Next Article in Journal
Influence of Sulphur Content on Structuring Dynamics during Nanosecond Pulsed Direct Laser Interference Patterning
Next Article in Special Issue
Thermal Stability, Blocking Regime and Superparamagnetic Behavior in Mn-Al-C Melt Spun Ribbons
Previous Article in Journal
Thermal-Hydraulic Analysis of Parabolic Trough Collectors Using Straight Conical Strip Inserts with Nanofluids
Previous Article in Special Issue
Improvement of Magnetic Particle Hyperthermia: Healthy Tissues Sparing by Reduction in Eddy Currents
 
 
Font Type:
Arial Georgia Verdana
Font Size:
Aa Aa Aa
Line Spacing:
Column Width:
Background:
Article

Micron-Scale Anomalous Hall Sensors Based on FexPt1−x Thin Films with a Large Hall Angle and near the Spin-Reorientation Transition

Department of Physics, Brown University, Providence, RI 02912, USA
*
Author to whom correspondence should be addressed.
These authors contributed equally to this work.
Nanomaterials 2021, 11(4), 854; https://doi.org/10.3390/nano11040854
Submission received: 15 February 2021 / Revised: 17 March 2021 / Accepted: 23 March 2021 / Published: 27 March 2021

Abstract

In this work, we fabricate and characterize an energy-efficient anomalous Hall sensor based on soft-magnetic FexPt1−x thin films with a large anomalous Hall angle. By varying the composition of the FexPt1−x alloy, its layer thickness and interfacial materials, the magnetization is tuned to be near the spin transition between the perpendicular and in-plane reorientations. We performed magneto-transport and noise characterizations on anomalous Hall sensors with a small sensing area of 20 × 20 µm2 in the 180 to 350 K temperature range. We found the best performance in a 1.25-nm-thick Fe0.48Pt0.52 sandwiched by two 1.6-nm-thick MgO layers at room temperature. The sensor has a large anomalous Hall angle of 1.95%. Moreover, it has the best field detectability of 237.5 nT/√Hz at 1 Hz and 15.3 nT/√Hz at 10 kHz, as well as a high dynamic reserve of 112.0 dB. These results suggest that the FexPt1−x alloy system is suitable for energy-efficient anomalous Hall sensors, particularly in micro-sensing applications.

Graphical Abstract

1. Introduction

Anomalous Hall sensors are magnetic sensors that take advantage of the anomalous Hall effect of ferromagnets [1,2,3,4,5,6]. Electrons with different spins, under the spin–orbit interaction, deflect towards opposite transverse directions when a longitudinal electric current   I is applied [7]. This gives rise to an anomalous Hall voltage ( V H = R H I , where R H is the Hall resistance), which is proportional to the perpendicular magnetization that can be controlled by the external perpendicular magnetic field. For a given magnetic system, the Hall-resistance response, also known as the sensitivity s (in the unit of Ω/T), depends strongly on the magnetic anisotropy of the ferromagnet [1,2,3,4,5,6]. The sensitivity, together with the Hall voltage noise S V (in the unit of V2/Hz), including both the electronic noise originating from defects and the magnetic noise originating from thermal magnetic fluctuations, determines the magnetic field detectability S T 0.5 = S V 0.5 / I s [2,4,5].
In recent years, anomalous Hall sensors have been studied in multiple magnetic systems with different magnetic anisotropies [1,2,3,4,5,6]. In the in-plane magnetized materials, although the sensitivity is low compared to conventional semiconductor Hall sensors, the voltage noise is low as well. As a result, the field detectability is reasonably good at low frequencies [4]. On the other hand, the sensitivity increases with the emergence of the perpendicular magnetic anisotropy (PMA), which has the tendency to increase the voltage noise as well [2,5]. The competition between the two can, in fact, reduce the field detectability. In our recent studies on Ta/Co40Fe40B20/MgO [5] and MgO/Co40Fe40B20/Ta/Co40Fe40B20/MgO [2] systems, we found that anomalous Hall sensors have the best performance when the magnetization is tuned to be near the spin-reorientation transition. In Ta/Co40Fe40B20/MgO [5], the field detectability reaches 76 nT/√Hz at 1 Hz and 2 nT/√Hz at 10 kHz at a perpendicular bias field of −12 Oe. In MgO/Co40Fe40B20/Ta/Co40Fe40B20/MgO, where a weak ferromagnetic interlayer exchange coupling (IEC) exists between two ferromagnetic layers [2], the field detectability reaches 126.1 nT/√Hz at 1 Hz and 4.5 nT/√Hz at 1 kHz at zero bias field. Moreover, the interlayer exchange-coupled magnetic thin films have a small temperature coefficient of sensitivity of 530 ppm/K, as well as a low cross-field error [2].
The field detectability of anomalous Hall sensors is not as good as magneto-resistive (MR) sensors with large sensing areas [2,8,9,10,11]. However, normalized by sensing areas, anomalous Hall sensors perform comparably or better over MR sensors in micro-sensing applications where a high spatial resolution is desired. Furthermore, anomalous Hall sensors are sensitive to the perpendicular magnetic field. This is a complementary to MR sensors, which are sensitive to the in-plane field. The integration of these two types of sensors offers an avenue to the implementation of three-axis magnetic vector sensing.
Although anomalous Hall sensors studied so far have a good sensing performance, the anomalous Hall angle, which is defined as the ratio of the Hall resistivity to the longitudinal resistivity, has been low. The anomalous Hall angle of the Co40Fe40B20 system is only 0.7% [2]. Assuming the same magnetization response to the perpendicular magnetic field and considering the same voltage Johnson noise (independent on the current) at high frequencies, fabricating anomalous Hall sensors based on ferromagnets with large anomalous Hall angles can increase the field sensitivity, thus reducing the need for a large longitudinal current to achieve the same field sensing detectability. A large Hall angle makes the magnetic sensing energy efficient.
The anomalous Hall signal originates either from the gauge field arising from the electronic band (the intrinsic mechanism) [12,13,14,15,16,17,18] or from the electron scattering due to the spin–orbit interaction at impurities (the extrinsic mechanism) [19,20,21,22,23,24,25,26,27]. In the intrinsic regime, the Berry curvature sets a limitation to the Hall voltage response, and a large Hall signal was only observed in materials such as magnetic topological insulators at extremely low temperatures [17,18]. In the extrinsic regime, the anomalous Hall angle depends on the spin–orbit interaction strength of ferromagnets. The anomalous Hall angle is typically small (0.1~1%) because of the small spin–orbit interaction strength [2,19,20,22,23,24]. It has been found that by doping Pt with a large spin–orbit interaction in Fe, the anomalous Hall angle can be enhanced, while the magnetization will not suffer a large reduction as shown in our previous studies [25,26,27]. This is because Pt nearly satisfies the Stoner criterion and thus can be easily spin polarized by adjacent Fe atoms [28]. A large anomalous Hall angle of about 5% has been reported in a 30 nm thick soft-magnetic Fe29Pt71 at room temperature [25]. To lower the demagnetization energy, the Fe29Pt71 thin film is in-plane magnetized. The Fe29Pt71 thin film-based anomalous Hall sensor has a field detectability of 7 µT/√Hz at 1 Hz and 50 nT/√Hz at 1 kHz, and outperforms conventional semiconductor Hall sensors in the 31 to 500 Hz frequency range [4]. Interface engineering by neighboring the magnetic layer with oxide layers can promote PMA in the magnetic layer [29,30,31,32,33], due to the interfacial electronic hybridization and spin–orbit interaction. It has been shown that sandwiching FePt alloys with SiO2 layers can introduce PMA [1]. The maximum sensitivity reaches 12,000 Ω/T in SiO2/Fe0.425Pt0.575(1.8 nm)/SiO2 after 320 °C annealing [1]. However, noise in the soft-magnetic FePt alloys with the enhanced PMA has not yet been studied.
In this work, we investigated anomalous Hall sensors based on soft-magnetic FexPt1−x alloys over the whole composition range (0 < x < 1), with a variable layer thickness, and interfaced with different oxide layers (MgO and SiO2). We characterized their magneto-transport and noise properties in the 180 to 350 K temperature range that encompasses a spin-reorientation transition between perpendicular and in-plane configurations. We found that the FexPt1−x-based anomalous Hall sensors are energy efficient while remaining a good sensing performance in micro-sensing applications.

2. Materials and Methods

To fabricate FexPt1−x-based anomalous Hall sensors, we deposited multilayers in the forms of MgO(1.6)/FexPt1−x(tFePt)/MgO(1.6)/TaOx(1.0), SiO2(5.0)/FexPt1−x(tFePt)/SiO2(10.0)/TaOx(1.0), and Ta(1.6)/FexPt1−x(tFePt)/MgO(1.6)/TaOx(1.0), respectively, on thermally oxidized silicon wafers using a home-made high-vacuum magnetron sputtering system. Numbers in brackets are layer thicknesses in nanometers. The base vacuum pressure was around 1 × 10 7 Torr. FexPt1−x layers were deposited using a target composed of several sectors of Fe and the remaining sectors of Pt. Fe and Pt were sputtered simultaneously from surfaces of corresponding sectors onto oxidized silicon wafers. Compositions of FexPt1−x were controlled by varying relative surface areas of Fe and Pt sectors. The actual composition of an FexPt1−x film was confirmed through the energy-dispersive X-ray spectroscopy (EDS, Quattro ESEM (Thermo Fisher Scientific, Waltham, MA, USA)) measurement. The deposition rate was calibrated by using the X-ray reflectivity (XRR, Bruker D8 (Bruker AXS Inc., Madison, WI, USA)) measurement. We deposited the FexPt1−x and the Ta layer using a 15- and a 3-Watt DC power (Advanced Energy, Georgetown, MA, USA), respectively, under an argon pressure of 1.4 mTorr. MgO layers were deposited directly from a MgO target using a radio-frequency (RF) power (Advanced Energy, Georgetown, MA, USA) under an argon pressure of 0.7 mTorr. SiO2 layers were deposited from a Si target using a RF power under a total argon and oxygen pressure of 4 mTorr. During the SiO2 deposition, the flow-rate ratio between argon and oxygen was 2.9:1.0 (argon: oxygen).
After deposition, we processed thin film stacks into Hall crosses with an active area of 20 × 20 µm2, using photolithography (MLA150 Maskless Aligner (Heidelberg Instruments, Torrance, CA, USA)) and physical ion milling (MIM-TLA20 (PVA TePla/Technics, Corona, CA, USA)). We deposited Cr/Au as electrodes in order to reduce the Johnson noise that was positively correlated with the resistance between the two Hall voltage leads [34,35,36]. Finally, these samples were thermally annealed in a home-made high-vacuum chamber at different temperatures   T a . A perpendicular magnetic field of 0.4 T was applied during annealing processes.
We performed both magneto-transport and noise measurements in a Quantum Design® Physical Property Measurement System (Quantum Design, San Diego, CA, USA). Instead of extracting the field sensitivity from a Hall curve, we measured the sensitivity using an AC method, as described previously in detail [2,5]. This method provides an accurate measurement of the sensitivity, while the sensitivity derived from the slope of the Hall curve may be overestimated [37,38,39]. Noise measurements using a two-channel cross correlation method [40] have also been described in detail in our previous works [2,5,11]. In both measurements, we applied a 1 mA current to Hall crosses. The voltage noise ( S V = I 2 S R ) at low frequencies increases with increasing current. However, assuming a constant resistance noise ( S R ), the field detectability ( S T 0.5 = S V 0.5 / I s = S R 0.5 / s ) would be independent of the current. On the other hand, the voltage noise at high frequencies where the Johnson noise is dominant is independent of the current. This would give rise to an improved field detectability at high frequencies with increasing current.

3. Results and Discussion

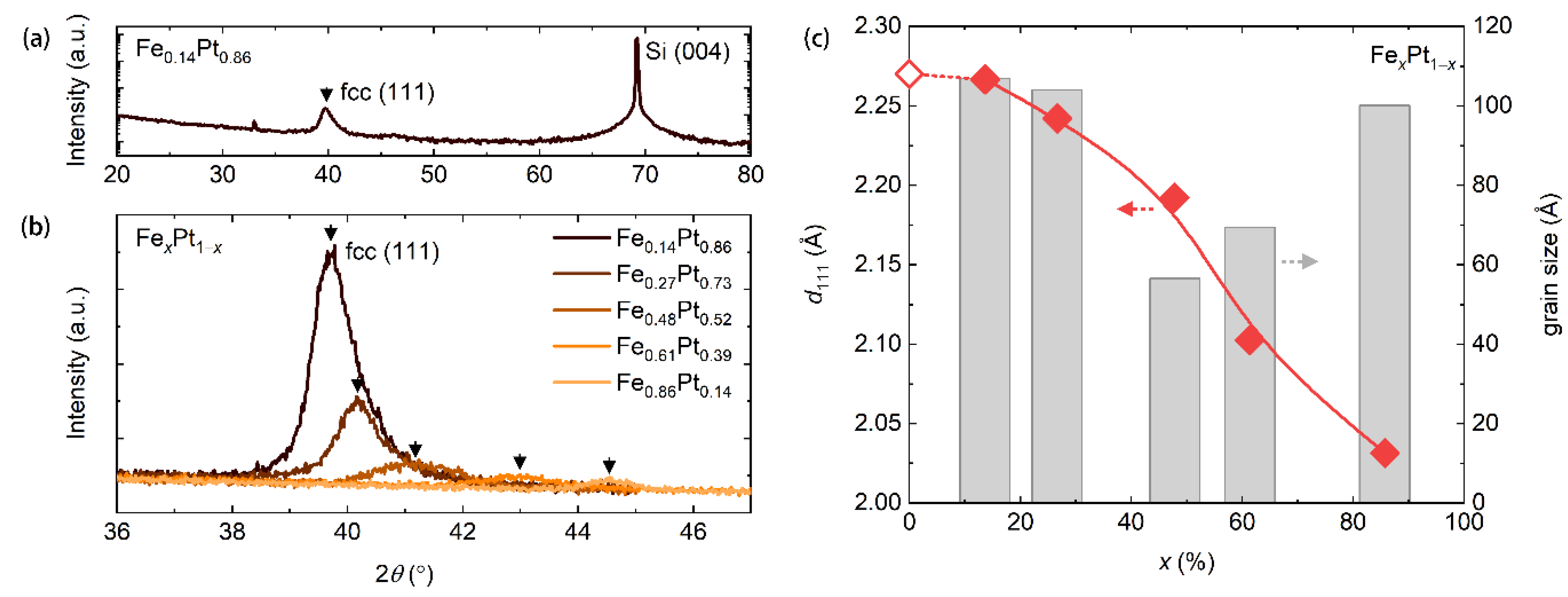
We first gained insight into the crystalline structures of the soft-magnetic FexPt1−x alloys with different compositions. For this study, we deposited 30 nm thick FexPt1−x films on thermally oxidized silicon wafers. Growth conditions were the same as in previous descriptions. The X-ray diffraction (XRD, Bruker D8 (Bruker AXS Inc., Madison, WI, USA)) measurements were performed for this study and the results are presented in Figure 1a,b. For Fe0.14Pt0.86, only one peak around 2 θ = 40 ° ( θ is the diffraction angle) is observed in the 2 θ -angle range from 20° to 80°. This peak corresponds to the (111) reflection of the face-centered cubic structure of Fe0.14Pt0.86. The peak position shifts to large angles when the Fe concentration increases, inferring a decrease in the (111) lattice constant, as presented in Figure 1c, which was derived from peak positions with the X-ray wavelength of 1.54 Å. This can be easily understood since Fe atoms have a smaller size compared to Pt atoms. In addition to the peak-position shift, the peak intensity decreases with increasing the Fe concentration. This is possibly because of different structures of Pt (face-centered cubic) and Fe (body-centered cubic) at room temperature [41,42]. We derived crystalline dimensions (grain sizes) of these alloys from the full width at half maximum of these peaks through the Scherrer equation. Crystalline dimensions of these alloys do not show a great change as varying compositions, remaining in the 60 to 100 Å range. These results suggest a polycrystalline property of the soft-magnetic FexPt1−x alloys in our studies.
Magnetically, a single FexPt1−x layer would have an in-plane magnetic anisotropy to lower the demagnetization energy [4,25,26,27]. Theoretical studies suggest that neighboring the magnetic layer with oxide layers can promote the PMA [30], due to electronic hybridization between d electrons of the magnetic layer and 2p electrons of the oxygen, as well as to the spin–orbit interaction at the interface. The improved PMA in the soft-magnetic FexPt1−x alloys has been experimentally observed in SiO2/FexPt1−x/SiO2 [1]. The PMA in the magnetic multilayer is further enhanced by thermal annealing processes [1]. In our studies, we fabricated FexPt1−x thin films with the FexPt1−x layer sandwiched either by two MgO layers, by two SiO2 layers, or by one MgO layer and one Ta layer, as described in the experimental section. We measured Hall resistance R H as a function of the perpendicular magnetic field H z through Hall crosses. Figure 2a shows a Hall curve for a typical multilayer stack of MgO(1.6)/Fe0.48Pt0.52(1.25)/MgO(1.6)/TaOx(1.0). For this multilayer structure, the saturated Hall resistance reaches 35.51 Ω, corresponding to a Hall resistivity of 7.99 µΩ cm and a large Hall angle of 1.95% based on the longitudinal resistivity of 408.90 µΩ cm in this sample. The Hall angle is almost three times larger than that of the Co40Fe40B20 system [2], suggesting that FexPt1−x alloys can be a good candidate for energy-efficient anomalous Hall sensors.
To study how magnetic anisotropies depend on the FexPt1−x composition, the layered structure and the magnetic annealing condition, we calculated Hall slopes, in the unit of µΩ cm/T, at zero field from Hall curves, as presented in Figure 2b. In general, for a given multilayer, the Hall slope increases first and then decreases with the increasing FexPt1−x layer thickness tFePt. This variation trend has also been observed in many other magnetic thin films [1,43]. The decrease in the Hall slope with increasing tFePt can be explained by the interfacial origination of the PMA. The effective PMA coefficient is given by K eff = K s / t FePt 1 2 μ 0 M S 2 ( K s is the interfacial PMA, μ 0 the vacuum permeability and M S the saturation magnetization), which is expected to decrease with increasing tFePt. On the other hand, the decrease in the Hall slope with decreasing tFePt in the low tFePt range can be understood from the possible transition to the paramagnetic or superparamagnetic phase, as observed in other magnetic thin films [11,43]. The largest Hall slope among all these samples reaches 104.9 µΩ cm/T, in an as-grown multilayer of MgO(1.6)/Fe0.48Pt0.52(1.25)/MgO(1.6)/TaOx(1.0). This value is larger than that of the in-plane magnetized FexPt1−x (with a layer thickness of 30 nm) by one order of magnitude [4,25,26,27]. This confirms the enhanced PMA by neighboring FexPt1−x with oxide layers. Here we note that, in the text, we refer to the negative effective PMA as the in-plane magnetic anisotropy. We measured both in-plane and perpendicular components of the magnetization of the multilayer through a vibrating-sample magnetometer, to gain more insight into the magnetic anisotropy. The results are presented in the insert in Figure 2a. Magnetization curves as a function of the in-plane magnetic field H IP and as a function of the perpendicular magnetic field H z , are nearly identical to each other. This suggests that the magnetization in the multilayer structure is close to the spin-reorientation transition with a vanishing effective PMA which can be obtained from the area between the two curves. In the following section, we investigate the magneto-transport and noise properties of the multilayer structure. Before that, we would like to point out that the Hall slope of FexPt1−x sandwiched by two SiO2 layers is low, possibly owing to inappropriate growth conditions for this multilayer structure. Either over-oxidization or under-oxidization at the interface between the magnetic layer and the oxide layer can lower the PMA in the magnetic layer [29].
We performed magneto-transport and noise measurements on the multilayer of MgO(1.6)/Fe0.48Pt0.52(1.25)/MgO(1.6)/TaOx(1.0) in the 180 to 350 K temperature range. Varying temperature can also tune magnetic anisotropies in magnetic thin films [5,31,44,45,46]. We note that the experiments in the 320 to 350 K temperature range (with a temperature interval of 10 K) and in the 180 to 300 K temperature range (with a temperature interval of 20 K) were performed separately for two Hall crosses in a single batch of the sample. Figure 3a shows Hall curves for this multilayer structure at different temperatures. The saturated Hall resistance decreases with increasing temperature. This is because the Hall resistance is dominated by the anomalous Hall resistance that is proportional to the perpendicular magnetization [7], and the saturated magnetization decreases with increasing temperature [25]. Moreover, the saturation field increases with increasing temperature, inferring the decrease in the PMA. We measured the sensitivity of the sensor at different temperatures and at different magnetic fields. The result is presented in Figure 3b. The sensitivity at zero field increases from 301.8 to 644.1 Ω/T when the temperature is decreased from 350 to 300 K. The sensitivity then remains almost constant around 750 Ω/T in a temperature range from 280 to 180 K. The temperature-dependent sensitivity at zero field has also been plotted in Figure 4a to give a clearer presentation. The sensitivity is smaller than that of magnetic thin films with larger perpendicular magnetic anisotropies [1,2,5], but still larger than that of conventional semiconductor Hall sensors [47,48,49]. Surprisingly, the anomalous Hall sensor has a good temperature stability in sensitivity in the 180 to 280 K temperature range. The temperature coefficient of sensitivity Δ s / s Δ T is calculated to be about 1003 ppm/K in this temperature range. This value is comparable to that of the interlayer exchange-coupled magnetic thin films (530 ppm/K) [2]. The temperature stability is usually low in single magnetic layer systems [5]. The high temperature stability in the Fe0.48Pt0.52 system is possibly owing to neighboring both sides of the Fe0.48Pt0.52 layer with MgO layers, sharing the similar mechanism of the high temperature stability in interlayer exchange-coupled magnetic thin films [2]. We derived the dynamic range 2 H DRg of the anomalous Hall sensor through the full width at half maximum of the field dependence of the sensitivity. The dynamic range reaches 949 Oe at room temperature (300 K) and increases to 1566 Oe at 350 K. Again, the dynamic range remains almost constant around 1050 Oe in the 180 to 280 K temperature range.
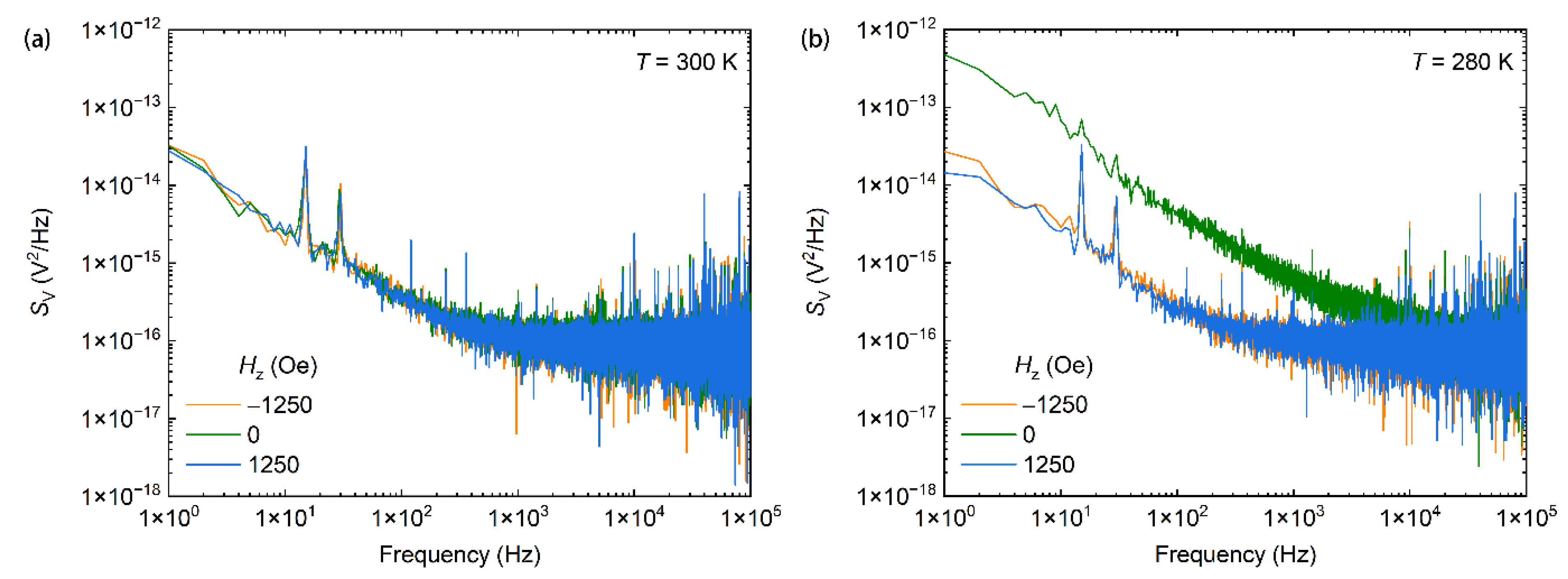
We then measured the Hall voltage noise of the anomalous Hall sensor at different magnetic fields in the 180 to 350 K temperature range. Figure 5a,b show representative Hall voltage noise spectra at 300 K and 280 K, respectively. All spectra show 1/f noise at low frequencies and white Johnson noise at high frequencies. This spectral feature has also been observed in Hall voltage noise measurements at other temperatures in the temperature range in our studies. Field and temperature-dependent Hall voltage noises at 1 Hz and 10 kHz are summarized in Figure 3c,d, respectively. At low temperatures (below 300 K), the Hall voltage noise around the zero magnetic field is larger than that at a high magnetic field (Figure 3c,d and Figure 5b). This suggests that a large magnetic noise originating from thermal magnetic fluctuations exists in the anomalous Hall sensor. At high temperatures, the Hall voltage noise remains almost constant in all of the field range (Figure 3c,d and Figure 5a), suggesting that the magnetic noise is lower than the electronic noise from defects in the Fe0.48Pt0.52 layer or at interfaces. In Figure 3d, the Hall voltage noise at a large magnetic field increases with increasing temperature. This is a result of increased thermal fluctuations. The temperature-dependent Hall voltage noises in Figure 3c,d, together with the temperature-dependent sensitivity in Figure 3b, gives an indication that the anomalous Hall sensor has possibly the best performance around room temperature, at which the magnetization in Fe0.48Pt0.52 is near the spin-reorientation transition.
From the derived sensitivity and the Hall voltage noise, the field detectability can be obtained through S T 0.5 = S V 0.5 / I s , as presented in Figure 3e,f for the results at 1 Hz and 10 kHz, respectively. In all of the temperature ranges, the best field detectability reaches 237.5 nT/√Hz at 1 Hz and 15.3 nT/√Hz at 10 kHz at zero magnetic field at 300 K. Above this temperature, the field detectability value increases with increasing temperature due to the decrease in the sensitivity. Below 300 K, the best field detectability at a given temperature remains at a low value, as presented in Figure 4b; however, the best field detectability is only achieved when a finite perpendicular bias field H B is applied, as presented in Figure 3e,f. The temperature dependent H B has also been plotted in Figure 4c.   H B remains at zero at high temperatures and starts increasing with decreasing temperature from 300 K. Zero bias field is desired in magnetic field sensing applications. All results above suggest that the anomalous Hall sensor has the best performance at room temperature where the magnetization is near the spin-reorientation transition. In the reference, Lu et al. reported a higher PMA in SiO2/FexPt1−x/SiO2, which induces a high sensitivity up to 12,000 Ω/T [1]. However, we note that the sensitivity derived from the Hall slope is possibly overestimated (see discussions in the Materials and Methods section). Moreover, the Hall voltage noise is possibly large, as well. The competition between the two may not lead to an expected high field detectability, as inferred from this study and our previous works on Co40Fe40B20 [2,5].
Notably, we found that the anomalous Hall sensor in this study has a high dynamic reserve DRs = 20 log 10 ( 2 H DRg / S T 0.5   ( at   1   Hz ) ) that can be calculated from the dynamic range and the field detectability. The dynamic reserve reaches 112.0 dB at 300 K and also remains at a high value of 107.7 dB at 350 K. This value is larger than both dynamic reserves of the interlayer exchange-coupled Co40Fe40B20 thin film-based anomalous Hall sensors (103 dB) and conventional semiconductor Hall sensors (103 dB) [2,4], and is comparable to that observed in the vortex magnetic tunnel junction-based tunneling magneto-resistance sensors (115 dB) [50]. The high dynamic reserve allows our anomalous Hall sensors to be able to measure magnetic field accurately, even under a large background magnetic field.

4. Conclusions

In conclusion, we have successfully fabricated an energy-efficient anomalous Hall sensor based on soft-magnetic FexPt1−x thin films with the magnetization controlled to be near the spin-reorientation transition. The magnetization was tuned by varying the FexPt1−x composition, the FexPt1−x layer thickness, its interfacial oxide layers, the post-growth annealing temperature, and the measurement temperature. The best performance was found in an as-grown multilayer of MgO(1.6)/Fe0.48Pt0.52(1.25)/MgO(1.6)/TaOx(1.0) at room temperature, characterized by a large anomalous Hall angle of 1.95%. The sensor features a sensitivity of 644.1 Ω/T at zero field, a large dynamic range of 949 Oe, and a field detectability of 237.5 nT/√Hz at 1 Hz and 15.3 nT/√Hz at 10 kHz at a zero-bias field. Notably, the anomalous Hall sensor has a high dynamic reserve of 112.0 dB, among the highest values in all the known Hall sensors and magneto-resistive (MR) sensors.
These results suggest that the FexPt1−x alloy is a suitable solid system for constructing highly energy-efficient anomalous Hall sensors, due to its strong inherent spin–orbit interaction (leading to a large Hall angle) and strong spin polarizability of Pt. We conjecture that the magnetic sensing performance can be enhanced, perhaps significantly, by fabricating FexPt1−x-based interlayer exchange-coupled magnetic thin films with further improvement of the PMA.

Author Contributions

K.W., Y.Z. and G.X. conceived the research. G.X. supervised the experiments and the project. K.W., Y.Z. and S.Z. performed the sample growth, fabrication and characterizations. K.W., Y.Z. and S.Z. wrote the paper. All authors discussed the results and commented on the paper. All authors have read and agreed to the published version of the manuscript.

Funding

This work was supported by the National Science Foundation (NSF) under Grant No. OMA-1936221. Y.Z. acknowledges support from the Fermilab-Graduate Instrumentation Research Award from DOE Award No. DE-AC05-00OR22725. We use the Heidelberg MLA150 maskless aligner, which is under the support of NSF Grant No. DMR-1827453.

Data Availability Statement

The authors declare that the data supporting the findings of this study are available within the article and are available from the corresponding author upon reasonable request.

Conflicts of Interest

The authors declare no conflict of interest.

References

  1. Lu, Y.; Cai, J.; Pan, H.; Sun, L. Ultrasensitive anomalous Hall effect in SiO2/Fe-Pt/SiO2 sandwich structure films. Appl. Phys. Lett. 2012, 100, 022404. [Google Scholar] [CrossRef]
  2. Wang, K.; Zhang, Y.; Xiao, G. Anomalous Hall Sensors with High Sensitivity and Stability Based on Interlayer Exchange-Coupled Magnetic Thin Films. Phys. Rev. Appl. 2020, 13, 064009. [Google Scholar] [CrossRef]
  3. Yang, G.; Li, Y.; Chen, X.; Zhang, J.; Yu, G. Ultrasensitive Anomalous Hall Effect in Ta/CoFe/Oxide/Ta Multilayers. Adv. Condens. Matter Phys. 2016, 2016, 1–7. [Google Scholar] [CrossRef]
  4. Zhang, Y.; Hao, Q.; Xiao, G. Low-Frequency Noise of Magnetic Sensors Based on the Anomalous Hall Effect in Fe–Pt Alloys. Sensors 2019, 19, 3537. [Google Scholar] [CrossRef] [PubMed]
  5. Zhang, Y.; Wang, K.; Xiao, G. Noise characterization of ultrasensitive anomalous Hall effect sensors based on Co40Fe40B20 thin films with compensated in-plane and perpendicular magnetic anisotropies. Appl. Phys. Lett. 2020, 116, 212404. [Google Scholar] [CrossRef]
  6. Zhu, T.; Chen, P.; Zhang, Q.H.; Yu, R.C.; Liu, B.G. Giant linear anomalous Hall effect in the perpendicular CoFeB thin films. Appl. Phys. Lett. 2014, 104, 202404. [Google Scholar] [CrossRef]
  7. Nagaosa, N.; Sinova, J.; Onoda, S.; Macdonald, A.H.; Ong, N.P. Anomalous Hall effect. Rev. Mod. Phys. 2010, 82, 1539–1592. [Google Scholar] [CrossRef]
  8. Valadeiro, J.P.; Amaral, J.; Leitao, D.C.; Ferreira, R.; Cardoso, S.F.; Freitas, P.J.P. Strategies for pTesla Field Detection Using Magnetoresistive Sensors with a Soft Pinned Sensing Layer. IEEE Trans. Magn. 2015, 51, 1–4. [Google Scholar] [CrossRef]
  9. Paz, E.; Serrano-Guisan, S.; Ferreira, R.; Freitas, P.P. Room temperature direct detection of low frequency magnetic fields in the 100 pT/Hz0.5 range using large arrays of magnetic tunnel junctions. J. Appl. Phys. 2014, 115, 17E501. [Google Scholar] [CrossRef]
  10. Guerrero, R.; Pannetier-Lecoeur, M.; Fermon, C.; Cardoso, S.; Ferreira, R.; De Freitas, S.C. Low frequency noise in arrays of magnetic tunnel junctions connected in series and parallel. J. Appl. Phys. 2009, 105, 113922. [Google Scholar] [CrossRef]
  11. Zhang, Y.; He, G.; Zhang, X.; Xiao, G. Magnetotransport and electronic noise in superparamagnetic magnetic tunnel junctions. Appl. Phys. Lett. 2019, 115, 022402. [Google Scholar] [CrossRef]
  12. Karplus, R.; Luttinger, J.M. Hall Effect in Ferromagnetics. Phys. Rev. 1954, 95, 1154–1160. [Google Scholar] [CrossRef]
  13. Xiao, D.; Chang, M.-C.; Niu, Q. Berry phase effects on electronic properties. Rev. Mod. Phys. 2010, 82, 1959–2007. [Google Scholar] [CrossRef]
  14. Fang, Z.; Nagaosa, N.; Takahashi, K.S.; Asamitsu, A.; Mathieu, R.; Ogasawara, T.; Yamada, H.; Kawasaki, M.; Tokura, Y.; Terakura, K. The Anomalous Hall Effect and Magnetic Monopoles in Momentum Space. Science 2003, 302, 92–95. [Google Scholar] [CrossRef]
  15. Suzuki, T.; Chisnell, R.; Devarakonda, A.; Liu, Y.-T.; Feng, W.; Xiao, D.; Lynn, R.C.J.W.; Checkelsky, T.S.A.D.Y.-T.L.J.G. Large anomalous Hall effect in a half-Heusler antiferromagnet. Nat. Phys. 2016, 12, 1119–1123. [Google Scholar] [CrossRef]
  16. Liu, E.; Sun, Y.; Kumar, N.; Muechler, L.; Sun, A.; Jiao, L.; Yang, S.-Y.; Liu, D.; Liang, A.; Xu, Q.; et al. Giant anomalous Hall effect in a ferromagnetic kagome-lattice semimetal. Nat. Phys. 2018, 14, 1125–1131. [Google Scholar] [CrossRef] [PubMed]
  17. Chang, C.-Z.; Zhang, J.; Feng, X.; Shen, J.; Zhang, Z.; Guo, M.; Li, K.; Ou, Y.; Wei, P.; Wang, L.-L.; et al. Experimental Observation of the Quantum Anomalous Hall Effect in a Magnetic Topological Insulator. Science 2013, 340, 167–170. [Google Scholar] [CrossRef]
  18. Tokura, Y.; Yasuda, K.; Tsukazaki, A. Magnetic topological insulators. Nat. Rev. Phys. 2019, 1, 126–143. [Google Scholar] [CrossRef]
  19. Miyasato, T.; Abe, N.; Fujii, T.; Asamitsu, A.; Onoda, S.; Onose, Y.; Nagaosa, N.; Tokura, Y. Crossover Behavior of the Anomalous Hall Effect and Anomalous Nernst Effect in Itinerant Ferromagnets. Phys. Rev. Lett. 2007, 99, 086602. [Google Scholar] [CrossRef] [PubMed]
  20. Onoda, S.; Sugimoto, N.; Nagaosa, N. Quantum transport theory of anomalous electric, thermoelectric, and thermal Hall effects in ferromagnets. Phys. Rev. B 2008, 77, 165103. [Google Scholar] [CrossRef]
  21. Smit, J. The spontaneous hall effect in ferromagnetics II. Physica 1958, 24, 39–51. [Google Scholar] [CrossRef]
  22. Berger, L. Side-Jump Mechanism for the Hall Effect of Ferromagnets. Phys. Rev. B 1970, 2, 4559–4566. [Google Scholar] [CrossRef]
  23. Shiomi, Y.; Onose, Y.; Tokura, Y. Extrinsic anomalous Hall effect in charge and heat transport in pure iron, Fe0.997Si0.003, and Fe0.97Co0. Phys. Rev. B 2009, 79, 100404. [Google Scholar] [CrossRef]
  24. Hou, D.; Su, G.; Tian, Y.; Jin, X.; Yang, S.A.; Niu, Q. Multivariable Scaling for the Anomalous Hall Effect. Phys. Rev. Lett. 2015, 114, 217203. [Google Scholar] [CrossRef]
  25. Hao, Q.; Chen, W.; Wang, S.; Xiao, G. Anomalous Hall effect and magnetic properties of FexPt100−x alloys with strong spin-orbit interaction. J. Appl. Phys. 2017, 122, 033901. [Google Scholar] [CrossRef]
  26. Miao, G.X.; Xiao, G. Giant Hall resistance in Pt-based ferromagnetic alloys. Appl. Phys. Lett. 2004, 85, 73. [Google Scholar] [CrossRef]
  27. Canedy, C.; Gong, G.; Wang, J.; Xiao, G. Large magnetic Hall effect in ferromagnetic FexPt100−x thin films. J. Appl. Phys. 1996, 79, 6126–6128. [Google Scholar] [CrossRef][Green Version]
  28. Liu, X.; Bauer, M.; Bertagnolli, H.; Roduner, E.; Van Slageren, J.; Phillipp, F. Structure and Magnetization of Small Monodisperse Platinum Clusters. Phys. Rev. Lett. 2006, 97, 253401. [Google Scholar] [CrossRef]
  29. Dieny, B.; Chshiev, M. Perpendicular magnetic anisotropy at transition metal/oxide interfaces and applications. Rev. Mod. Phys. 2017, 89, 025008. [Google Scholar] [CrossRef]
  30. Yang, H.; Chshiev, M.; Dieny, B.; Lee, J.; Manchon, A.; Shin, K. First-principles investigation of the very large perpendicular magnetic anisotropy at Fe| MgO and Co| MgO interfaces. Phys. Rev. B 2011, 84, 054401. [Google Scholar] [CrossRef]
  31. Hao, Q.; Xiao, G. Giant spin Hall effect and magnetotransport in a Ta/CoFeB/MgO layered structure: A temperature dependence study. Phys. Rev. B 2015, 91, 224413. [Google Scholar] [CrossRef]
  32. Wang, K.; Qian, L.; Chen, W.; Ying, S.-C.; Xiao, G.; Wu, X. Spin torque effect on topological defects and transitions of magnetic domain phases in Ta/CoFeB/MgO. Phys. Rev. B 2019, 99, 184410. [Google Scholar] [CrossRef]
  33. Wang, K.; Qian, L.; Ying, S.-C.; Xiao, G. Spin-orbit torque switching of chiral magnetization across a synthetic antiferromagnet. Commun. Phys. 2021, 4, 1–7. [Google Scholar] [CrossRef]
  34. Hooge, F.; Hoppenbrouwers, A. 1/⨍ noise in continuous thin gold films. Physica 1969, 45, 386–392. [Google Scholar] [CrossRef]
  35. Hooge, F.N. 1/ƒ noise is no surface effect. Phys. Lett. A 1969, 29, 139–140. [Google Scholar] [CrossRef]
  36. Hooge, F. Discussion of recent experiments on 1/ƒ noise. Physica 1972, 60, 130–144. [Google Scholar] [CrossRef]
  37. Mazumdar, D.; Liu, X.; Schrag, B.D.; Carter, M.; Shen, W.; Xiao, G. Low frequency noise in highly sensitive magnetic tunnel junctions with (001) MgO tunnel barrier. Appl. Phys. Lett. 2007, 91, 033507. [Google Scholar] [CrossRef]
  38. Mazumdar, D.; Shen, W.; Liu, X.; Schrag, B.D.; Carter, M.; Xiao, G. Field sensing characteristics of magnetic tunnel junctions with (001) MgO tunnel barrier. J. Appl. Phys. 2008, 103, 113911. [Google Scholar] [CrossRef]
  39. He, G.; Zhang, Y.; Qian, L.; Xiao, G.; Zhang, Q.; Santamarina, J.C.; Patzek, T.W.; Zhang, X. PicoTesla magnetic tunneling junction sensors integrated with double staged magnetic flux concentrators. Appl. Phys. Lett. 2018, 113, 242401. [Google Scholar] [CrossRef]
  40. Sampietro, M.; Fasoli, L.G.; Ferrari, G. Spectrum analyzer with noise reduction by cross-correlation technique on two channels. Rev. Sci. Instrum. 1999, 70, 2520–2525. [Google Scholar] [CrossRef]
  41. Davey, W.P. Precision Measurements of the Lattice Constants of Twelve Common Metals. Phys. Rev. 1925, 25, 753–761. [Google Scholar] [CrossRef]
  42. Seki, I.; Nagata, K. Lattice Constant of Iron and Austenite Including Its Supersaturation Phase of Carbon. ISIJ Int. 2005, 45, 1789–1794. [Google Scholar] [CrossRef]
  43. Srivastava, T.; Lim, W.; Joumard, I.; Auffret, S.; Baraduc, C.; Béa, H. Mapping different skyrmion phases in double wedges of Ta/FeCoB/TaOx trilayers. Phys. Rev. B 2019, 100, 220401. [Google Scholar] [CrossRef]
  44. Alzate, J.G.; Khalili Amiri, P.; Yu, G.; Upadhyaya, P.; Katine, J.A.; Langer, J.; Ocker, B.; Krivorotov, I.N.; Wang, K.L. Temperature dependence of the voltage-controlled perpendicular anisotropy in nanoscale MgO| CoFeB| Ta magnetic tunnel junctions. Appl. Phys. Lett. 2014, 104, 112410. [Google Scholar] [CrossRef]
  45. Sato, H.; Chureemart, P.; Matsukura, F.; Chantrell, R.W.; Ohno, H.; Evans, R.F.L. Temperature-dependent properties of CoFeB/MgO thin films: Experiments versus simulations. Phys. Rev. B 2018, 98, 214428. [Google Scholar] [CrossRef]
  46. Chen, W.; Xiao, G.; Zhang, Q.; Zhang, X. Temperature study of the giant spin Hall effect in the bulk limit of β− W. Phys. Rev. B 2018, 98, 134411. [Google Scholar] [CrossRef]
  47. Haddab, Y.; Mosser, V.; Lysowec, M.; Suski, J.; Demeus, L.; Renaux, C.; Adriensen, S.; Flandre, D. Low-noise SOI Hall devices. SPIEs First Int. Symp. Fluct. Noise 2003, 5115, 196–203. [Google Scholar] [CrossRef]
  48. Behet, M.; Bekaert, J.; De Boeck, J.; Borghs, G. InAs/Al0.2Ga0.8Sb quantum well Hall effect sensors. Sens. Actuators A Phys. 2000, 81, 13–17. [Google Scholar] [CrossRef]
  49. Jankowski, J.; El-Ahmar, S.; Oszwaldowski, M. Hall Sensors for Extreme Temperatures. Sensors 2011, 11, 876–885. [Google Scholar] [CrossRef]
  50. He, G.; Zhang, Y.; Xiao, G. Nonhysteretic Vortex Magnetic Tunnel Junction Sensor with High Dynamic Reserve. Phys. Rev. Appl. 2020, 14, 034051. [Google Scholar] [CrossRef]
Figure 1. (a) The X-ray diffraction result for a 30 nm thick Fe0.14Pt0.86 thin film. The black arrow is used to denote the peak position of (111) reflection of the face-centered cubic Fe0.14Pt0.86 alloy. (b) X-ray diffraction results for FexPt1−x thin films with different compositions. Black arrows are used to denote peak positions of (111) reflection of the face-centered cubic alloys. (c) The (111) lattice constant (dots and the red line) and crystalline dimensions (grain sizes) of FexPt1−x thin films. The red line is used to guide eyes. The open dot is extracted from reference [41].
Figure 1. (a) The X-ray diffraction result for a 30 nm thick Fe0.14Pt0.86 thin film. The black arrow is used to denote the peak position of (111) reflection of the face-centered cubic Fe0.14Pt0.86 alloy. (b) X-ray diffraction results for FexPt1−x thin films with different compositions. Black arrows are used to denote peak positions of (111) reflection of the face-centered cubic alloys. (c) The (111) lattice constant (dots and the red line) and crystalline dimensions (grain sizes) of FexPt1−x thin films. The red line is used to guide eyes. The open dot is extracted from reference [41].
Nanomaterials 11 00854 g001
Figure 2. (a) Hall resistance R H vs. perpendicular magnetic field H z for a multilayer stack of MgO(1.6)/Fe0.48Pt0.52(1.25)/MgO(1.6)/TaOx(1.0). The result was measured at room temperature. The right insert shows the schematic of the multilayer structure. The left insert shows magnetization curves as a function of the in-plane magnetic field H IP (black) and the perpendicular magnetic field   H z (red). (b) Hall slopes at zero magnetic field for different multilayers, obtained from Hall curves. Different symbols represent results for different multilayers and different colors represent results for samples that were annealed at different temperatures. Lines are used to guide eyes.
Figure 2. (a) Hall resistance R H vs. perpendicular magnetic field H z for a multilayer stack of MgO(1.6)/Fe0.48Pt0.52(1.25)/MgO(1.6)/TaOx(1.0). The result was measured at room temperature. The right insert shows the schematic of the multilayer structure. The left insert shows magnetization curves as a function of the in-plane magnetic field H IP (black) and the perpendicular magnetic field   H z (red). (b) Hall slopes at zero magnetic field for different multilayers, obtained from Hall curves. Different symbols represent results for different multilayers and different colors represent results for samples that were annealed at different temperatures. Lines are used to guide eyes.
Nanomaterials 11 00854 g002
Figure 3. (a) Hall curves measured at different temperatures (180 to 340 K with a temperature interval of 20 K) for a multilayer stack of MgO(1.6)/Fe0.48Pt0.52(1.25)/MgO(1.6)/TaOx(1.0). The insert shows the schematic of the Hall cross. Maps of (b) the sensitivity s, (c) Hall voltage noise S V at 1 Hz, (d) Hall voltage noise S V at 10 kHz, (e) field detectability S T 0.5 at 1 Hz and (f) field detectability S T 0.5 at 10 kHz, as a function of temperature T and the perpendicular magnetic field H z . In (d) and (f), only results in the temperature range from 220 to 350 K are given.
Figure 3. (a) Hall curves measured at different temperatures (180 to 340 K with a temperature interval of 20 K) for a multilayer stack of MgO(1.6)/Fe0.48Pt0.52(1.25)/MgO(1.6)/TaOx(1.0). The insert shows the schematic of the Hall cross. Maps of (b) the sensitivity s, (c) Hall voltage noise S V at 1 Hz, (d) Hall voltage noise S V at 10 kHz, (e) field detectability S T 0.5 at 1 Hz and (f) field detectability S T 0.5 at 10 kHz, as a function of temperature T and the perpendicular magnetic field H z . In (d) and (f), only results in the temperature range from 220 to 350 K are given.
Nanomaterials 11 00854 g003
Figure 4. (a) Sensitivity s, (b) magnetic field detectability S T 0.5 at 1 Hz, and (c) the bias field H B at which the best field detectability is achieved, as a function of temperature   T . The vertical gray dotted line represents the temperature (300 K) where the anomalous Hall sensor attains the best performance.
Figure 4. (a) Sensitivity s, (b) magnetic field detectability S T 0.5 at 1 Hz, and (c) the bias field H B at which the best field detectability is achieved, as a function of temperature   T . The vertical gray dotted line represents the temperature (300 K) where the anomalous Hall sensor attains the best performance.
Nanomaterials 11 00854 g004
Figure 5. (a) Hall voltage noise spectra measured at 300 K and at different perpendicular magnetic fields. (b) Hall voltage noise spectra measured at 280 K and at different perpendicular magnetic fields.
Figure 5. (a) Hall voltage noise spectra measured at 300 K and at different perpendicular magnetic fields. (b) Hall voltage noise spectra measured at 280 K and at different perpendicular magnetic fields.
Nanomaterials 11 00854 g005
Publisher’s Note: MDPI stays neutral with regard to jurisdictional claims in published maps and institutional affiliations.

Share and Cite

MDPI and ACS Style

Wang, K.; Zhang, Y.; Zhou, S.; Xiao, G. Micron-Scale Anomalous Hall Sensors Based on FexPt1−x Thin Films with a Large Hall Angle and near the Spin-Reorientation Transition. Nanomaterials 2021, 11, 854. https://doi.org/10.3390/nano11040854

AMA Style

Wang K, Zhang Y, Zhou S, Xiao G. Micron-Scale Anomalous Hall Sensors Based on FexPt1−x Thin Films with a Large Hall Angle and near the Spin-Reorientation Transition. Nanomaterials. 2021; 11(4):854. https://doi.org/10.3390/nano11040854

Chicago/Turabian Style

Wang, Kang, Yiou Zhang, Shiyu Zhou, and Gang Xiao. 2021. "Micron-Scale Anomalous Hall Sensors Based on FexPt1−x Thin Films with a Large Hall Angle and near the Spin-Reorientation Transition" Nanomaterials 11, no. 4: 854. https://doi.org/10.3390/nano11040854

APA Style

Wang, K., Zhang, Y., Zhou, S., & Xiao, G. (2021). Micron-Scale Anomalous Hall Sensors Based on FexPt1−x Thin Films with a Large Hall Angle and near the Spin-Reorientation Transition. Nanomaterials, 11(4), 854. https://doi.org/10.3390/nano11040854

Note that from the first issue of 2016, this journal uses article numbers instead of page numbers. See further details here.

Article Metrics

Back to TopTop