The Effect of Surface Functionalization of Magnesium Alloy on Degradability, Bioactivity, Cytotoxicity, and Antibiofilm Activity
Abstract
1. Introduction
2. Materials and Methods
2.1. Materials
2.2. AZ31 Attivation
2.3. AZ31 Derivatization with QAS
2.4. AZ31 Derivatization with PEG-Silane
2.5. Characterization
2.6. In Vitro Degradation in SBF
2.7. Release of Mg2+ Ions from AZ31 Sheets in SBF
2.8. In Vitro Bioactivity Test in SBF
2.9. Cell Culture
2.10. Cell Viability Assay
2.11. Microorganisms
2.12. Adhesion and Antibiofilm Activity
3. Results and Discussion
3.1. AZ31 Derivatization and Characterization
3.2. Stability Tests
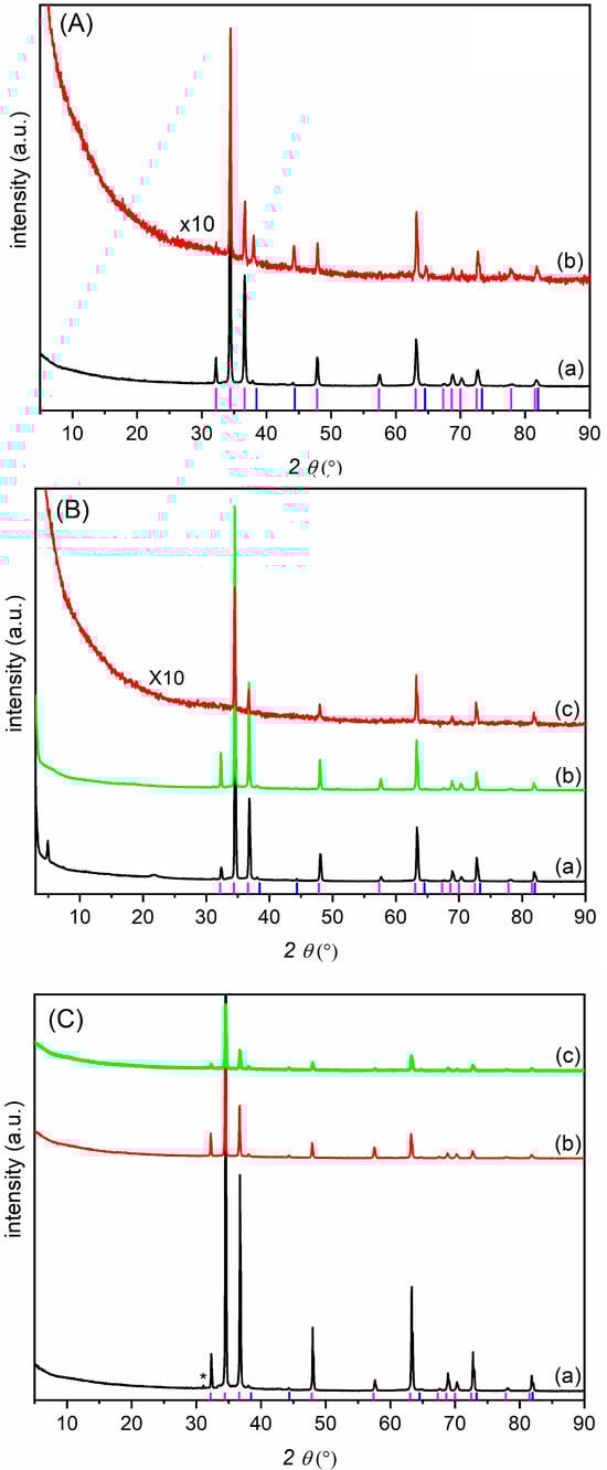
3.3. In Vitro Bioactivity
3.4. Biological Activity: Cytotoxicity
3.5. Adhesion and Antibiofilm Activity
4. Conclusions
Supplementary Materials
Author Contributions
Funding
Institutional Review Board Statement
Informed Consent Statement
Data Availability Statement
Acknowledgments
Conflicts of Interest
References
- Zhang, D.; Liu, Y.; Liu, Z.; Wang, Q. Advances in Antibacterial Functionalized Coatings on Mg and Its Alloys for Medical Use—A Review. Coatings 2020, 10, 828. [Google Scholar] [CrossRef]
- Tan, L.L.; Yu, L.; Wan, P.; Yang, K. Biodegradable Materials for Bone Repairs: A Review. J. Mater. Sci. Technol. 2013, 29, 503–513. [Google Scholar] [CrossRef]
- Tsakiris, V.; Tardei, C.; Clicinschi, F.M. Biodegradable Mg alloys for orthopedic implants—A review. J. Magnes. Alloys 2021, 9, 1884–1905. [Google Scholar] [CrossRef]
- Song, Y.; Shan, D.; Chen, R.; Zhang, F.; Han, E.H. Biodegradable behaviour of AZ31 magnesium alloy in simulated body fluid. Mater. Sci. Eng. C Mater. Biol. App. 2009, 29, 1039–1045. [Google Scholar] [CrossRef]
- Choi, J.; Kaghazchi, A.; Sun, B.; Woodward, A.; Forrester, J.D. Systematic Review and Meta-Analysis of Hardware Failure in Surgical Stabilization of Rib Fractures: Who, What, When, Where, and Why? J. Surg. Res. 2021, 268, 190–198. [Google Scholar] [CrossRef]
- Zhang, T.; Wang, W.; Liu, J.; Wang, L.; Tang, Y.; Wang, K.A. Review on Magnesium Alloys for Biomedical Applications. Front. Bioeng. Biotechnol. 2022, 10, 953344. [Google Scholar] [CrossRef] [PubMed]
- Arrequin, J.L.; Montanari, R.; Ceccarelli, M.; Ambrogi, V.; Richetta, M.; Torres-San-Miguel, C.R.; Varone, A. Design solutions from material selection for rib fixators. Mater. Sci. Forum. 2021, 1016, 303–308. [Google Scholar] [CrossRef]
- Ambrogi, V.; Bolli, E.; Ceccarelli, M.; Kaciulis, S.; Mezzi, A.; Montanari, R.; Pakhomova, E.; Richetta, M.; Varone, A. Surface modifications of biodegradable AZ31 alloy after immersion in physiological solution. Surf. Interface Anal. 2023, 55, 474–479. [Google Scholar] [CrossRef]
- Li, C.-Y.; Gao, L.; Fan, X.-L.; Zeng, R.-C.; Chen, D.-C.; Zhi, K.-Q. In Vitro Degradation and Cytocompatibility of a Low Temperature In-Situ Grown Self-Healing Mg-Al LDH Coating on MAO-Coated Magnesium Alloy AZ31. Bioact. Mater. 2020, 5, 364–376. [Google Scholar] [CrossRef]
- Tian, P.; Xu, D.; Liu, X. Mussel-Inspired Functionalization of PEO/PCL Composite Coating on a Biodegradable AZ31 Magnesium Alloy. Colloids Surf. B Biointerfaces 2016, 141, 327–337. [Google Scholar] [CrossRef] [PubMed]
- Wei, Z.; Tian, P.; Liu, X.; Zhou, B. In Vitro Degradation, Hemolysis, and Cytocompatibility of PEO/PLLA Composite Coating on Biodegradable AZ31 Alloy. J. Biomed. Mater. Res. B Appl. Biomater. 2015, 103, 342–354. [Google Scholar] [CrossRef]
- Xu, Y.; Yin, H.; Meng, H.; Sun, Z.; Sui, X.; Peng, J.; Wang, A.; Lu, S. In vivo degradation of magnesium alloys and poly (lactic-co-glycolic acid) and degradation evaluation of magnesium alloys using micro-ct. Chin. J. Reparative Reconstr. Surg. 2016, 30, 885–891. [Google Scholar]
- Szewczenko, J.; Kajzer, W.; Grygiel-Pradelok, M.; Jaworska, J.; Jelonek, K.; Nowińska, K.; Gawliczek, M.; Libera, M.; Marcinkowski, A.; Kasperczyk, J. Corrosion Resistance of PLGA-Coated Biomaterials. Acta Bioeng. Biomech. 2017, 19, 173–179. [Google Scholar]
- Puccetti, M.; Cusati, E.; Antognelli, C.; Ricci, M.; Ambrogi, V.; Schoubben, A. Ketorolac loaded poly(lactic-co-glycolic acid) coating of AZ31 in the treatment of bone fracture pain. Polymers 2023, 15, 2246. [Google Scholar] [CrossRef]
- Falahieh Asl, S.K.; Nemeth, S.; Tan, M.J. Improved corrosion protection of magnesium by hydrothermally deposited biodegradable calcium phosphate coating. Mater. Chem. Phys. 2015, 161, 185–193. [Google Scholar] [CrossRef]
- Tang, H.; Han, Y.; Wu, T.; Tao, W.; Jian, X.; Wu, Y.; Xu, Y. Synthesis and properties of hydroxyapatite-containing coating on AZ31 magnesium alloy by micro-arc oxidation. Appl. Surf. Sci. 2017, 400, 391–404. [Google Scholar] [CrossRef]
- Mohajernia, S.; Hejazi, S.; Eslami, A.; Saremi, M. Modified nanostructured hydroxyapatite coating to control the degradation of magnesium alloy AZ31 in simulated body fluid. Surf. Coat. Tech. 2015, 263, 54–60. [Google Scholar] [CrossRef]
- Whelan, M.; Cassidy, J.; Duffy, B. Sol–Gel Sealing Characteristics for Corrosion Resistance of Anodised Aluminium. Surf. Coat. Tech. 2013, 235, 86–96. [Google Scholar] [CrossRef]
- Gu, X.N.; Guo, H.M.; Wanga, F.; Lua, Y.; Lin, W.T.; Li, J.; Zheng, Y.F.; Fan, Y.B. Degradation, hemolysis, and cytotoxicity of silane coatings on biodegradable magnesium alloy. Mater. Lett. 2017, 193, 266–269. [Google Scholar] [CrossRef]
- Liu, X.; Yue, Z.; Romeo, T.; Weber, J.; Scheuermann, T.; Moulton, S.; Wallace, G. Biofunctionalized anti-corrosive silane coatings for magnesium alloys. Acta Biomater. 2013, 9, 8671–8677. [Google Scholar] [CrossRef]
- Zucchi, Z.; Frignani, A.; Grassi, V.; Balbo, A.; Trabanelli, G. Organo-silane coatings for AZ31 magnesium alloy corrosion protection. Mater. Chem. Phys. 2008, 110, 263–268. [Google Scholar] [CrossRef]
- Scott, A.F.; Gray-Munro, J.E.; Sherpherd, J.L. Influence of coating bath chemistry on the deposition of 3-mercaptopropyltrimethosysilane films deposited on magnesium alloy. J. Colloid. Interface Sci. 2010, 343, 474–483. [Google Scholar] [CrossRef] [PubMed]
- Li, J.; Bai, H.; Feng, Z. Advances in the Modification of Silane-Based Sol-Gel Coating to Improve the Corrosion Resistance of Magnesium Alloys. Molecules 2023, 28, 2563. [Google Scholar] [CrossRef] [PubMed]
- Moriarty, T.F.; Metsemakers, W.J.; Morgenstern, M.; Hofstee, M.I.; Diaz, A.V.; Cassat, J.E.; Wildemann, B.; Depypere, M.; Schwarz, E.M.; Richards, R.G. Fracture-related infection. Nat. Rev. Dis. Primers 2022, 8, 67. [Google Scholar] [CrossRef]
- Gao, F.; Hou, Y.; Li, G.; Liu, S.; Quan, L.; Yang, Z.; Wei, Y.; Pan, C. Layer-by-layer deposition of bioactive layers on magnesium alloy stent materials to improve corrosion resistance and biocompatibility. Bioact. Mater. 2020, 5, 611–623. [Google Scholar] [CrossRef]
- Kokubo, T.; Takadama, H. How useful is SBF in predicting in vivo bone bioactivity? Biomaterials 2006, 27, 2907–2915. [Google Scholar] [CrossRef] [PubMed]
- Nocchetti, M.; Pietrella, D.; Antognelli, C.; Di Michele, A.; Russo, C.; Giulivi, E.; Ambrogi, V. Alginate microparticles containing silver@hydroxyapatite functionalized calcium carbonate composites. Int. J. Pharm. 2024, 661, 124393. [Google Scholar] [CrossRef] [PubMed]
- Manfredelli, D.; Pariano, M.; Costantini, C.; Graziani, A.; Bozza, S.; Romani, L.; Puccetti, P.; Talesa, V.N.; Antognelli, C. Severe Acute Respiratory Syndrome Coronavirus 2 (SARS-CoV-2) Spike Protein S1 Induces Methylglyoxal-Derived Hydroimidazolone/Receptor for Advanced Glycation End Products (MG-H1/RAGE) Activation to Promote Inflammation in Human Bronchial BEAS-2B Cells. Int. J. Mol. Sci. 2023, 24, 14868. [Google Scholar] [CrossRef]
- Wady, A.F.; Machado, A.L.; Zucolotto, V.; Zamperini, C.A.; Berni, E.; Vergani, C.E. Evaluation of Candida albicans adhesion and biofilm formation on a denture base acrylic resin containing silver nanoparticles. J. Appl. Microbiol. 2012, 112, 1163–1172. [Google Scholar] [CrossRef]
- Kalaiyarasan, M.; Saranya, K.; Rajendran, N. In-vitro corrosion assessment of silicate-coated AZ31 Mg alloy in Earle’s solution. J. Mater. Sci. 2020, 55, 3571–3587. [Google Scholar] [CrossRef]
- Zhao, H.; Wang, R.; Deng, H.; Zhang, L.; Gao, L.; Zhang, L.; Jiao, T. Facile preparation of self-assembled chitosan-Based POSS-CNTs-CS Composite as Highly Efficient dye Absorbent for Wasterwater treatment. ACS Omega 2021, 6, 294–300. [Google Scholar] [CrossRef] [PubMed]
- Liu, L.; Li, P.; Zou, Y.; Luo, K.; Zhang, F.; Zeng, R.C.; Li, S. In vitro corrosion and antibacterial performance of polysiloxane and poly(acrylicacid)/gentamicin sulfate composite coatings on AZ31 alloy. Surf. Coat. Technol. 2016, 291, 7–14. [Google Scholar] [CrossRef]
- Zanini, S.; Polissi, A.; Maccagni, E.A.; Dell’Orto, E.C.; Liberatore, C.; Riccardi, C. Development of antibacterial quaternary ammonium silane coatings on polyurethane catheters. J. Colloid. Interface Sci. 2015, 451, 78–84. [Google Scholar] [CrossRef] [PubMed]
- Al-Saadi, S.; Singh Raman, R.K.; Panter, C. A two-step silane coating Incorporated with Quaternary Ammonium silane for mitigation of Microbial corrosion of Mild Steel. ACS Omega 2021, 6, 16913–16923. [Google Scholar] [CrossRef] [PubMed]
- Xu, M.; Xu, H.; Tian, W.Y.; Wang, H.; Yang, Z.; Wang, Q. Synergistic effect by Polyethylene Glycol as interfacial Modifier in silane-modified Silica-Reinforced Composites. Polymers 2021, 13, 788. [Google Scholar] [CrossRef] [PubMed]
- Kruger, A.; Burkle, A.; Mangerich, A.; Hauser, A. A combined approach of surface passivation and specific immobilization to study biomolecules by ATR-FTIR spectroscopy. Biomed. Spectrosc. Imaging 2018, 7, 25–33. [Google Scholar] [CrossRef]
- Gill, R.S.; Kumar, K.; Batra, U. Apatite formation and weight loss study in EDMed perforated AZ31 Mg-alloy. J. Magnes. Alloys 2017, 5, 362–367. [Google Scholar] [CrossRef]
- Agarwal, S.; Morshed, M.; Labour, M.N.; Hoey, D.; Duffy, B.; Curtin, J.; Jaiswal, S. Enhanced corrosion protection and biocompatibility of a PLGA-silane coating on AZ31 Mg alloy for orthopaedic applications. RSC Adv. 2016, 6, 113871–113883. [Google Scholar] [CrossRef]
- Plueddemann, E.P. Silane Coupling Agents; Springer: Berlin/Heidelberg, Germany, 1991. [Google Scholar]
- Straiger, M.P.; Pietak, A.M.; Huadmai, J.; Dias, G. Magnesium and its alloys as orthopedic biomaterials; a review. Biomaterials 2006, 27, 1728–1734. [Google Scholar] [CrossRef] [PubMed]
- Mena-Morcillo, E.; Veleva, L. Degradation of AZ31 and AZ91 magnesium alloy in different physiological media: Effect of surface layer stability on electrochemical behaviour. J. Magnes. Alloys 2020, 8, 667–675. [Google Scholar] [CrossRef]
- Gheisari, H.; Karamian, E.; Abdellahi, M. A novel Hydroxyapatite-Hardystonite nanocompisite ceramic. Ceram. Int. 2015, 41, 5967–5975. [Google Scholar] [CrossRef]
- Donnadio, A.; Bini, M.; Centracchio, C.; Mattarelli, M.; Caponi, S.; Ambrogi, V.; Pietrella, D.; Di Michele, A.; Vivani, R.; Nocchetti, M. Bioinspired Reactive Interfaces Based on Layered DoubleHydroxides-Zn Rich Hydroxyapatite with Antibacterial Activity. ACS Biomater. Sci. Eng. 2021, 7, 1361–1373. [Google Scholar] [CrossRef] [PubMed]
- Tang, H.; Yu, D.; Luo, Y.; Wang, F. Preparation and characterization of HA microflowers coatings on AZ31 magnesium alloy by micro-arc oxidation and a solution treatment. Appl. Surf. Sci. 2013, 264, 816–822. [Google Scholar] [CrossRef]








Disclaimer/Publisher’s Note: The statements, opinions and data contained in all publications are solely those of the individual author(s) and contributor(s) and not of MDPI and/or the editor(s). MDPI and/or the editor(s) disclaim responsibility for any injury to people or property resulting from any ideas, methods, instructions or products referred to in the content. |
© 2025 by the authors. Licensee MDPI, Basel, Switzerland. This article is an open access article distributed under the terms and conditions of the Creative Commons Attribution (CC BY) license (https://creativecommons.org/licenses/by/4.0/).
Share and Cite
Nocchetti, M.; Piccinini, M.; Pietrella, D.; Antognelli, C.; Ricci, M.; Di Michele, A.; Jalaoui, L.; Ambrogi, V. The Effect of Surface Functionalization of Magnesium Alloy on Degradability, Bioactivity, Cytotoxicity, and Antibiofilm Activity. J. Funct. Biomater. 2025, 16, 22. https://doi.org/10.3390/jfb16010022
Nocchetti M, Piccinini M, Pietrella D, Antognelli C, Ricci M, Di Michele A, Jalaoui L, Ambrogi V. The Effect of Surface Functionalization of Magnesium Alloy on Degradability, Bioactivity, Cytotoxicity, and Antibiofilm Activity. Journal of Functional Biomaterials. 2025; 16(1):22. https://doi.org/10.3390/jfb16010022
Chicago/Turabian StyleNocchetti, Morena, Michela Piccinini, Donatella Pietrella, Cinzia Antognelli, Maurizio Ricci, Alessandro Di Michele, Layla Jalaoui, and Valeria Ambrogi. 2025. "The Effect of Surface Functionalization of Magnesium Alloy on Degradability, Bioactivity, Cytotoxicity, and Antibiofilm Activity" Journal of Functional Biomaterials 16, no. 1: 22. https://doi.org/10.3390/jfb16010022
APA StyleNocchetti, M., Piccinini, M., Pietrella, D., Antognelli, C., Ricci, M., Di Michele, A., Jalaoui, L., & Ambrogi, V. (2025). The Effect of Surface Functionalization of Magnesium Alloy on Degradability, Bioactivity, Cytotoxicity, and Antibiofilm Activity. Journal of Functional Biomaterials, 16(1), 22. https://doi.org/10.3390/jfb16010022

