Next Article in Journal
A Machine Learning Framework for Harvesting and Harmonizing Cultural and Touristic Data
Previous Article in Journal
Explainable AI-Based Intrusion Detection Systems for Industry 5.0 and Adversarial XAI: A Systematic Review
 
 
Font Type:
Arial Georgia Verdana
Font Size:
Aa Aa Aa
Line Spacing:
Column Width:
Background:
Article

Vocational Education and Training in the European Union: A Data-Driven Comparative Analysis

1
Computer Science Department, Universitat Oberta de Catalunya, 08018 Barcelona, Spain
2
Department of Systems Engineering & Telecommunication, Universitat Autònoma de Barcelona, 08202 Sabadell, Spain
3
CIGIP–ValgrAI, Universitat Politècnica de València, 03801 Alcoy, Spain
*
Author to whom correspondence should be addressed.
Information 2025, 16(12), 1037; https://doi.org/10.3390/info16121037
Submission received: 14 October 2025 / Revised: 18 November 2025 / Accepted: 22 November 2025 / Published: 27 November 2025

Abstract

Vocational education and training (VET) is a strategic driver of national education and skills development systems. It covers both Initial VET (IVET), which provides young people with vocational qualifications before they enter the labor market, and Continuing VET (CVET), which supports adults in updating or expanding their skills throughout their working lives. VET provides individuals with essential skills for employment and supports economies in adapting to technological, labor market, and social changes. Within the European Union (EU), VET plays a central role in addressing labor market transformation, the green and digital transitions, the rise of artificial intelligence, and the pursuit of social equity. This paper presents a data-driven analysis of VET in the EU countries. It reviews the relevant literature and outlines the role of Cedefop, the European Centre for the Development of Vocational Training, together with its main VET performance indicators. The analysis draws on publicly available Cedefop data on key VET indicators, filtered for reliability and systematically processed to ensure robust results. This research focuses on a selected set of key indicators covering participation in IVET at upper- and post-secondary levels, adult participation in both formal and non-formal learning, government and enterprise expenditure on training, the gender employment gap, and adult employment rates. These indicators are derived from Cedefop data spanning the period 2010–2024, with coverage varying across indicators. This study applies descriptive analysis to identify outlier countries, correlation analysis to explore relationships between indicators, and cluster analysis to group countries with similar VET profiles. It also compares the largest EU countries using common indicators. The results suggest key patterns, differences, and connections in VET performance across EU countries, offering insights for policy development and future research in VET.

Graphical Abstract

1. Introduction

Vocational education and training (VET) refers to structured programs that develop practical skills, specialized knowledge, and work-ready competencies for both young learners and adult professionals [1]. It is a key part of national education and training systems and supports employment, economic participation, and social inclusion [2]. VET directly supplies the labor market with skilled workers whose skills match current demand and supports technological innovation and competitiveness. VET systems in the EU facilitate the adaptation of economies to changing labor market demands through skill development and stakeholder collaboration [3]. They equip individuals with skills needed for economic restructuring, technological change, and evolving labor market requirements. In the context of an aging population, rapid digital transformation, and the move towards a green economy, VET plays a central role in developing a capable and adaptable workforce [4]. The European Union (EU) supports VET through initiatives such as the European Education Area (https://education.ec.europa.eu/), which aims to improve the quality and accessibility of education and training across its countries. At the same time, VET systems vary widely across the EU. Countries differ in governance models, qualification frameworks, and delivery methods, including the growing use of online and hybrid formats [5]. This diversity reflects different national priorities, but it also reduces coherence and comparability between systems across countries.
There is increasing recognition of the need to identify shared challenges, effective practices, and strategic approaches to guide policy at both national and EU levels [6]. When properly measured and provided, the key performance indicators (KPIs) of VET offer comparable statistics on initial and continuing VET, adult learning, and skill development across Europe. These KPIs help policymakers, researchers, and practitioners identify trends, gaps, and opportunities for improvement. Comparative studies of VET systems have highlighted different approaches. Dual apprenticeship systems in Germany and Austria [7], school-based VET in the Czech Republic and Slovakia [8], and quality assurance frameworks such as the European Quality Assurance Reference Framework for Vocational Education and Training (https://employment-social-affairs.ec.europa.eu/) illustrate varying strategies for training and assessment. Given the differences in the way education levels for VET are defined between countries and the limited reliability of some indicators, we adopted a broader approach by analyzing data from the European Center for the Development of Vocational Training (Cedefop), an EU platform designed to support effective VET policy making. This strategy focuses on general patterns between indicators rather than exhaustive comparisons of every country and variable. In addition, we review the existing literature that synthesizes research on VET at both global and European levels. It highlights common patterns, identifies areas where knowledge is still limited, and explains how this study contributes to the improvement of understanding in these aspects.
As the following analysis demonstrates, this approach provides valuable and relevant insights into VET in the EU. These analyses highlight key strengths and weaknesses of existing models and inform VET reforms. Specifically, this study: (i) provides a comprehensive analysis of Cedefop data, showing structural patterns and country-specific gaps; (ii) improves data quality by creating a robust subset for cross-country comparison; (iii) uses outlier, correlation, and clustering analyzes to reveal links between VET participation, education, training, digital skills, and labor outcomes; and (iv) offers detailed information for the five largest EU economies, identifying unique trends in participation, attainment, and digital readiness.
The rest of the paper is structured as follows. Section 2 presents a review of recent related work, encompassing studies from several countries to provide a global perspective on VET. Section 3 provides an overview of the Cedefop and its key performance indicators for VET. Section 4 describes how publicly available Cedefop data is pre-processed and adapted for further analysis. Section 5 offers a descriptive analysis of the selected indicators, identifying countries whose values are outliers in some indicators. Section 6 presents a correlation analysis of the indicators, highlighting the links between their values. Section 7 provides a cluster analysis on the prepared data. Section 8 focuses on the largest countries in the European Union by population and compares them based on common indicators. Finally, Section 9 draws a few conclusions and highlights the lines of future research.

2. Literature Review

Vocational education and training have been widely studied for their role in preparing people for the labor market, supporting economic growth, and facilitating international policy transfer. Research on VET addresses system-level analyses, policy and institutional perspectives, participation, and labor market outcomes, as well as recent advances in digitalization and artificial intelligence. This section synthesizes the current literature, highlighting patterns, trends, and emerging challenges in European and international VET.
Several studies provide comparative analyses of VET systems and their structural characteristics. Salas-Velasco [5] presents a statistical classification of VET systems in 22 European countries, based on the share of students in upper secondary vocational programs and the combination of school- and work-based learning. The study identifies dual-system countries such as Germany, Switzerland, and Austria, school-based systems such as the Czech Republic and Slovakia, and general education-oriented systems exemplified by Estonia and Spain. This classification complements traditional typologies and illustrates the diversity of VET delivery across Europe. Markowitsch and Bjørnåvold [9] emphasizes the stability and path dependence of national VET systems, concluding that gradual changes dominate, but major social or economic shocks can change orientations. Three potential future scenarios (pluralistic, distinctive, and special-purpose VETs) highlight how systems could evolve, stressing the importance of scenario-based approaches for policymaking and international cooperation. Participation and vocational choice have also received remarkable attention. Milmeister et al. [10] applies a combined sociological and psychological framework to understand participation in VET, focusing on how personal experiences, parental guidance, and contextual factors shape vocational choices. The study emphasizes that improving information, guidance, and workplace exposure can support equitable access and align student choices with abilities rather than social preconceptions. The outcomes of the labor market differ depending on the type of VET and the national context. Hoidn and Št’astny [11] compare dual IVET programs in Germany and Austria with school-based IVET in the Czech Republic, showing that dual systems provide early career advantages, although benefits vary over time and by individual characteristics. This highlights that identifying the specific IVET type is essential for evaluating the long-term impacts on graduates’ labor market outcomes and skills development.
European integration and international policy transfer further shape VET development. Zaunstöck et al. [12] analyzes Spanish VET over four decades, showing incremental convergence with European frameworks such as the Bruges-Copenhagen process [13] and the European Qualifications Framework (EQF), while retaining national identity. Rauner [14] highlights European initiatives to improve transparency, quality, and mobility, including the European Credit System for VET (ECVET), which formalizes the recognition of competences acquired abroad. At the EU level, Martínez-Izquierdo and Torres Sánchez [7] examines the promotion of dual VET systems in southern Europe, showing that EU guidance encourages work-based learning and stakeholder cooperation without prescribing exact national models. Similarly, Klassen [15] reviews the role of international organizations such as the OECD, UNESCO, and the World Bank, noting that these organizations act as knowledge producers, agenda setters, and policy leaders, though comparative case studies on their influence are limited. Barabasch et al. [16] further situates policy transfer in a global context, emphasizing that VET reforms travel from industrialized to developing countries and are guided by global industry demands, workforce needs, and digital technologies. In a systematic literature review, Ciantar [17] identifies several gaps in research on VET policy transfer within the EU. The study highlights four main shortcomings: limited methodological diversity, reliance on data from a narrow set of policy-transfer actors, the neglect of certain geographical contexts, and a concentration on only a few VET practices. These findings reveal significant lacunas in current methodological approaches and offer clear recommendations to guide future research.
The process and outcomes of VET policy transfer are increasingly studied in comparative research. Li and Pilz [6], Toepper et al. [18], and Toepper et al. [19] show that successful VET transfer requires long-term cooperation, system-level adaptation, and attention to contextual conditions. Transfer processes are complex and dependent on economic, social, cultural, and political factors. Research also identifies gaps in methodology, including limited longitudinal and comparative studies, as well as insufficient theoretical frameworks to explain determinants of success and failure in VET reform and transfer. The economic and innovation potential of VET has been highlighted in studies on dual systems. Backes-Gellner and Lehnert [20] argues that dual apprenticeship programs in Germany and Switzerland provide high-level technical and soft skills that support employability and national innovation systems. Success factors include comprehensive curricula, stakeholder involvement, attractive career pathways, and the integration of tertiary institutions with vocational education. These findings emphasize that dual VET models can enhance innovation and provide valuable lessons for policy transfer. However, the dual VET approach is not applied uniformly across all countries, as its successful adoption depends on specific contextual and structural conditions. Comparative research highlights that long-term cooperation, system-level adaptation, and attention to economic, social, cultural, and political factors are crucial for effective implementation. Successful dual systems also require comprehensive curricula, active stakeholder involvement, attractive career pathways, and strong integration with tertiary education. Without these conditions, replicating models such as those in Germany or Switzerland may be challenging and potentially less effective in other national contexts.
Recent research increasingly highlights how VET-qualified workers and strong VET–firm linkages support innovation within small- and medium-sized enterprises (SMEs). Brunet Icart and Rodríguez-Soler [21] demonstrates, through a survey of Spanish industrial SMEs, that employees with VET qualifications are instrumental in firm innovation, though structural and relational obstacles—such as weak trust or limited cooperation between VET centres and business—can hamper their full participation. Building on this, Lewis [1] argues that VET-trained workers contribute to innovation through their hands-on technical expertise and practical problem-solving, reinforcing the notion that VET is not simply about skills provision but also about value creation. Lavía et al. [22] uses survey data from Spanish industrial SMEs to classify different types of relationships with VET centres, showing that firms with a strong innovation culture and technical VET-trained staff maintain deeper engagements with vocational institutions. This underlines how VET institutions function not just as training providers, but as knowledge infrastructures essential for SME innovation. Complementing this, Penate et al. [23] examines how technological resources in vocational schools contribute to dynamic capabilities (sensing and innovativeness), which in turn boost the schools’ reputation—suggesting that VET institutions themselves must evolve technologically to influence and attract firms. At the system-governance level, Storonyanska et al. [24] argues that redesigning VET in EU countries to better align with green and digital transitions (via reforms aligned with the United Nations Sustainable Development Goals, SDG) can strengthen labor-market responsiveness and drive sustainable innovation in regional economies. Finally, Lavía et al. [25] explores how VET institutions are shifting from being mere providers of skills to becoming partners for firms, highlighting strategies and challenges in building collaborative, innovation-focused VET–industry ecosystems. Together, these works emphasize that VET’s contribution to innovation is multi-dimensional — encompassing not only workforce skills but institutional partnerships and resource development.
The integration of digital tools and artificial intelligence (AI) is an emerging trend in VET studies. Studies on big data and intelligent management platforms, such as Kero and Olana [26] and Wu et al. [27], highlight how real-time data, predictive analytics, and digital platforms can improve learning outcomes, student engagement, and industry-education cooperation. Research on AI, including Çela et al. [28], Prasetya et al. [29], and Azizah et al. [30], argues that AI can support personalized learning, skill development, and workplace readiness, though challenges include ethical oversight, algorithmic bias, infrastructure, and faculty training. Digital skills development, particularly through structured international programs and educational platforms, has been shown to enhance vocational competencies, as in Zervas and Stiakakis [31]. These studies indicate that Erasmus participation, which involves international student mobility, educational platforms, and engagement with social networks, improves digital skills, whereas unstructured daily computer use shows limited impact. Attwell et al. [32] describes how AI is reshaping work and skills, requiring VET systems to update curricula and qualifications to include AI-related knowledge and work-process understanding. It highlights two main trends: the growing use of AI-enhanced training environments in practical learning and the use of AI tools to support teaching and assessment. These changes demand stronger school–industry cooperation, improved digital infrastructure, and extensive teacher training. Overall, effective adaptation depends on coordinated curriculum reform, organisational change, and sufficient investment in technology and staff development. Dewanto [33] explores how vocational education can use AI to support sustainable green innovation, equipping learners with skills to develop environmentally friendly solutions aligned with the SDGs. It reviews AI applications in areas such as smart energy management, sustainable manufacturing, and green agriculture, while also outlining challenges and opportunities in integrating AI into vocational curricula. Overall, this evidence underscores that the integration of digital technologies and AI into VET demands strategic planning to optimize learning outcomes, promote equity, and ensure that technological innovations are properly integrated with pedagogical goals.
Building on this review, our study analyzes VET in the EU27 using reliable Cedefop indicators. It explores patterns in participation, training, digital skills, and labor market outcomes, highlighting the role of digitalization in shaping vocational education. Unlike most existing research based on case studies or qualitative comparisons, this paper applies quantitative methods to detect outliers, examine correlations, and cluster countries according to their VET profiles. In this way, it provides new comparative evidence on structural patterns and country differences, offering insights that complement the existing theoretical and policy-oriented discussions.

3. The Cedefop Key Performance Indicators on VET

The Cedefop website (https://www.cedefop.europa.eu/en) provides an up-to-date, internationally comparable statistical overview of VET in Europe, covering both individual countries and the EU as a whole. It offers a comprehensive data framework addressing key aspects of initial and continuing VET, adult learning, skill development, and their broader context. The platform includes 56 indicators, organized by topic and type of VET. These include participation in terms of access, attractiveness, inclusiveness, and flexibility, together with VET expenditure, labor market outcomes, work-based learning, and skill development. Additional data on education, training, and the labor market complement these indicators, offering a richer contextual perspective. Specifically, the Cedefop KPIs on VET can be grouped into several broad categories:
  • There are indicators on participation in initial VET (IVET) at upper secondary and post-secondary levels. These cover the share of students enrolled in IVET relative to all upper secondary students, the proportion of IVET students following work-based programs, those with direct access to tertiary education, the average number of foreign languages learned, the share of female students, and the proportion of graduates from IVET among all upper secondary graduates, including STEM graduates. Indicators also address learning mobility abroad and exposure to work-based learning for recent graduates.
  • Another set of indicators concerns adult participation in learning, both formal and non-formal. These include participation rates over the last four weeks or twelve months, with breakdowns by age groups (25 to 64, 55 to 64), skill level (low-qualified adults), employment status (unemployed), and learning format (online, job-related non-formal). Additional indicators report on adults who wished to participate but did not, and the use of acquired skills in work.
  • Workplace training is addressed through indicators on continuing vocational training (CVT), including the share of staff participating in CVT or on-the-job training, participation in small enterprises, hours spent per 1000 h worked, enterprises sponsoring training, government and enterprise expenditure on training, and the extent to which training helps workers improve performance or match their skills to duties.
  • Finally, indicators on outcomes include employment-related measures such as the employment rate of recent IVET graduates, the employment premium of IVET over general education, and participation in further education and training by young graduates. Public and private investments in VET are measured through expenditure per student, total public expenditure as a share of gross domestic product, enterprise spending on CVT relative to labor costs, and average adult expenditure on non-formal learning. These indicators provide a comprehensive overview of VET participation, learning opportunities, workplace training, outcomes, and financial investment.
In relation to the VET indicators, Cedefop additionally offers country-specific graphical visualizations, for which reviewing the definition of each indicator is essential to ensure accurate interpretation. The geographical coverage includes the EU27, the United Kingdom, and eight selected European Free Trade Area and candidate countries, with the selection determined by data availability. The time coverage extends from 2010 to the most recent year available, which differs by indicator, with annual updates typically released in June and published in July. Some indicators are based on surveys with less frequent periodicity, such as every two or five years. The data sources include international and European surveys such as the UNESCO, OECD, and Eurostat (UOE) joint data collection on formal education, the EU Labor Force Survey, the Adult Education Survey, the Continuing Vocational Training Survey, the EU survey on information technologies usage, the EU survey on income and living conditions, the European Working Conditions Survey, and the European Skills and Jobs Survey. While many indicators are directly retrieved from Eurostat (https://ec.europa.eu/eurostat, accessed on 13 October 2025), others are calculated by Cedefop, including weighted EU averages where needed. Issues such as reliability, time series breaks, or deviations from standard definitions are flagged and documented. The website also provides functionalities for accessing and downloading data, as well as visualization tools such as tables, graphs, maps, bar charts, and timelines to allow comparison across countries and over time. The selection of indicators is guided by European VET policy objectives and considers statistical and technical criteria, such as availability, comparability, periodicity, quality, relevance, accuracy, and clarity. However, as in any public database that combines different sources, indicators, and countries, issues of missing data and reliability remain. In our analysis, we identified both indicators and countries with a high number of flags, such as ‘break in time series’, ‘low reliability’, or ‘definition differs’. In some extreme cases, even negative values flagged as series breaks were recorded as percentages. Hence, flagged data must be treated with extreme caution.

4. Processing and Quality Assessment of VET Data

For this study, data on key VET indicators were retrieved on 18 August 2025, from the Cedefop KPIs on VET dataset (https://www.Cedefop.europa.eu/en/tools/key-indicators-on-vet/dataset-access, accessed on 13 October 2025). The selection parameters were: ‘Topic’ = all; ‘Type’ = all; ‘Indicators’ = all; ‘Country’ = all; and ‘Year’ = most recent. The resulting file (cedefop-datatable.csv) contained 1708 rows and 6 columns. Each row corresponds to a specific indicator for a given country, while the columns are: Dataset, Indicator, Countries, Year, Flags, and Value. Data were preprocessed using Python 3 in Google Colab Notebook: the Dataset column was removed, and aggregate values for EU27 and non-EU countries were excluded to ensure comparability. Subsequently, a mapping dictionary linked each indicator to its Cedefop code, which was added as a new column. Finally, data reliability was evaluated by calculating the number and proportion of observed pending per country and indicator. The country-level analysis shows that some countries have a large share of unreliable data. France has the highest percentage, with  43.6 % of its observations flagged. Greece follows with 34.6 % , while Spain and Germany each have 30.9 % . Ireland also shows a notable share at 28.6 % , and Italy at 25.0 % . Belgium and Romania both exceed 20 % . These results indicate that data quality in these key EU countries needs to be improved in future Cedefop datasets to support reliable comparisons. Some indicators also have a high percentage of flagged values, raising concerns about their reliability. Indicator 2090a (Employment premium for recent IVET graduates (over general stream)) has the highest share, with  59.1 % of its observations flagged, followed by 2080a (Employment rate for recent IVET graduates (20–34 year-olds) (%)) at 42.3 % and 1101 (Low-qualified adults with a learning experience in the last 12 months (%)) at 41.7 % . Other indicators with more than 30 % flagged values include 2034 (Adults’ average expenditure on non-formal learning (EUR per participant), 37.0 % ), 1110 (Unemployed adults with a learning experience in the last 4 weeks (%), 36.0 % ), 1100a (Low-qualified adults with a learning experience in the last 12 months, 30.8 % ), and 1102 (Low-qualified adults with a learning experience in the last 12 months (%), 29.2 % ). Indicators 2066 (Recent IVET graduates (20–34 year-olds) with a work-based learning experience as part of their vocational education and training (%)) and 1100 (Low-qualified adults with a learning experience in the last 4 weeks (%)) each have 25.0 % flagged, while 1092 (Older adults (55–64 year-olds) with a learning experience in the last 12 months (%)), 1050a (Adults (25–64 year-olds) with a learning experience in the last 12 months), 3030 (NEET rate for 15–29 year-olds (%)), 3045 (Employment rate of recent graduates (%)), and 3010 (Early leavers from education and training (%)) each have 22.2 % .
Table 1 presents the final set of Cedefop KPIs selected for this study. From the original set of 56 VET indicators compiled by Cedefop for the EU27, this study focuses on 23 indicators (listed in Appendix A). The selection process involved retaining only indicators with less than 10% flagged values across countries and excluding country-level observations that were flagged as unreliable. This approach ensures that the dataset reflects harmonized and comparable measures of vocational education and training across the EU. Conceptually, the KPIs were grouped to capture four main dimensions of VET and workforce development: participation in training (IVET and CVET), educational attainment (lower, medium, and tertiary levels), digital skills (basic adult digital competencies), and labor market outcomes (employment rates, skills-job matching, and high-skill employment).
Based on this pivot table, the data were then standardized using scaling methods, so that all indicators share a common scale. This step ensures comparability across variables and allows for more robust analyses, such as correlations and cluster analysis.

5. Descriptive Analysis: Insights in VET Data

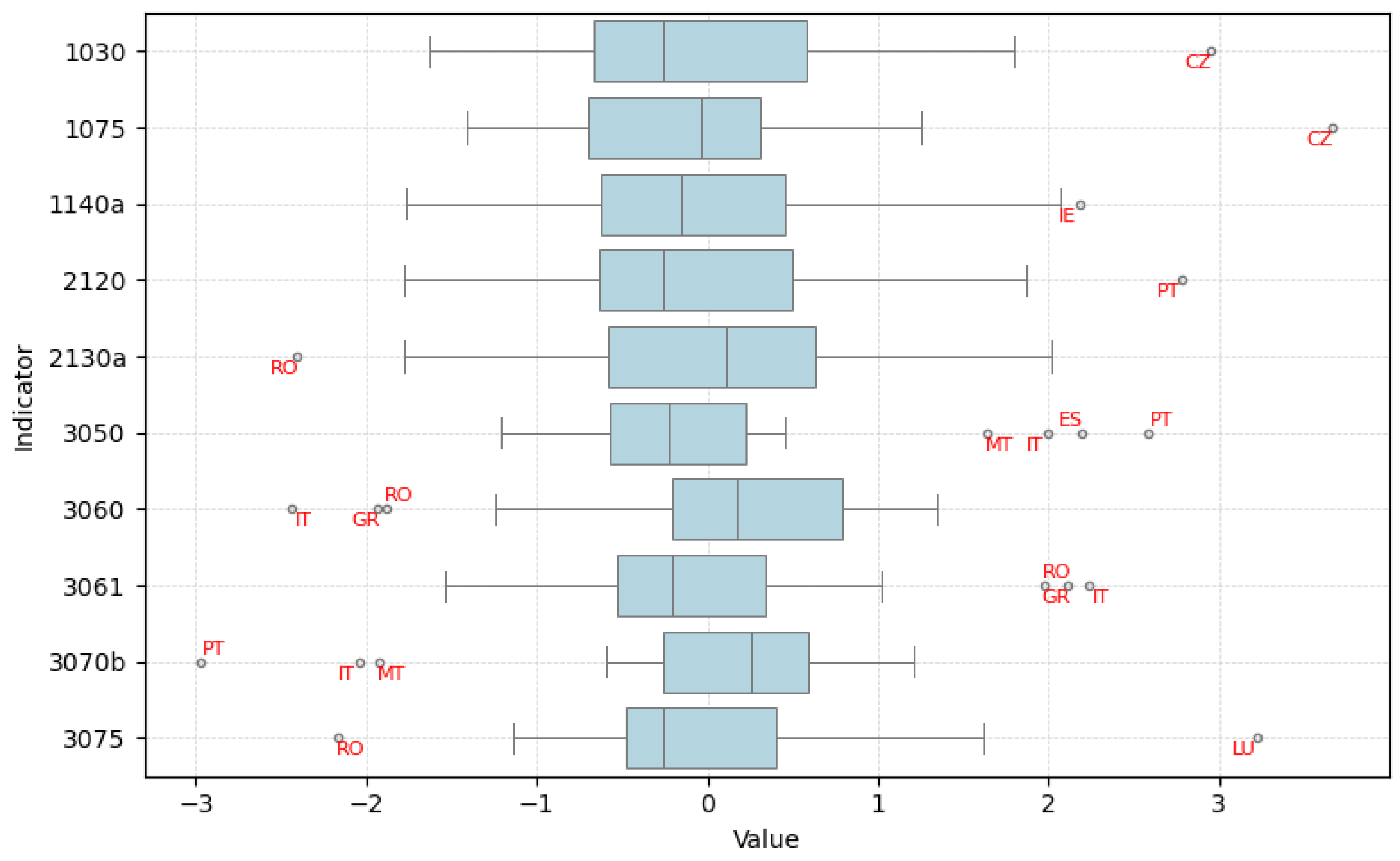
Using the dataset created in the previous section, numeric indicators were standardized with z-score scaling to allow comparability across variables with different units or ranges [34]. Subsequently, outliers were identified for each indicator by calculating the interquartile range (IQR) and identifying values that fall below the first quartile minus 1.5 times the IQR or above the third quartile plus 1.5 times the IQR. Figure 1 presents box plots of indicators that contain outliers, with country values labeled with two-letter codes for clarity.
The analysis of outliers across selected VET indicators highlights several notable deviations among countries. Czechia shows a very high participation of workers in continuing vocational training ( 82.8 % , indicator 1030—Workers participating in CVT courses (% of staff)) and of workers in small firms in CVET courses ( 79.2 % , indicator 1075—Small firms’ workers participating in CVT courses (%)). These values are well above the European average, which was below 50 % in 2020. High CVT participation suggests strong involvement of employers in workforce up-skilling, a positive outcome for lifelong learning and competitiveness. The high coverage in small firms is notable since smaller companies usually face barriers in providing structured training. Ireland stands out with a high share of adults aged 16 to 74 learning online ( 60.1 % , indicator 1140a—Adults (16–74 year-olds) learning online (%)), reflecting the strong adoption of digital learning opportunities. Such a high rate is favorable in the context of digitization and flexible access to education, indicating both widespread digital skills and availability of infrastructure for online learning.
Portugal shows an outlier in the share of workers with skills matched to their duties ( 76.0 % , indicator 2120—Workers with skills matched to their duties (%)), pointing to a relatively good balance between skills supply and labor market demand. However, Portugal also records a high share of adults with lower educational attainment ( 38.5 % , indicator 3050—Adults with lower level of educational attainment (%)) and a low share of medium/high-qualified employment ( 67.7 % , indicator 3070b—Medium/high-qualified employment (% of total in the age group 20–64 year-olds)), highlighting structural weaknesses in human capital development. Romania presents mixed patterns: the share of adults with at least basic digital skills is very low ( 27.7 % , indicator 2130a—Adults (16–74 year-olds) with at least basic digital skills (%)), employment rates are below average ( 69.5 % , indicator 3060—Employment rate for 20–64 year-olds (%)), and the gender employment gap is large ( 18.1 % , indicator 3061—Gender employment gap (%)). Employment in knowledge-intensive activities is also low ( 23.4 % , indicator 3075—Employment in knowledge-intensive activities (% of total employment)), confirming limited high-skill sector presence. These indicators highlight constraints in digital readiness and labor market modernization.
Italy is an outlier in several areas, including high shares of adults with lower educational attainment ( 33.3 % , indicator 3050—Adults with lower level of educational attainment (%)), low employment rates ( 67.1 % , indicator 3060—Employment rate for 20–64 year-olds (%)), high gender employment gaps ( 19.4 % , indicator 3061—Gender employment gap (%)), and a relatively low share of medium/high-qualified employment ( 74.3 % , indicator 3070b—Medium/high-qualified employment (% of total in the age group 20–64 year-olds)). Spain and Malta also record high percentages of adults with low educational attainment ( 35.1 % and 30.2 % , indicator 3050—Adults with lower level of educational attainment (%)), with Malta also showing low-medium / high-qualified employment ( 75.1 % , indicator 3070b—Medium/high-qualified employment (% of total in the age group 20–64 year-olds)). Greece exhibits low employment ( 69.3 % , indicator 3060—Employment rate for 20–64 year-olds (%)) and a high gender employment gap ( 18.8 % , indicator 3061—Gender employment gap (%)). In contrast, Luxembourg shows a high share of employment in knowledge-intensive activities ( 61.6 % , indicator 3075—Employment in knowledge-intensive activities (% of total employment)), well above the European average, reflecting a labor market strongly specialized in high-skill sectors.
Caution is needed when interpreting these results. As noted in the previous section, several large countries, including France, Greece, Spain, Germany, Ireland, and Italy, have many flagged observations, and the analysis considered only their non-flagged indicators. This selective inclusion may introduce bias, given the economic and demographic weight of these countries in Europe. In our view, however, the inclusion of non-reliable data would have posed an even greater risk to the analysis.
In general, the analysis highlights noticeable variation in the outcomes of EVET and the indicators of the labor market across the EU. Czechia demonstrates strong CVT participation, Ireland excels in adult online learning, and Luxembourg leads in high-skill employment. Portugal shows good skill alignment but faces structural gaps, while Italy, Spain, Malta, Greece, and Romania reveal persistent challenges in low qualifications, employment rates, gender gaps, and digital skills. These patterns underscore the diversity of VET systems and labor market conditions, highlighting both best practices and areas requiring targeted policy interventions to enhance skill development and employability across Europe.

6. Correlation Analysis: Exploring VET Trends

To explore the relationships among the indicators, we first computed the Pearson correlation matrix using the scaled dataset. The resulting correlations were visualized as a heatmap (Figure 2), the strong correlations (absolute value above 0.7 and p-value below 0.01) highlighted directly. We applied the threshold of | r | > 0.7 to focus on robust associations between VET indicators, minimizing weaker links that are less informative for the analysis. This step is important because it allows us to identify how different VET indicators move together across countries, revealing potential patterns in education, training, and labor market outcomes that may not be visible when examining each variable separately. As a significance level, we set a l p h a < 0.01 , since, when working with multiple indicators and cross-country comparisons, there is a higher risk of false or misleading correlations. This stricter level helps reduce weak associations or results driven by chance. Correlation analysis was used to identify consistent relationships between indicators, which can highlight underlying patterns in VET systems across countries.
The results reveal several notable patterns among indicators that are statistically significant, ensuring that these associations are unlikely to have occurred by chance. The share of adults with lower educational attainment (3050—Adults with lower level of educational attainment (%)) is almost perfectly negatively correlated with medium/high-qualified employment (3070b—Medium/high-qualified employment (% of total in the age group 20–64 year-olds), r = 0.99 ), showing that higher proportions of lower-qualified adults correspond to lower levels of medium/high-qualified employment. Among upper secondary IVET indicators, the share of IVET students (1010—IVET students as % of all upper secondary students) is strongly positively correlated with both female IVET students (1070—Female IVET students as % of all female upper secondary students, r = 0.98 ) and IVET graduates as a percentage of all upper secondary graduates (2045—IVET graduates as % of all upper secondary graduates, r = 0.93 ), reflecting that overall IVET participation is closely mirrored in female participation and graduation rates. Workforce training indicators also show strong links: the percentage of workers participating in CVT courses (1030) is highly correlated with small firm worker participation (1075—Small firms’ workers participating in CVT courses (%), r = 0.95 ). At the expenditure level, public expenditure per student in IVET (2025—IVET public expenditure per student (1000 PPS units)) is positively correlated with employment in knowledge-intensive activities (3075—Employment in knowledge-intensive activities (% of total employment), r = 0.84 ) and with the share of 25 to 34 year-olds with tertiary attainment (3021—25–34 year-olds with tertiary attainment (%), r = 0.74 ), suggesting that higher investment per student is associated with more skilled employment outcomes. Digital skills indicators also show correlations: the percentage of adults with at least basic digital skills (1140a—Adults (16–74 year-olds) learning online (%)) is positively correlated with adult employment in highly skilled occupations (2130a—Adults (16–74 year-olds) with at least basic digital skills (%), r = 0.83 ). These results identify clusters of interrelated indicators, linking educational participation, workforce training, public investment, and employment outcomes, while also highlighting strong inverse relationships between low educational attainment and medium/high-skilled employment.

7. Exploring VET Data Through Cluster Analysis

To explore whether European countries present similar or distinct patterns in their workforce development indicators, we applied the t-distributed Stochastic Neighbor Embedding (t-SNE) algorithm. This technique was selected because it is well-suited for the visualization of high-dimensional data, preserving local shared patterns and allowing the identification of clusters or outliers in a two-dimensional space. Unlike linear methods such as PCA, t-SNE is able to capture non-linear relationships, which are expected in complex datasets combining training, education, and digital skills indicators. The resulting map provides an interpretable view of country nearness and differences, supporting a more nuanced analysis of workforce development profiles across Europe.
Cluster assignments were determined based on the minimum within-cluster sum of squares, and the distance of countries from cluster centroids was used to quantify deviation from the main group. Countries described as ‘separated’ or ‘detached’ have distances from the nearest cluster centroid above the 90th percentile of all inter-country distances, highlighting them as statistical outliers rather than purely visual observations. The t-SNE visualization, combined with K-Means clustering, suggests two main groups of countries. Most of them are assigned to Cluster 0, forming a dense central group with relatively similar profiles. This indicates that a large number of European countries share comparable patterns in workforce development. Nevertheless, some heterogeneity remains within this cluster, as smaller sub-groups can still be observed around the center. Cluster 1, although smaller, captures countries with more distinctive profiles. Finland, Ireland, and Spain are included in this group and appear separated from the main cloud. Their position suggests that these countries follow different trajectories in training participation, educational attainment, or digital readiness compared to the majority.
In addition, several countries stand out as clear outliers. Croatia is located far away from the central cluster, which indicates a markedly different profile, possibly reflecting structural weaknesses in training or education. Latvia and, to a lesser extent, Finland also appear detached from the core distribution, pointing to specific national particularities. Spain and Germany, while not as extreme, are positioned at some distance from the center, suggesting that their workforce development patterns differ from the majority, though not in an outlier fashion. Figure 3 illustrates a visible separation, as the countries are distributed into two clusters occupying distinct areas of the map.
Overall, the analysis shows that while most European countries share a broadly comparable profile, a smaller group follows distinct paths, and a few individual cases deviate substantially from the average. These results highlight the importance of complementing aggregate comparisons with country-specific analyses to better understand differences in workforce development strategies across Europe.

8. Comparing VET Trends in the Five Largest EU27 Countries

In this section, we compare the five largest countries in the EU27 by population using common KPIs, excluding those with missing data for any of the selected countries. According to Eurostat (https://ec.europa.eu/eurostat/web/interactive-publications/demography-2025, accessed on 13 October 2025), in January 2024 the European Union (EU) had approximately 449 million inhabitants. The most populous countries are Germany ( 83.4 million), France ( 68.4 million), Italy ( 58.9 million), Spain ( 48.6 million) and Poland ( 36.6 million), which together represent almost 66 % of the population of the EU. The full list of Cedefop VET indicators is available online at https://www.cedefop.europa.eu/en (accessed on 13 October 2025), which provides detailed definitions and metadata for each KPI. For the purposes of this study, we focus on a subset of 13 indicators with complete and reliable data across the five largest EU countries to allow meaningful cross-country comparisons. The indicators selected were the following:
  • 1030: Workers participating in CVT courses (% of staff);
  • 1040a: Workers participating in on-the-job training (% of staff);
  • 1060: Enterprises sponsoring training (%);
  • 1075: Small firms workers participating in CVT courses (%);
  • 1135: Hours spent in CVT courses (per 1000 h worked);
  • 1140a: Adults (16–74 year-olds) learning online (%);
  • 2045: IVET graduates as % of all upper secondary graduates;
  • 2065: Short cycle VET graduates as % of first time tertiary education graduates;
  • 2110: Workers helped to improve their work by training (%);
  • 2120: Workers with skills matched to their duties (%);
  • 2130a: Adults (16–74 year-olds) with at least basic digital skills (%);
  • 3021: 25-34 year-olds with tertiary attainment (%);
  • 3050: Adults with lower level of educational attainment (%).
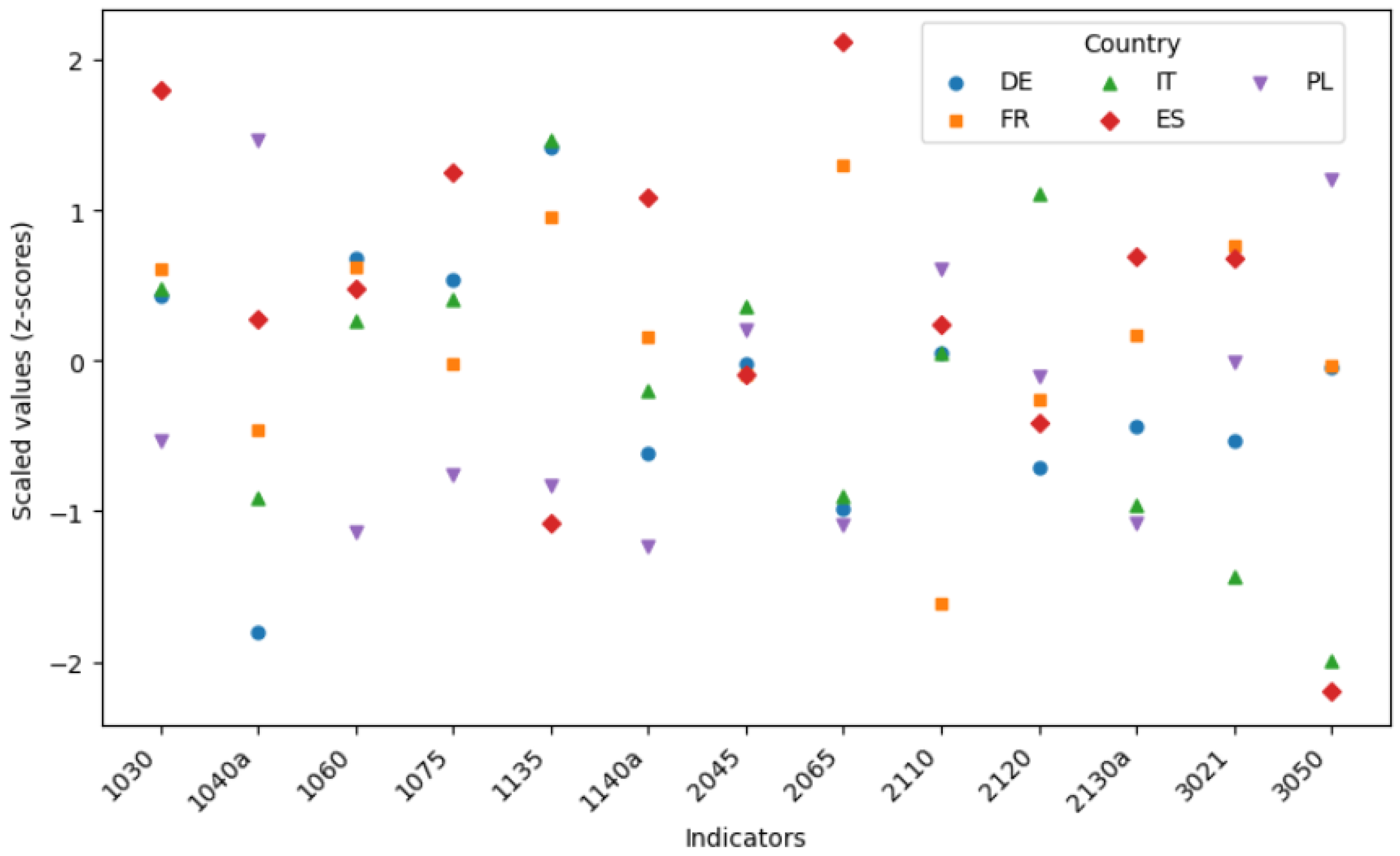
For consistency, in the dataset of scaled values we reversed the sign of indicator 3050, since higher values for this KPI correspond to worse performance, whereas for all other indicators higher values indicate better performance. To evaluate potential differences in overall performance across the selected countries, the dataset was reshaped from wide to long format, with each indicator value treated as a measure of country performance. A one-way ANOVA and a Kruskal–Wallis test were then applied to assess cross-country differences. Both tests yielded p-values greater than 0.05 , indicating no statistically significant differences in aggregated performance when all indicators are jointly considered. It should be noted, however, that in these tests each indicator was treated as an independent observation of an abstract ‘performance’ variable. This assumption may not be fully accurate, as some indicators are likely to be highly correlated, potentially reducing the sensitivity of both ANOVA and Kruskal–Wallis tests. Importantly, the lack of significant differences in this aggregated measure does not rule out the presence of substantial differences in individual indicators, which may still provide valuable insights for country-specific analyses. Figure 4 shows the scaled indicator values using a dot plot. Each KPI is shown on the horizontal axis, with country-specific performance values plotted as distinct symbols. This visual representation allows a direct comparison of performance profiles across countries for the selected indicators.
As a result, for indicator 1030 (Workers participating in CVT courses (% of staff)), Germany (scaled 0.4 , original 43.7 % ) and Italy ( 0.5 , 44.6 % ) have similar moderate participation, France ( 0.6 , 46.6 % ) is slightly higher, Poland ( 0.5 , 28.8 % ) is lowest, and Spain ( 1.8 , 65.0 % ) is highest. For indicator 1040a (Workers participating in on-the-job training (% of staff)), Poland ( 1.5 , 52.0 % ) leads, Spain ( 0.3 , 44.0 % ) and France ( 0.5 , 39.0 % ) are moderate, Italy ( 0.9 , 36.0 % ) and Germany ( 1.8 , 30.0 % ) lag behind. For indicator 1060 (Enterprises sponsoring training (%)), Germany ( 0.7 , 77.2 % ) and France ( 0.6 , 75.9 % ) show high levels, Spain ( 0.5 , 73.2 % ) slightly lower, Italy ( 0.3 , 68.9 % ) moderate, and Poland ( 1.1 , 40.9 % ) is lowest. Regarding indicator 1075 (Small firms’ workers participating in CVT courses (%)), Spain ( 1.3 , 43.1 % ) and Germany ( 0.5 , 32.3 % ) are highest, Italy ( 0.4 , 30.4 % ) moderate, France ( 0.0 , 24.0 % ) slightly lower, and Poland ( 0.8 , 12.9 % ) is lowest. For indicator 1135 (Hours spent in CVT courses (per 1000 h worked)), Italy ( 1.5 , 8.5 ) and Germany ( 1.4 , 8.4 ) are highest, France ( 1.0 , 7.3 ) moderate, Poland ( 0.8 , 3.1 ) and Spain ( 1.1 , 2.5 ) much lower. In the case of indicator 1140a (Adults (16–74 year-olds) learning online (%)), Spain ( 1.1 , 45.9 % ) and France ( 0.2 , 34.1 % ) lead, Germany ( 0.6 , 24.1 % ) and Italy ( 0.2 , 29.5 % ) moderate, Poland ( 1.2 , 16.3 % ) lowest.
Regarding indicator 2045 (IVET graduates as % of all upper secondary graduates), Italy ( 0.4 , 52.7 % ) is highest, Poland ( 0.2 , 50.0 % ) moderate, Germany ( 0.0 , 45.7 % ), France ( 0.1 , 44.4 % ) and Spain ( 0.1 , 44.5 % ) similar and slightly lower. In the case of indicator 2065 (Short cycle VET graduates as % of first-time tertiary education graduates), Spain ( 2.1 , 45.3 % ) and France ( 1.3 , 33.8 % ) are highest, Germany ( 1.0 , 1.5 % ) and Italy ( 0.9 , 2.7 % ) low, Poland ( 1.1 , 0.1 % ) lowest. For indicator 2110 (Workers helped to improve their work by training (%)), Poland ( 0.6 , 88.0 % ) and Spain ( 0.2 , 86.0 % ) are highest, Germany ( 0.1 , 85.0 % ) and Italy ( 0.1 , 85.0 % ) similar, France ( 1.6 , 76.0 % ) noticeably lower. For indicator 2120 (Workers with skills matched to their duties (%)), Italy ( 1.1 , 65.0 % ) is highest, France ( 0.3 , 56.0 % ), Poland ( 0.1 , 57.0 % ), Germany ( 0.7 , 53.0 % ) moderate, Spain ( 0.4 , 55.0 % ) similar. In the case of indicator 2130a (Adults (16–74 year-olds) with at least basic digital skills (%)), Spain ( 0.7 , 66.2 % ) and France ( 0.2 , 59.7 % ) are highest, Germany ( 0.4 , 52.2 % ) moderate, Italy ( 1.0 , 45.8 % ) and Poland ( 1.1 , 44.3 % ) lowest. For indicator 3021 (25–34 year-olds with tertiary attainment (%)), France ( 0.8 , 53.4 % ) and Spain ( 0.7 , 52.6 % ) highest, Germany ( 0.5 , 40.5 % ) moderate, Poland ( 0.0 , 45.7 % ) and Italy ( 1.4 , 31.6 % ) lower. Finally, for indicator 3050 (Adults with lower level of educational attainment (%)), Poland ( 1.2 , 5.2 % ) is best (lowest attainment), Germany ( 0.0 , 16.2 % ) and France ( 0.0 , 16.1 % ) similar, Italy ( 2.0 , 33.3 % ) and Spain ( 2.2 , 35.1 % ) higher, indicating more adults with lower education. The indicators highlight three core dimensions of workforce development across the selected countries: training engagement, educational attainment, and skills and digital readiness.
In the dimension of training participation, Spain stands out with consistently high engagement in both formal CVT courses and on-the-job training, complemented by substantial hours invested in training. Germany and Italy show more mixed profiles: Both achieve moderate participation overall, but Germany lags in on-the-job training, while Italy combines relatively low workplace training with comparatively high CVT hours. Poland consistently trails the group, particularly in enterprise sponsorship of training and the participation of workers in CVT. Addressing these gaps would require Poland to expand enterprise involvement and increase opportunities for both formal and workplace-based learning. Germany could strengthen its on-the-job training offers, while Italy might benefit from better integrating workplace-oriented learning into its strong CVT provision.
Regarding educational attainment, Spain and Italy perform relatively well in short-cycle vocational education and tertiary attainment, while Germany and Poland display weaker results in short-cycle VET graduates. However, Poland maintains one of the lowest proportions of adults with only lower educational attainment, despite its modest tertiary completion rates. Germany and Poland could strengthen human capital by broadening short-cycle VET pathways to better align education with labor market demand. In contrast, Italy and Spain, while strong in some attainment measures, would benefit from reducing the still high share of adults with low educational attainment through targeted adult learning initiatives.
In terms of skills and digital readiness, Spain and France lead, with higher proportions of adults possessing at least basic digital skills and a stronger alignment between worker skills and job requirements. Germany shows moderate performance, particularly in skills-job matching, while Italy and Poland remain behind in digital competence. To close these gaps, Italy and Poland should invest in adult digital literacy programs and measures to better align workforce skills with labor market needs. Germany, in comparison, could focus on improving the matching of skills with jobs to enhance productivity and adaptability.

9. Conclusions

VET systems are crucial for labor market preparation, economic growth, and international cooperation. European VET systems vary widely due to national traditions, social background, guidance mechanisms, and program types, with dual systems often offering early advantages. Policy frameworks such as EQF and ECVET promote convergence across countries, while digitization and artificial intelligence offer opportunities for personalized learning, stronger industry cooperation, and enhanced vocational skills. The Cedefop statistical framework provides comprehensive data on VET in Europe, covering participation, learning opportunities, workplace training, outcomes, and expenditure. The database integrates multiple international and national sources, allowing for comparative analyses across countries and over time. However, differences in data collection methods, definitions, and reporting periods introduce comparability and reliability issues. Missing values, series breaks, and inconsistent measurements highlight the challenges of producing robust, cross-country analyses.
To ensure data reliability, this study filtered the Cedefop dataset, retaining only indicators with less than 10 % flagged values and excluding flagged country-level observations. This produced a subset of 23 indicators suitable for systematic comparison, although it reduced the scope of analysis. Outlier analysis revealed country-specific strengths and weaknesses: Czechia excels in continuing vocational training, Ireland in online learning, Portugal in skill-job matching, while countries such as Romania, Italy, Spain, Malta, and Greece face structural challenges in digital skills, employment, and educational attainment. These patterns indicate that, although VET has become a central policy instrument across Europe, its outcomes remain unevenly distributed. The correlation analysis further confirmed the interdependence of the indicators. A clear negative association was identified between the share of adults with low educational attainment and the incidence of high-skilled employment. Similarly, positive correlations emerged between investment in VET, the acquisition of digital skills, and favorable labor market outcomes. These results support the idea that VET systems do not operate in isolation, but are embedded in broader human capital and labor market structures. Policies that neglect one dimension are unlikely to succeed without parallel improvements in others.
Cluster analysis identified two main groups of countries, reflecting structural similarities rather than geography, although the separation between clusters remains relatively weak. Most European countries form a central cluster with broadly similar VET profiles, while a smaller set—including Finland, Ireland, and Spain—follows more distinctive trajectories. Outliers such as Croatia and Latvia appear far from the core, reflecting unique national conditions or structural weaknesses. Examination of selected KPIs in the five largest EU economies further revealed country-specific patterns in training participation, educational attainment, and digital readiness. Spain and France perform strongly in digital skills and job alignment, Germany shows moderate results, Italy and Poland lag in several areas, while Poland also stands out for limiting low educational attainment. These findings highlight the importance of differentiated policy responses, as a one-size-fits-all approach may not address the particular needs of individual countries.
A more detailed comparison of the five largest EU economies (Germany, France, Italy, Spain, and Poland) allowed for a deeper understanding of national contrasts. Three broad dimensions of workforce development were identified: training engagement, educational attainment, and skills and digital readiness. Spain and France perform well in digital readiness, while Italy and Poland face important challenges, especially in adult digital literacy and tertiary attainment. Germany shows solid performance in training participation, but relative weaknesses in on-the-job training opportunities. These findings suggest that each of the major EU economies faces distinct challenges that require tailored policy priorities.
Overall, this study confirms the central role of VET in shaping workforce development and its contribution to competitiveness and social cohesion in the European Union. It also highlights that progress in VET must go hand in hand with improvements in digital competences, higher levels of educational attainment, and better skill-job alignment. The persistence of large differences among countries underscores the need for continuous monitoring and targeted support, especially in countries where structural weaknesses remain evident.
Beyond these findings, this study contributes novel insights to the existing literature by offering one of the first systematic, data-driven comparative analyses of European VET systems using harmonized Cedefop indicators. While previous studies have often relied on qualitative case studies or descriptive typologies, our approach integrates quantitative methods (outlier detection, correlation, and clustering) to uncover structural relationships and country-specific profiles that are not immediately visible through traditional analyses. This methodological contribution enhances the understanding of cross-country patterns and provides an empirical foundation for future policy benchmarking.
Our study faces several limitations, mainly linked to the quality and coverage of the underlying data. Several large EU countries still present substantial gaps and inconsistencies in the data. This reduces the scope of indicators and may introduce selection bias in cross-country comparisons. Moreover, cross-country comparability is further constrained by structural differences in national economies and business ecosystems, as variations in industrial composition, enterprise size distribution, and labor market organization influence how VET systems operate and perform. The exclusion of flagged indicators also means that some important aspects of VET systems might not have been properly captured. Nevertheless, by carefully selecting a reliable subset of KPIs, the study provides a relatively robust overview of key patterns in European VET, offering valuable insights for both researchers and policy makers. Future research should focus on examining other international and regional VET datasets to identify more granular measures, such as regional differences or sector-specific training. Looking ahead, artificial intelligence (AI) can further expand this line of research by enabling automated data curation, predictive modeling of VET outcomes, and the detection of latent patterns across large, heterogeneous datasets. Future studies could further investigate how generative AI is transforming VET systems, particularly through the integration of online and hybrid learning models, adaptive curricula, and personalized learning pathways. Moreover, the use of AI can support intelligent modeling of future trends and the development of intelligent decision-support systems for policy and governance. Advancing this research will also require the formulation of sound data governance frameworks and strategic decision-making processes to ensure that VET systems effectively promote labor market outcomes, digital readiness, and lifelong learning.

Author Contributions

Conceptualization, A.V., L.C. and J.P.; methodology, A.V. and A.A.J.; validation, L.C. and J.P.; investigation, A.V. and L.C.; data curation, A.V. and A.A.J.; writing—original draft preparation, A.V. and A.A.J.; writing—review and editing, L.C. and J.P.; supervision, L.C. and J.P. All authors have read and agreed to the published version of the manuscript.

Funding

This research received no external funding.

Institutional Review Board Statement

Not applicable.

Informed Consent Statement

Not applicable.

Data Availability Statement

All data used in this work is available at https://www.Cedefop.europa.eu/, accessed on 25 November 2025.

Conflicts of Interest

The authors declare no conflicts of interest.

Abbreviations

The following abbreviations are used in this manuscript:
AIArtificial Intelligence
ATAustria
BEBelgium
BGBulgaria
CedefopEuropean Center for the Development of Vocational Training
CVETContinuing Vocational Training
CYCyprus
CZCzechia
DEGermany
DKDenmark
ECVETEuropean Credit System for Vocational Education and Training
EEEstonia
EQFEuropean Qualifications Framework
ESSpain
EUEuropean Union
EU2727 Member States of the European Union
EurostatStatistical Office of the European Union
FIFinland
FRFrance
GRGreece
HRCroatia
HUHungary
IEIreland
IQRInterquartile Range
ITItaly
IVETInitial Vocational Education and Training
KPIKey Performance Indicator
LTLithuania
LULuxembourg
LVLatvia
MTMalta
NLNetherlands
OECDOrganization for Economic Cooperation and Development
PLPoland
PTPortugal
RORomania
SESweden
SISlovenia
SKSlovakia
SMEsSmall- and Medium-sized Enterprises
UNESCOUnited Nations Educational, Scientific and Cultural Organization
VETVocational Education and Training

Appendix A

Table A1 displays the Cedefop key performance indicators related to vocational training and education.
Table A1. Cedefop list of key indicators on VET.
Table A1. Cedefop list of key indicators on VET.
NoLabel
1010IVET students as % of all upper secondary students
1025IVET students with direct access to tertiary education as % of all upper secondary IVET
1030Workers participating in CVT courses (% of staff)
1040aWorkers participating in on-the-job training (% of staff)
1060Enterprises sponsoring training (%)
1070Female IVET students as % of all female upper secondary students
1075Small firms’ workers participating in CVT courses (%)
1135Hours spent in CVT courses (per 1000 h worked)
1140aAdults (16–74 year-olds) learning online (%)
2025IVET public expenditure per student (1000 PPS units)
2045IVET graduates as % of all upper secondary graduates
2050STEM graduates from upper secondary IVET (% of total)
2065Short cycle VET graduates as % of first-time tertiary education graduates
2110Workers helped to improve their work by training (%)
2120Workers with skills matched to their duties (%)
2130aAdults (16–74 year-olds) with at least basic digital skills (%)
302125–34 year-olds with tertiary attainment (%)
3050Adults with lower level of educational attainment (%)
3060Employment rate for 20–64 year-olds (%)
3061Gender employment gap (%)
3065Employment rate for 20–64 year-olds with lower level of educational attainment (%)
3070bMedium/high-qualified employment (% of total in the age group 20–64 year-olds)
3075Employment in knowledge-intensive activities (% of total employment)

References

  1. Lewis, P. Innovation, technician skills, and vocational education and training: Connecting innovation systems and vocational education and training. J. Vocat. Educ. Train. 2025, 77, 364–391. [Google Scholar] [CrossRef]
  2. Mariano, R.P.; Tantoco, L.F. Assessment of Employability skills of Technical-Vocational Education and Training (TVET) graduates: Basis for an enhancement program. Int. J. Multidiscip. Appl. Bus. Educ. Res. 2023, 4, 1734–1747. [Google Scholar] [CrossRef]
  3. Caves, K.M.; Baumann, S.; Renold, U. Getting there from here: A literature review on vocational education and training reform implementation. J. Vocat. Educ. Train. 2021, 73, 95–126. [Google Scholar] [CrossRef]
  4. Kovalchuk, V.; Maslich, S.; Tkachenko, N.M.; Shevchuk, S.S.; Shchypska, T.P. Vocational education in the context of modern problems and challenges. J. Curric. Teach. 2022, 8, 329–338. [Google Scholar] [CrossRef]
  5. Salas-Velasco, M. Vocational education and training systems in Europe: A cluster analysis. Eur. Educ. Res. J. 2024, 23, 434–449. [Google Scholar] [CrossRef]
  6. Li, J.; Pilz, M. International transfer of vocational education and training: A literature review. J. Vocat. Educ. Train. 2023, 75, 185–218. [Google Scholar] [CrossRef]
  7. Martínez-Izquierdo, L.; Torres Sánchez, M. Dual vocational education and training and policy transfer in the European Union policy: The case of work-based learning and apprenticeships. Cogent Educ. 2022, 9, 2154496. [Google Scholar] [CrossRef]
  8. Deissinger, T.; Gonon, P. The development and cultural foundations of dual apprenticeships–a comparison of Germany and Switzerland. J. Vocat. Educ. Train. 2021, 73, 197–216. [Google Scholar] [CrossRef]
  9. Markowitsch, J.; Bjørnåvold, J. Scenarios for vocational education and training in Europe in the 21st century. Hung. Educ. Res. J. 2022, 12, 235–247. [Google Scholar] [CrossRef]
  10. Milmeister, P.; Rastoder, M.; Houssemand, C. Mechanisms of participation in vocational education and training in Europe. Front. Psychol. 2022, 13, 842307. [Google Scholar] [CrossRef]
  11. Hoidn, S.; Št’astnỳ, V. Labour market success of initial vocational education and training graduates: A comparative study of three education systems in Central Europe. J. Vocat. Educ. Train. 2023, 75, 629–653. [Google Scholar] [CrossRef]
  12. Zaunstöck, T.; Marhuenda-Fluixá, F.; Ros-Garrido, A.; Fischer, M. Europeanisation of VET–the Spanish Vocational Education and Training system and the influence of European education policy. J. Vocat. Educ. Train. 2021, 73, 316–335. [Google Scholar] [CrossRef]
  13. Bainbridge, S. A reflective overview: European vocational education and training reform: The Copenhagen process 2002 to 2024. J. Vocat. Adult Contin. Educ. Train. 2024, 7, 14–34. [Google Scholar] [CrossRef]
  14. Rauner, F. European vocational education and training. In Handbook of Fundamentals of Modern Vocational Education: Shaping the World of Work; Springer: Singapore, 2024; pp. 99–125. [Google Scholar]
  15. Klassen, J. International organisations in vocational education and training: A literature review. J. Vocat. Educ. Train. 2025, 77, 792–818. [Google Scholar] [CrossRef]
  16. Barabasch, A.; Bohlinger, S.; Wolf, S. Reconstructing policy transfer in adult and vocational education and training. Res. Comp. Int. Educ. 2021, 16, 339–360. [Google Scholar] [CrossRef]
  17. Ciantar, M. Researching policy transfer of vocational education and training across the European Union: A systematic literature review. J. Vocat. Educ. Train. 2024, 77, 1235–1259. [Google Scholar] [CrossRef]
  18. Toepper, M.; Zlatkin-Troitschanskaia, O.; Kühling-Thees, C. Research in international transfer of vocational education and training–a systematic literature review. Int. J. Res. Vocat. Educ. Train. 2021, 8, 138–169. [Google Scholar] [CrossRef]
  19. Toepper, M.; Zlatkin-Troitschanskaia, O.; Kühling-Thees, C. Literature review of international empirical research on transfer of vocational education and training. Int. J. Train. Dev. 2022, 26, 686–708. [Google Scholar] [CrossRef]
  20. Backes-Gellner, U.; Lehnert, P. The Contribution of Vocational Education and Training to Innovation and Growth; Oxford Research Encyclopedia of Economics and Finance: Oxford, UK, 2021. [Google Scholar]
  21. Brunet Icart, I.; Rodríguez-Soler, J. The VET system and industrial SMEs: The role of employees with VET qualifications in innovation processes. J. Vocat. Educ. Train. 2017, 69, 596–616. [Google Scholar] [CrossRef]
  22. Lavía, C.; Otero, B.; Albizu, E.; Olazaran, M. Exploring the Intensity of Relationships with Vocational Education Centres: A Typology of Spanish SMEs. Sustainability 2021, 13, 9287. [Google Scholar] [CrossRef]
  23. Peñate, A.H.; Padrón-Robaina, V.; Nieves, J. The role of technological resources in the reputation of vocational education schools. Educ. Inf. Technol. 2024, 29, 2931–2950. [Google Scholar] [CrossRef]
  24. Storonyanska, I.; Benovska, L.; Patytska, K.; Ivashko, O.; Chulipa, I. Redesigning Sustainable Vocational Education Systems to Respond to Global Economic Trends and Labor Market Demands: Evidence from EU countries on SDGs. Sustainability 2025, 17, 9530. [Google Scholar] [CrossRef]
  25. Lavía, C.; Otero, B.; Olazaran, M.; Albizu, E. From provider to partner? Main elements of the relationship between schools and small-and medium-sized firms in vocational education work placements in the Basque and Navarre regions (Spain). Int. J. Train. Dev. 2024, 28, 213–231. [Google Scholar] [CrossRef]
  26. Kero, A.A.; Olana, Z. The Role of Big Data Analytics on Improving Technical and Vocational Education Outcomes. 2023. Available online: https://easychair.org/publications/preprint/knhV5 (accessed on 13 October 2025).
  27. Wu, M.; Hao, X.; Lv, Y.; Hu, Z. Design of intelligent management platform for industry–education cooperation of vocational education by data mining. Appl. Sci. 2022, 12, 6836. [Google Scholar] [CrossRef]
  28. Çela, E.; Vajjhala, N.R.; Eappen, P.; Vedishchev, A. Artificial Intelligence in Vocational Education and Training. In Transforming Vocational Education and Training Using AI; IGI Global Scientific Publishing: Hershey, PA, USA, 2025; pp. 1–16. [Google Scholar]
  29. Prasetya, F.; Fortuna, A.; Samala, A.D.; Latifa, D.K.; Andriani, W.; Gusti, U.A.; Raihan, M.; Criollo-C, S.; Kaya, D.; García, J.L.C. Harnessing artificial intelligence to revolutionize vocational education: Emerging trends, challenges, and contributions to SDGs 2030. Soc. Sci. Humanit. Open 2025, 11, 101401. [Google Scholar] [CrossRef]
  30. Azizah, N.; Hanafi, I.; Yusro, M. Artificial Intelligence in Vocational Education: Perspectives and Practices from a Literature Study. Glob. Synth. Educ. J. 2025, 3, 37–44. [Google Scholar] [CrossRef]
  31. Zervas, I.; Stiakakis, E. Digital skills in vocational education and training: Investigating the impact of Erasmus, digital tools, and educational platforms. J. Infrastruct. Policy Dev. 2024, 8, 8415. [Google Scholar] [CrossRef]
  32. Attwell, G.; Bekiaridis, G.; Deitmer, L.; Perini, M.; Roppertz, S.; Tütlys, V. Artificial Intelligence in Policies, Processes and Practices of Vocational Education And Training; Technical Report; Institut Technik und Bildung (ITB): Bremen, Germany, 2020. [Google Scholar]
  33. Dewanto, S. Vocational Education and AI: Catalysts for Sustainable Green Innovations. In Proceedings of the 8th International Conference on Education Innovation (ICEI 2024), Online, 10 August 2024; Atlantis Press: Paris, France, 2025; pp. 1308–1314. [Google Scholar]
  34. Pagan, M.; Zarlis, M.; Candra, A. Investigating the impact of data scaling on the k-nearest neighbor algorithm. Comput. Sci. Inf. Technol. 2023, 4, 135–142. [Google Scholar] [CrossRef]
Figure 1. Multiple boxplots for indicators with outliers (scaled data). Note: The notation used for each country can be found in the list of abbreviations.
Figure 1. Multiple boxplots for indicators with outliers (scaled data). Note: The notation used for each country can be found in the list of abbreviations.
Information 16 01037 g001
Figure 2. Heatmap of correlations between indicators.
Figure 2. Heatmap of correlations between indicators.
Information 16 01037 g002
Figure 3. Using t-SNE to visualize the clusters of countries in 2D.
Figure 3. Using t-SNE to visualize the clusters of countries in 2D.
Information 16 01037 g003
Figure 4. Dotplot with common indicators for the selected EU countries.
Figure 4. Dotplot with common indicators for the selected EU countries.
Information 16 01037 g004
Table 1. Sampled rows and columns of the set of Cedefop KPIs selected for this study.
Table 1. Sampled rows and columns of the set of Cedefop KPIs selected for this study.
Countries1010102510301040a10601070107511351140a21102120
Austria68.8793.1134.937.079.363.6927.94.428.9483.046.0
Belgium54.8124.3450.737.082.251.9141.66.835.1177.061.0
Bulgaria56.0332.8523.044.041.148.7812.53.013.96NaN70.0
Croatia70.6371.8124.230.048.262.8910.53.323.9986.061.0
SpainNaNNaN65.044.073.2NaN43.12.545.9286.055.0
Sweden36.6489.82NaN49.0NaN34.32NaNNaN46.2671.055.0
Disclaimer/Publisher’s Note: The statements, opinions and data contained in all publications are solely those of the individual author(s) and contributor(s) and not of MDPI and/or the editor(s). MDPI and/or the editor(s) disclaim responsibility for any injury to people or property resulting from any ideas, methods, instructions or products referred to in the content.

Share and Cite

MDPI and ACS Style

Vila, A.; Calvet, L.; Prieto, J.; Juan, A.A. Vocational Education and Training in the European Union: A Data-Driven Comparative Analysis. Information 2025, 16, 1037. https://doi.org/10.3390/info16121037

AMA Style

Vila A, Calvet L, Prieto J, Juan AA. Vocational Education and Training in the European Union: A Data-Driven Comparative Analysis. Information. 2025; 16(12):1037. https://doi.org/10.3390/info16121037

Chicago/Turabian Style

Vila, Alicia, Laura Calvet, Josep Prieto, and Angel A. Juan. 2025. "Vocational Education and Training in the European Union: A Data-Driven Comparative Analysis" Information 16, no. 12: 1037. https://doi.org/10.3390/info16121037

APA Style

Vila, A., Calvet, L., Prieto, J., & Juan, A. A. (2025). Vocational Education and Training in the European Union: A Data-Driven Comparative Analysis. Information, 16(12), 1037. https://doi.org/10.3390/info16121037

Note that from the first issue of 2016, this journal uses article numbers instead of page numbers. See further details here.

Article Metrics

Back to TopTop