Edge Detecting Method for Microscopic Image of Cotton Fiber Cross-Section Using RCF Deep Neural Network
Abstract
1. Introduction
2. Process of Evaluating Maturity of Cotton Fiber by Image Analyzing
3. Edge Detection of Cotton Fiber Cross-Section Based on Modified Rcf
3.1. Rcf Architecture
3.2. Optimization of Deep Supervision Network Structure
3.3. Multi-Scale Edge Detection and Fusion of Image Pyramid
4. Experimental Results And Discussion
4.1. Construct of the Experimental Dataset
4.2. Software and Hardware Equipment
4.3. Influence Test and Analysis of Dilated Convolution on Edge Detection
4.4. Influence Test and Analysis of Deep Supervisory Structure on Edge Detection
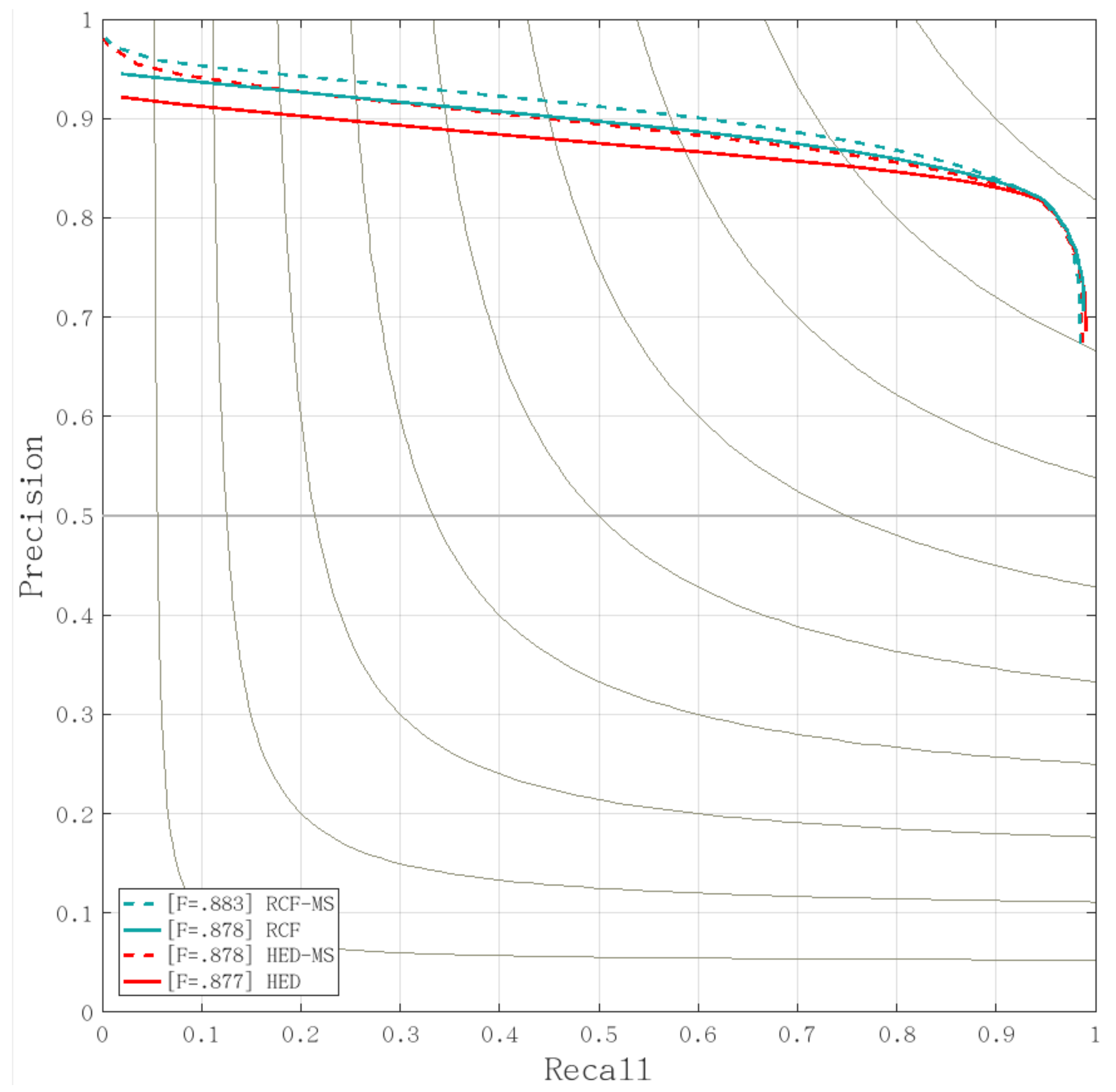
4.5. Influence Test and Analysis of Multi-Scale Edge Detection and Fusion of Image Pyramid
5. Conclusions
Author Contributions
Funding
Data Availability Statement
Acknowledgments
Conflicts of Interest
References
- Rodgers, J.E. Rapid Cotton Maturity and Fineness Measurements Using the COTTONSCOPE®. In Proceedings of the Beltwide Cotton Conference, Memphis, TN, USA, 3–6 January 2012. [Google Scholar]
- Shahriar, M.; Scott-Fleming, I.; Sari-Sarraf, H.; Hequet, E. A machine vision system to estimate cotton fiber maturity from longitudinal view using a transfer learning approach. Mach. Vis. Appl. 2013, 24, 1661–1683. [Google Scholar] [CrossRef]
- Zhang, Z.; Li, J.; Muhammad, J.; Shi, Y.; Yuan, Y. Genome-wide quantitative trait loci reveal the genetic basis of cotton fibre quality and yield-related traits in a Gossypium hirsutum recombinant inbred line population. Plant Biotechnol. J. 2020, 18, 239–253. [Google Scholar] [CrossRef] [PubMed]
- Negm, M.; Sanad, S. Cotton fibres, picking, ginning, spinning and weaving. In Handbook of Natural Fibres, 2nd ed.; Woodhead Publishing: Cambridge, UK, 2020; pp. 3–48. [Google Scholar]
- Kljun, A.; El-Dessouky, H.M.; Benians, T.; Goubet, F.; Meulewaeter, F.; Knox, J.P.; Blackburn, R.S. Analysis of the physical properties of developing cotton fibres. Eur. Polym. J. 2014, 51, 57–68. [Google Scholar] [CrossRef]
- Paudel, D.R.; Hequet, E.F.; Abidi, N. Evaluation of cotton fiber maturity measurements. Ind. Crop. Prod. 2013, 45, 435–441. [Google Scholar] [CrossRef]
- Liu, Y.; Kim, H.J.; Delhom, C.D.; Thibodeaux, D.P. Investigation of fiber maturity measurement by cross-sectional image analysis and Fourier transform infrared spectroscopy on developing and developed upland cottons. Cellulose 2019, 26, 5865–5875. [Google Scholar] [CrossRef]
- Yin, K.C.; Yu, W.D. Cotton Fibre Maturity System Based on Polarized Light. Comput. Eng. 2008, 17, 235–237. [Google Scholar]
- Huang, Y.; Xu, B. Image Analysis for Cotton Fibers: Part I: Longitudinal Measurements. Text. Res. J. 2016, 72, 713–798. [Google Scholar] [CrossRef]
- Liu, Y.; Thibodeaux, D.; Gamble, G.; Bauer, P.; VanDerveer, D. Comparative Investigation of Fourier Transform Infrared (FT-IR) Spectroscopy and X-ray Diffraction (XRD) in the Determination of Cotton Fiber Crystallinity. Appl. Spectrosc. 2012, 66, 983–986. [Google Scholar] [CrossRef] [PubMed]
- Guo, X.; Ouyang, W.; Xu, B. Assessing cotton maturity using distributional parameters of fiber cross-section measurements. Text. Res. J. 2015, 84, 1666–1676. [Google Scholar] [CrossRef]
- Xu, B.; Huang, Y. Image Analysis for Cotton Fibers Part II: Cross-Sectional Measurements. Text. Res. J. 2004, 74, 409–416. [Google Scholar] [CrossRef]
- Wang, Q.; Xu, B. A coupled-contour model for effective segmentation of cotton cross-sections in wide-field microscopic images. Text. Res. J. 2016, 87, 1509–1521. [Google Scholar] [CrossRef]
- Long, J.; Shelhamer, E.; Darrell, T. Fully Convolutional Networks for Semantic Segmentation. IEEE Trans. Pattern Anal. Mach. Intell. 2015, 39, 640–651. [Google Scholar]
- He, K.; Gkioxari, G.; Dollár, P.; Girshick, R. Mask R-CNN. In Proceedings of the IEEE International Conference on Computer Vision, Venice, Italy, 22–29 October 2017. [Google Scholar]
- Kim, I.; Baek, W.; Kim, S. Spatially Attentive Output Layer for Image Classification. In Proceedings of the 2020 IEEE/CVF Conference on Computer Vision and Pattern Recognition (CVPR), Seattle, WA, USA, 13–19 June 2020. [Google Scholar]
- Schmarje, L.; Santarossa, M.; Schrder, S.M.; Koch, R. A survey on Semi-, Self- and Unsupervised Learning in Image Classification. arXiv 2020, arXiv:2002.08721. [Google Scholar]
- Bochkovskiy, A.; Wang, C.Y.; Liao, H. YOLOv4: Optimal Speed and Accuracy of Object Detection. arXiv 2020, arXiv:2004.10934. [Google Scholar]
- Ren, S.; He, K.; Girshick, R.; Sun, J. Faster R-CNN: Towards Real-Time Object Detection with Region Proposal Networks. IEEE Trans. Pattern Anal. Mach. Intell. 2017, 39, 1137–1149. [Google Scholar] [CrossRef] [PubMed]
- Bertasius, G.; Shi, J.; Torresani, L. DeepEdge: A Multi-Scale Bifurcated Deep Network for Top-Down Contour Detection. In Proceedings of the Computer Vision & Pattern Recognition, Boston, MA, USA, 7–12 June 2015. [Google Scholar]
- Ganin, Y.; Lempitsky, V. N4-Fields: Neural Network Nearest Neighbor Fields for Image Transforms; Springer: Cham, Switzerland, 2014. [Google Scholar]
- Xie, S.; Tu, Z. Holistically-Nested Edge Detection. Int. J. Comput. Vis. 2015, 125, 3–18. [Google Scholar] [CrossRef]
- Liu, Y.; Cheng, M.M.; Hu, X.; Bian, J.W.; Zhang, L.; Bai, X.; Tang, J. Richer Convolutional Features for Edge Detection. IEEE Trans. Pattern Anal. Mach. Intell. 2019, 41, 1939–1946. [Google Scholar] [CrossRef]
- Naylor, G.; Pate, M.; Higgerson, G.J. Determination of cotton fiber maturity and linear density (fineness) by examination of fiber cross-sections. Part 2: A comparison optical and scanning electron microscopy. Text. Res. J. 2014, 84, 1939–1947. [Google Scholar] [CrossRef]
- Qin, X.; He, S.; Zhang, Z.; Dehghan, M.; Jagersand, M. ByLabel: A Boundary Based Semi-Automatic Image Annotation Tool. In Proceedings of the 2018 IEEE Winter Conference on Applications of Computer Vision (WACV), Lake Tahoe, NV, USA, 12–15 March 2018. [Google Scholar]
- Simonyan, K.; Zisserman, A. Very Deep Convolutional Networks for Large-Scale Image Recognition. arXiv 2014, arXiv:1409.1556. [Google Scholar]
- Levinshtein, A.; Stere, A.; Kutulakos, K.N.; Fleet, D.J.; Dickinson, S.J.; Siddiqi, K. TurboPixels: Fast Superpixels Using Geometric Flows. IEEE Trans. Pattern Anal. Mach. Intell. 2009, 31, 2290–2297. [Google Scholar] [CrossRef] [PubMed]
- Stutz, D.; Hermans, A.; Leibe, B. Superpixels: An evaluation of the state-of-the-art. Comput. Vis. Image Underst. 2018, 166, 1–27. [Google Scholar] [CrossRef]
- Gaetano, R.; Masi, G.; Poggi, G.; Verdoliva, L.; Scarpa, G. Marker-Controlled Watershed-Based Segmentation of Multiresolution Remote Sensing Images. IEEE Trans. Geosci. Remote Sens. 2015, 53, 2987–3004. [Google Scholar] [CrossRef]
- Zhang, H.; Tang, Z.; Xie, Y.; Gao, X.; Chen, Q. A watershed segmentation algorithm based on an optimal marker for bubble size measurement. Measurement 2019, 138, 182–193. [Google Scholar] [CrossRef]
- Ciecholewski, M.; Spodnik, J. Semi—Automatic Corpus Callosum Segmentation and 3D Visualization Using Active Contour Methods. Symmetry 2018, 10, 589. [Google Scholar] [CrossRef]
- Jin, R.; Yin, J.; Wei, Z.; Jian, Y. Level Set Segmentation Algorithm for High-Resolution Polarimetric SAR Images Based on a Heterogeneous Clutter Model. Sel. Top. Appl. Earth Obs. Remote Sens. IEEE J. 2017, 10, 4565–4579. [Google Scholar] [CrossRef]
















| Characteristic of Quality of Cotton Sample | Maturity Distribution Curve | |
|---|---|---|
| Sharp right inclining | Excellent | |
| Right inclining | Good | |
| Approximate normal distribution | Normal | |
| Left inclining | Poor | |
| Sharp left inclining | Bad |
| Method | BSDS500l | Our Dataset | ||
|---|---|---|---|---|
| ODS | AP | ODS | AP | |
| RCF | 0.806 | 0.816 | 0.878 | 0.874 |
| RCF-NoDila | 0.803 | 0.812 | 0.879 | 0.880 |
| Method | ODS | OIS | AP |
|---|---|---|---|
| RCF-NoDsn | 0.899 | 0.903 | 0.828 |
| RCF-Dsn12 | o.893 | 0.897 | 0.914 |
| RCF-Dsn45 | 0.885 | 0.888 | 0.841 |
| RCF-Dsn123 | 0.881 | 0.887 | 0.899 |
| RCF | 0.878 | 0.882 | 0.874 |
| HED | 0.877 | 0.879 | 0.863 |
| Canny | 0.439 | 0.439 | 0.000 |
| Method | ODS | OIS | AP |
|---|---|---|---|
| RCF-MS | 0.883 | 0.884 | 0.886 |
| RCF | 0.878 | 0.882 | 0.874 |
| HED-MS | 0.878 | 0.883 | 0.880 |
| HED | 0.877 | 0.879 | 0.863 |
Publisher’s Note: MDPI stays neutral with regard to jurisdictional claims in published maps and institutional affiliations. |
© 2021 by the authors. Licensee MDPI, Basel, Switzerland. This article is an open access article distributed under the terms and conditions of the Creative Commons Attribution (CC BY) license (https://creativecommons.org/licenses/by/4.0/).
Share and Cite
He, D.; Wang, Q. Edge Detecting Method for Microscopic Image of Cotton Fiber Cross-Section Using RCF Deep Neural Network. Information 2021, 12, 196. https://doi.org/10.3390/info12050196
He D, Wang Q. Edge Detecting Method for Microscopic Image of Cotton Fiber Cross-Section Using RCF Deep Neural Network. Information. 2021; 12(5):196. https://doi.org/10.3390/info12050196
Chicago/Turabian StyleHe, Defeng, and Quande Wang. 2021. "Edge Detecting Method for Microscopic Image of Cotton Fiber Cross-Section Using RCF Deep Neural Network" Information 12, no. 5: 196. https://doi.org/10.3390/info12050196
APA StyleHe, D., & Wang, Q. (2021). Edge Detecting Method for Microscopic Image of Cotton Fiber Cross-Section Using RCF Deep Neural Network. Information, 12(5), 196. https://doi.org/10.3390/info12050196
