Biodegradable 3D Printed Scaffolds of Modified Poly (Trimethylene Carbonate) Composite Materials with Poly (L-Lactic Acid) and Hydroxyapatite for Bone Regeneration
Abstract
:1. Introduction
2. Materials and Methods
2.1. Materials
2.2. Preparation of Poly(Trimethylene Carbonate), Poly(L-Lactic Acid) and Hydroxyapatite (PTMC/PLA/HA) Scaffolds
2.3. In Vitro Degradation Test
2.4. In Vitro Drug Release Study
2.5. Cell Cytotoxicity Assay
2.6. Cell Attachment and Proliferation Assay
2.7. Osteogenic Gene Expression
2.8. In Vivo Implanted Assay of PTMC/HA and PTMC/PLA/HA Scaffolds in Femur Defect
2.9. Statistical Analysis
3. Results and Discussion
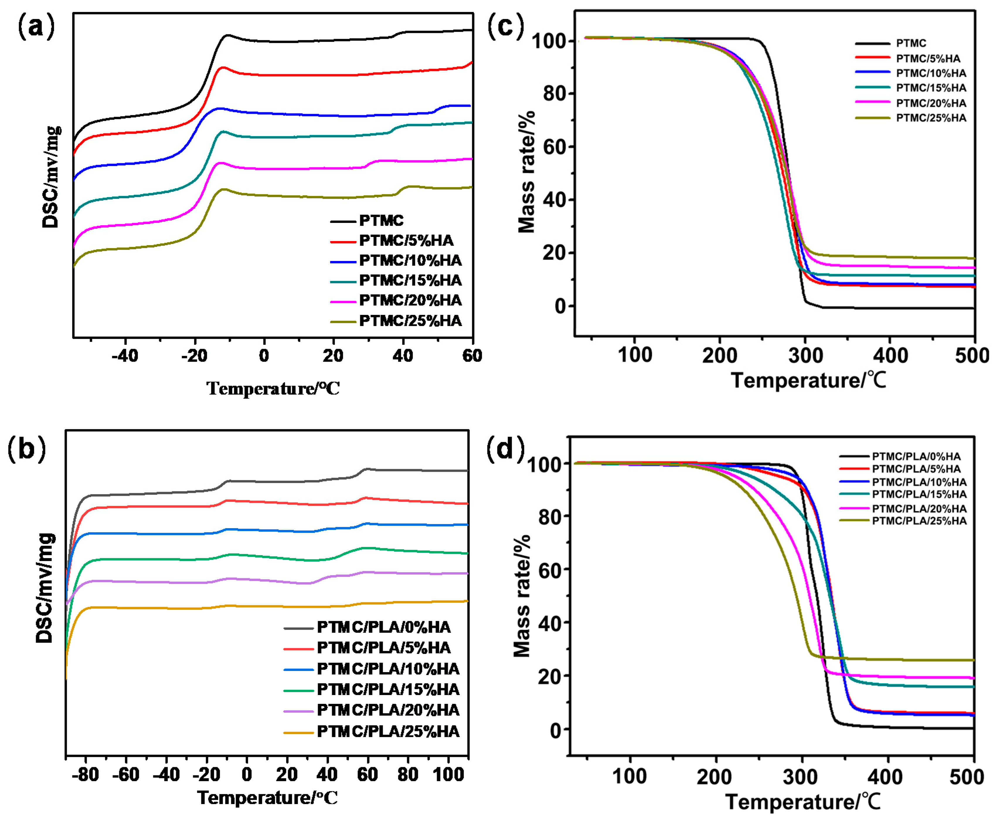
3.1. Characterization of PTMC/HA and PTMC/PLA/HA Scaffolds
3.2. Scanning Electronic Micrographs of PTMC/HA and PTMC/PLA/HA Scaffolds
3.3. In Vitro Degradation
3.4. In Vitro Drug−Release Properties of PTMC/HA and PTMC/PLA/HA Scaffolds
3.5. Cell Cytotoxicity Assay
3.6. In Vitro Cell Studies of PTMC/25%HA and PTMC/PLA/25%HA Scaffolds
3.7. PTMC/25%HA and PTMC/PLA/25%HA Scaffolds Promoted the Bone Reparation in Femur Defect Model
4. Conclusions
Supplementary Materials
Author Contributions
Funding
Institutional Review Board Statement
Data Availability Statement
Conflicts of Interest
References
- Matai, I.; Kaur, G.; Seyedsalehi, A.; McClinton, A.; Laurencin, C.T. Progress in 3D bioprinting technology for tissue/organ regenerative engineering. Biomaterials 2020, 226, 119536. [Google Scholar] [CrossRef] [PubMed]
- Wang, K.; Ho, C.C.; Zhang, C.; Wang, B. A review on the 3D printing of functional structures for medical phantoms and regenerated tissue and organ applications. Engineering 2017, 3, 653–662. [Google Scholar] [CrossRef]
- Mandrycky, C.; Wang, Z.; Kim, K.; Kim, D.H. 3D bioprinting for engineering complex tissues. Biotechnol. Adv. 2016, 34, 422–434. [Google Scholar] [CrossRef] [PubMed] [Green Version]
- Wang, X.; Zhang, M.; Ma, J.; Xu, M.; Chang, J.; Gelinsky, M.; Wu, C. 3D printing of cell-container-like scaffolds for multicell tissue engineering. Engineering 2020, 6, 1276–1284. [Google Scholar] [CrossRef]
- Yan, Y.; Chen, H.; Zhang, H.; Guo, C.; Yang, K.; Chen, K.; Cheng, R.; Qian, N.; Sandler, N.; Zhang, Y.S.; et al. Vascularized 3D printed scaffolds for promoting bone regeneration. Biomaterials 2019, 190–191, 97–110. [Google Scholar] [CrossRef]
- Bunpetch, V.; Zhang, X.; Li, T.; Lin, J.; Maswikiti, E.P.; Wu, Y.; Cai, D.; Li, J.; Zhang, S.; Wu, C.; et al. Silicate-based bioceramic scaffolds for dual-lineage regeneration of osteochondral defect. Biomaterials 2019, 192, 323–333. [Google Scholar] [CrossRef]
- Zhuang, P.; Sun, A.X.; An, J.; Chua, C.K.; Chew, S.Y. 3D neural tissue models: From spheroids to bioprinting. Biomaterials 2018, 154, 113–133. [Google Scholar] [CrossRef]
- Baldino, L.; Cardea, S.; Reverchon, E. Nanostructured chitosan–gelatin hybrid aerogels produced by supercritical gel drying. Polym. Eng. Sci. 2018, 58, 1494–1499. [Google Scholar] [CrossRef]
- Wang, X.; Jiang, M.; Zhou, Z.; Gou, J.; Hui, D. 3D printing of polymer matrix composites: A review and prospective. Compos. B Eng. 2017, 110, 442–458. [Google Scholar] [CrossRef]
- Jang, J.; Park, J.Y.; Gao, G.; Cho, D.W. Biomaterials-based 3D cell printing for next-generation therapeutics and diagnostics. Biomaterials 2018, 156, 88–106. [Google Scholar] [CrossRef]
- Liu, D.; Nie, W.; Li, D.; Wang, W.; Zheng, L.; Zhang, J.; Zhang, J.; Peng, C.; Mo, X.; He, C. 3D printed PCL/SrHA scaffold for enhanced bone regeneration. Chem. Eng. J. 2019, 362, 269–279. [Google Scholar] [CrossRef]
- Guney, A.; Malda, J.; Dhert, W.J.; Grijpma, D.W. Triblock copolymers based on epsilon-caprolactone and trimethylene carbonate for the 3D printing of tissue engineering scaffolds. Int. J. Artif. Organs 2017, 40, 176–184. [Google Scholar] [CrossRef] [PubMed]
- Ligon, S.C.; Liska, R.; Stampfl, J.; Gurr, M.; Mulhaupt, R. Polymers for 3D printing and customized additive manufacturing. Chem. Rev. 2017, 117, 10212–10290. [Google Scholar] [CrossRef] [Green Version]
- Hu, B.; Yan, G.P.; Zhuo, R.X.; Wu, Y.; Fan, C.L. Polycarbonate microspheres containing tumor necrosis factor-α genes and magnetic powder as potential cancer therapeutics. J. Appl. Polym. Sci. 2008, 107, 3343–3349. [Google Scholar] [CrossRef]
- Hu, B.; Du, H.J.; Yan, G.P.; Zhuo, R.X.; Wu, Y.; Fan, C.L. Magnetic polycarbonate microspheres for tumor-targeted delivery of tumor necrosis factor. Drug. Deliv. 2014, 21, 204–212. [Google Scholar] [CrossRef] [PubMed] [Green Version]
- Feng, T.J.; Mei, L.L.; Liu, F.; Yan, G.P.; Yuan, Y.; Guo, Q.Z. Microwave-assisted ring-opening copolymerization and property of polycarbonates. Polym. Adv. Technol. 2021, 32, 3412–3420. [Google Scholar] [CrossRef]
- Corcione, C.; Gervaso, F.; Scalera, F.; Padmanabhan, S.K.; Madaghiele, M.; Montagna, F.; Sannino, A.; Licciulli, A.; Maffezzoli, A. Highly loaded hydroxyapatite microsphere/PLA porous scaffolds obtained by fused deposition modelling. Ceram. Int. 2019, 45, 2803–2810. [Google Scholar] [CrossRef]
- Han, S.H.; Cha, M.; Jin, Y.Z.; Lee, K.M.; Lee, J.H. BMP-2 and hMSC dual delivery onto 3D printed PLA-Biogel scaffold for critical-size bone defect regeneration in rabbit tibia. Biomed. Mater. 2020, 16, 015019. [Google Scholar] [CrossRef]
- Alam, F.; Shukla, V.R.; Varadarajan, K.M.; Kumar, S. Microarchitected 3D printed polylactic acid (PLA) nanocomposite scaffolds for biomedical applications. J. Mech. Behav. Biomed. Mater. 2020, 103, 103576. [Google Scholar] [CrossRef]
- Huang, K.H.; Lin, Y.H.; Shie, M.Y.; Lin, C.P. Effects of bone morphogenic protein-2 loaded on the 3D-printed MesoCS scaffolds. J. Formos. Med. Assoc. 2018, 117, 879–887. [Google Scholar] [CrossRef]
- Chen, L.; Deng, C.; Li, J.; Yao, Q.; Chang, J.; Wang, L.; Wu, C. 3D printing of a lithium-calcium-silicate crystal bioscaffold with dual bioactivities for osteochondral interface reconstruction. Biomaterials 2019, 196, 138–150. [Google Scholar] [CrossRef]
- Ramirez-Agudelo, R.; Scheuermann, K.; Gala-Garcia, A.; Monteiro, A.P.F.; Pinzon-Garcia, A.D.; Cortes, M.E.; Sinisterra, R.D. Hybrid nanofibers based on poly-caprolactone/gelatin/hydroxyapatite nanoparticles-loaded Doxycycline: Effective anti-tumoral and antibacterial activity. Mater. Sci. Eng. C 2018, 83, 25–34. [Google Scholar] [CrossRef]
- Ma, H.; Feng, C.; Chang, J.; Wu, C. 3D-printed bioceramic scaffolds: From bone tissue engineering to tumor therapy. Acta Biomater. 2018, 79, 37–59. [Google Scholar] [CrossRef]
- Li, D.; Zhang, K.; Shi, C.; Liu, L.; Yan, G.; Liu, C.; Zhou, Y.; Hu, Y.; Sun, H.; Yang, B. Small molecules modified biomimetic gelatin/hydroxyapatite nanofibers constructing an ideal osteogenic microenvironment with significantly enhanced cranial bone formation. Int. J. Nanomed. 2018, 13, 7167–7181. [Google Scholar] [CrossRef] [Green Version]
- Chen, H.; Yan, G.P.; Li, L.; Ai, C.W.; Yu, X.H. Synthesis, characterization, and properties of ε-caprolactone and carbonate copolymers. J. Appl. Polym. Sci. 2009, 114, 3087–3096. [Google Scholar] [CrossRef]
- Liao, L.Q.; Liu, L.J.; Zhang, C.; He, F.; Zhuo, R.X.; Wan, K. Microwave-assisted ring-opening polymerization of ε-caprolactone. J. Polym. Sci. Part A Polym. Chem. 2002, 40, 1749–1755. [Google Scholar] [CrossRef]
- Liu, F.; Mei, L.L.; Tan, Z.L.; Yan, G.P.; Guo, J.F.; Zhang, Q.; Liu, H.; Yang, J. Studies on microwave-assisted ring-opening polymerization and property of poly(9-phenyl-2,4,8,10-tetraoxaspiro-[5,5] undcane-3-one). Chin. J. Polym. Sci. 2016, 34, 1330–1338. [Google Scholar] [CrossRef]
- Wu, X.; Liao, Z.; Wang, K.; Hua, W.; Liu, X.; Song, Y.; Zhang, Y.; Yang, S.; Yang, C. Targeting the IL-1beta/IL-1Ra pathways for the aggregation of human islet amyloid polypeptide in an ex vivo organ culture system of the intervertebral disc. Exp. Mol. Med. 2019, 51, 1–16. [Google Scholar]
- Liu, Y.; Li, T.; Ma, H.; Zhai, D.; Deng, C.; Wang, J.; Zhuo, S.; Chang, J.; Wu, C. 3D-printed scaffolds with bioactive elements-induced photothermal effect for bone tumor therapy. Acta Biomater. 2018, 73, 531–546. [Google Scholar] [CrossRef] [PubMed]
- Liu, F.; Kang, H.L.; Liu, Z.L.; Jin, S.Y.; Yan, G.P.; Sun, Y.L.; Li, F.; Zhan, H.F.; Gu, Y.T. 3D Printed multi-functional scaffolds based on poly(ε-caprolactone) and hydroxyapatite composites. Nanomaterials 2021, 11, 2456. [Google Scholar] [CrossRef]
- Feng, P.; Wu, P.; Gao, C.; Yang, Y.; Guo, W.; Yang, W.; Shuai, C. A multimaterial scaffold with tunable properties: Toward bone tissue repair. Adv. Sci. 2018, 5, 1700817. [Google Scholar] [CrossRef] [PubMed]









| Tg1 (°C) | Tg2 (°C) | Tg2-Tg1 (°C) | |
|---|---|---|---|
| PTMC | −16.7 | ||
| PTMC/5%HA | −17.0 | ||
| PTMC/10%HA | −17.5 | ||
| PTMC/15%HA | −16.9 | ||
| PTMC/20%HA | −16.7 | ||
| PTMC/25%HA | −16.2 | ||
| PTMC/PLA | −13.9 | 54.9 | 68.8 |
| PTMC/PLA/5%HA | −12.9 | 55.6 | 68.5 |
| PTMC/PLA/10%HA | −13.0 | 55.0 | 68.0 |
| PTMC/PLA/15%HA | −12.2 | 46.6 | 58.9 |
| PTMC/PLA/20%HA | −13.0 | 54.9 | 67.9 |
| PTMC/PLA/25%HA | −15.6 | 55.0 | 70.6 |
| Heating Rate (°C/min) | T10% (°C) | T50% (°C) | T80% (°C) | Tmax (°C) | Residue at 400 °C (%) | Residue at 450 °C (%) |
|---|---|---|---|---|---|---|
| PTMC | 258.6 | 280.6 | 291.7 | 307.9 | 0.3 | 0.3 |
| PTMC/5%HA | 227.1 | 274.1 | 292.5 | 329.6 | 8.6 | 8.3 |
| PTMC/10%HA | 230.1 | 278.4 | 297.7 | 331.2 | 9.3 | 9.1 |
| PTMC/15%HA | 223.2 | 268.9 | 287.6 | 337.2 | 12.4 | 12.3 |
| PTMC/20%HA | 227.8 | 280.1 | 304.1 | 342.1 | 15.7 | 15.4 |
| PTMC/25%HA | 224.8 | 277.9 | 317.9 | 349.5 | 19.2 | 18.9 |
| PTMC/PLA | 298.9 | 317.0 | 328.1 | 376.3 | 0.7 | 0.4 |
| PTMC/PLA/5%HA | 302.5 | 335.8 | 347.1 | 380.8 | 6.3 | 6.0 |
| PTMC/PLA/10%HA | 307.1 | 335.4 | 347.9 | 378.0 | 5.8 | 5.3 |
| PTMC/PLA/15%HA | 267.1 | 333.0 | 352.9 | 395.1 | 16.5 | 15.8 |
| PTMC/PLA/20%HA | 246.5 | 311.0 | 365.0 | 362.6 | 19.6 | 19.3 |
| PTMC/PLA/25%HA | 231.7 | 293.0 | — | 340.1 | 26.0 | 25.9 |
| Compressive Modulus (MPa) | Fσ = 50% (N) | |
|---|---|---|
| PTMC | 1.54 | 80.64 |
| PTMC/5%HA | 4.61 | 220.96 |
| PTMC/10%HA | 5.05 | 254.2 |
| PTMC/15%HA | 6.44 | 296.41 |
| PTMC/20%HA | 6.75 | 307.43 |
| PTMC/25%HA | 8.07 | 325.89 |
| PTMC/PLA | 348.34 | 3057 |
| PTMC/PLA/5%HA | 409.87 | 3513 |
| PTMC/PLA/10%HA | 381.22 | 3236 |
| PTMC/PLA/15%HA | 328.94 | 2961 |
| PTMC/PLA/20%HA | 320.89 | 2932 |
| PTMC/PLA/25%HA | 182.48 | 2019 |
Publisher’s Note: MDPI stays neutral with regard to jurisdictional claims in published maps and institutional affiliations. |
© 2021 by the authors. Licensee MDPI, Basel, Switzerland. This article is an open access article distributed under the terms and conditions of the Creative Commons Attribution (CC BY) license (https://creativecommons.org/licenses/by/4.0/).
Share and Cite
Kang, H.; Jiang, X.; Liu, Z.; Liu, F.; Yan, G.; Li, F. Biodegradable 3D Printed Scaffolds of Modified Poly (Trimethylene Carbonate) Composite Materials with Poly (L-Lactic Acid) and Hydroxyapatite for Bone Regeneration. Nanomaterials 2021, 11, 3215. https://doi.org/10.3390/nano11123215
Kang H, Jiang X, Liu Z, Liu F, Yan G, Li F. Biodegradable 3D Printed Scaffolds of Modified Poly (Trimethylene Carbonate) Composite Materials with Poly (L-Lactic Acid) and Hydroxyapatite for Bone Regeneration. Nanomaterials. 2021; 11(12):3215. https://doi.org/10.3390/nano11123215
Chicago/Turabian StyleKang, Honglei, Xudong Jiang, Zhiwei Liu, Fan Liu, Guoping Yan, and Feng Li. 2021. "Biodegradable 3D Printed Scaffolds of Modified Poly (Trimethylene Carbonate) Composite Materials with Poly (L-Lactic Acid) and Hydroxyapatite for Bone Regeneration" Nanomaterials 11, no. 12: 3215. https://doi.org/10.3390/nano11123215
APA StyleKang, H., Jiang, X., Liu, Z., Liu, F., Yan, G., & Li, F. (2021). Biodegradable 3D Printed Scaffolds of Modified Poly (Trimethylene Carbonate) Composite Materials with Poly (L-Lactic Acid) and Hydroxyapatite for Bone Regeneration. Nanomaterials, 11(12), 3215. https://doi.org/10.3390/nano11123215
