Secure Streaming Data Encryption and Query Scheme with Electric Vehicle Key Management
Abstract
1. Introduction
1.1. Motivation
1.2. Contributions
- We construct a scalable hierarchical key management framework by integrating a Key Derivation Tree (KDT) with a Regression Key Chain (RKR), thereby ensuring forward security across temporal data segments. All encryption and authentication keys are derived deterministically from a compact root key, solving the key explosion problem and reducing storage and transmission overhead.
- To secure continuous data streams, we introduce a symmetric additive homomorphic encryption (SAHE) scheme that permits efficient aggregation operations on ciphertexts, providing IND-CPA confidentiality based on the pseudorandom function (PRF) assumption.
- We propose a HomMAC-based integrity scheme that supports algebraic verification for per-chunk and aggregated ciphertexts, ensuring correctness throughout encrypted streams with very low verification cost.
- We implement a Ciphertext Index Tree (CIT) to support encrypted statistical queries and scalable aggregation. The proposed system integrates KDT, RKR, SAHE, and HomMAC, achieving low latency and strong scalability in both server and edge environments compared with EC-ElGamal and Paillier baselines.
2. Related Work
2.1. Encrypted Stream Query Processing
2.2. Key Management and Access Control
3. Preliminaries
3.1. Efficient Symmetric Encryption with Additive Homomorphism
3.2. Pseudorandom Functions and Key Derivation
3.3. AEAD with Associated Data and Nonce Discipline
4. System Framework
- Data Owner (DO): The Data Owner is the entity responsible for generating and controlling the raw electric vehicle (EV) telemetry and charging stream data. The DO continuously collects high-frequency measurements and segments them into fixed-size time windows, transforming the data stream into temporally ordered chunks for encryption. It initializes the master secret and derives all subordinate encryption and authentication keys through a hierarchical Key Derivation Tree (KDT) combined with a one-way hash regression chain, thereby achieving forward secrecy and temporal key isolation. For each data chunk, the DO performs authenticated encryption and produces corresponding homomorphic authentication tags before uploading the resulting ciphertext packages to the Data Server for outsourced storage. The DO retains exclusive control of the root key and serves as the sole authority for key delegation. Depending on access policies, it selectively grants fine-grained decryption capabilities by releasing the minimal subset of KDT nodes for raw data access or provides only boundary regression keys for aggregated analytics, ensuring privacy-preserving and policy-compliant data sharing.
- Data Server (DS): The Data Server functions as an untrusted or semi-trusted storage and computation provider. It is responsible for storing uploaded data and maintaining a dynamic Ciphertext Index Tree (CIT) that hierarchically organizes encrypted statistical vectors in chronological order. When new encrypted chunks arrive, the DS updates the CIT and performs ciphertext-domain aggregation at higher levels to maintain compactness and support efficient query processing. Upon receiving a query request over a specific time interval from a Data Consumer, the DS locates the minimal set of CIT nodes covering the requested range and computes the aggregated ciphertext result, which is then returned to the consumer. Throughout this process, the DS neither possesses any decryption keys nor learns any plaintext information; it operates under the honest-but-curious assumption and serves purely as a custodial and computational node enabling scalable, privacy-preserving data outsourcing.
- Data Consumer (DC): The Data Consumer is an authorized entity, such as a grid operator, V2G aggregator, or analytics provider, that queries encrypted EV data for analysis and decision-making. Depending on the access rights granted by the Data Owner (DO), the DC may receive either the Key Derivation Tree (KDT) node subset for fine-grained raw data decryption or the boundary regression keys for aggregated analytics. With these delegated keys, the DC can decrypt the corresponding ciphertexts and verify their integrity using the homomorphic MAC mechanism. After successful decryption and verification, the DC reconstructs statistical indicators such as mean, variance, and standard deviation, enabling privacy-preserving analytics and decision support without revealing any individual EV records.
- Authorization Manager (AM): The Authorization Manager neither generates nor processes any secret keys or ciphertexts. Instead, the AM operates at the control layer to enforce data-sharing policies and coordinate key-release procedures between the DO and the DC. When a DC requests access to a specific time range , the AM verifies the request against predefined access policies and triggers the corresponding key-sharing algorithm on behalf of the DO, either for fine-grained access or for aggregated access. The resulting outputs or are generated by the DO and securely transmitted to the DC via the AM. The AM also records each authorization event for accountability, but cannot compute or derive any cryptographic materials itself.
Correctness and Security Definitions
5. Secure Streaming Data Encryption and Query Scheme
5.1. A Detailed Construction
5.2. Correctness Analysis
5.3. Formal Security Analysis
Confidentiality
- Game 0 (Real IND-CPA Experiment).
- Game 1 (Random Function Substitution).
- Analysis.
- Hybrid Argument for Full-Stream IND-CPA Security.
- Security of KDT-Derived Keys.
5.3.1. Forward Security of the Regression Key Chain
5.3.2. Integrity
- Game 1 (HKDF outputs replaced by a random function).
- Analysis of Game 1.
6. Electric Vehicle Key Management and Query System
6.1. Encrypted Data Organization and Indexing
- Step 1: Correctness of interval queries.
- Step 2: Invariants hold for any insertion and aggregation order.
6.2. Privacy-Preserving Access and Sharing Policies
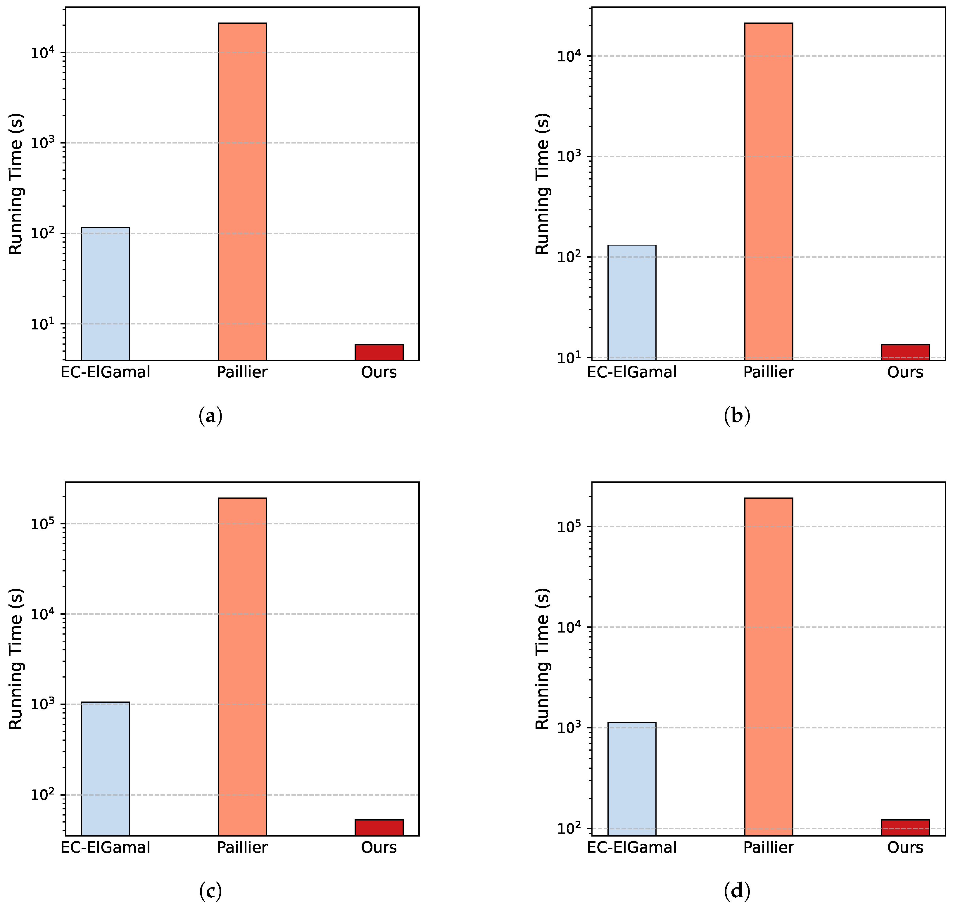
7. Experimental Results and Analysis
8. Conclusions
Author Contributions
Funding
Data Availability Statement
Conflicts of Interest
References
- Fang, T.; von Jouanne, A.; Agamloh, E.; Yokochi, A. Opportunities and Challenges of Fuel Cell Electric Vehicle-to-Grid (V2G) Integration. Energies 2024, 17, 5646. [Google Scholar] [CrossRef]
- Mahida, A. Secure Data Outsourcing Techniques for Cloud Storage. Int. J. Sci. Res. (IJSR) 2024, 13, 181–184. [Google Scholar] [CrossRef]
- Faller, S.; Ottenhues, A.; Ottenhues, J. Composable oblivious pseudo-random functions via garbled circuits. In Proceedings of the International Conference on Cryptology and Information Security in Latin America, Quito, Ecuador, 3–6 October 2023; Springer: Cham, Switzerland, 2023; pp. 249–270. [Google Scholar]
- Blass, E.O.; Kerschbaum, F.; Mayberry, T. Iterative oblivious pseudo-random functions and applications. In Proceedings of the 2022 ACM on Asia Conference on Computer and Communications Security, New York, NY, USA, 30 May–3 June 2022; pp. 28–41. [Google Scholar]
- Li, Z.; Xu, J.; Zhang, N.; Lu, T.; Li, P.; Wang, N.; Wang, Q. A Fully Homomorphic Encryption-Based KNN Classification Scheme for Electric Vehicles Data. In Proceedings of the Data Security and Privacy Protection, Xi’an, China, 16–18 October 2025; Chen, X., Hu, H., Wang, D., Eds.; Springer: Singapore, 2025; pp. 318–327. [Google Scholar]
- Liu, X.; Yi, X. Privacy-preserving collaborative medical time series analysis based on dynamic time warping. In Proceedings of the Computer Security–ESORICS 2019: 24th European Symposium on Research in Computer Security, Luxembourg, 23–27 September 2019; Part II 24. Springer: Cham, Switzerland, 2019; pp. 439–460. [Google Scholar]
- Liu, Q.; Huang, Q.; Chen, X.; Wang, S.; Wang, W.; Han, S.; Lee, P.P.C. PP-Stream: Toward High-Performance Privacy-Preserving Neural Network Inference via Distributed Stream Processing. In Proceedings of the 2024 IEEE 40th International Conference on Data Engineering (ICDE), Utrecht, The Netherlands, 13–16 May 2024; pp. 1492–1505. [Google Scholar] [CrossRef]
- Fang, C.; Guo, Y.; Hu, Y.; Ma, B.; Feng, L.; Yin, A. Privacy-preserving and communication-efficient federated learning in internet of things. Comput. Secur. 2021, 103, 102199. [Google Scholar] [CrossRef]
- Wang, Q.; Cui, S.; Zhou, L.; Wu, O.; Zhu, Y.; Russello, G. Enclavetree: Privacy-preserving data stream training and inference using tee. In Proceedings of the 2022 ACM on Asia Conference on Computer and Communications Security, New York, NY, USA, 30 May–3 June 2022; pp. 741–755. [Google Scholar]
- Zheng, Y.; Lu, R.; Guan, Y.; Shao, J.; Zhu, H. Efficient and privacy-preserving similarity range query over encrypted time series data. IEEE Trans. Dependable Secur. Comput. 2021, 19, 2501–2516. [Google Scholar] [CrossRef]
- Wang, S.; Zheng, Y.; Jia, X. GraphGuard: Private Time-Constrained Pattern Detection over Streaming Graphs in the Cloud. In Proceedings of the 33rd USENIX Security Symposium (USENIX Security 24), Philadelphia, PA, USA, 14–16 August 2024; pp. 3495–3512. [Google Scholar]
- Chen, D.; Chen, L. Sliding-window probabilistic threshold aggregate Queries on uncertain data streams. Inf. Sci. 2020, 520, 353–372. [Google Scholar] [CrossRef]
- Miao, R.; Zhang, Y.; Qu, G.; Yang, K.; Yang, T.; Cui, B. Hyper-uss: Answering subset query over multi-attribute data stream. In Proceedings of the 29th ACM SIGKDD Conference on Knowledge Discovery and Data Mining, Long Beach, CA, USA, 6–10 August 2023; pp. 1698–1709. [Google Scholar]
- Bai, M.; Han, Y.; Yin, P.; Wang, X.; Li, G.; Ning, B.; Ma, Q. S_IDS: An efficient skyline query algorithm over incomplete data streams. Data Knowl. Eng. 2024, 149, 102258. [Google Scholar] [CrossRef]
- Guan, Y.; Lu, R.; Zheng, Y.; Shao, J.; Wei, G. Achieving efficient and privacy-preserving max aggregation query for time-series data. In Proceedings of the ICC 2020-2020 IEEE International Conference on Communications (ICC), Dublin, Ireland, 7–11 June 2020; pp. 1–6. [Google Scholar]
- Ouyang, H.; Zheng, Y.; Wang, S.; Hua, Z. OblivTime: Oblivious and Efficient Interval Skyline Query Processing Over Encrypted Time-Series Data. IEEE Trans. Serv. Comput. 2025, 18, 1602–1617. [Google Scholar] [CrossRef]
- Safaee, S.; Mirabi, M.; Safaei, A.A. StreamFilter: A framework for distributed processing of range queries over streaming data with fine-grained access control. Clust. Comput. 2024, 27, 9221–9241. [Google Scholar] [CrossRef]
- Di Vimercati, S.D.C.; Foresti, S.; Jajodia, S.; Paraboschi, S.; Samarati, P. Over-encryption: Management of access control evolution on outsourced data. In Proceedings of the 33rd International Conference on Very Large Data Bases, Vienna, Austria, 23–27 September 2007; pp. 123–134. [Google Scholar]
- Qi, S.; Zheng, Y. Crypt-DAC: Cryptographically enforced dynamic access control in the cloud. IEEE Trans. Dependable Secur. Comput. 2019, 18, 765–779. [Google Scholar] [CrossRef]
- Tong, Q.; Miao, Y.; Chen, L.; Weng, J.; Liu, X.; Choo, K.K.R.; Deng, R.H. VFIRM: Verifiable fine-grained encrypted image retrieval in multi-owner multi-user settings. IEEE Trans. Serv. Comput. 2021, 15, 3606–3619. [Google Scholar] [CrossRef]
- Thushara, G.; Bhanu, S.M.S. A survey on secured data sharing using ciphertext policy attribute based encryption in cloud. In Proceedings of the 2021 8th International Conference on Smart Computing and Communications (ICSCC), Kochi, India, 1–3 July 2021; pp. 170–177. [Google Scholar]
- Xie, S.; Zhang, L.; Wu, Q.; Rezaeibagha, F. Flexibly expressive and revocable multi-authority KP-ABE scheme from RLWE for Internet of Medical Things. J. Syst. Archit. 2024, 152, 103179. [Google Scholar] [CrossRef]
- Rasori, M.; Perazzo, P.; Dini, G.; Yu, S. Indirect revocable KP-ABE with revocation undoing resistance. IEEE Trans. Serv. Comput. 2021, 15, 2854–2868. [Google Scholar] [CrossRef]
- Kumar, D.; Kumar, M. Outsourcing decryption of KP-ABE using elliptic curve cryptography. Int. J. Inf. Comput. Secur. 2023, 22, 210–229. [Google Scholar] [CrossRef]
- Deng, H.; Qin, Z.; Wu, Q.; Guan, Z.; Zhou, Y. Flexible attribute-based proxy re-encryption for efficient data sharing. Inf. Sci. 2020, 511, 94–113. [Google Scholar] [CrossRef]
- Xiong, H.; Wang, L.; Zhou, Z.; Zhao, Z.; Huang, X.; Kumari, S. Burn after reading: Adaptively secure puncturable identity-based proxy re-encryption scheme for securing group message. IEEE Internet Things J. 2021, 9, 11248–11260. [Google Scholar] [CrossRef]
- Ge, C.; Susilo, W.; Baek, J.; Liu, Z.; Xia, J.; Fang, L. Revocable attribute-based encryption with data integrity in clouds. IEEE Trans. Dependable Secur. Comput. 2021, 19, 2864–2872. [Google Scholar] [CrossRef]
- Mo, Z.; Qiao, Y.; Chen, S. Two-party fine-grained assured deletion of outsourced data in cloud systems. In Proceedings of the 2014 IEEE 34th International Conference on Distributed Computing Systems, Madrid, Spain, 30 June–3 July 2014; pp. 308–317. [Google Scholar]
- Wang, W.; Li, Z.; Owens, R.; Bhargava, B. Secure and efficient access to outsourced data. In Proceedings of the 2009 ACM Workshop on Cloud Computing Security, New York, NY, USA, 13 November 2009; pp. 55–66. [Google Scholar]
- Alderman, J.; Farley, N.; Crampton, J. Tree-based cryptographic access control. In Proceedings of the European Symposium on Research in Computer Security, Oslo, Norway, 11–15 September 2017; Springer: Cham, Switzerland, 2017; pp. 47–64. [Google Scholar]
- Liu, B.; Blancaflor, E.B. Data Security and Privacy Protection Scheme Based on EC-ElGamal in Federal Learning. SN Comput. Sci. 2025, 6, 170. [Google Scholar] [CrossRef]
- Shi, L. Design of Secure Fair Bidding Scheme Based on Threshold Elliptic Curve ElGamal Cryptography. In Proceedings of the International Conference on Emerging Internet, Data & Web Technologies, Naples, Italy, 21–23 February 2024; Springer: Cham, Switzerland, 2024; pp. 163–172. [Google Scholar]






| Platform | Phase | Ours (μs) | SAHE + HomMAC (μs) | EC–ElGamal (ms) | Paillier (ms) |
|---|---|---|---|---|---|
| Device 1 | Encryption | 33.35 | 33.61 | 0.501 | 131 |
| Decryption | 33.44 | 33.87 | 0.333 | 129 | |
| Device 2 | Encryption | 334.42 | 346.06 | 4.92 | 1260 |
| Decryption | 334.84 | 349.07 | 3.54 | 1230 |
| Depth h | Windows | RawShare Latency (μs) | AggShare Latency (μs) | |
|---|---|---|---|---|
| 10 | 1024 | 7.3 | 8.41 | 4.02 |
| 12 | 4096 | 8.6 | 10.27 | 4.11 |
| 14 | 16,384 | 10.2 | 14.63 | 4.19 |
| 16 | 65,536 | 11.9 | 18.73 | 4.24 |
Disclaimer/Publisher’s Note: The statements, opinions and data contained in all publications are solely those of the individual author(s) and contributor(s) and not of MDPI and/or the editor(s). MDPI and/or the editor(s) disclaim responsibility for any injury to people or property resulting from any ideas, methods, instructions or products referred to in the content. |
© 2025 by the authors. Licensee MDPI, Basel, Switzerland. This article is an open access article distributed under the terms and conditions of the Creative Commons Attribution (CC BY) license.
Share and Cite
Li, Z.; Xu, J.; Wu, F.; Sun, C.; Wu, X.; Fang, X. Secure Streaming Data Encryption and Query Scheme with Electric Vehicle Key Management. Information 2026, 17, 18. https://doi.org/10.3390/info17010018
Li Z, Xu J, Wu F, Sun C, Wu X, Fang X. Secure Streaming Data Encryption and Query Scheme with Electric Vehicle Key Management. Information. 2026; 17(1):18. https://doi.org/10.3390/info17010018
Chicago/Turabian StyleLi, Zhicheng, Jian Xu, Fan Wu, Cen Sun, Xiaomin Wu, and Xiangliang Fang. 2026. "Secure Streaming Data Encryption and Query Scheme with Electric Vehicle Key Management" Information 17, no. 1: 18. https://doi.org/10.3390/info17010018
APA StyleLi, Z., Xu, J., Wu, F., Sun, C., Wu, X., & Fang, X. (2026). Secure Streaming Data Encryption and Query Scheme with Electric Vehicle Key Management. Information, 17(1), 18. https://doi.org/10.3390/info17010018

