Optical and Mechanical Characteristics of One-Shade Composite Resins
Abstract
1. Introduction
2. Methods and Materials
2.1. Color Adjustment Potential Analysis
2.2. Translucency Measurement
2.3. Flexural Strength and Flexural Modulus
2.4. Depth of Cure
2.5. Statistical Analysis
3. Results
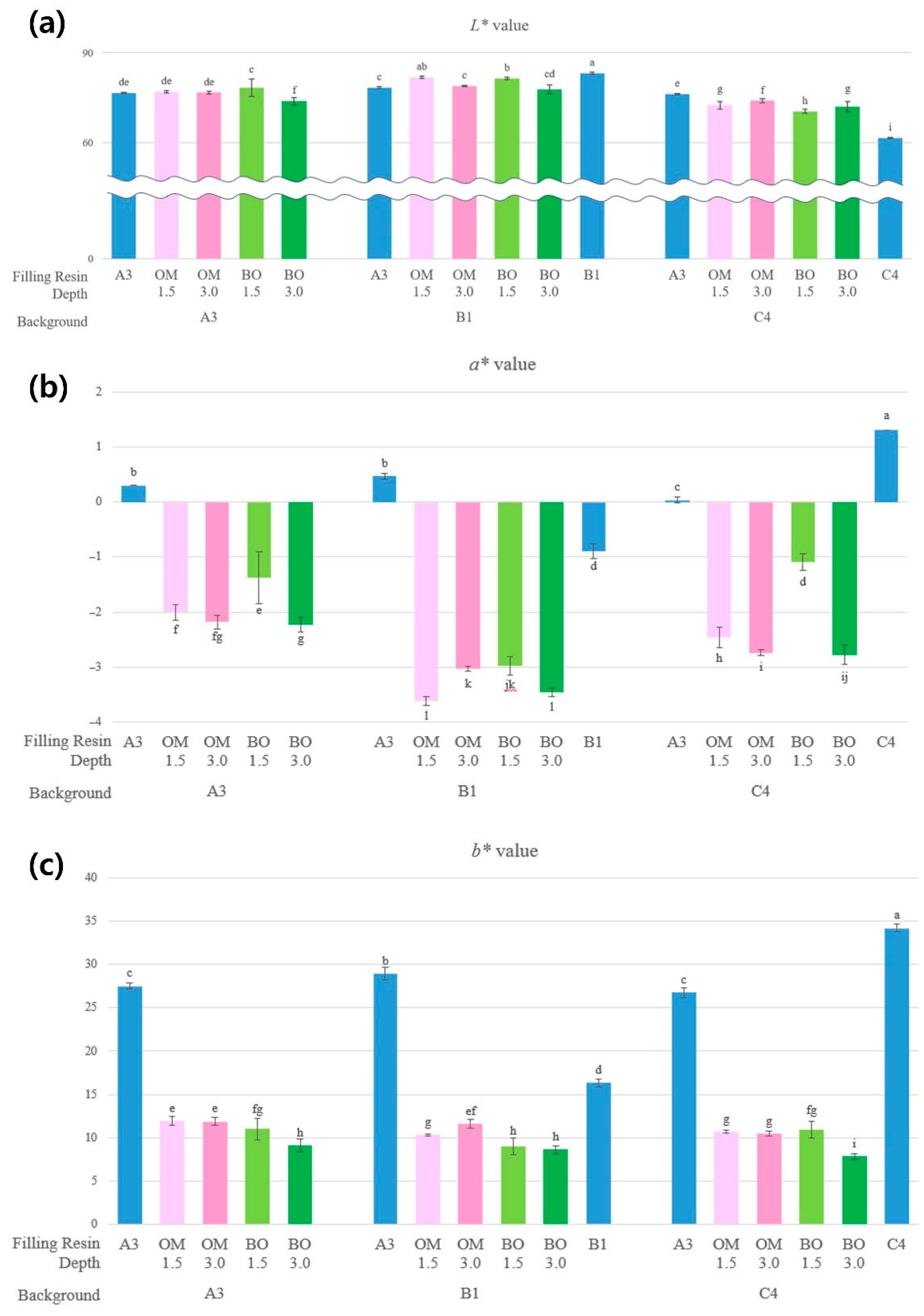
3.1. Color Adjustment Analysis
3.2. Translucency Measurement
3.3. Flexural Strength and Flexural Modulus
3.4. Depth of Cure
4. Discussion
5. Conclusions
Author Contributions
Funding
Institutional Review Board Statement
Informed Consent Statement
Data Availability Statement
Conflicts of Interest
References
- Villarroel, M.; Fahl, N.; De Sousa, A.M.; De Oliveira, O.B. Direct Esthetic Restorations Based on Translucency and Opacity of Composite Resins. J. Esthet. Restor. Dent. 2011, 23, 73–87. [Google Scholar] [CrossRef]
- Islam, M.S.; Huda, N.; Mahendran, S.; Aryal Ac, S.; Nassar, M.; Rahman, M.M. The Blending Effect of Single-Shade Composite with Different Shades of Conventional Resin Composites-An In Vitro Study. Eur. J. Dent. 2023, 17, 342–348. [Google Scholar] [CrossRef] [PubMed]
- Çalişkan, A.; Alagöz, L.G.; Irmak, Ö. Shade Matching Potential of One-Shade Resin Composites used for Restoration Repair. Dent. Mater. J. 2023, 42, 158–166. [Google Scholar] [CrossRef] [PubMed]
- Miller, L. Organizing Color in Dentistry. J. Am. Dent. Assoc. 1987, 115, 26–40. [Google Scholar] [CrossRef] [PubMed]
- Lucena, C.; Ruiz-López, J.; Pulgar, R.; Della Bona, A.; Pérez, M.M. Optical Behavior of One-Shaded Resin-based Composites. Dent. Mater. 2021, 37, 840–848. [Google Scholar] [CrossRef]
- Kobayashi, S.; Nakajima, M.; Furusawa, K.; Tichy, A.; Hosaka, K.; Tagami, J. Color Adjustment Potential of Single-shade Resin Composite to Various-shade Human Teeth: Effect of Structural Color Phenomenon. Dent. Mater. J. 2021, 40, 1033–1040. [Google Scholar] [CrossRef]
- Yamashita, A.; Kobayashi, S.; Furusawa, K.; Tichy, A.; Oguro, R.; Hosaka, K.; Shimada, Y.; Nakajima, M. Does the Thickness of Universal-shade Composites Affect the Ability to Reflect the Color of Background Dentin? Dent. Mater. J. 2023, 42, 255–265. [Google Scholar] [CrossRef]
- Ismail, E.H.; Paravina, R.D. Color Adjustment Potential of Resin Composites: Optical Illusion or Physical Reality, a Comprehensive Overview. J. Esthet. Restor. Dent. 2022, 34, 42–54. [Google Scholar] [CrossRef]
- Altınışık, H.; Özyurt, E. Instrumental and Visual Evaluation of the Color Adjustment Potential of Different Single-shade Resin Composites to Human Teeth of Various Shades. Clin. Oral. Investig. 2023, 27, 889–896. [Google Scholar] [CrossRef]
- El-Damanhoury, H.; Platt, J. Polymerization Shrinkage Stress Kinetics and Related Properties of Bulk-fill Resin Composites. Oper. Dent. 2014, 39, 374–382. [Google Scholar] [CrossRef]
- Ilie, N.; Bucuta, S.; Draenert, M. Bulk-fill Resin-based Composites: An In vitro Assessment of Their Mechanical Performance. Oper. Dent. 2013, 38, 618–625. [Google Scholar] [CrossRef] [PubMed]
- Benetti, A.R.; Havndrup-Pedersen, C.; Honoré, D.; Pedersen, M.K.; Pallesen, U. Bulk-fill Resin Composites: Polymerization Contraction, Depth of Cure, and Gap Formation. Oper. Dent. 2015, 40, 190–200. [Google Scholar] [CrossRef]
- Jang, J.-H.; Park, S.-H.; Hwang, I. Polymerization Shrinkage and Depth of Cure of Bulk-fill Resin Composites and Highly Filled Flowable Resin. Oper. Dent. 2015, 40, 172–180. [Google Scholar] [CrossRef] [PubMed]
- Kim, H.-J.; Kwon, J.; Kim, H.-J.; Kim, R.-H.; Kim, D.-S.; Jang, J.-H. Comparison of Polymerization Behaviors, Microhardness and Compressive Strength between Bulk-fill Resin and Dual-cured Core Resin. BMC Oral Health 2025, 25, 972. [Google Scholar] [CrossRef]
- Luo, M.R.; Cui, G.; Rigg, B. The Development of the CIE 2000 Colour-Difference Formula: CIEDE2000. COLOR Res. Appl. 2001, 26, 340–350. [Google Scholar] [CrossRef]
- Salas, M.; Lucena, C.; Herrera, L.J.; Yebra, A.; Della Bona, A.; Pérez, M.M. Translucency Thresholds for Dental Materials. Dent. Mater. 2018, 34, 1168–1174. [Google Scholar] [CrossRef]
- ISO 4049:2019; Dentistry—Polymer-Based Restorative Materials. International Organization for Standardization: Geneva, Switzerland, 2019; p. 29.
- Yılmaz Atalı, P.; Doğu Kaya, B.; Manav Özen, A.; Tarçın, B.; Şenol, A.A.; Tüter Bayraktar, E.; Korkut, B.; Bilgin Göçmen, G.; Tağtekin, D.; Türkmen, C. Assessment of Micro-Hardness, Degree of Conversion, and Flexural Strength for Single-Shade Universal Resin Composites. Polymers 2022, 14, 4987. [Google Scholar] [CrossRef]
- Durand, L.B.; Ruiz-López, J.; Perez, B.G.; Ionescu, A.M.; Carrillo-Pérez, F.; Ghinea, R.; Pérez, M.M. Color, Lightness, Chroma, Hue, and Translucency Adjustment Potential of Resin Composites using CIEDE2000 Color Difference Formula. J. Esthet. Restor. Dent. 2021, 33, 836–843. [Google Scholar] [CrossRef]
- Paravina, R.D.; Ghinea, R.; Herrera, L.J.; Bona, A.D.; Igiel, C.; Linninger, M.; Sakai, M.; Takahashi, H.; Tashkandi, E.; Perez Mdel, M. Color Difference Thresholds in Dentistry. J. Esthet. Restor. Dent. 2015, 27, S1–S9. [Google Scholar] [CrossRef]
- Browning, W.D.; Chan, D.C.; Myers, M.L.; Brackett, W.W.; Brackett, M.G.; Pashley, D.H. Comparison of Traditional and Low Sensitivity Whiteners. Oper. Dent. 2008, 33, 379–385. [Google Scholar] [CrossRef]
- Iyer, R.S.; Babani, V.R.; Yaman, P.; Dennison, J. Color match using instrumental and visual methods for single, group, and multi-shade composite resins. J. Esthet. Restor. Dent. 2021, 33, 394–400. [Google Scholar] [CrossRef]
- Saegusa, M.; Kurokawa, H.; Takahashi, N.; Takamizawa, T.; Ishii, R.; Shiratsuchi, K.; Miyazaki, M. Evaluation of Color-matching Ability of a Structural Colored Resin Composite. Oper. Dent. 2021, 46, 306–315. [Google Scholar] [CrossRef] [PubMed]
- Arikawa, H.; Kanie, T.; Fujii, K.; Takahashi, H.; Ban, S. Effect of Filler Properties in Composite Resins on Light Transmittance Characteristics and Color. Dent. Mater. J. 2007, 26, 38–44. [Google Scholar] [CrossRef]
- Arai, Y.; Kurokawa, H.; Takamizawa, T.; Tsujimoto, A.; Saegusa, M.; Yokoyama, M.; Miyazaki, M. Evaluation of Structural Coloration of Experimental Flowable Resin Composites. J. Esthet. Restor. Dent. 2021, 33, 284–293. [Google Scholar] [CrossRef] [PubMed]
- Mourouzis, P.; Koulaouzidou, E.A.; Palaghias, G.; Helvatjoglu-Antoniades, M. Color Match of Resin Composites to Intact Tooth Structure. J. Appl. Biomater. Funct. Mater. 2015, 13, e259–e265. [Google Scholar] [CrossRef] [PubMed]
- Oivanen, M.; Keulemans, F.; Garoushi, S.; Vallittu, P.K.; Lassila, L. The Effect of Refractive Index of Fillers and Polymer Matrix on Translucency and Color Matching of Dental Resin Composite. Biomater. Investig. Dent. 2021, 8, 48–53. [Google Scholar] [CrossRef]
- Fidan, M.; Yağci, Ö. Effect of Aging and Fiber-reinforcement on Color Stability, Translucency, and Microhardness of Single-shade Resin Composites Versus Multi-shade Resin Composite. J. Esthet. Restor. Dent. 2024, 36, 632–642. [Google Scholar] [CrossRef]
- Thomaidis, S.; Kakaboura, A.; Mueller, W.D.; Zinelis, S. Mechanical Properties of Contemporary Composite Resins and Their Interrelations. Dent. Mater. 2013, 29, e132–e141. [Google Scholar] [CrossRef]
- Eweis, A.H.; Yap, A.U.; Yahya, N.A. Comparison of Flexural Properties of Bulk-fill Restorative/Flowable Composites and Their Conventional Counterparts. Oper. Dent. 2020, 45, 41–51. [Google Scholar] [CrossRef]
- Braem, M.; Finger, W.; Van Doren, V.E.; Lambrechts, P.; Vanherle, G. Mechanical properties and filler fraction of dental composites. Dent. Mater. 1989, 5, 346–348. [Google Scholar] [CrossRef]
- Oliveira, H.; Ribeiro, M.; Oliveira, G.; Peres, T.S.; Bragança, G.F.; Silva, G.R.; Soares, C.J. Mechanical and Optical Characterization of Single-shade Resin Composites Used in Posterior Teeth. Oper. Dent. 2024, 49, 210–221. [Google Scholar] [CrossRef]
- Kim, K.H.; Ong, J.L.; Okuno, O. The Effect of Filler Loading and Morphology on the Mechanical Properties of Contemporary Composites. J. Prosthet. Dent. 2002, 87, 642–649. [Google Scholar] [CrossRef]
- Bucuta, S.; Ilie, N. Light Transmittance and Micro-mechanical Properties of Bulk Fill vs. Conventional Resin Based Composites. Clin. Oral. Investig. 2014, 18, 1991–2000. [Google Scholar] [CrossRef] [PubMed]
- Chaves, L.V.F.; Oliveira, S.N.; Özcan, M.; Acchar, W.; Caldas, M.R.G.R.; Assunção, I.V.D.; Borges, B.C.D. Interfacial Properties and Bottom/top Hardness Ratio Produced by Bulk Fill Composites in Dentin Cavities. Braz. Dent. J. 2019, 30, 476–483. [Google Scholar] [CrossRef] [PubMed]
- Roubickova, A.; Tichy, A.; Vrbova, R.; Bradna, P. Indentation Size Effect in Knoop and Vickers Hardness Measurement of Dental Resin-based Composites. J. Mech. Behav. Biomed. Mater. 2025, 162, 106823. [Google Scholar] [CrossRef] [PubMed]
- Sangwal, K. Indentation Size Effect, Indentation Cracks and Microhardness Measurement of Brittle Crystalline Solids–Some Basic Concepts and Trends. Cryst. Res. Technol. 2019, 44, 1019–1037. [Google Scholar] [CrossRef]




| Resin Composite (Group) | Manufacturer | Filler and Monomer Composition | Filler Content | Lot No. |
|---|---|---|---|---|
| (wt/vol%) | ||||
| Filtek Z350XT (Z350) | 3M ESPE, St. Paul, MN, USA | non-agglomerated/non-aggregated 20 nm silica filler, non-agglomerated/non-aggregated 4 to 11 nm zirconia filler, aggregated zirconia/silica cluster filler (comprising 20 nm silica and 4 to 11 nm zirconia particles) Bis-GMA *, UDMA **, TEGDMA ***, Bis-EMA †, PEGDMA †† | 78.5/63.3 | 9783185 |
| Omnichroma (OM) | Tokuyama Dental, Tokyo, Japan | 260 nm SiO2-ZrO2 supra-nano spherical filler UDMA, TEGDMA | 79/68 | 037E01 |
| Metafill Bulkfill ONE (BO) | Sun Medical, Moriyama, Japan | Silane-treated barium silica glass UDMA, Bis-EMA | 74/54.3 | 23071 |
| Cavity | L* | a* | b* | C* | H* | ΔE00 |
|---|---|---|---|---|---|---|
| Background shade A3 | ||||||
| A3 | 76.58 (0.17) de | 0.30 (0) b | 27.52 (0.33) c | 27.52 (0.33) b | 89.36 (0.05) g | - |
| OM 1.5 | 76.95 (0.44) de | −2.01 (0.14) f | 11.93 (0.48) e | 12.09 (0.46) e | 99.54 (1.05) d | 8.82 (0.35) f |
| OM 3.0 | 76.70 (0.49) de | −2.18 (0.13) fg | 11.87 (0.44) e | 12.08 (0.44) e | 100.53(0.98) d | 8.94 (0.34) f |
| BO 1.5 | 78.36 (2.90) c | −1.37 (0.48) e | 11.02 (1.24) fg | 11.13 (1.17) f | 97.52 (3.56) e | 9.41 (1.32) f |
| BO 3.0 | 73.84 (1.21) f | −2.23 (0.13) g | 9.11 (0.69) h | 9.41 (0.64) g | 103.87 (1.92) c | 10.98 (0.49) e |
| Background shade B1 | ||||||
| A3 | 78.34 (0.43) c | 0.47 (0.05) b | 28.91 (0.73) b | 28.91 (0.73) a | 89.08 (0.06) g | 7.22 (0.19) g |
| OM 1.5 | 81.85 (0.38) ab | −3.62 (0.09) l | 10.35 (0.11) g | 10.98 (0.10) f | 109.25(0.51) b | 5.48 (0.09) h |
| OM 3.0 | 78.89 (0.20) c | −3.03 (0.05) k | 11.63 (0.53) ef | 12.02 (0.52) e | 104.71 (0.67) c | 5.10 (0.19) h |
| BO 1.5 | 81.48 (0.39) b | −2.97 (0.17) jk | 9.00 (0.93) h | 9.49 (0.82) g | 108.51 (2.89) b | 5.81 (0.09) h |
| BO 3.0 | 77.82 (1.40) cd | −3.46 (0.08) l | 8.63 (0.47) h | 9.29 (0.40) g | 111.91 (1.53) a | 7.37 (0.19) g |
| B1 | 83.16 (0.30) a | −0.90 (0.13) d | 16.32 (0.45) d | 16.38 (0.41) d | 93.10 (0.52) f | - |
| Background shade C4 | ||||||
| A3 | 76.21 (0.27) e | 0.03 (0.05) c | 26.75 (0.55) c | 26.75 (0.55) c | 89.92 (0.14) g | 11.93 (0.18) d |
| OM 1.5 | 72.47 (1.34) g | −2.46 (0.18) h | 10.70 (0.18) g | 10.97 (0.14) f | 102.97 (1.21) c | 15.26 (0.74) b |
| OM 3.0 | 74.01 (0.68) f | −2.74 (0.05) i | 10.47 (0.30) g | 10.82 (0.31) f | 104.61 (0.57) c | 16.16 (0.45) a |
| BO 1.5 | 70.51 (0.64) h | −1.09 (0.16) d | 10.91 (0.94) fg | 10.95 (0.93) f | 95.82 (1.41) e | 13.88 (0.94) c |
| BO 3.0 | 72.05 (1.72) g | −2.77 (0.17) ij | 7.82 (0.29) i | 8.29 (0.29) h | 109.56(1.31) b | 16.85 (0.71) a |
| C4 | 61.58 (0.25) i | 1.30 (0) a | 34.20 (0.44) a | 27.36 (0.36) bc | 89.76 (0.05) | - |
| Resin Composite | TP00 Value |
|---|---|
| Control (Z350) | 3.16 (0.15) c |
| OM | 8.70 (0.12) a |
| BO | 7.68 (0.08) b |
| Resin Composite | Flexural Strength (MPa) | Flexural Modulus (GPa) |
|---|---|---|
| Control (Z350) | 139.78 (25.19) a | 11.48 (1.74) A |
| OM | 108.90 (20.03) bc | 6.67 (1.70) B |
| BO | 124.01 (15.97) ab | 4.43 (0.57) C |
| Resin Composite | Increment Depth | Top | Bottom | B/T Ratio (%) |
|---|---|---|---|---|
| Control (Z350) | 2 mm | 84.13 (1.19) b | 56.89 (3.70) a | 67.61 (4.03) c |
| 4 mm | 87.26 (2.66) a | 16.88 (2.18) e | 19.41 (2.86) d | |
| OM | 2 mm | 52.82 (1.11) d | 45.18 (4.26) b | 89.24 (3.96) a |
| 4 mm | 58.46 (2.07) c | 36.94 (3.66) d | 63.23 (6.21) c | |
| BO | 2 mm | 43.35 (0.64) f | 41.07 (0.85) c | 94.75 (2.64) a |
| 4 mm | 48.93 (4.87) e | 37.99 (3.09) cd | 78.69 (12.01) b |
Disclaimer/Publisher’s Note: The statements, opinions and data contained in all publications are solely those of the individual author(s) and contributor(s) and not of MDPI and/or the editor(s). MDPI and/or the editor(s) disclaim responsibility for any injury to people or property resulting from any ideas, methods, instructions or products referred to in the content. |
© 2025 by the authors. Licensee MDPI, Basel, Switzerland. This article is an open access article distributed under the terms and conditions of the Creative Commons Attribution (CC BY) license (https://creativecommons.org/licenses/by/4.0/).
Share and Cite
Shim, J.E.; Kim, H.-J.; Oh, S.; Jang, J.-H. Optical and Mechanical Characteristics of One-Shade Composite Resins. J. Funct. Biomater. 2025, 16, 419. https://doi.org/10.3390/jfb16110419
Shim JE, Kim H-J, Oh S, Jang J-H. Optical and Mechanical Characteristics of One-Shade Composite Resins. Journal of Functional Biomaterials. 2025; 16(11):419. https://doi.org/10.3390/jfb16110419
Chicago/Turabian StyleShim, Jee Eun, Hyun-Jung Kim, Soram Oh, and Ji-Hyun Jang. 2025. "Optical and Mechanical Characteristics of One-Shade Composite Resins" Journal of Functional Biomaterials 16, no. 11: 419. https://doi.org/10.3390/jfb16110419
APA StyleShim, J. E., Kim, H.-J., Oh, S., & Jang, J.-H. (2025). Optical and Mechanical Characteristics of One-Shade Composite Resins. Journal of Functional Biomaterials, 16(11), 419. https://doi.org/10.3390/jfb16110419

