Efficient Biexciton Preparation in a Quantum Dot—Metal Nanoparticle System Using On-Off Pulses
Abstract
:1. Introduction
2. Coupled SQD-MNP System
3. Biexciton State Preparation Using on-off Pulses
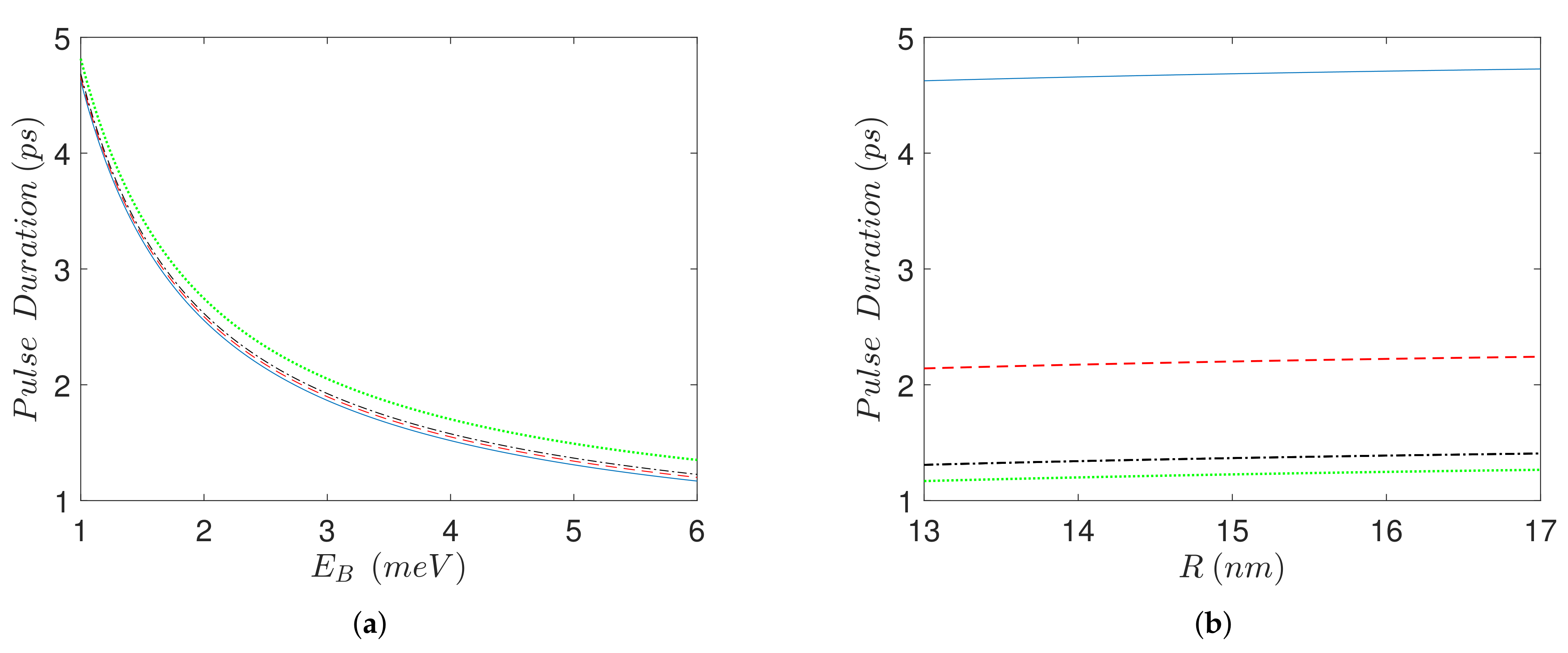
4. Numerical Results for the Coupled SQD-MNP System
5. Conclusions
Author Contributions
Funding
Institutional Review Board Statement
Informed Consent Statement
Data Availability Statement
Conflicts of Interest
Abbreviations
| SQD | Semiconductor Quantum Dot |
| MNP | Metal Nanoparticle |
References
- Tame, M.S.; McEnery, K.R.; Ozdemir, S.K.; Lee, J.; Maier, S.A.; Kim, M.S. Quantum plasmonics. Nat. Phys. 2013, 9, 329–340. [Google Scholar] [CrossRef] [Green Version]
- Szychowski, B.; Pelton, M.; Daniel, M.C. Preparation and properties of plasmonic-excitonic nanoparticle assemblies. Nanophotonics 2019, 8, 517. [Google Scholar] [CrossRef]
- Cheng, M.-T.; Liu, S.-D.; Zhou, H.-J.; Hao, Z.-H.; Wang, Q.-Q. Coherent exciton–plasmon interaction in the hybrid semiconductor quantum dot and metal nanoparticle complex. Opt. Lett. 2007, 32, 2125–2127. [Google Scholar] [CrossRef]
- Sadeghi, S.M. The inhibition of optical excitations and enhancement of Rabi flopping in hybrid quantum dot-metallic nanoparticle systems. Nanotechnology 2009, 20, 225401. [Google Scholar] [CrossRef]
- Sadeghi, S.M. Plasmonic metaresonances: Molecular resonances in quantum dot–metallic nanoparticle conjugates. Phys. Rev. B 2009, 79, 233309. [Google Scholar] [CrossRef]
- Sadeghi, S.M. Tunable nanoswitches based on nanoparticle meta-molecules. Nanotechnology 2010, 21, 355501. [Google Scholar] [CrossRef] [PubMed]
- Sadeghi, S.M. Coherent control of metallic nanoparticles near fields: Nanopulse controllers and functional nanoamplifiers. Phys. Rev. B 2010, 82, 035413. [Google Scholar] [CrossRef]
- Nugroho, B.S.; Iskandar, A.A.; Malyshev, V.A.; Knoester, J. Bistable optical response of a nanoparticle heterodimer: Mechanism, phase diagram, and switching time. J. Chem. Phys. 2013, 139, 014303. [Google Scholar] [CrossRef] [PubMed] [Green Version]
- Carreño, F.; Antón, M.A.; Paspalakis, E. Nonlinear optical rectification and optical bistability in a coupled asymmetric quantum dot-metal nanoparticle hybrid. J. Appl. Phys. 2018, 124, 113107. [Google Scholar] [CrossRef]
- Antón, M.A.; Carreño, F.; Melle, S.; Calderón, O.G.; Cabrera-Granado, E.; Cox, J.; Singh, M.R. Plasmonic effects in excitonic population transfer in a driven semiconductor–metal nanoparticle hybrid system. Phys. Rev. B 2012, 86, 155305. [Google Scholar] [CrossRef] [Green Version]
- Antón, M.A.; Carreño, F.; Melle, S.; Calderón, O.G.; Cabrera-Granado, E.; Singh, M.R. Optical pumping of a single hole spin in a p-doped quantum dot coupled to a metallic nanoparticle. Phys. Rev. B 2013, 87, 195303. [Google Scholar] [CrossRef] [Green Version]
- Paspalakis, E.; Evangelou, S.; Terzis, A.F. Control of excitonic population inversion in a coupled semiconductor quantum dot–metal nanoparticle system. Phys. Rev. B 2013, 87, 235302. [Google Scholar] [CrossRef]
- Yang, W.X.; Chen, A.X.; Huang, Z.; Lee, R.K. Ultrafast optical switching in quantum dot-metallic nanoparticle hybrid systems. Opt. Express 2015, 23, 13032. [Google Scholar] [CrossRef]
- McMillan, R.J.; Stella, L.; Grüning, M. Projected equations of motion approach to hybrid quantum/classical dynamics in dielectric-metal composites. Phys. Rev. B 2016, 94, 125312. [Google Scholar] [CrossRef] [Green Version]
- Qi, Y.; Shu, C.-C.; Dong, D.-Y.; Petersen, I.R.; Jacobs, K.; Gong, S.-Q. Fast quantum state transfer in hybrid quantum dot-metal nanoparticle systems by shaping ultrafast laser pulses. J. Phys. D Appl. Phys. 2019, 52, 425101. [Google Scholar] [CrossRef]
- Smponias, A.; Stefanatos, D.; Paspalakis, E. Fast and robust exciton preparation in a coupled semiconductor quantum dot–metal nanoparticle system using shortcuts to adiabaticity. J. Appl. Phys. 2021, 129, 123107. [Google Scholar] [CrossRef]
- Zhang, W.; Govorov, A.O.; Bryant, G.W. Semiconductor-metal nanoparticle molecules: Hybrid excitons and the nonlinear Fano effect. Phys. Rev. Lett. 2006, 97, 146804. [Google Scholar] [CrossRef] [Green Version]
- Yan, J.-Y.; Zhang, W.; Duan, S.-Q.; Zhao, X.-G.; Govorov, A.O. Optical properties of coupled metal-semiconductor and metal-molecule nanocrystal complexes: Role of multipole effects. Phys. Rev. B 2008, 77, 165301. [Google Scholar] [CrossRef] [Green Version]
- Mohammadzadeh, A.; Miri, M. Optical response of hybrid semiconductor quantum dot-metal nanoparticle system: Beyond the dipole approximation. J. Appl. Phys. 2018, 123, 043111. [Google Scholar] [CrossRef] [Green Version]
- Artuso, R.D.; Bryant, G.W. Strongly coupled quantum dot-metal nanoparticle systems: Exciton-induced transparency, discontinuous response, and suppression as driven quantum oscillator effects. Phys. Rev. B 2010, 82, 195419. [Google Scholar] [CrossRef]
- Malyshev, A.V.; Malyshev, V.A. Optical bistability and hysteresis of a hybrid metal-semiconductor nanodimer. Phys. Rev. B 2011, 84, 035314. [Google Scholar] [CrossRef]
- Hatef, A.; Sadeghi, S.M.; Singh,, M.R. Coherent molecular resonances in quantum dot–metallic nanoparticle systems: Coherent self-renormalization and structural effects. Nanotechnology 2012, 23, 205203. [Google Scholar] [CrossRef] [PubMed]
- Kosionis, S.G.; Terzis, A.F.; Sadeghi, S.M.; Paspalakis, E. Optical response of a quantum dot-metal nanoparticle hybrid interacting with a weak probe field. J. Phys. Condens. Matter 2013, 25, 045304. [Google Scholar] [CrossRef] [PubMed]
- Zhao, D.-X.; Gu, Y.; Wu, J.; Zhang, J.-X.; Zhang, T.-C.; Gerardot, B.D.; Gong, Q.-H. Quantum-dot gain without inversion: Effects of dark plasmon-exciton hybridization. Phys. Rev. B 2014, 89, 245433. [Google Scholar] [CrossRef] [Green Version]
- Schindel, D.; Singh, M.R. A study of energy absorption rate in a quantum dot and metallic nanosphere hybrid system. J. Phys. Condens. Matter 2015, 27, 345301. [Google Scholar] [CrossRef]
- Kosionis, S.G.; Paspalakis, E. Control of self-Kerr nonlinearity in a driven coupled semiconductor quantum dot–metal nanoparticle structure. J. Phys. Chem. C 2019, 123, 7308. [Google Scholar] [CrossRef]
- You, Y.; Qi, Y.-H.; Niu, Y.-P.; Gong, S.-Q. Control of electromagnetically induced grating by surface plasmon and tunneling in a hybrid quantum dot-metal nanoparticle system. J. Phys. Condens. Matter 2019, 31, 105801. [Google Scholar] [CrossRef]
- Singh, M.R.; Yastrebov, S. Dipole—Dipole interaction in two-photon spectroscopy of metallic nanohybrids. J. Phys. Chem. C 2020, 124, 12065. [Google Scholar] [CrossRef]
- Flissikowski, T.; Betke, A.; Akimov, I.A.; Henneberger, F. Two-photon coherent control of a single quantum dot. Phys. Rev. Lett. 2004, 92, 227401. [Google Scholar] [CrossRef]
- Akimov, I.A.; Andrews, J.T.; Henneberger, F. Stimulated emission from the biexciton in a single self-assembled II-VI quantum dot. Phys. Rev. Lett. 2006, 96, 067401. [Google Scholar] [CrossRef] [PubMed] [Green Version]
- Stufler, S.; Machnikowski, P.; Ester, P.; Bichler, M.; Axt, V.M.; Kuhn, T.; Zrenner, A. Two-photon Rabi oscillations in a single InxGa1-xAs/GaAs quantum dot. Phys. Rev. B 2006, 73, 125304. [Google Scholar] [CrossRef]
- Hui, H.Y.; Liu, R.B. Proposal for geometric generation of a biexciton in a quantum dot using a chirped pulse. Phys. Rev. B 2006, 78, 155315. [Google Scholar] [CrossRef] [Green Version]
- Machnikowski, P. Theory of two-photon processes in quantum dots: Coherent evolution and phonon-induced dephasing. Phys. Rev. B 2008, 78, 195320. [Google Scholar] [CrossRef] [Green Version]
- Paspalakis, E. Controlled preparation of a biexciton state in a quantum dot. J. Comput. Theor. Nanosci. 2010, 7, 1717. [Google Scholar] [CrossRef]
- Glässl, M.; Barth, A.; Gawarecki, K.; Machnikowski, P.; Croitoru, M.D.; Lüker, S.; Reiter, D.E.; Kuhn, T.; Axt, V.M. Biexciton state preparation in a quantum dot via adiabatic rapid passage: Comparison between two control protocols and impact of phonon-induced dephasing. Phys. Rev. B 2013, 87, 085303. [Google Scholar] [CrossRef] [Green Version]
- Debnath, A.; Meier, C.; Chatel, B.; Amand, T. High-fidelity biexciton generation in quantum dots by chirped laser pulses. Phys. Rev. B 2013, 88, 201305(R). [Google Scholar] [CrossRef]
- Bensky, G.; Nair, S.V.; Ruda, H.E.; Dasgupta, S.; Kurizki, G.; Brumer, P. Highly efficient biexciton preparation for quantum-dot entangled photon generation. J. Phys. B At. Mol. Opt. Phys. 2013, 46, 055503. [Google Scholar] [CrossRef]
- Reiter, D.E.; Kuhn, T.; Glässl, M.; Axt, V.M. The role of phonons for exciton and biexciton generation in an optically driven quantum dot. J. Phys. Condens. Matter 2014, 26, 423203. [Google Scholar] [CrossRef] [PubMed] [Green Version]
- Ardelt, P.-L.; Hanschke, L.; Fischer, K.A.; Müller, K.; Kleinkauf, A.; Koller, M.; Bechtold, A.; Simmet, T.; Wierzbowski, J.; Riedl, H.; et al. Dissipative preparation of the exciton and biexciton in self-assembled quantum dots on picosecond time scales. Phys. Rev. B 2014, 90, 241404(R). [Google Scholar] [CrossRef] [Green Version]
- Quilter, J.H.; Brash, A.J.; Liu, F.; Glässl, M.; Barth, A.M.; Axt, V.M.; Ramsay, A.J.; Skolnick, M.S.; Fox, A.M. Phonon-assisted population inversion of a single InGaAs/GaAs quantum dot by pulsed laser excitation. Phys. Rev. Lett. 2015, 114, 137401. [Google Scholar] [CrossRef] [Green Version]
- Bounouar, S.; Müller, M.; Barth, A.M.; Glässl, M.; Axt, V.M.; Michler, P. Phonon-assisted robust and deterministic two-photon biexciton preparation in a quantum dot. Phys. Rev. B 2015, 91, 161302(R). [Google Scholar] [CrossRef] [Green Version]
- Kaldewey, T.; Lüker, S.; Kuhlmann, A.V.; Valentin, S.R.; Ludwig, A.; Wieck, A.D.; Reiter, D.E.; Kuhn, T.; Warburton, R.J. Coherent and robust high-fidelity generation of a biexciton in a quantum dot by rapid adiabatic passage. Phys. Rev. B 2017, 95, 161302(R). [Google Scholar] [CrossRef] [Green Version]
- Stefanatos, D.; Paspalakis, E. Rapid biexciton-state preparation in a quantum dot using on-off pulse sequences. Phys. Rev. A 2020, 102, 052618. [Google Scholar] [CrossRef]
- Jayakumar, H.; Predojević, A.; Huber, T.; Kauten, T.; Solomon, G.S.; Weihs, G. Deterministic photon pairs and coherent optical control of a single quantum dot. Phys. Rev. Lett. 2013, 110, 135505. [Google Scholar] [CrossRef]
- Müller, M.; Bounouar, S.; Jöns, K.D.; Glässl, M.; Michler, P. On-demand generation of indistinguishable polarization-entangled photon pairs. Nat. Photon. 2014, 8, 224. [Google Scholar] [CrossRef] [Green Version]
- Heinze, D.; Breddermann, D.; Zrenner, A.; Schumacher, S. A quantum dot single-photon source with on-the-fly all-optical polarization control and timed emission. Nat. Commun. 2015, 6, 8473. [Google Scholar] [CrossRef] [PubMed] [Green Version]
- Winik, R.; Cogan, D.; Don, Y.; Schwartz, I.; Gantz, L.; Schmidgall, E.R.; Livneh, N.; Rapaport, R.; Buks, E.; Gershoni, D. On-demand source of maximally entangled photon pairs using the biexciton-exciton radiative cascade. Phys. Rev. B 2017, 95, 235435. [Google Scholar] [CrossRef] [Green Version]
- Huber, D.; Reindl, M.; Huo, Y.-H.; Huang, H.-Y.; Wildmann, J.S.; Schmidt, O.G.; Rastelli, A.; Trotta, R. Highly indistinguishable and strongly entangled photons from symmetric GaAs quantum dots. Nat. Commun. 2017, 8, 15506. [Google Scholar] [CrossRef] [PubMed]
- Chen, Y.; Zopf, M.; Keil, R.; Ding, F.; Schmidt, O.G. Highly-efficient extraction of entangled photons from quantum dots using a broadband optical antenna. Nat. Commun. 2018, 9, 2994. [Google Scholar] [CrossRef]
- Michler, P. (Ed.) Quantum Dots for Quantum Information Technologies; Springer: Berlin/Heidelberg, Germany, 2017; ISBN 978-331-956-377-0. [Google Scholar]
- Matsuzaki, K.; Vassant, S.; Liu, H.-W.; Dutschke, A.; Hoffmann, B.; Chen, X.; Christiansen, S.; Buck, M.R.; Hollingsworth, J.A.; Götzinger, S.; et al. Strong plasmonic enhancement of biexciton emission: Controlled coupling of a single quantum dot to a gold nanocone antenna. Scient. Rep. 2017, 7, 42307. [Google Scholar] [CrossRef] [PubMed] [Green Version]
- Krivenkov, V.; Goncharov, S.; Samokhvalov, P.; Sanchez-Iglesias, A.; Grzelczak, M.; Nabiev, I.; Rakovich, Y. Enhancement of biexciton emission due to long-range interaction of single quantum dots and gold nanorods in a thin-film hybrid nanostructure. J. Phys. Chem. Lett. 2019, 10, 481. [Google Scholar] [CrossRef] [PubMed]
- Maksymov, I.S.; Miroshnichenko, A.E.; Kivshar, Y.S. Plasmonic nanoantennas for efficient control of polarization-entangled photon pairs. Phys. Rev. A 2012, 86, 011801. [Google Scholar] [CrossRef] [Green Version]
- Nugroho, B.S.; Iskandar, A.A.; Malyshev, V.A.; Knoester, J. Plasmon-assisted two-photon Rabi oscillations in a semiconductor quantum dot–metal nanoparticle heterodimer. Phys. Rev. B 2019, 99, 075302. [Google Scholar] [CrossRef] [Green Version]
- Paspalakis, E.; Smponias, A.; Stefanatos, D. Coherent preparation of the biexciton state in a semiconductor quantum dot coupled to a metallic nanoparticle. J. Appl. Phys. 2021, 129, 223104. [Google Scholar] [CrossRef]
- Nugroho, B.S.; Malyshev, V.A.; Knoester, J. Tailoring optical response of a hybrid comprising a quantum dimer emitter strongly coupled to a metallic nanoparticle. Phys. Rev. B 2015, 92, 165432. [Google Scholar] [CrossRef] [Green Version]
- Sadeghi, S.M.; Hatef, A.; Fortin-Deschenes, S.; Meunier, M. Coherent confinement of plasmonic field in quantum dot–metallic nanoparticle molecules. Nanotechnology 2013, 24, 205201. [Google Scholar] [CrossRef]
- Stefanatos, D.; Paspalakis, E. Speeding up adiabatic passage with an optimal modified Roland–Cerf protocol. J. Phys. A Math. Theor. 2020, 53, 115304. [Google Scholar] [CrossRef] [Green Version]
- Rana, S.; Kabi, S.; Misra, K.P.; Chattopadhyay, S. Exciton and biexciton binding energy calculation in a core shell quantum dot. IOP Conf. Ser. Mater. Sci. Eng. 2021, 1080, 012012. [Google Scholar] [CrossRef]
- Schneebeli, L.; Feldtmann, T.; Kira, M.; Koch, S.W.; Peyghambarian, N. Zeno-logic applications of semiconductor quantum dots. Phys. Rev. A 2010, 81, 053852. [Google Scholar] [CrossRef]
- Johnson, P.B.; Christy, R.W. Optical constants of the noble metals. Phys. Rev. B 1972, 6, 4370. [Google Scholar] [CrossRef]
- Grabert, H.; Nalbach, P.; Reichert, J.; Thorwart, M. Nonequilibrium response of nanosystems coupled to driven quantum baths. J. Phys. Chem. Lett. 2016, 7, 2015. [Google Scholar] [CrossRef] [PubMed]
- Stefanatos, D.; Karanikolas, V.; Iliopoulos, N.; Paspalakis, E. Fast spin initialization of a quantum dot in the Voigt configuration coupled to a graphene layer. Phys. E Low Dimens. Syst. Nanostruct. 2020, 117, 113810. [Google Scholar] [CrossRef]
- Stefanatos, D.; Karanikolas, V.; Iliopoulos, N.; Paspalakis, E. Fast optically controlled spin initialization of a quantum dot in the Voigt geometry coupled to a transition metal dichalcogenide monolayer. Phys. E Low Dimens. Syst. Nanostruct. 2020, 118, 113935. [Google Scholar] [CrossRef]
- Stefanatos, D.; Karanikolas, V.; Iliopoulos, N.; Paspalakis, E. Rapid optical spin initialization of a quantum dot in the Voigt geometry coupled to a two-dimensional semiconductor. Appl. Sci. 2020, 10, 1001. [Google Scholar] [CrossRef] [Green Version]






Publisher’s Note: MDPI stays neutral with regard to jurisdictional claims in published maps and institutional affiliations. |
© 2021 by the authors. Licensee MDPI, Basel, Switzerland. This article is an open access article distributed under the terms and conditions of the Creative Commons Attribution (CC BY) license (https://creativecommons.org/licenses/by/4.0/).
Share and Cite
Smponias, A.; Stefanatos, D.; Paspalakis, E. Efficient Biexciton Preparation in a Quantum Dot—Metal Nanoparticle System Using On-Off Pulses. Nanomaterials 2021, 11, 1859. https://doi.org/10.3390/nano11071859
Smponias A, Stefanatos D, Paspalakis E. Efficient Biexciton Preparation in a Quantum Dot—Metal Nanoparticle System Using On-Off Pulses. Nanomaterials. 2021; 11(7):1859. https://doi.org/10.3390/nano11071859
Chicago/Turabian StyleSmponias, Athanasios, Dionisis Stefanatos, and Emmanuel Paspalakis. 2021. "Efficient Biexciton Preparation in a Quantum Dot—Metal Nanoparticle System Using On-Off Pulses" Nanomaterials 11, no. 7: 1859. https://doi.org/10.3390/nano11071859
APA StyleSmponias, A., Stefanatos, D., & Paspalakis, E. (2021). Efficient Biexciton Preparation in a Quantum Dot—Metal Nanoparticle System Using On-Off Pulses. Nanomaterials, 11(7), 1859. https://doi.org/10.3390/nano11071859

