Dehydrogenation of Ethylene on Supported Palladium Nanoparticles: A Double View from Metal and Hydrocarbon Sides
Abstract
1. Introduction
2. Materials and Methods
2.1. Materials
2.2. In Situ XAFS and XRD Measurements and Analysis
2.3. In Situ DRIFTS Measurements
2.4. DFT Calculations
3. Results
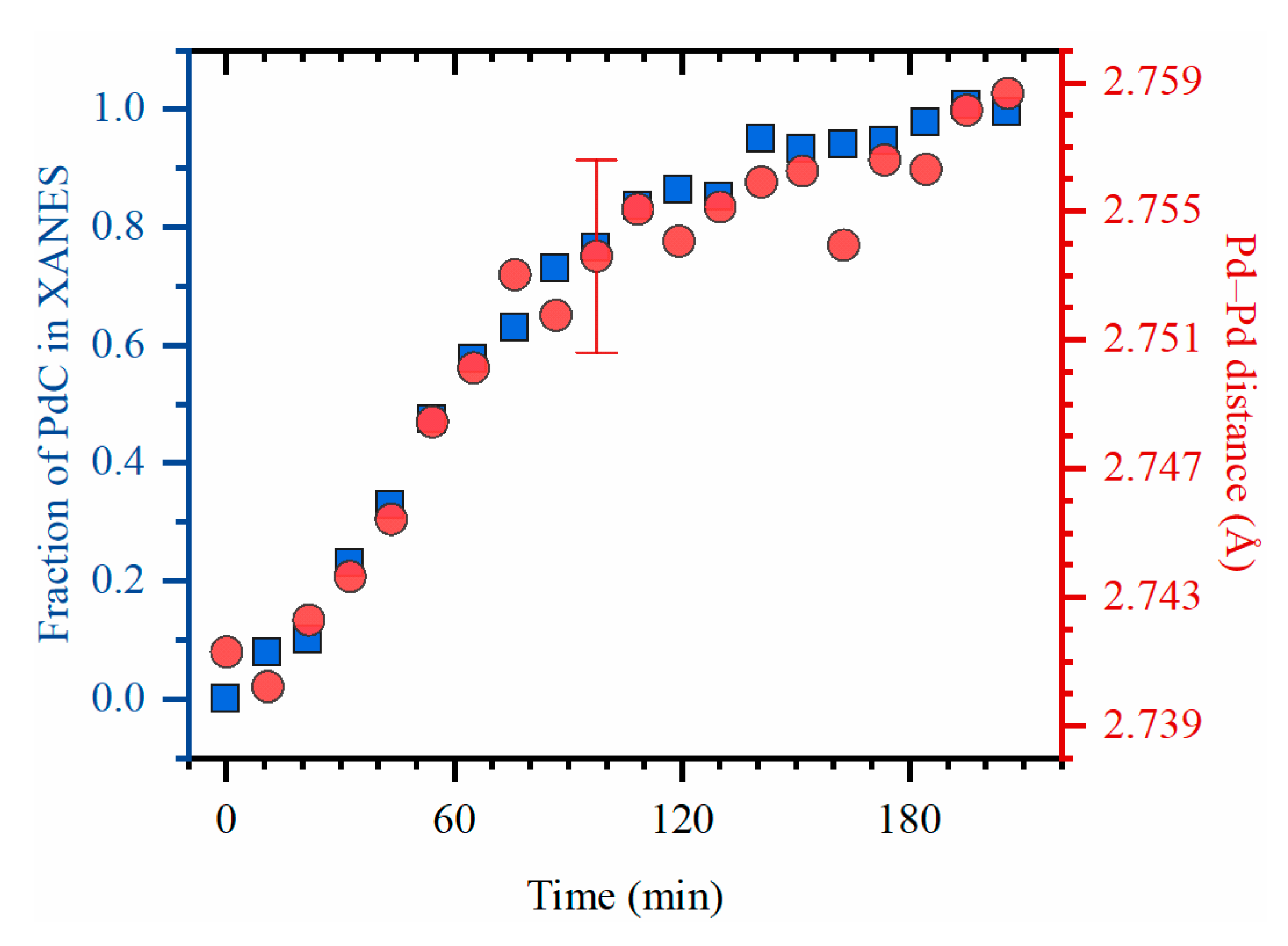
3.1. Evolution of the Bulk Structure of the NPs
3.2. Detection of Surface Species by In Situ DRIFTS
3.3. DFT Relaxation of CnHm on Pd Surfaces and Their Vibrational Spectra
4. Discussion
5. Conclusions
Supplementary Materials
Author Contributions
Funding
Acknowledgments
Conflicts of Interest
References
- Molnar, A.; Sarkany, A.; Varga, M. Hydrogenation of carbon-carbon multiple bonds: Chemo-, regio- and stereo-selectivity. J. Mol. Catal. A Chem. 2001, 173, 185–221. [Google Scholar] [CrossRef]
- Borodziński, A.; Bond, G.C. Selective hydrogenation of ethyne in ethene-rich streams on palladium catalysts. Part 1. Effect of changes to the catalyst during reaction. Cat. Rev. Sci. Eng. 2006, 48, 91–144. [Google Scholar] [CrossRef]
- Monyoncho, E.A.; Steinmann, S.N.; Michel, C.; Baranova, E.A.; Woo, T.K.; Sautet, P. Ethanol electro-oxidation on palladium revisited using polarization modulation infrared reflection absorption spectroscopy (PM-IRRAS) and density functional theory (DFT): Why is it difficult to break the C–C bond? ACS Catal. 2016, 6, 4894–4906. [Google Scholar] [CrossRef]
- Avery, N.R. Infrared spectra of olefins adsorbed on silica supported palladium. J. Catal. 1970, 19, 15–31. [Google Scholar] [CrossRef]
- Studt, F.; Abild-Pedersen, F.; Bligaard, T.; Sorensen, R.Z.; Christensen, C.H.; Norskov, J.K. On the role of surface modifications of palladium catalysts in the selective hydrogenation of acetylene. Angew. Chem. Int. Ed. 2008, 47, 9299–9302. [Google Scholar] [CrossRef]
- Studt, F.; Abild-Pedersen, F.; Bligaard, T.; Sorensen, R.Z.; Christensen, C.H.; Norskov, J.K. Identification of non-precious metal alloy catalysts for selective hydrogenation of acetylene. Science 2008, 320, 1320–1322. [Google Scholar] [CrossRef]
- Sárkány, A.; Horváth, A.; Beck, A. Hydrogenation of acetylene over low loaded Pd and Pd-Au/SiO2 catalysts. Appl. Catal. 2002, 229, 117–125. [Google Scholar] [CrossRef]
- Mittendorfer, F.; Thomazeau, C.; Raybaud, P.; Toulhoat, H. Adsorption of unsaturated hydrocarbons on Pd(111) and Pt(111): A DFT study. J. Phys. Chem. A 2003, 107, 12287–12295. [Google Scholar] [CrossRef]
- Sautet, P.; Paul, J.F. Low temperature adsorption of ethylene and butadiene on platinum and palladium surfaces: A theoretical study of the diσ/π competition. Catal. Lett. 1991, 9, 245–260. [Google Scholar] [CrossRef]
- Davis, J.L.; Barteau, M.A. Polymerization and decarbonylation reactions of aldehydes on the Pd(111) surface. J. Am. Chem. Soc. 1989, 111, 1782–1792. [Google Scholar] [CrossRef]
- Zaera, F. New advances in the use of infrared absorption spectroscopy for the characterization of heterogeneous catalytic reactions. Chem. Soc. Rev. 2014, 43, 7624–7663. [Google Scholar] [CrossRef] [PubMed]
- Zaera, F.; Janssens, T.V.W.; Öfner, H. Reflection absorption infrared spectroscopy and kinetic studies of the reactivity of ethylene on Pt(111) surfaces. Surf. Sci. 1996, 368, 371–376. [Google Scholar] [CrossRef]
- Tillekaratne, A.; Simonovis, J.P.; Zaera, F. Ethylene hydrogenation catalysis on Pt(111) single-crystal surfaces studied by using mass spectrometry and in situ infrared absorption spectroscopy. Surf. Sci. 2016, 652, 134–141. [Google Scholar] [CrossRef]
- Deng, R.; Jones, J.; Trenary, M. Spectroscopic characterization of vinyl formed from acetylene on Pt(111). J. Phys. Chem. C 2006, 111, 1459–1466. [Google Scholar] [CrossRef]
- Hay, P.J. The binding of ethylene to platinum and palladium. An ab initio study of the MCl3(C2H4)- species. J. Am. Chem. Soc. 1981, 103, 1390–1393. [Google Scholar] [CrossRef]
- Ren, Y.; Waluyo, I.; Yin, J.; Trenary, M. Spectroscopic characterization of C2Hx intermediates in the dissociation of vinyl iodide on Pt(111). Surf. Sci. 2015, 637, 29–34. [Google Scholar] [CrossRef]
- Wang, Y.; Dong, X.; Yu, Y.; Zhang, M. Investigation on the conversion of ethylene to ethylidyne on Pt(100) and Pd(100) using density functional theory. Phys. Chem. Chem. Phys. 2016, 18, 26949–26955. [Google Scholar] [CrossRef]
- Zhao, Z.-J.; Greeley, J.P. Identification of surface intermediates during ethylidyne formation on Pt(111) by calculation of infrared intensities and deuterium isotope shifts. Surf. Sci. 2015, 640, 112–118. [Google Scholar] [CrossRef]
- Henderson, M.A.; Mitchell, G.E.; White, J.M. The chemisorption of methyl halides (Cl, Br and I) on Pt(111). Surf. Sci. 1987, 184, L325–L331. [Google Scholar] [CrossRef]
- Mohsin, S.B.; Trenary, M.; Robota, H.J. Identification of ethylene-derived species on alumina-supported Rh, Ir, Pd, and Pt catalysts by infrared spectroscopy. J. Phys. Chem. 1991, 95, 6657–6661. [Google Scholar] [CrossRef]
- Aleksandrov, H.A.; Moskaleva, L.V.; Zhao, Z.-J.; Basaran, D.; Chen, Z.-X.; Mei, D.; Rösch, N. Ethylene conversion to ethylidyne on Pd(111) and Pt(111): A first-principles-based kinetic Monte Carlo study. J. Catal. 2012, 285, 187–195. [Google Scholar] [CrossRef]
- Beebe, T.P.; Yates, J.T. An in situ infrared spectroscopic investigation of the role of ethylidyne in the ethylene hydrogenation reaction on palladium/alumina. J. Am. Chem. Soc. 1986, 108, 663–671. [Google Scholar] [CrossRef]
- Fahmi, A.; van Santen, R.A. Density functional study of ethylene adsorption on palladium clusters. J. Phys. Chem. 1996, 100, 5676–5680. [Google Scholar] [CrossRef]
- Kaltchev, M.; Thompson, A.W.; Tysoe, W.T. Reflection-absorption infrared spectroscopy of ethylene on palladium (111) at high pressure. Surf. Sci. 1997, 391, 145–149. [Google Scholar] [CrossRef]
- Andrés, J.L.; Martí, J.; Duran, M.; Lledós, A.; Bertrán, J. Theoretical study of infrared spectra perturbed by uniform electric fields: Ab initio calculations on H2O, NH3, H2CO, and C2H4. J. Chem. Phys. 1991, 95, 3521–3527. [Google Scholar] [CrossRef]
- Bare, W.D.; Citra, A.; Chertihin, G.V.; Andrews, L. Reactions of laser-ablated platinum and palladium atoms with dioxygen. Matrix infrared spectra and density functional calculations of platinum oxides and complexes and palladium complexes. J. Phys. Chem. A 1999, 103, 5456–5462. [Google Scholar] [CrossRef]
- Buczek, A.; Kupka, T.; Broda, M.A.; Zyla, A. Predicting the structure and vibrational frequencies of ethylene using harmonic and anharmonic approaches at the Kohn-Sham complete basis set limit. J. Mol. Model. 2016, 22, 42. [Google Scholar] [CrossRef]
- Andrews, L.; Wang, X.; Alikhani, M.E.; Manceron, L. Observed and calculated infrared spectra of Pd(H2)1,2,3 complexes and palladium hydrides in solid argon and neon. J. Phys. Chem. A 2001, 105, 3052–3063. [Google Scholar] [CrossRef]
- Jones, W.; Wells, P.P.; Gibson, E.K.; Chutia, A.; Silverwood, I.P.; Catlow, C.R.A.; Bowker, M. Carbidisation of Pd nanoparticles by ethene decomposition with methane production. ChemCatChem 2019, 11, 4334–4339. [Google Scholar] [CrossRef]
- Bowker, M.; Cookson, L.; Bhantoo, J.; Carley, A.; Hayden, E.; Gilbert, L.; Morgan, C.; Counsell, J.; Yaseneva, P. The decarbonylation of acetaldehyde on Pd crystals and on supported catalysts. Appl. Catal. A 2011, 391, 394–399. [Google Scholar] [CrossRef]
- Bowker, M.; Morgan, C.; Perkins, N.; Holroyd, R.; Fourre, E.; Grillo, F.; MacDowall, A. Ethene adsorption, dehydrogenation and reaction with Pd(110): Pd as a carbon ‘sponge’. J. Phys. Chem. B 2005, 109, 2377–2386. [Google Scholar] [CrossRef] [PubMed]
- Bugaev, A.L.; Guda, A.A.; Lazzarini, A.; Lomachenko, K.A.; Groppo, E.; Pellegrini, R.; Piovano, A.; Emerich, H.; Soldatov, A.V.; Bugaev, L.A.; et al. In situ formation of hydrides and carbides in palladium catalyst: When XANES is better than EXAFS and XRD. Catal. Today 2017, 283, 119–126. [Google Scholar] [CrossRef]
- Bugaev, A.L.; Guda, A.A.; Lomachenko, K.A.; Kamyshova, E.G.; Soldatov, M.A.; Kaur, G.; Øien-Ødegaard, S.; Braglia, L.; Lazzarini, A.; Manzoli, M.; et al. Operando study of palladium nanoparticles inside UiO-67 MOF for catalytic hydrogenation of hydrocarbons. Faraday Discuss. 2018, 208, 287–306. [Google Scholar] [CrossRef] [PubMed]
- Bugaev, A.L.; Usoltsev, O.A.; Guda, A.A.; Lomachenko, K.A.; Pankin, I.A.; Rusalev, Y.V.; Emerich, H.; Groppo, E.; Pellegrini, R.; Soldatov, A.V.; et al. Palladium carbide and hydride formation in the bulk and at the surface of palladium nanoparticles. J. Phys. Chem. C 2018, 122, 12029–12037. [Google Scholar] [CrossRef]
- Bugaev, A.L.; Usoltsev, O.A.; Lazzarini, A.; Lomachenko, K.A.; Guda, A.A.; Pellegrini, R.; Carosso, M.; Vitillo, J.G.; Groppo, E.; van Bokhoven, J.A.; et al. Time-resolved operando studies of carbon supported Pd nanoparticles under hydrogenation reactions by X-ray diffraction and absorption. Faraday Discuss. 2018, 208, 187–205. [Google Scholar] [CrossRef] [PubMed]
- Bugaev, A.L.; Guda, A.A.; Pankin, I.A.; Groppo, E.; Pellegrini, R.; Longo, A.; Soldatov, A.V.; Lamberti, C. The role of palladium carbides in the catalytic hydrogenation of ethylene over supported palladium nanoparticles. Catal. Today 2019, 336, 40–44. [Google Scholar] [CrossRef]
- Bugaev, A.L.; Guda, A.A.; Pankin, I.A.; Groppo, E.; Pellegrini, R.; Longo, A.; Soldatov, A.V.; Lamberti, C. Operando X-ray absorption spectra and mass spectrometry data during hydrogenation of ethylene over palladium nanoparticles. Data Brief 2019, 24, 103954. [Google Scholar] [CrossRef]
- Bugaev, A.L.; Usoltsev, O.A.; Guda, A.A.; Lomachenko, K.A.; Brunelli, M.; Groppo, E.; Pellegrini, R.; Soldatov, A.V.; van Bokhoven, J. Hydrogenation of ethylene over palladium: Evolution of the catalyst structure by operando synchrotron-based techniques. Faraday Discuss. 2020. [Google Scholar] [CrossRef]
- Usoltsev, O.A.; Bugaev, A.L.; Guda, A.A.; Guda, S.A.; Soldatov, A.V. Absorption of hydrocarbons on palladium catalysts: From simple models towards machine learning analysis of X-ray absorption spectroscopy data. Top. Catal. 2020, 63, 58–65. [Google Scholar] [CrossRef]
- Skorynina, A.A.; Tereshchenko, A.A.; Usoltsev, O.A.; Bugaev, A.L.; Lomachenko, K.A.; Guda, A.A.; Groppo, E.; Pellegrini, R.; Lamberti, C.; Soldatov, A.V. Time-dependent carbide phase formation in palladium nanoparticles. Radiat. Phys. Chem. 2020. [Google Scholar] [CrossRef]
- McCaulley, J.A. In-situ X-ray absorption spectroscopy studies of hydride and carbide formation in supported palladium catalysts. J. Phys. Chem. 1993, 97, 10372–10379. [Google Scholar] [CrossRef]
- Tew, M.W.; Janousch, M.; Huthwelker, T.; van Bokhoven, J.A. The roles of carbide and hydride in oxide-supported palladium nanoparticles for alkyne hydrogenation. J. Catal. 2011, 283, 45–54. [Google Scholar] [CrossRef]
- Tew, M.W.; Nachtegaal, M.; Janousch, M.; Huthwelker, T.; van Bokhoven, J.A. The irreversible formation of palladium carbide during hydrogenation of 1-pentyne over silica-supported palladium nanoparticles: In situ Pd K and L3 edge XAS. Phys. Chem. Chem. Phys. 2012, 14, 5761–5768. [Google Scholar] [CrossRef] [PubMed]
- Guda, A.A.; Guda, S.A.; Lomachenko, K.A.; Soldatov, M.A.; Pankin, I.A.; Soldatov, A.V.; Braglia, L.; Bugaev, A.L.; Martini, A.; Signorile, M.; et al. Quantitative structural determination of active sites from in situ and operando XANES spectra: From standard ab initio simulations to chemometric and machine learning approaches. Catal. Today 2019, 336, 3–21. [Google Scholar] [CrossRef]
- Kamyshova, E.G.; Skorynina, A.A.; Bugaev, A.L.; Lamberti, C.; Soldatov, A.V. Formation and growth of Pd nanoparticles in UiO-67 MOF by in situ EXAFS. Radiat. Phys. Chem. 2020, 175, 108144. [Google Scholar] [CrossRef]
- Bugaev, A.L.; Skorynina, A.A.; Kamyshova, E.G.; Lomachenko, K.A.; Guda, A.A.; Soldatov, A.V.; Lamberti, C. In situ X-ray absorption spectroscopy data during formation of active Pt- and Pd-sites in functionalized UiO-67 metal-organic frameworks. Data Brief 2019, 25, 104280. [Google Scholar] [CrossRef]
- Bugaev, A.L.; Srabionyan, V.V.; Soldatov, A.V.; Bugaev, L.A.; van Bokhoven, J.A. The role of hydrogen in formation of Pd XANES in Pd-nanoparticles. J. Phys. Conf. Ser. 2013, 430, 012028–012033. [Google Scholar] [CrossRef]
- Bugaev, A.L.; Guda, A.A.; Lomachenko, K.A.; Lazzarini, A.; Srabionyan, V.V.; Vitillo, J.G.; Piovano, A.; Groppo, E.; Bugaev, L.A.; Soldatov, A.V.; et al. Hydride phase formation in carbon supported palladium hydride nanoparticles by in situ EXAFS and XRD. J. Phys. Conf. Ser. 2016, 712, 012032. [Google Scholar] [CrossRef]
- Braglia, L.; Borfecchia, E.; Maddalena, L.; Øien, S.; Lomachenko, K.A.; Bugaev, A.L.; Bordiga, S.; Soldatov, A.V.; Lillerud, K.P.; Lamberti, C. Exploring structure and reactivity of Cu sites in functionalized UiO-67 MOFs. Catal. Today 2017, 283, 89–103. [Google Scholar] [CrossRef]
- Bugaev, A.L.; Guda, A.A.; Lomachenko, K.A.; Shapovalov, V.V.; Lazzarini, A.; Vitillo, J.G.; Bugaev, L.A.; Groppo, E.; Pellegrini, R.; Soldatov, A.V.; et al. Core–shell structure of palladium hydride nanoparticles revealed by combined X-ray absorption spectroscopy and X-ray diffraction. J. Phys. Chem. C 2017, 121, 18202–18213. [Google Scholar] [CrossRef]
- Piovano, A.; Lazzarini, A.; Pellegrini, R.; Leofanti, G.; Agostini, G.; Rudić, S.; Bugaev, A.L.; Lamberti, C.; Groppo, E. Progress in the characterization of the surface species in activated carbons by means of INS spectroscopy coupled with detailed DFT calculations. Adv. Cond. Matter Phys. 2015, 2015, 1–8. [Google Scholar] [CrossRef]
- Bugaev, A.L.; Guda, A.A.; Lomachenko, K.A.; Srabionyan, V.V.; Bugaev, L.A.; Soldatov, A.V.; Lamberti, C.; Dmitriev, V.P.; van Bokhoven, J.A. Temperature- and pressure-dependent hydrogen concentration in supported PdHx nanoparticles by Pd K-edge X-ray absorption spectroscopy. J. Phys. Chem. C 2014, 118, 10416–10423. [Google Scholar] [CrossRef]
- van Beek, W.; Safonova, O.V.; Wiker, G.; Emerich, H. SNBL, a dedicated beamline for combinedin situ X-ray diffraction, X-ray absorption and Raman scattering experiments. Phase Transit. 2011, 84, 726–732. [Google Scholar] [CrossRef]
- Martini, A.; Guda, S.A.; Guda, A.A.; Smolentsev, G.; Algasov, A.; Usoltsev, O.; Soldatov, M.A.; Bugaev, A.; Rusalev, Y.; Lamberti, C.; et al. PyFitit: The software for quantitative analysis of XANES spectra using machine-learning algorithms. Comput. Phys. Commun. 2020, 250, 107064. [Google Scholar] [CrossRef]
- Guda, A.A.; Guda, S.A.; Soldatov, M.A.; Lomachenko, K.A.; Bugaev, A.L.; Lamberti, C.; Gawelda, W.; Bressler, C.; Smolentsev, G.; Soldatov, A.V.; et al. Finite difference method accelerated with sparse solvers for structural analysis of the metal-organic complexes. J. Phys. Conf. Ser. 2016, 712, 012004. [Google Scholar] [CrossRef]
- Guda, S.A.; Guda, A.A.; Soldatov, M.A.; Lomachenko, K.A.; Bugaev, A.L.; Lamberti, C.; Gawelda, W.; Bressler, C.; Smolentsev, G.; Soldatov, A.V.; et al. Optimized finite difference method for the full-potential XANES simulations: Application to molecular adsorption geometries in MOFs and metal–ligand intersystem crossing transients. J. Chem. Teory Comput. 2015, 11, 4512–4521. [Google Scholar] [CrossRef]
- Kresse, G.; Furthmuller, J. Efficient iterative schemes for ab initio total-energy calculations using a plane-wave basis set. Phys. Rev. B 1996, 54, 11169–11186. [Google Scholar] [CrossRef]
- Kresse, G.; Joubert, D. From ultrasoft pseudopotentials to the projector augmented-wave method. Phys. Rev. B 1999, 59, 1758–1775. [Google Scholar] [CrossRef]
- Perdew, J.P.; Burke, K.; Ernzerhof, M. Generalized gradient approximation made simple. Phys. Rev. Lett. 1996, 77, 3865–3868. [Google Scholar] [CrossRef]
- Rogers, S.M.; Catlow, C.R.A.; Chan-Thaw, C.E.; Chutia, A.; Jian, N.; Palmer, R.E.; Perdjon, M.; Thetford, A.; Dimitratos, N.; Villa, A.; et al. Tandem site- and size-controlled Pd nanoparticles for the directed hydrogenation of furfural. ACS Catal. 2017, 7, 2266–2274. [Google Scholar] [CrossRef]
- Cadeville, M.C.; Lerner, C. On the electronic structure of interstitial transition-metal based alloys with boron and carbon impurities. Philos. Mag. 1976, 33, 801–824. [Google Scholar] [CrossRef]
- Zhao, Z.-J.; Moskaleva, L.V.; Aleksandrov, H.A.; Basaran, D.; Rösch, N. Ethylidyne Formation from Ethylene over Pt(111): A Mechanistic Study from First-Principle Calculations. J. Phys. Chem. C 2010, 114, 12190–12201. [Google Scholar] [CrossRef]
- Stuve, E.M.; Madix, R.J. Bonding and dehydrogenation of ethylene on palladium metal. Vibrational spectra and temperature-programed reaction studies on palladium(100). J. Phys. Chem. 1985, 89, 105–112. [Google Scholar] [CrossRef]
- Li, Z.; Calaza, F.; Tysoe, W.T. The adsorption and reaction of vinyl acetate on Au/Pd(100) alloy surfaces. Surf. Sci. 2012, 606, 1113–1119. [Google Scholar] [CrossRef]
- Stacchiola, D.; Azad, S.; Burkholder, L.; Tysoe, W.T. An Investigation of the Reaction Pathway for Ethylene Hydrogenation on Pd(111). J. Phys. Chem. B 2001, 105, 11233–11239. [Google Scholar] [CrossRef]
- Stuve, E.M.; Madix, R.J. Use of the pi.sigma. parameter for characterization of rehybridization upon adsorption on metal surfaces. J. Phys. Chem. 1985, 89, 3183–3185. [Google Scholar] [CrossRef]
- Calaza, F.; Li, Z.; Tysoe, W.T. Reaction Between Ethylene and Acetate Species on Clean and Oxygen-Covered Pd(100): Implications for the Vinyl Acetate Monomer Formation Pathway. Catal. Lett. 2011, 141, 266–270. [Google Scholar] [CrossRef]
- Ciuparu, D.; Perkins, E.; Pfefferle, L. In situ DR-FTIR investigation of surface hydroxyls on γ-Al2O3 supported PdO catalysts during methane combustion. Appl. Catal. A 2004, 263, 145–153. [Google Scholar] [CrossRef]
- Groppo, E.; Bertarione, S.; Rotunno, F.; Agostini, G.; Scarano, D.; Pellegrini, R.; Leofanti, G.; Zecchina, A.; Lamberti, C. Role of the support in determining the vibrational properties of carbonyls formed on Pd supported on SiO2−Al2O3, Al2O3, and MgO. J. Phys. Chem. C 2007, 111, 7021–7028. [Google Scholar] [CrossRef]
- Ganesh, P.; Kent, P.R.C.; Veith, G.M. Role of hydroxyl groups on the stability and catalytic activity of Au clusters on a rutile surface. J. Phys. Chem. Lett. 2011, 2, 2918–2924. [Google Scholar] [CrossRef]
- Smith, A. The Coblentz Society Desk Book of Infrared Spectra; The Coblentz Society: Kirkwood, MO, USA, 1982; Volume 2. [Google Scholar]
- Matolin, V.; Stara, I.; Tsud, N.; Johanek, V. XPS and TDS study of CO interaction with Pd–AlOx systems. Prog. Surf. Sci. 2001, 67, 167–181. [Google Scholar] [CrossRef]






© 2020 by the authors. Licensee MDPI, Basel, Switzerland. This article is an open access article distributed under the terms and conditions of the Creative Commons Attribution (CC BY) license (http://creativecommons.org/licenses/by/4.0/).
Share and Cite
Usoltsev, O.A.; Pnevskaya, A.Y.; Kamyshova, E.G.; Tereshchenko, A.A.; Skorynina, A.A.; Zhang, W.; Yao, T.; Bugaev, A.L.; Soldatov, A.V. Dehydrogenation of Ethylene on Supported Palladium Nanoparticles: A Double View from Metal and Hydrocarbon Sides. Nanomaterials 2020, 10, 1643. https://doi.org/10.3390/nano10091643
Usoltsev OA, Pnevskaya AY, Kamyshova EG, Tereshchenko AA, Skorynina AA, Zhang W, Yao T, Bugaev AL, Soldatov AV. Dehydrogenation of Ethylene on Supported Palladium Nanoparticles: A Double View from Metal and Hydrocarbon Sides. Nanomaterials. 2020; 10(9):1643. https://doi.org/10.3390/nano10091643
Chicago/Turabian StyleUsoltsev, Oleg A., Anna Yu. Pnevskaya, Elizaveta G. Kamyshova, Andrei A. Tereshchenko, Alina A. Skorynina, Wei Zhang, Tao Yao, Aram L. Bugaev, and Alexander V. Soldatov. 2020. "Dehydrogenation of Ethylene on Supported Palladium Nanoparticles: A Double View from Metal and Hydrocarbon Sides" Nanomaterials 10, no. 9: 1643. https://doi.org/10.3390/nano10091643
APA StyleUsoltsev, O. A., Pnevskaya, A. Y., Kamyshova, E. G., Tereshchenko, A. A., Skorynina, A. A., Zhang, W., Yao, T., Bugaev, A. L., & Soldatov, A. V. (2020). Dehydrogenation of Ethylene on Supported Palladium Nanoparticles: A Double View from Metal and Hydrocarbon Sides. Nanomaterials, 10(9), 1643. https://doi.org/10.3390/nano10091643

