Development of High Dielectric Electrostrictive PVDF Terpolymer Blends for Enhanced Electromechanical Properties
Abstract
1. Introduction
2. Materials and Methods
2.1. Materials
2.2. Preparation of P(VDF-TrFE-CFE)/P3HT-b-PMMA (PVTC-PTM) and P(VDF-TrFE-CFE)/homo P3HT (PVTC-PT) Blend Films
2.3. Electromechanical Measurements
2.4. Characterizations
3. Results and Discussion
3.1. Fabrication of PVTC-PTM Blend Films
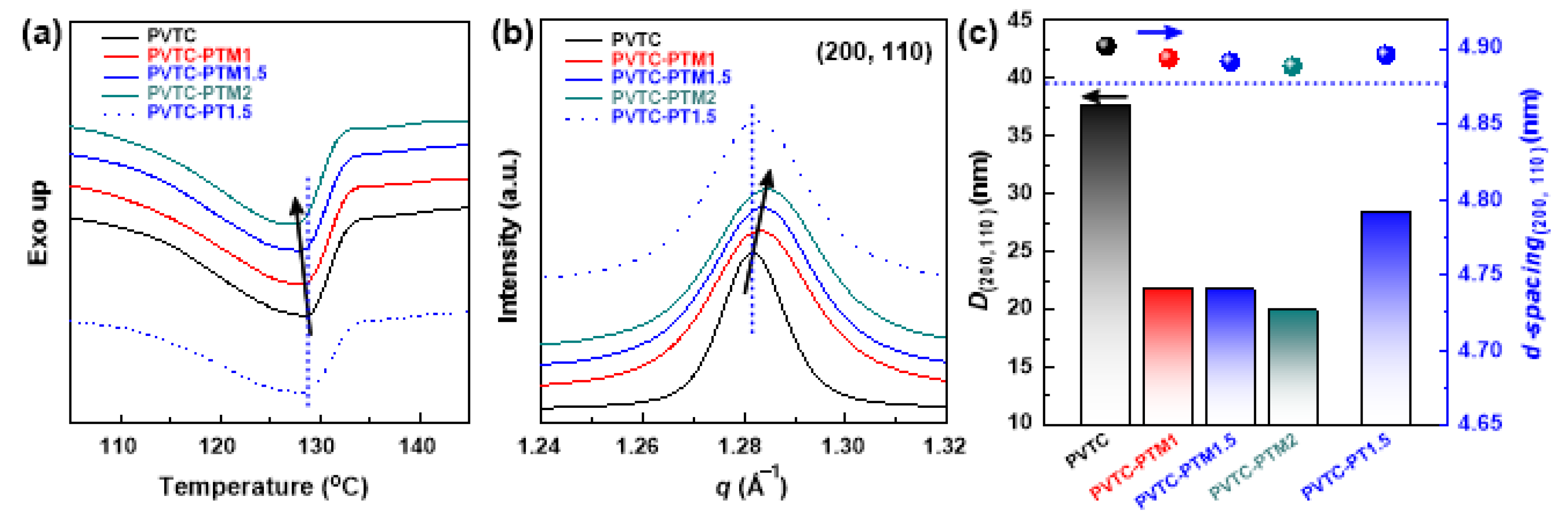
3.2. Compatibility and Crystalline Properties of PVTC-PTM Blends
3.3. Electromechanical Properties of PVTC-PTM Blends
3.4. Electromechanical Strain Mechanism Study
4. Conclusions
Author Contributions
Funding
Conflicts of Interest
References
- Pelrine, R.; Kornbluh, R.; Pei, Q.; Joseph, J. High-Speed Electrically Actuated Elastomers with Strain Greater Than 100%. Science 2000, 287, 836–839. [Google Scholar] [CrossRef] [PubMed]
- Pelrine, R.; Kornbluh, R.; Joseph, J.; Heydt, R.; Pei, Q.; Chiba, S. High-field deformation of elastomeric dielectrics for actuators. Mater. Sci. Eng. C 2000, 11, 89–100. [Google Scholar] [CrossRef]
- Shankar, R.; Ghosh, T.K.; Spontak, R.J. Dielectric elastomers as next-generation polymeric actuators. Soft Matter 2007, 3, 1116–1129. [Google Scholar] [CrossRef] [PubMed]
- Koo, I.M.; Jung, K.; Koo, J.C.; Nam, J.; Lee, Y.K.; Choi, H.R. Development of Soft-Actuator-Based Wearable Tactile Display. IEEE Trans. Robot. 2008, 24, 549–558. [Google Scholar] [CrossRef]
- Shankar, R.; Ghosh, T.K.; Spontak, R.J. Electroactive Nanostructured Polymers as Tunable Actuators. Adv. Mater. 2007, 19, 2218–2223. [Google Scholar] [CrossRef]
- Shankar, R.; Krishnan, A.K.; Ghosh, T.K.; Spontak, R.J. Triblock Copolymer Organogels as High-Performance Dielectric Elastomers. Macromolecules 2008, 41, 6100–6109. [Google Scholar] [CrossRef]
- Zhang, Q.M.; Li, H.; Poh, M.; Xia, F.; Cheng, Z.Y.; Xu, H.; Huang, C. An all-organic composite actuator material with a high dielectric constant. Nature 2002, 419, 284–287. [Google Scholar] [CrossRef] [PubMed]
- Zhang, Q.M.; Su, J.; Kim, C.H.; Ting, R.; Capps, R. An experimental investigation of electromechanical responses in a polyurethane elastomer. J. Appl. Phys. 1997, 81, 2770–2776. [Google Scholar] [CrossRef]
- Pelrine, R.E.; Kornbluh, R.D.; Joseph, J.P. Electrostriction of polymer dielectrics with compliant electrodes as a means of actuation. Sens. Actuators A Phys. 1998, 64, 77–85. [Google Scholar] [CrossRef]
- Bay, L.; West, K.; Sommer-Larsen, P.; Skaarup, S.; Benslimane, M. A Conducting Polymer Artificial Muscle with 12% Linear Strain. Adv. Mater. 2003, 15, 310–313. [Google Scholar] [CrossRef]
- Huang, C.; Zhang, Q. Enhanced Dielectric and Electromechanical Responses in High Dielectric Constant All-Polymer Percolative Composites. Adv. Funct. Mater. 2004, 14, 501–506. [Google Scholar] [CrossRef]
- Zhang, S.; Zhang, N.; Huang, C.; Ren, K.; Zhang, Q.M. Microstructure and Electromechanical Properties of Carbon Nanotube/Poly(vinylidene fluoride—trifluoroethylene—chlorofluoroethylene) Composites. Adv. Mater. 2005, 17, 1897–1901. [Google Scholar] [CrossRef]
- Bauer, F.; Fousson, E.; Zhang, Q.M.; Lee, L.M. Ferroelectric copolymers and terpolymers for electrostrictors: Synthesis and properties. IEEE Trans. Dielectr. Electr. Insul. 2004, 11, 293–298. [Google Scholar] [CrossRef]
- Bauer, F.; Fousson, E.; Zhang, Q.M. Recent advances in highly electrostrictive P(VDF-TrFE-CFE) terpolymers. IEEE Trans. Dielectr. Electr. Insul. 2006, 13, 1149–1154. [Google Scholar] [CrossRef]
- Xia, F.; Cheng, Z.-Y.; Xu, H.S.; Li, H.F.; Zhang, Q.M.; Kavarnos, G.J.; Ting, R.Y.; Abdul-Sadek, G.; Belfield, K.D. High Electromechanical Responses in a Poly(vinylidene fluoride–trifluoroethylene–chlorofluoroethylene) Terpolymer. Adv. Mater. 2002, 14, 1574–1577. [Google Scholar] [CrossRef]
- Huang, X.; Jiang, P. Core–Shell Structured High-k Polymer Nanocomposites for Energy Storage and Dielectric Applications. Adv. Mater. 2015, 27, 546–554. [Google Scholar] [CrossRef]
- da Silva, A.B.; Arjmand, M.; Sundararaj, U.; Bretas, R.E.S. Novel composites of copper nanowire/PVDF with superior dielectric properties. Polymer 2014, 55, 226–234. [Google Scholar] [CrossRef]
- Wang, C.-C.; Song, J.-F.; Bao, H.-M.; Shen, Q.-D.; Yang, C.-Z. Enhancement of Electrical Properties of Ferroelectric Polymers by Polyaniline Nanofibers with Controllable Conductivities. Adv. Funct. Mater. 2008, 18, 1299–1306. [Google Scholar] [CrossRef]
- Huang, C.; Zhang, Q.M.; deBotton, G.; Bhattacharya, K. All-organic dielectric-percolative three-component composite materials with high electromechanical response. Appl. Phys. Lett. 2004, 84, 4391–4393. [Google Scholar] [CrossRef]
- Yadav, S.K.; Kim, I.J.; Kim, H.J.; Kim, J.; Hong, S.M.; Koo, C.M. PDMS/MWCNT nanocomposite actuators using silicone functionalized multiwalled carbon nanotubes via nitrene chemistry. J. Mater. Chem. C 2013, 1, 5463–5470. [Google Scholar] [CrossRef]
- Cho, K.Y.; Park, H.; Kim, H.-J.; Do, X.H.; Koo, C.M.; Hwang, S.S.; Yoon, H.G.; Baek, K.-Y. Highly enhanced electromechanical properties of PVDF-TrFE/SWCNT nanocomposites using an efficient polymer compatibilizer. Compos. Sci. Technol. 2018, 157, 21–29. [Google Scholar] [CrossRef]
- Cho, K.Y.; Cho, A.R.; Lee, Y.J.; Koo, C.M.; Hong, S.M.; Wang, S.S.; Yoon, H.G.; Baek, K.Y. Enhanced Electrical Properties of PVDF-TrFE Nanocomposite for Actuator Application. Key Eng. Mater. 2014, 605, 335–339. [Google Scholar] [CrossRef]
- Baughman, R.H.; Shacklette, L.W.; Elsenbaumer, R.L.; Plichta, E.; Becht, C. Conducting Polymer Electromechanical Actuators. In Conjugated Polymeric Materials: Opportunities in Electronics, Optoelectronics, and Molecular Electronics; Springer: Dordrecht, The Netherlands, 1990; pp. 559–582. [Google Scholar]
- Hutchison, A.S.; Lewis, T.W.; Moulton, S.E.; Spinks, G.M.; Wallace, G.G. Development of polypyrrole-based electromechanical actuators. Synth. Met. 2000, 113, 121–127. [Google Scholar] [CrossRef]
- Baughman, R.H. Conducting polymer artificial muscles. Synth. Met. 1996, 78, 339–353. [Google Scholar] [CrossRef]
- Spinks, G.M.; Wallace, G.G.; Liu, L.; Zhou, D. Conducting polymers electromechanical actuators and strain sensors. Macromol. Symp. 2003, 192, 161–170. [Google Scholar] [CrossRef]
- Wang, J.-W.; Shen, Q.-D.; Yang, C.-Z.; Zhang, Q.-M. High Dielectric Constant Composite of P(VDF−TrFE) with Grafted Copper Phthalocyanine Oligomer. Macromolecules 2004, 37, 2294–2298. [Google Scholar] [CrossRef]
- Molberg, M.; Crespy, D.; Rupper, P.; Nüesch, F.; Månson, J.-A.E.; Löwe, C.; Opris, D.M. High Breakdown Field Dielectric Elastomer Actuators Using Encapsulated Polyaniline as High Dielectric Constant Filler. Adv. Funct. Mater. 2010, 20, 3280–3291. [Google Scholar] [CrossRef]
- Cho, K.Y.; Yeom, Y.S.; Seo, H.Y.; Kumar, P.; Baek, K.-Y.; Yoon, H.G. A facile synthetic route for highly durable mesoporous platinum thin film electrocatalysts based on graphene: Morphological and support effects on the oxygen reduction reaction. J. Mater. Chem. A 2017, 5, 3129–3135. [Google Scholar] [CrossRef]
- Jeffries, E.M.; Sauvé, G.; McCullough, R.D. Facile Synthesis of End-Functionalized Regioregular Poly(3-alkylthiophene)s via Modified Grignard Metathesis Reaction. Macromolecules 2005, 38, 10346–10352. [Google Scholar] [CrossRef]
- Baek, K.-Y.; Kamigaito, M.; Sawamoto, M. Synthesis of end-functionalized poly(methyl methacrylate) by ruthenium-catalyzed living radical polymerization with functionalized initiators. J. Polym. Sci. A Polym. Chem. 2002, 40, 1937–1944. [Google Scholar] [CrossRef]
- Kim, H.-J.; Cho, K.Y.; Hwang, S.S.; Choi, D.H.; Ko, M.J.; Baek, K.-Y. Controlled synthesis of multi-armed P3HT star polymers with gold nanoparticle core. RSC Adv. 2016, 6, 49206–49213. [Google Scholar] [CrossRef]
- Chambon, S.; Schatz, C.; Sébire, V.; Pavageau, B.; Wantz, G.; Hirsch, L. Organic semiconductor core–shell nanoparticles designed through successive solvent displacements. Mater. Horiz. 2014, 1, 431–438. [Google Scholar] [CrossRef]
- Park, J.; Choi, C.; Hyun, S.; Moon, H.C.; Vincent Joseph, K.L.; Kim, J.K. Microphase Separation of P3HT-Containing Miktoarm Star Copolymers. Macromolecules 2016, 49, 616–623. [Google Scholar] [CrossRef]
- Park, S.-H.; Ahn, Y.; Jang, M.; Kim, H.-J.; Cho, K.Y.; Hwang, S.S.; Lee, J.-H.; Baek, K.-Y. Effects of methacrylate based amphiphilic block copolymer additives on ultra filtration PVDF membrane formation. Sep. Purif. Technol. 2018, 202, 34–44. [Google Scholar] [CrossRef]
- Cho, K.Y.; Lee, A.S.; Jeon, H.; Park, S.-H.; Jang, M.; Yoon, H.G.; Hong, S.M.; Baek, K.-Y.; Hwang, S.S. Tuning the interface between poly(vinylidene fluoride)/UV-curable polysilsesquioxane hybrid composites: Compatibility, thermal, mechanical, electrical, and surface properties. Polymer 2015, 77, 167–176. [Google Scholar] [CrossRef]
- Cho, K.Y.; Lee, Y.-J.; Kim, H.-J.; Yoon, H.G.; Hwang, S.S.; Han, Y.-K.; Baek, K.-Y. Interfacial control of PVDF-TrFE/SWCNT nanocomposites using P3HT-PMMA block copolymer for ultra-low percolation threshold. Polymer 2015, 77, 55–63. [Google Scholar] [CrossRef]
- Klein, R.J.; Runt, J.; Zhang, Q.M. Influence of Crystallization Conditions on the Microstructure and Electromechanical Properties of Poly(vinylidene fluoride−trifluoroethylene−chlorofluoroethylene) Terpolymers. Macromolecules 2003, 36, 7220–7226. [Google Scholar] [CrossRef]
- Zhu, L.; Wang, Q. Novel Ferroelectric Polymers for High Energy Density and Low Loss Dielectrics. Macromolecules 2012, 45, 2937–2954. [Google Scholar] [CrossRef]
- Samara, G.A. The relaxational properties of compositionally disordered ABO3 perovskites. J. Phys. Condens. Matter 2003, 15, R367–R411. [Google Scholar] [CrossRef]
- Bokov, A.A.; Ye, Z.G. Recent progress in relaxor ferroelectrics with perovskite structure. J. Mater. Sci. 2006, 41, 31–52. [Google Scholar] [CrossRef]
- Kwak, H.-L.; Cho, K.; Yu, S.; Baek, K.-Y.; Lee, J.-C.; Hong, S.M.; Koo, C.M. Tunable polymer actuators via a simple and versatile blending approach. Sens. Actuators B Chem. 2012, 174, 547–554. [Google Scholar] [CrossRef]
- Kha Tu, N.D.; Noh, M.-S.; Ko, Y.; Kim, J.-H.; Kang, C.Y.; Kim, H. Enhanced electromechanical performance of P(VDF-TrFE-CTFE) thin films hybridized with highly dispersed carbon blacks. Compos. Part B Eng. 2018, 152, 133–138. [Google Scholar] [CrossRef]
- Cheng, Z.Y.; Bharti, V.; Xu, T.B.; Xu, H.; Mai, T.; Zhang, Q.M. Electrostrictive poly(vinylidene fluoride-trifluoroethylene) copolymers. Sens. Actuators A Phys. 2001, 90, 138–147. [Google Scholar] [CrossRef]
- Cho, K.Y.; Hwang, S.S.; Yoon, H.G.; Baek, K.-Y. Electroactive methacrylate-based triblock copolymer elastomer for actuator application. J. Polym. Sci. A Polym. Chem. 2013, 51, 1924–1932. [Google Scholar] [CrossRef]
- Cho, K.Y.; Cho, A.; Kim, H.-J.; Park, S.-H.; Koo, C.M.; Kwark, Y.J.; Yoon, H.G.; Hwang, S.S.; Baek, K.-Y. Control of hard block segments of methacrylate-based triblock copolymers for enhanced electromechanical performance. Polym. Chem. 2016, 7, 7391–7399. [Google Scholar] [CrossRef]
- Li, Z.; Moon, K.S.; Kim, S.; Wong, C.P. Enhancement of dielectric strength and processibility of high dielectric constant Al nanocomposite by organic molecule treatment. In Proceedings of the 2011 IEEE 61st Electronic Components and Technology Conference (ECTC), Lake Buena Vista, FL, USA, 31 May–3 June 2011; pp. 2073–2078. [Google Scholar]
- Kim, I.J.; Min, K.; Park, H.; Hong, S.M.; Kim, W.N.; Kang, S.H.; Koo, C.M. Mechanical, dielectric, and electromechanical properties of silicone dielectric elastomer actuators. J. Appl. Polym. Sci. 2014, 131, 40030. [Google Scholar] [CrossRef]
- Fortunato, M.; Chandraiahgari, C.R.; De Bellis, G.; Ballirano, P.; Sarto, F.; Tamburrano, A.; Sarto, M.S. Piezoelectric Effect and Electroactive Phase Nucleation in Self-Standing Films of Unpoled PVDF Nanocomposite Films. Nanomaterials 2018, 8, 743. [Google Scholar] [CrossRef]
- Behera, K.; Yadav, M.; Chiu, F.-C.; Rhee, K.Y. Graphene Nanoplatelet-Reinforced Poly(vinylidene fluoride)/High Density Polyethylene Blend-Based Nanocomposites with Enhanced Thermal and Electrical Properties. Nanomaterials 2019, 9, 361. [Google Scholar] [CrossRef]
- Wang, A.; Hu, M.; Zhou, L.; Qiang, X. Self-Powered Wearable Pressure Sensors with Enhanced Piezoelectric Properties of Aligned P(VDF-TrFE)/MWCNT Composites for Monitoring Human Physiological and Muscle Motion Signs. Nanomaterials 2018, 8, 1021. [Google Scholar] [CrossRef]







| Entry | 2θ | d (nm) | hkl | FWHM (rad) | Da (nm) | Xcb (%) |
|---|---|---|---|---|---|---|
| PVTC | 18.08 | 4.902 | (200, 110) | 0.0043 | 38.52 | 15.5 |
| PVTC-PTM1 | 18.11 | 4.894 | (200, 110) | 0.0076 | 21.72 | 17.4 |
| PVTC-PTM1.5 | 18.12 | 4.892 | (200, 110) | 0.0076 | 21.68 | 19.1 |
| PVTC-PTM2 | 18.13 | 4.889 | (200, 110) | 0.0083 | 19.87 | 22.2 |
| PVTC-PT1.5 | 18.10 | 4.897 | (200, 110) | 0.0058 | 28.28 | 16.9 |
| Entry | Filler Content (wt%) | K at 100 Hz | Y (GPa) | Transverse Strain a (%) | Mb (μm2 V−2, ×10−4) | US (kJ cm−3) | Ref. | |
|---|---|---|---|---|---|---|---|---|
| PVDF Polymers | PVTC | 0.0 | 54.1 | 0.08 | 0.22 | 2.4 | 0.19 | This Work |
| PVTC-PTM1 | 1.0 | 72.8 | 0.103 | 0.24 | 2.7 | 0.30 | This Work | |
| PVTC-PTM1.5 | 1.5 | 89.6 | 0.132 | 0.35 | 3.9 | 0.81 | This Work | |
| PVTC-PTM2 | 2.0 | 116.8 | 0.157 | 0.44 | 4.9 | 1.52 | This Work | |
| PVTC-PT1.5 | 1.5 | 76.3 | 0.150 | 0.25 | 2.8 | 0.47 | This Work | |
| P(VDF-TrFE) (68/32) | - | 14.0 | 0.4 | 0.20 | - | - | [44] | |
| Silicone Rubbers | PDMS | - | 3.3 c | 0.0002 | 0.25 | - | - | [48] |
| PDMS/CNT | 0.01 | 3.4 c | 0.00024 | 0.40 | - | - | [20] | |
| Acrylic Polymers | PMDM | - | 3.4 | 0.00017 | 0.035 | - | - | [45] |
| PTMDMT | - | 3.8 | 0.00021 | 0.11 | - | - | [46] | |
| PTDT | - | 3.9 | 0.00052 | 0.07 | - | - | [46] |
Publisher’s Note: MDPI stays neutral with regard to jurisdictional claims in published maps and institutional affiliations. |
© 2020 by the authors. Licensee MDPI, Basel, Switzerland. This article is an open access article distributed under the terms and conditions of the Creative Commons Attribution (CC BY) license (http://creativecommons.org/licenses/by/4.0/).
Share and Cite
Kim, I.J.; Cho, K.Y.; Kim, E.; Kwon, Y.J.; Shon, M.Y.; Park, B.-I.; Yu, S.; Lee, J.H. Development of High Dielectric Electrostrictive PVDF Terpolymer Blends for Enhanced Electromechanical Properties. Nanomaterials 2021, 11, 6. https://doi.org/10.3390/nano11010006
Kim IJ, Cho KY, Kim E, Kwon YJ, Shon MY, Park B-I, Yu S, Lee JH. Development of High Dielectric Electrostrictive PVDF Terpolymer Blends for Enhanced Electromechanical Properties. Nanomaterials. 2021; 11(1):6. https://doi.org/10.3390/nano11010006
Chicago/Turabian StyleKim, Il Jin, Kie Yong Cho, Eunji Kim, Young Je Kwon, Min Young Shon, Bo-In Park, Seunggun Yu, and Jin Hong Lee. 2021. "Development of High Dielectric Electrostrictive PVDF Terpolymer Blends for Enhanced Electromechanical Properties" Nanomaterials 11, no. 1: 6. https://doi.org/10.3390/nano11010006
APA StyleKim, I. J., Cho, K. Y., Kim, E., Kwon, Y. J., Shon, M. Y., Park, B.-I., Yu, S., & Lee, J. H. (2021). Development of High Dielectric Electrostrictive PVDF Terpolymer Blends for Enhanced Electromechanical Properties. Nanomaterials, 11(1), 6. https://doi.org/10.3390/nano11010006

