Interfacial Engineering of Pickering Emulsion Co-Stabilized by Zein Nanoparticles and Tween 20: Effects of the Particle Size on the Interfacial Concentration of Gallic Acid and the Oxidative Stability
Abstract
1. Introduction
2. Materials and Methods
2.1. Materials
2.2. Fabrication of Zein Colloidal Particles with Different Sizes
2.3. Particle Size, Polydispersity Index (PDI), and Ζ-Potential Measurement
2.4. Preparation of Pickering Emulsion Co-Stabilized by Zein Nanoparticles and Tween 20 (Zpes)
2.5. Determination of Kobs Values and (GAI) in ZPE
2.6. Oxidative Stability and Physical Stability of Emulsions
2.7. Evaluation of Antioxidant Capacity
2.8. Microstructure of Zpes Revealed by Confocal Laser Scanning Microscope (CLSM)
2.9. Determination of Surface-Loading Content of Zein Nanoparticles in ZPE (Γ)
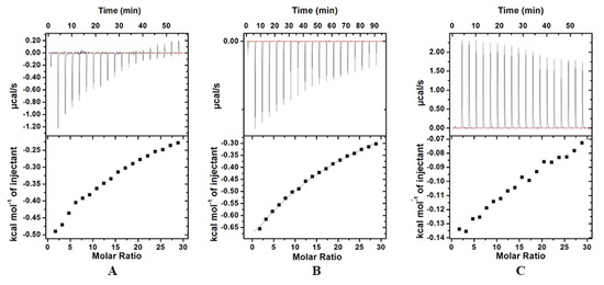
2.10. Thermodynamic Parameters of the Binding Process Quantified by the Isothermal Titration Calorimetry (ITC)
2.11. Statistical Analysis
3. Results and Discussions
3.1. Characterization of ZPEs
3.2. Effect of Particle Size on Oxidative Stability of ZPE
3.3. Effect of Particle Size on (GAI) of ZPE
4. Conclusions
Author Contributions
Funding
Conflicts of Interest
References
- McClements, D.J.; Decker, E. Interfacial antioxidants: A review of natural and synthetic emulsifiers and coemulsifiers that can inhibit lipid oxidation. J. Agric. Food Chem. 2017, 66, 20–35. [Google Scholar] [CrossRef]
- Laguerre, M.; Bily, A.; Roller, M.; Birtić, S. Mass transport phenomena in lipid oxidation and antioxidation. Annu. Rev. Food Sci. Technol. 2017, 8, 391–411. [Google Scholar] [CrossRef]
- Decker, E.A.; McClements, D.J.; Bourlieu-Lacanal, C.; Durand, E.; Figueroa-Espinoza, M.C.; Lecomte, J.; Villeneuve, P. Hurdles in predicting antioxidant efficacy in oil-in-water emulsions. Trends Food Sci. Technol. 2017, 67, 183–194. [Google Scholar] [CrossRef]
- Berton-Carabin, C.C.; Ropers, M.-H.; Genot, C. Lipid oxidation in oil-in-water emulsions: Involvement of the interfacial layer. Compr. Rev. Food Sci. Food Saf. 2014, 13, 945–977. [Google Scholar] [CrossRef]
- Xiao, J.; Li, C.; Huang, Q. Kafirin nanoparticle-stabilized Pickering emulsions as oral delivery vehicles: Physicochemical stability and in vitro digestion profile. J. Agric. Food Chem. 2015, 63, 10263–10270. [Google Scholar] [CrossRef] [PubMed]
- Xiao, J.; Li, Y.; Huang, Q. Recent advances on food-grade particles stabilized Pickering emulsions: Fabrication, characterization and research trends. Trends Food Sci. Technol. 2016, 55, 48–60. [Google Scholar] [CrossRef]
- Zhu, Z.; Zhao, C.; Yi, J.; Liu, N.; Cao, Y.; Decker, E.A.; McClements, D.J. Impact of interfacial composition on lipid and protein co-oxidation in oil-in-water emulsions containing mixed emulisifers. J. Agric. Food Chem. 2018, 66, 4458–4468. [Google Scholar] [CrossRef] [PubMed]
- Yang, L.; Qin, X.; Kan, J.; Liu, X.; Zhong, J. Improving the Physical and Oxidative Stability of Emulsions Using Mixed Emulsifiers: Casein-Octenyl Succinic Anhydride Modified Starch Combinations. Nanomaterials (Basel) 2019, 9, 1018. [Google Scholar] [CrossRef] [PubMed]
- McClements, D.J. Nanoemulsions versus microemulsions: Terminology, differences, and similarities. Soft Matter 2012, 8, 1719–1729. [Google Scholar] [CrossRef]
- Song, X.; Zheng, F.; Ma, F.; Kang, H.; Ren, H. The physical and oxidative stabilities of Pickering emulsion stabilized by starch particle and small molecular surfactant. Food Chem. 2020, 303, 125391. [Google Scholar] [CrossRef]
- Yuan, Q.; Williams, R.A. CO-stabilisation mechanisms of nanoparticles and surfactants in Pickering Emulsions produced by membrane emulsification. J. Membr. Sci. 2016, 497, 221–228. [Google Scholar] [CrossRef]
- Xiao, J.; Lu, X.; Huang, Q. Double emulsion derived from kafirin nanoparticles stabilized Pickering emulsion: Fabrication, microstructure, stability and in vitro digestion profile. Food Hydrocoll. 2017, 62, 230–238. [Google Scholar] [CrossRef]
- Xiao, J.; Wang, X.a.; Perez Gonzalez, A.J.; Huang, Q. Kafirin nanoparticles-stabilized Pickering emulsions: Microstructure and rheological behavior. Food Hydrocoll. 2016, 54, 30–39. [Google Scholar] [CrossRef]
- McClements, D.J.; Bai, L.; Chung, C. Recent advances in the utilization of natural emulsifiers to form and stabilize emulsions. Annu. Rev. Food Sci. Technol. 2017, 8, 205–236. [Google Scholar] [CrossRef]
- Aaen, R.; Brodin, F.W.; Simon, S.; Heggset, E.B.; Syverud, K. Oil-in-Water Emulsions Stabilized by Cellulose Nanofibrils-The Effects of Ionic Strength and pH. Nanomaterials (Basel) 2019, 9, 259. [Google Scholar] [CrossRef]
- Shakeel, A.; Farooq, U.; Chassagne, C. Interfacial and Bulk Stabilization of Oil/Water System: A Novel Synergistic Approach. Nanomaterials (Basel) 2020, 10, 356. [Google Scholar] [CrossRef]
- Schroder, A.; Sprakel, J.; Boerkamp, W.; Schroen, K.; Berton-Carabin, C.C. Can we prevent lipid oxidation in emulsions by using fat-based Pickering particles? Food Res. Int. 2019, 120, 352–363. [Google Scholar] [CrossRef]
- Mitrus, O.; Zuraw, M.; Losada-Barreiro, S.; Bravo-Diaz, C.; Paiva-Martins, F. Targeting antioxidants to interfaces: Control of the oxidative stability of lipid-based emulsions. J. Agric. Food Chem. 2019, 67, 3266–3274. [Google Scholar] [CrossRef]
- Raimundez-Rodriguez, E.A.; Losada-Barreiro, S.; Bravo-Diaz, C. Enhancing the fraction of antioxidants at the interfaces of oil-in-water emulsions: A kinetic and thermodynamic analysis of their partitioning. J. Colloid Interface Sci. 2019, 555, 224–233. [Google Scholar] [CrossRef]
- Ferreira, I.; Costa, M.; Losada-Barreiro, S.; Paiva-Martins, F.; Bravo-Diaz, C. Modulating the interfacial concentration of gallates to improve the oxidative stability of fish oil-in-water emulsions. Food Res. Int. 2018, 112, 192–198. [Google Scholar] [CrossRef]
- Almeida, J.; Losada-Barreiro, S.; Costa, M.; Paiva-Martins, F.; Bravo-Diaz, C.; Romsted, L.S. Interfacial concentrations of hydroxytyrosol and its lipophilic esters in intact olive oil-in-water emulsions: Effects of antioxidant hydrophobicity, surfactant concentration, and the oil-to-water ratio on the oxidative stability of the emulsions. J. Agric. Food Chem. 2016, 64, 5274–5283. [Google Scholar] [CrossRef] [PubMed]
- Losada-Barreiro, S.; Bravo-Díaz, C.; Romsted, L.S. Distributions of phenolic acid antioxidants between the interfacial and aqueous regions of corn oil emulsions: Effects of pH and emulsifier concentration. Eur. J. Lipid Sci. Technol. 2015, 117, 1801–1813. [Google Scholar] [CrossRef]
- Losada-Barreiro, S.; Sanchez-Paz, V.; Bravo-Diaz, C.; Paiva-Martins, F.; Romsted, L.S. Temperature and emulsifier concentration effects on gallic acid distribution in a model food emulsion. J. Colloid Interface Sci. 2012, 370, 73–79. [Google Scholar] [CrossRef] [PubMed]
- Li, F.; Chen, Y.; Liu, S.; Qi, J.; Wang, W.; Wang, C.; Zhong, R.; Chen, Z.; Li, X.; Guan, Y.; et al. Size-controlled fabrication of zein nano/microparticles by modified anti-solvent precipitation with/without sodium caseinate. Int. J. Nanomed. 2017, 12, 8197–8209. [Google Scholar] [CrossRef]
- de Folter, J.W.J.; van Ruijven, M.W.M.; Velikov, K.P. Oil-in-water Pickering emulsions stabilized by colloidal particles from the water-insoluble protein zein. Soft Matter 2012, 8, 6807. [Google Scholar] [CrossRef]
- Wang, X.; Huang, H.; Chu, X.; Han, Y.; Li, M.; Li, G.; Liu, X. Encapsulation and binding properties of curcumin in zein particles stabilized by Tween 20. Colloid Surf. A 2019, 577, 274–280. [Google Scholar] [CrossRef]
- Wang, X.; Chu, X. Role of surfactant in the formation of zein/Tween-20 nanoparticles studied by fluorescence and circular dichroism. Colloid Surf. A 2018, 558, 110–116. [Google Scholar] [CrossRef]
- Zhao, Z.; Lu, M.; Mao, Z.; Xiao, J.; Huang, Q.; Lin, X.; Cao, Y. Modulation of interfacial phenolic antioxidant distribution in Pickering emulsions via interactions between zein nanoparticles and gallic acid. Int. J. Biol. Macromol. 2020, 152, 223–233. [Google Scholar] [CrossRef]
- Gunaseelan, K.; Romsted, L.S.; Elisa, G.R.; Carlos, B.D. Determining partition constants of polar organic molecules between the oil/interfacial and water/interfacial regions in emulsions: A combined electrochemical and spectrometric method. Langmuir 2004, 20, 3047–3055. [Google Scholar] [CrossRef]
- Pastoriza-Gallego, M.J.; Losada-Barreiro, S.; Bravo-Díaz, C. Interfacial kinetics in octane based emulsions. Effects of surfactant concentration on the reaction between 16-ArN2+ and octyl and lauryl gallates. Colloid Surf. A 2015, 480, 171–177. [Google Scholar] [CrossRef]
- Feng, Y.; Lee, Y. Surface modification of zein colloidal particles with sodium caseinate to stabilize oil-in-water pickering emulsion. Food Hydrocoll. 2016, 56, 292–302. [Google Scholar] [CrossRef]
- Tapia-Hernandez, J.A.; Del-Toro-Sanchez, C.L.; Cinco-Moroyoqui, F.J.; Ruiz-Cruz, S.; Juarez, J.; Castro-Enriquez, D.D.; Barreras-Urbina, C.G.; Lopez-Ahumada, G.A.; Rodriguez-Felix, F. Gallic acid-loaded zein nanoparticles by electrospraying process. J. Food Sci. 2019, 84, 818–831. [Google Scholar] [CrossRef] [PubMed]
- Kargar, M.; Spyropoulos, F.; Norton, I.T. The effect of interfacial microstructure on the lipid oxidation stability of oil-in-water emulsions. J. Colloid Interface Sci. 2011, 357, 527–533. [Google Scholar] [CrossRef] [PubMed]
- Losada Barreiro, S.; Bravo-Diaz, C.; Paiva-Martins, F.; Romsted, L.S. Maxima in antioxidant distributions and efficiencies with increasing hydrophobicity of gallic acid and its alkyl esters. The pseudophase model interpretation of the “cutoff effect”. J. Agric. Food Chem. 2013, 61, 6533–6543. [Google Scholar] [CrossRef]
- Wang, Q.; Tang, Y.; Yang, Y.; Zhao, J.; Zhang, Y.; Li, L.; Wang, Q.; Ming, J. Interaction between wheat gliadin and quercetin under different pH conditions analyzed by multi-spectroscopy methods. Spectrochim. Acta A 2019, 229, 117937. [Google Scholar] [CrossRef]
- Khatun, S.; Riyazuddeen; Yasmeen, S.; Kumar, A.; Subbarao, N. Calorimetric, spectroscopic and molecular modelling insight into the interaction of gallic acid with bovine serum albumin. J. Chem. Thermodyn. 2018, 122, 85–94. [Google Scholar] [CrossRef]
- Ge, S.; Xiong, L.; Li, M.; Liu, J.; Yang, J.; Chang, R.; Liang, C.; Sun, Q. Characterizations of Pickering emulsions stabilized by starch nanoparticles: Influence of starch variety and particle size. Food Chem. 2017, 234, 339–347. [Google Scholar] [CrossRef]








| Size (d·nm) | D 3,2 (μm) | Γ (mg/m 2) | PWI | |
|---|---|---|---|---|
| Z (70 nm) | 73.52 ± 0.02 | 9.99 ± 0.03 | 0.58 ± 0.03 | 61.31 |
| Z (130 nm) | 131.30 ± 0.70 | 9.77 ± 0.22 | 0.77 ± 0.02 | 93.12 |
| Z (220 nm) | 218.2 ± 1.44 | 9.62 ± 0.18 | 0.71 ± 0.03 | 81.85 |
| Zein Nanoparticles | DPPH Radical Scavenging Activity% (30 min) | 0.5 mm GA + Zein Nanoparticles | DPPH Radical Scavenging Activity% (30 min) |
|---|---|---|---|
| Tween 20 | — | Tween 20 | 95.00 ± 0.47 |
| Z (70 nm) | 20.94 ± 1.37 | Z (70 nm) | 94.25 ± 0.26 |
| Z (130 nm) | 22.64 ± 0.76 | Z (130 nm) | 95.87 ± 0.36 |
| Z (220 nm) | 21.82 ± 1.37 | Z (220 nm) | 94.74 ± 0.57 |
| N | Ka (M −1) | ΔH (cal/mol) | ΔS (cal/mol/deg) | |
|---|---|---|---|---|
| Z (70 nm) | 0.132 | 32.0 | −3.60 × 105 | −1.20 × 103 |
| Z (130 nm) | 0.00318 | 32.2 | −1.99 × 107 | −6.66 × 104 |
| Z (220 nm) | 0.091 | 18.6 | −2.54 × 105 | −884 |
© 2020 by the authors. Licensee MDPI, Basel, Switzerland. This article is an open access article distributed under the terms and conditions of the Creative Commons Attribution (CC BY) license (http://creativecommons.org/licenses/by/4.0/).
Share and Cite
Zhao, Z.; Wang, W.; Xiao, J.; Chen, Y.; Cao, Y. Interfacial Engineering of Pickering Emulsion Co-Stabilized by Zein Nanoparticles and Tween 20: Effects of the Particle Size on the Interfacial Concentration of Gallic Acid and the Oxidative Stability. Nanomaterials 2020, 10, 1068. https://doi.org/10.3390/nano10061068
Zhao Z, Wang W, Xiao J, Chen Y, Cao Y. Interfacial Engineering of Pickering Emulsion Co-Stabilized by Zein Nanoparticles and Tween 20: Effects of the Particle Size on the Interfacial Concentration of Gallic Acid and the Oxidative Stability. Nanomaterials. 2020; 10(6):1068. https://doi.org/10.3390/nano10061068
Chicago/Turabian StyleZhao, Zijun, Wenbo Wang, Jie Xiao, Yunjiao Chen, and Yong Cao. 2020. "Interfacial Engineering of Pickering Emulsion Co-Stabilized by Zein Nanoparticles and Tween 20: Effects of the Particle Size on the Interfacial Concentration of Gallic Acid and the Oxidative Stability" Nanomaterials 10, no. 6: 1068. https://doi.org/10.3390/nano10061068
APA StyleZhao, Z., Wang, W., Xiao, J., Chen, Y., & Cao, Y. (2020). Interfacial Engineering of Pickering Emulsion Co-Stabilized by Zein Nanoparticles and Tween 20: Effects of the Particle Size on the Interfacial Concentration of Gallic Acid and the Oxidative Stability. Nanomaterials, 10(6), 1068. https://doi.org/10.3390/nano10061068

