J. Magn. Magn. Mater. 2016, 416, 275–291. [Google Scholar] [CrossRef]
- Fatima, H.; Charinpanitkul, T.; Kim, K.-S. Fundamentals to Apply Magnetic Nanoparticles for Hyperthermia Therapy. Nanomaterials 2021, 11, 1203. [Google Scholar] [CrossRef] [PubMed]
- Roca, A.G.; Gutiérrez, L.; Gavilán, H.; Brollo, M.E.F.; Veintemillas-Verdaguer, S.; Morales, M.P. Design strategies for shape-controlled magnetic iron oxide nanoparticles. Adv. Drug Deliv. Rev. 2019, 138, 68–104. [Google Scholar] [CrossRef] [PubMed]
- Wu, M.; Xiong, Y.; Jia, Y.; Niu, H.; Qi, H.; Ye, J.; Chen, Q. Magnetic field-assisted hydrothermal growth of chain-like nanostructure of magnetite. Chem. Phys. Lett. 2005, 401, 374–379. [Google Scholar] [CrossRef]
- Yoshimura, H. Protein-assisted nanoparticle synthesis. Physicochem. Eng. Asp. 2006, 282, 464–470. [Google Scholar] [CrossRef]
- Lu, A.-H.; Salabas, E.L.; Schüth, F. Magnetic Nanoparticles: Synthesis, Protection, Functionalization, and Application. Angew. Chem. Int. Ed. 2007, 46, 1222–1244. [Google Scholar] [CrossRef] [PubMed]
- Ahn, T.; Kim, J.H.; Yang, H.M.; Lee, J.W.; Kim, J.D. Formation pathways of magnetite nanoparticles by coprecipitation method. J. Phys. Chem. C. 2012, 116, 6069–6076. [Google Scholar] [CrossRef]
- Duan, H.; Wang, D.; Li, Y. Green chemistry for nanoparticle synthesis. Chem. Soc. Rev. 2015, 44, 5778–5792. [Google Scholar] [CrossRef]
- Biswal, T.; Barik, B.; Sahoo, P.K. Synthesis and Characterization of Magnetite-Pectin-Alginate Hybrid Bionanocomposite. J. Mater. Sci. Nanotechnol. 2016, 4, 1–8. [Google Scholar] [CrossRef]
- Mendo, S.G.; Alves, A.F.; Ferreira, L.P.; Cruz, M.M.; Mendonça, M.H.; Godinho, M.; Carvalho, M.D. Hyperthermia studies of ferrite nanoparticles synthesized in the presence of cotton. New J. Chem. 2015, 39, 7182–7193. [Google Scholar] [CrossRef]
- Liu, J.; Dai, C.; Hu, Y. Aqueous aggregation behavior of citric acid coated magnetite nanoparticles: Effects of pH, cations, anions, and humic acid. Environ. Res. 2018, 161, 49–60. [Google Scholar] [CrossRef]
- Sousa, M.E.; Raap, M.B.F.; Rivas, P.C.; Zélis, P.M.; Girardin, P.; Pasquevich, G.A.; Alessandrini, J.L.; Muraca, D.; Sánchez, F.H. Stability and relaxation mechanisms of citric acid coated magnetite nanoparticles for magnetic hyperthermia. J. Phys. Chem. C 2013, 117, 5436–5445. [Google Scholar] [CrossRef] [Green Version]
- Alves, A.F.; Mendo, S.G.; Ferreira, L.P.; Mendonça, M.H.; Ferreira, P.; Godinho, M.; Cruz, M.M.; Carvalho, M.D. Gelatine-assisted synthesis of magnetite nanoparticles for magnetic hyperthermia. J. Nanoparticle Res. 2016, 18, 23. [Google Scholar] [CrossRef]
- Bezdorozhev, O.; Kolodiazhnyi, T.; Vasylkiv, O. Precipitation synthesis and magnetic properties of self-assembled magnetite-chitosan nanostructures. J. Magn. Magn. Mater. 2017, 428, 406–411. [Google Scholar] [CrossRef]
- Kim, D.K.; Mikhaylova, M.; Wang, F.H.; Kehr, J.; Bjelke, B.; Zhang, Y.; Tsakalakos, T.; Muhammed, M. Starch-Coated Superparamagnetic Nanoparticles as MR Contrast Agents. Chem. Mater. 2003, 15, 4343–4351. [Google Scholar] [CrossRef]
- Goodarzi, A.; Sahoo, Y.; Swihart, M.T.; Prasad, P.N. Aqueous ferrofluid of citric acid coated magnetite particles. MRS Online Proc. Libr. 2003, 789, 129–134. [Google Scholar] [CrossRef] [Green Version]
- Colorado State University Website. Available online: https://www.research.colostate.edu/wp-content/uploads/2018/11/ZetaPotential-Introduction-in-30min-Malvern.pdf (accessed on 15 September 2021).
- Campelj, S.; Makovec, D.; Drofenik, M. Preparation and properties of water-based magnetic fluids Related content Preparation and properties of water-based magnetic fluids. J. Phys. Condens. Matter. 2008, 20, 204101. [Google Scholar] [CrossRef]
- Cheraghipour, E.; Javadpour, S.; Mehdizadeh, A.R. Citrate capped superparamagnetic iron oxide nanoparticles used for hyperthermia therapy. J. Biomed. Sci. Eng. 2012, 5, 715–719. [Google Scholar] [CrossRef] [Green Version]
- Kralj, S.; Makovec, D.; Stanislavčampelj, S.; Drofenik, M. Producing ultra-thin silica coatings on iron-oxide nanoparticles to improve their surface reactivity. J. Magn. Magn. Mater. 2010, 322, 1847–1853. [Google Scholar] [CrossRef]
- Hajdú, A.; Tombácz, E.; Illés, E.; Bica, D.; Vékás, L. Magnetite Nanoparticles Stabilized Under Physiological Conditions for Biomedical Application. In Colloids for Nano- and Biotechnology. Progress in Colloid and Polymer Science; Hórvölgyi, Z.D., Kiss, É., Eds.; Springer: Berlin/Heidelberg, Germany, 2008; Volume 135, pp. 29–37. [Google Scholar] [CrossRef]
- Barowy, D.W.; Gochev, D.; Berger, E.D. CheckCell: Data debugging for spreadsheets. ACM SIGPLAN Not. 2014, 49, 507–523. [Google Scholar] [CrossRef]
- Rasband, W.S. ImageJ, v.1.38, U.S. National Institutes of Health, Bethesda, Maryland, USA. 1997–2018. Available online: https://imagej.nih.gov/ij/ (accessed on 31 July 2021).
- Carvalho, M.D.; Henriques, F.; Ferreira, L.P.; Godinho, M.; Cruz, M.M. Iron oxide nanoparticles: The Influence of synthesis method and size on composition and magnetic properties. J. Solid State Chem. 2013, 201, 144–152. [Google Scholar] [CrossRef]
- Zhang, X.; Niu, Y.; Meng, X.; Li, Y.; Zhao, J. Structural evolution and characteristics of the phase transformations between α-Fe2O3, Fe3O4 and γ-Fe2O3 nanoparticles under reducing and oxidizing atmospheres. CrystEngComm 2013, 15, 8166–8172. [Google Scholar] [CrossRef]
- Szalai, A.J.; Manivannan, N.; Kaptay, G. Super-paramagnetic magnetite nanoparticles obtained by different synthesis and separation methods stabilized by biocompatible coatings. Colloids Surf. A Physicochem. Eng. Asp. 2019, 568, 113–122. [Google Scholar] [CrossRef]
- Roonasi, P.; Holmgren, A. An ATR-FTIR study of sulphate sorption on magnetite; rate of adsorption, surface speciation, and effect of calcium ions. J. Colloid Interface Sci. 2009, 333, 27–32. [Google Scholar] [CrossRef]
- Ahmad, M.B.; Lim, J.J.; Shameli, K.; Ibrahim, N.A.; Tay, M.Y. Synthesis of silver nanoparticles in chitosan, gelatin and chitosan/gelatin bionanocomposites by a chemical reducing agent and their characterization. Molecules 2011, 16, 7237–7248. [Google Scholar] [CrossRef] [Green Version]
- Nishinari, K.; Fang, Y. Relation between structure and rheological/thermal properties of agar. A mini-review on the effect of alkali treatment and the role of agaropectin. Food Struct. 2017, 13, 24–34. [Google Scholar] [CrossRef]
- Mostafavi, F.S.; Zaeim, D. Agar-based edible films for food packaging applications—A review. Int. J. Biol. Macromol. 2020, 159, 1165–1176. [Google Scholar] [CrossRef]
- Samiey, B.; Ashoori, F. Adsorptive removal of methylene blue by agar: Effects of NaCl and ethanol. Chem. Cent. J. 2012, 6, 14. [Google Scholar] [CrossRef] [Green Version]
- Atef, M.; Rezaei, M.; Behrooz, R. Preparation and characterization agar-based nanocomposite film reinforced by nanocrystalline cellulose. Int. J. Biol. Macromol. 2014, 70, 537–544. [Google Scholar] [CrossRef]
- Baran, T. Pd (0) nanocatalyst stabilized on a novel agar/pectin composite and its catalytic activity in the synthesis of biphenyl compounds by Suzuki-Miyaura cross coupling reaction and reduction of o-nitroaniline. Carbohydr. Polym. 2018, 195, 45–52. [Google Scholar] [CrossRef] [PubMed]
- Guerrero, P.; Garrido, T.; Leceta, I.; Caba, K. Films based on proteins and polysaccharides: Preparation and physical-chemical characterization. Eur. Polym. J. 2013, 49, 3713–3721. [Google Scholar] [CrossRef]
- Rhim, J.W.; Kanmani, P. Synthesis and characterization of biopolymer agar mediated gold nanoparticles. Mater. Lett. 2015, 141, 114–117. [Google Scholar] [CrossRef]
- Smith, D.A. Jams and Preserves | Methods of Manufacture. In Encyclopedia of Food Sciences and Nutrition; Elsevier: Baltimore, MD, USA, 2003; pp. 3409–3415. [Google Scholar] [CrossRef]
- Nasrollahzadeh, M.; Sajjadi, M.; Iravani, S.; Varma, R.S. Starch, cellulose, pectin, gum, alginate, chitin and chitosan derived (nano)materials for sustainable water treatment: A review. Carbohydr. Polym. 2021, 251, 116986. [Google Scholar] [CrossRef] [PubMed]
- Gautam, M.; Santhiya, D. Pectin/PEG food grade hydrogel blend for the targeted oral co-delivery of nutrients. Colloids Surf. A Physicochem. Eng. Asp. 2019, 577, 637–644. [Google Scholar] [CrossRef]
- Ghibaudo, F.; Gerbino, E.; Copello, G.J.; Dall’Orto, V.C.; Gómez-Zavaglia, A. Pectin-decorated magnetite nanoparticles as both iron delivery systems and protective matrices for probiotic bacteria. Colloids Surf. B Biointerfaces 2019, 180, 193–201. [Google Scholar] [CrossRef]
- Namanga, J.; Foba, J.; Ndinteh, D.T.; Yufanyi, D.M.; Krause, R.W.M. Synthesis and magnetic properties of a superparamagnetic nanocomposite “pectin-magnetite nanocomposite”. J. Nanomater. 2013, 2013, 137275. [Google Scholar] [CrossRef]
- Sahu, S.; Dutta, R.K. Novel hybrid nanostructured materials of magnetite nanoparticles and pectin. J. Magn. Magn. Mater. 2011, 323, 980–987. [Google Scholar] [CrossRef]
- Urias-Orona, V.; Rascón-Chu, A.; Lizardi-Mendoza, J.; Carvajal-Millán, E.; Gardea, A.A.; Ramírez-Wong, B. A novel pectin material: Extraction, characterization and gelling properties. Int. J. Mol. Sci. 2010, 11, 3686–3695. [Google Scholar] [CrossRef] [Green Version]
- Amirian, J.; Zeng, Y.; Shekh, M.I.; Sharma, G.; Stadler, F.J.; Song, J.; Du, B.; Zhu, Y. In-situ crosslinked hydrogel based on amidated pectin/oxidized chitosan as potential wound dressing for skin repairing. Carbohydr. Polym. 2021, 251, 117005. [Google Scholar] [CrossRef]
- Martínez-Sanz, M.; Gómez-Mascaraque, L.G.; Ballester, A.R.; Martínez-Abad, A.; Brodkorb, A.; López-Rubio, A. Production of unpurified agar-based extracts from red seaweed Gelidium sesquipedale by means of simplified extraction protocols. Algal Res. 2019, 38, 101420. [Google Scholar] [CrossRef]
- Oh, S.J.; Cook, D.C.; Townsend, H.E. Characterization of iron oxides commonly formed as corrosion products on steel. Hyperfine Interact. 1998, 112, 59–66. [Google Scholar] [CrossRef]
- Gittleman, J.; Abeles, B.; Bozowski, S. Superparamagnetism and relaxation effects in granular Ni-SiO2 and Ni-Al2O3 films. Phys. Rev. B 1974, 9, 3891–3897. [Google Scholar] [CrossRef]
- Hansen, M.F.; Mørup, S. Estimation of blocking temperatures from ZFC/FC curves. J. Magn. Magn. Mater. 1999, 203, 214–216. [Google Scholar] [CrossRef]
- Cullity, B.D.; Graham, C.D. Introduction to Magnetic Materials, 2nd ed.; John Wiley & Sons: Hoboken, NJ, USA, 2009. [Google Scholar]
- Kumar, A.; Dixit, C.K. Methods for characterization of nanoparticles. In Advances in Nanomedicine for the Delivery of Therapeutic Nucleic Acids; Nimesh, S., Chandra, R., Gupta, N., Eds.; Elsevier: Duxford, UK, 2017; pp. 44–58. [Google Scholar] [CrossRef]
- Lowry, G.V.; Hill, R.J.; Harper, S.; Rawle, A.F.; Hendren, C.O.; Klaessig, F.; Nobbmann, U.; Sayre, P.; Rumble, J. Guidance to improve the scientific value of zeta-potential measurements in nanoEHS. Environ. Sci. Nano 2016, 3, 953–965. [Google Scholar] [CrossRef]
- Sharma, P.; Holliger, N.; Pfromm, P.H.; Liu, B.; Chikan, V. Size-Controlled Synthesis of Iron and Iron Oxide Nanoparticles by the Rapid Inductive Heating Method. ACS Omega 2020, 5, 19853–19860. [Google Scholar] [CrossRef]
- Szekeres, M.; Tóth, I.Y.; Illés, E.; Hajdú, A.; Zupkó, I.; Farkas, K.; Oszlánczi, G.; Tiszlavicz, L.; Tombácz, E. Chemical and colloidal stability of carboxylated core-shell magnetite nanoparticles designed for biomedical applications. Int. J. Mol. Sci. 2013, 14, 14550–14574. [Google Scholar] [CrossRef] [Green Version]
- Azeredo, H.M.C.; Waldron, K.W. Crosslinking in polysaccharide and protein films and coatings for food contact—A review. Trends Food Sci. Technol. 2016, 52, 109–122. [Google Scholar] [CrossRef]
- Uranga, J.; Nguyen, B.T.; Si, T.T.; Guerrero, P.; Caba, K. The Effect of Cross-Linking with Citric Acid on the Properties of Agar/Fish Gelatin Films. Polymers 2020, 12, 291. [Google Scholar] [CrossRef] [Green Version]
- Yannas, I.V.; Tobolsky, A.V. Cross-linking of gelatine by dehydration. Nature 1967, 215, 509–510. [Google Scholar] [CrossRef]
- Qi, J.; Zhang, W.W.; Feng, X.C.; Yu, J.H.; Han, M.Y.; Deng, S.L.; Zhou, G.H.; Wang, H.H.; Xu, X.L. Thermal degradation of gelatin enhances its ability to bind aroma compounds: Investigation of underlying mechanisms. Food Hydrocoll. 2018, 83, 497–510. [Google Scholar] [CrossRef]
- Wells, J.; Ortega, D.; Steinhoff, U.; Dutz, S.; Garaio, E.; Sandre, O.; Natividad, E.; Cruz, M.M.; Brero, F.; Southern, P.; et al. RADIOMAG consortium. Challenges and recommendations for magnetic hyperthermia characterization measurements. Int. J. Hyperth. 2021, 38, 447–460. [Google Scholar] [CrossRef] [PubMed]
- Lanier, O.L.; Korotych, O.I.; Monsalve, A.G.; Wable, D.; Savliwala, S.; Grooms, N.W.F.; Nacea, C.; Tuitt, O.R.; Dobson, J. Evaluation of magnetic nanoparticles for magnetic fluid hyperthermia. Int. J. Hyperth. 2021, 36, 686–700. [Google Scholar] [CrossRef] [PubMed]
- Ota, S.; Trisnanto, S.B.; Takeuchi, S.; Wu, J.; Cheng, Y.; Takemura, Y. Quantitation method of loss powers using commercial magnetic nanoparticles based on superparamagnetic behavior influenced by anisotropy for hyperthermia. J. Magn. Magn. Mater. 2021, 538, 168313. [Google Scholar] [CrossRef]















| Medium Type | Sample |
|---|---|
| None | M1 |
| None | M2 |
| Gelatin | M–g |
| Pectigel | M–p |
| Agar | M–a |
| Pectigel–Gelatin | M–pg |
| Pectigel–Agar | M–pa |
| Sample | <DXRD>/nm | a/Å |
|---|---|---|
| M1 | 16 | 8.352(4) |
| M2 | 12 | 8.372(7) |
| M–g | 11 | 8.356(2) |
| M–p | 10 | 8.366(5) |
| M–a | 11 | 8.351(3) |
| M–pg | 9 | 8.355(5) |
| M–pa | 12 | 8.349(2) |
| Wavenumber/cm−1 | Vibration Mode | ||
|---|---|---|---|
| M–p | M–pg | M–pa | |
| 3374 (vs) | 3330 (vs) | 3379 (vs) | O-H stretching |
| 1631 (s) | 1636 (s) | 1631 (s) | C=O asym. stretching (carboxylate)/amide I |
| - | 1546 (m) | - | NH bending/C-N stretch (amide) |
| 1400 (m) | 1401(m) | 1398(m) | C=O sym. stretching carboxylate; C-H bending; O-H bending |
| 1086 (m) | 1080 (m) | 1063 (m) | C-O stretching |
| - | - | 1045 (m) | C-O stretching, C-C/C-O-H bending [45] |
| 1021 (m) | 1021(m) | 1021 (m) | Glycosidic bond |
| - | - | 930 (w) | 3,6-Anhydro-galactose [56] |
| - | - | 891 (w) | C-H bending β-galactopyranosyl [56] |
| 622 (sh) 578 (vs) 436 (vs) | 615(sh) 572 (vs) 440 (vs) | 625(sh) 575 (vs) 436 (vs) | Fe–O-related |
| Sample | Site | <Bhf>(σ) T | IS mm s−1 | ε mm s−1 | Γ mm s−1 | I % |
|---|---|---|---|---|---|---|
| M1 | 1 (cyan) | 43(9) | 0.29(1) | −0.01(1) | 0.40 | 75.6 |
| 2 (green) | 41(10) | 0.56(1) | −0.09(1) | 0.30 | 24.4 | |
| M2 | 1 (cyan) | 38(12) | 0.28(1) | 0.01(1) | 0.45 | 74.2 |
| 2 (green) | 37(10) | 0.65(1) | 0.01 | 0.35 | 25.8 |
| Sample | Site | <Bhf>(σ) T | IS mm s−1 | ε mm s−1 | QS mm s−1 | Γ mm s−1 | I % |
|---|---|---|---|---|---|---|---|
| M–g | 1 (cyan) | 40(11) | 0.28(1) | −0.01(1) | - | 0.55 | 80.2 |
| 2 (green) | 38(12) | 0.63(1) | −0.01 | - | 0.35 | 19.8 | |
| M–p | 1 (cyan) | 29(13) | 0.34(1) | −0.01(1) | - | 0.45 | 73.2 |
| 3 | - | 0.34(1) | - | 0.66(1) | 0.78(1) | 26.8 | |
| M–a | 1 (cyan) | 35(13) | 0.27(1) | −0.006 (8) | - | 0.55 | 71.7 |
| 2 (green) | 33(13) | 0.62(2) | −0.01 | - | 0.40 | 28.3 |
| Sample | Site | <Bhf>(σ) T | IS mm s−1 | ε mm s−1 | QS mm s−1 | Γ mm s−1 | I % |
|---|---|---|---|---|---|---|---|
| M–pg | 1 (cyan) | 36(12) | 0.33(1) | −0.01(1) | - | 0.55 | 89.4 |
| 3 | - | 0.32(1) | - | 0.68(1) | 0.72(3) | 10.6 | |
| M–pa | 1 (cyan) | 37(12) | 0.33(1) | −0.02(1) | - | 0.60 | 96.0 |
| 3 | - | 0.33(1) | - | 0.62(1) | 0.68(4) | 4.0 |
| Sample | mCA/mMNP | ζ mV | pH | CFe [ICP] mg/mL | CFe [LabCal] mg/mL |
|---|---|---|---|---|---|
| M1_CA | 1.2 | −18.5 ± 0.5 | 7.73 | 2.7 | 2.6 |
| M2_CA | 1.6 | −33.8 ± 1.5 | 7.98 | - | 2.7 |
| M–g_CA | 1.4 | −20.0 ± 0.1 | 7.78 | 6.3 | 6.4 |
| M–p_CA | 1.3 | −32.1 ± 0.8 | 7.88 | 6.7 | 7.3 |
| M–a_CA | 1.6 | −31.1 ± 1.5 | 7.41 | 4.4 | 4.4 |
| M–pg_CA | 1.3 | −14.9 ± 1.6 | 7.54 | 5.0 | 5.5 |
| M–pa_CA | 1.2 | −18.7 ± 0.0 | 7.16 | 7.1 | 7.7 |
| M–p_MQ | - | −36.0 ± 0.1 | 7.20 | - | 2.1 |
| M–pa_MQ | - | −37.8 ± 1.9 | 7.60 | - | 2.2 |
| Sample | <DTEM>/nm | <DXRD>/nm |
|---|---|---|
| M1_CA | 15(4) | 16 |
| M2_CA | 9(2) | 12 |
| M–g_CA | 6(3) | 11 |
| M–p_CA | 7(4) | 10 |
| M–a_CA | 9(3) | 11 |
| M–pg_CA | 8(2) | 9 |
| M–pa_CA | 9(3) | 12 |
| Sample | CFe[LabCal] mg/mL | Ciron oxide mg/mL | CFe (MNP) mg/mL | CFe (MNP)/CFe[LabCal] |
|---|---|---|---|---|
| M1_CA | 4.6 | 3.61 | 2.53 | 55% |
| M2_CA | 2.7 | 2.05 | 1.44 | 57% |
| M–g_CA | 6.4 | 0.13 | 0.09 | 1% |
| M–p_CA | 7.3 | 4.56 | 3.19 | 44% |
| M–a_CA | 4.4 | 3.44 | 2.41 | 54% |
| M–pg_CA | 5.5 | 2.12 | 1.48 | 27% |
| M–pa_CA | 7.7 | 7.00 | 4.9 | 64% |
| M–p_MQ | 2.1 | 3.01 | 2.11 | 100% |
| M–pa_MQ | 2.2 | 3.07 | 2.15 | 100% |
| Sample | SLP | ILP |
|---|---|---|
| M1_CA | 230 | 6.84 |
| M2_CA | 64 | 2.31 |
| M–g_CA | 0 | 0.0 |
| M–p_CA | 79 | 2.83 |
| M–a_CA | 55 | 1.98 |
| M–pg_CA | 78 | 2.80 |
| M–pa_CA | 132 | 4.74 |
| M–p_MQ | 43 | 1.54 |
| M–pa_MQ | 100 | 3.60 |
Publisher’s Note: MDPI stays neutral with regard to jurisdictional claims in published maps and institutional affiliations. |
© 2022 by the authors. Licensee MDPI, Basel, Switzerland. This article is an open access article distributed under the terms and conditions of the Creative Commons Attribution (CC BY) license (https://creativecommons.org/licenses/by/4.0/).
Share and Cite
Ferreira, L.P.; Reis, C.P.; Robalo, T.T.; Melo Jorge, M.E.; Ferreira, P.; Gonçalves, J.; Hajalilou, A.; Cruz, M.M. Assisted Synthesis of Coated Iron Oxide Nanoparticles for Magnetic Hyperthermia. Nanomaterials 2022, 12, 1870. https://doi.org/10.3390/nano12111870
Ferreira LP, Reis CP, Robalo TT, Melo Jorge ME, Ferreira P, Gonçalves J, Hajalilou A, Cruz MM. Assisted Synthesis of Coated Iron Oxide Nanoparticles for Magnetic Hyperthermia. Nanomaterials. 2022; 12(11):1870. https://doi.org/10.3390/nano12111870
Chicago/Turabian StyleFerreira, Liliana P., César P. Reis, Tiago T. Robalo, M. E. Melo Jorge, Paula Ferreira, Joana Gonçalves, Abdollah Hajalilou, and Maria Margarida Cruz. 2022. "Assisted Synthesis of Coated Iron Oxide Nanoparticles for Magnetic Hyperthermia" Nanomaterials 12, no. 11: 1870. https://doi.org/10.3390/nano12111870
APA StyleFerreira, L. P., Reis, C. P., Robalo, T. T., Melo Jorge, M. E., Ferreira, P., Gonçalves, J., Hajalilou, A., & Cruz, M. M. (2022). Assisted Synthesis of Coated Iron Oxide Nanoparticles for Magnetic Hyperthermia. Nanomaterials, 12(11), 1870. https://doi.org/10.3390/nano12111870

