Dynamic Community Structure in Online Social Groups
Abstract
1. Introduction
- We introduce the dynamic User Interaction Temporal Graph, that is a temporal graph made of the interactions among the users in the OSG;
- We analyse the dynamic Interaction Communities by exploiting a dataset consisting of 17 Facebook Groups;
- We propose a set of studies to assess the characteristics of the dynamic interaction communities by the means of 8 community detection algorithms and 6 measures.
2. Related Work
3. Modelling Interactions in OSGs
- Fix an observation period. We collect the interactions of an OSG that appeared in a fixed interval. In this study, the observations are made once every 24 h.
- d-UITG construction. The graph is obtained by fixing an edge life duration d. The graph at time t is then obtained considering the interactions appearing in the time span starting from , as described above.
- Dynamic community detection. We evaluate the communities by applying a specific community detection algorithm on the obtained d-UITG.
4. Dynamic Community Detection
4.1. Tiles
4.2. DEMON
4.3. Walktrap
4.4. Multilevel
4.5. Label Propagation
4.6. K-Core
4.7. Infomap
4.8. Greedy Modularity
5. Community Structure Evaluation
6. Dataset
7. Communities in the d-UITG
- First of all, having a too dense observation may lead to the situation in which we are not able to detect any real evolution of the community structure in time.
- The second motivation is connected to the fact that human life, generally speaking, follows a 24 h cycle, and therefore it makes sense to align with it.
- Finally, to be able to fruitfully compare the results of all the experiments, we needed observations at the same point in time, despite the different edge life durations.
7.1. Dynamic Communities Analysis: Community Number
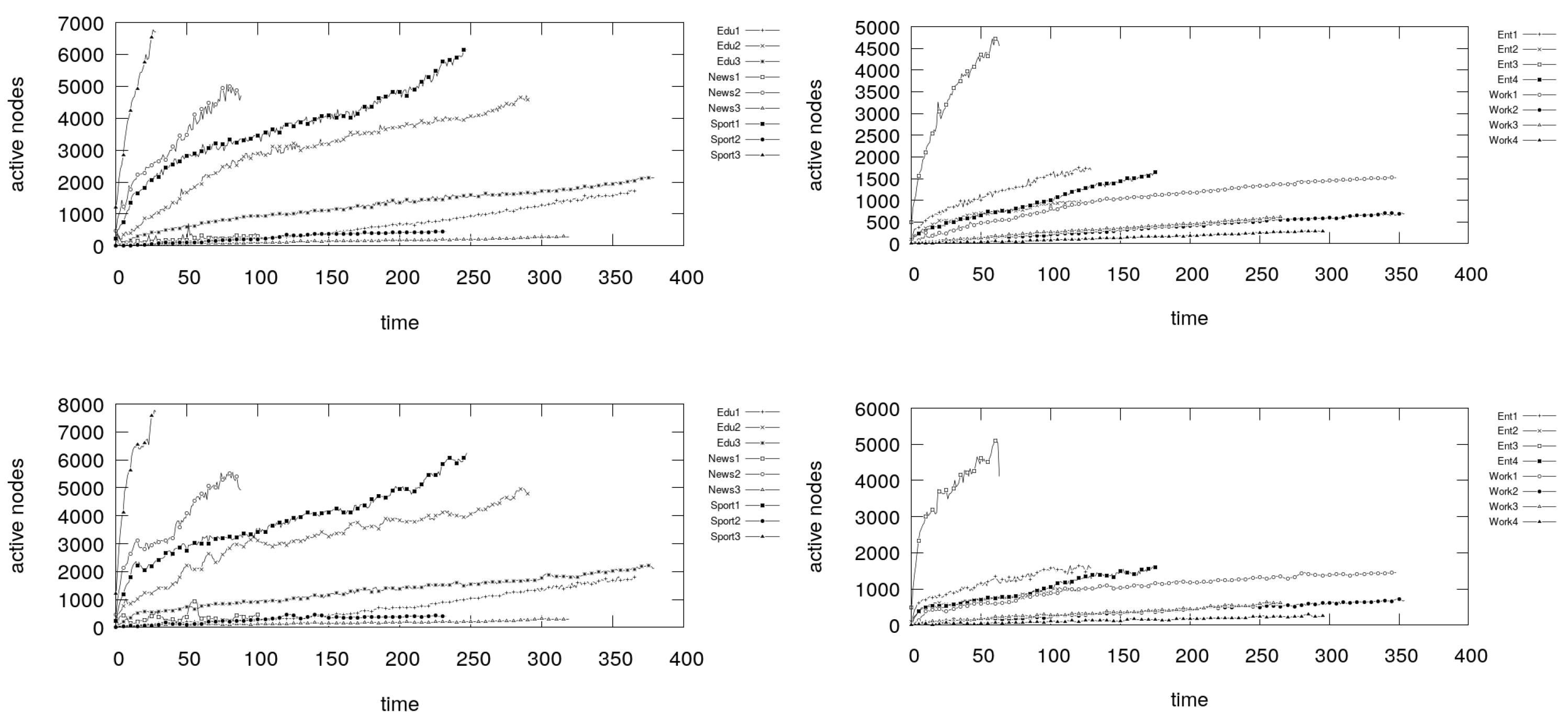
7.2. Dynamic Communities Analysis: Active Nodes
7.3. Dynamic Communities Analysis: Growth Rate
7.4. Dynamic Communities Analysis: Modularity
7.5. Dynamic Communities Analysis: Conductance
7.6. Dynamic Communities Analysis: Internal Density
8. Conclusions and Future Works
Author Contributions
Funding
Data Availability Statement
Conflicts of Interest
References
- Miranda, J.; Mäkitalo, N.; Garcia-Alonso, J.; Berrocal, J.; Mikkonen, T.; Canal, C.; Murillo, J.M. From the Internet of Things to the Internet of People. IEEE Internet Comput. 2015, 19, 40–47. [Google Scholar] [CrossRef]
- De Salve, A.; Guidi, B.; Ricci, L. Evaluation of Structural and Temporal Properties of Ego Networks for Data Availability in DOSNs. Mob. Netw. Appl. 2018, 23, 155–166. [Google Scholar] [CrossRef]
- De Salve, A.; Dondio, M.; Guidi, B.; Ricci, L. The impact of user’s availability on on-line ego networks: A facebook analysis. Comput. Commun. 2016, 73, 211–218. [Google Scholar] [CrossRef]
- Guidi, B.; Michienzi, A.; Ricci, L.; Ambriola, V. Analysing Dunbar Circles in Facebook Groups. In Proceedings of the IEEE Consumer Communications and Networking Conference 2021, Las Vegas, NV, USA, 9–12 January 2021. in press. [Google Scholar]
- Guidi, B.; Michienzi, A.; Ricci, L. A Graph-Based Socioeconomic Analysis of Steemit. IEEE Trans. Comput. Soc. Syst. 2020, 1–12. [Google Scholar] [CrossRef]
- De Salve, A.; Guidi, B.; Michienzi, A. Studying Micro-communities in Facebook Communities. In Proceedings of the 4th EAI International Conference on Smart Objects and Technologies for Social Good, Goodtechs ’18, Bologna, Italy, 28–30 November 2018; pp. 165–170. [Google Scholar]
- Girvan, M.; Newman, M.E. Community structure in social and biological networks. Proc. Natl. Acad. Sci. USA 2002, 99, 7821–7826. [Google Scholar] [CrossRef]
- Guidi, B.; Michienzi, A.; Rossetti, G. Dynamic Community Analysis in Decentralized Online Social Networks. In Euro-Par 2017: Parallel Processing Workshops; Springer: Berlin, Germany, 2018; pp. 517–528. [Google Scholar]
- Guidi, B.; Michienzi, A.; Rossetti, G. Towards the Dynamic Community Discovery in Decentralized Online Social Networks. J. Grid Comput. 2019, 17, 23–44. [Google Scholar] [CrossRef]
- Preece, J. Sociability and usability in online communities: Determining and measuring success. Behav. Inf. Technol. 2001, 20, 347–356. [Google Scholar] [CrossRef]
- Norris, P. The Bridging and Bonding Role of Online Communities. Harv. Int. J. Press Politics 2002, 7, 3–13. [Google Scholar] [CrossRef]
- Forsyth, D.R. Group Dynamics; Cengage Learning: Boston, MA, USA, 2018. [Google Scholar]
- Anwar, M.M.; Liu, C.; Li, J.; Anwar, T. Discovering and Tracking Active Online Social Groups. In Proceedings of the WISE 2017: 18th International Conference, Puschino, Russia, 7–11 October 2017. [Google Scholar]
- Kietzmann, J.H.; Hermkens, K.; McCarthy, I.P.; Silvestre, B.S. Social media? Get serious! Understanding the functional building blocks of social media. Bus. Horiz. 2011, 54, 241–251. [Google Scholar] [CrossRef]
- Tsur, O.; Rappoport, A. What’s in a hashtag? Content based prediction of the spread of ideas in microblogging communities. In Proceedings of the Fifth ACM International Conference on Web Search and Data Mining, Seattle, WA, USA, 8–12 February 2012; pp. 643–652. [Google Scholar]
- Lorenz-Spreen, P.; Wolf, F.; Braun, J.; Ghoshal, G.; Conrad, N.D.; Hövel, P. Tracking online topics over time: Understanding dynamic hashtag communities. Comput. Soc. Netw. 2018, 5, 1–18. [Google Scholar] [CrossRef]
- DeMasi, O.; Mason, D.; Ma, J. Understanding communities via hashtag engagement: A clustering based approach. In Proceedings of the International AAAI Conference on Web and Social Media, Cologne, Germany, 17–20 May 2016; Volume 10. [Google Scholar]
- Horne, B.D.; Adali, S.; Sikdar, S. Identifying the social signals that drive online discussions: A case study of reddit communities. In Proceedings of the 2017 26th International Conference on Computer Communication and Networks (ICCCN), Vancouver, BC, Canada, 31 July–3 August 2017; IEEE: Piscataway, NJ, USA, 2017; pp. 1–9. [Google Scholar]
- Welser, H.T.; Gleave, E.; Fisher, D.; Smith, M. Visualizing the signatures of social roles in online discussion groups. J. Soc. Struct. 2007, 8, 1–32. [Google Scholar]
- Panek, E.; Hollenbach, C.; Yang, J.; Rhodes, T. The effects of group size and time on the formation of online communities: Evidence from reddit. Soc. Med. Soc. 2018, 4, 2056305118815908. [Google Scholar] [CrossRef]
- Butler, B.S. Membership size, communication activity, and sustainability: A resource-based model of online social structures. Inf. Syst. Res. 2001, 12, 346–362. [Google Scholar] [CrossRef]
- De Salve, A.; Mori, P.; Guidi, B.; Ricci, L. An analysis of the internal organization of facebook groups. IEEE Trans. Comput. Soc. Syst. 2019, 6, 1245–1256. [Google Scholar] [CrossRef]
- Chu, S.C. Viral advertising in social media: Participation in Facebook groups and responses among college-aged users. J. Interact. Advert. 2011, 12, 30–43. [Google Scholar] [CrossRef]
- Bender, J.L.; Jimenez-Marroquin, M.C.; Jadad, A.R. Seeking support on facebook: A content analysis of breast cancer groups. J. Med. Internet Res. 2011, 13, e16. [Google Scholar] [CrossRef]
- Abedin, T.; Al Mamun, M.; Lasker, M.A.; Ahmed, S.W.; Shommu, N.; Rumana, N.; Turin, T.C. Social media as a platform for information about diabetes foot care: A study of Facebook groups. Can. J. Diabetes 2017, 41, 97–101. [Google Scholar] [CrossRef] [PubMed]
- Partridge, S.R.; Gallagher, P.; Freeman, B.; Gallagher, R. Facebook groups for the management of chronic diseases. J. Med. Internet Res. 2018, 20. [Google Scholar] [CrossRef] [PubMed]
- Meishar-Tal, H.; Kurtz, G.; Pieterse, E. Facebook groups as LMS: A case study. Int. Rev. Res. Open Distrib. Learn. 2012, 13, 33–48. [Google Scholar] [CrossRef]
- Miron, E.; Ravid, G. Facebook groups as an academic teaching aid: Case study and recommendations for educators. J. Educ. Technol. Soc. 2015, 18, 371–384. [Google Scholar]
- Chou, C.H.; Pi, S.M. The effectiveness of Facebook groups for e-learning. Int. J. Inf. Educ. Technol. 2015, 5, 477. [Google Scholar]
- Barabási, A.L. Network Science; Cambridge University Press: Cambridge, UK, 2016. [Google Scholar]
- Martin-Borregon, D.; Aiello, L.M.; Grabowicz, P.; Jaimes, A.; Baeza-Yates, R. Characterization of online groups along space, time, and social dimensions. EPJ Data Sci. 2014, 3, 8. [Google Scholar] [CrossRef]
- Mislove, A.; Marcon, M.; Gummadi, K.P.; Druschel, P.; Bhattacharjee, B. Measurement and analysis of online social networks. In Proceedings of the 7th ACM SIGCOMM Conference on Internet Measurement, San Diego, CA, USA, 24–26 October 2007; ACM: New York, NY, USA, 2007; pp. 29–42. [Google Scholar]
- Laine, M.S.S.; Ercal, G.; Luo, B. User groups in social networks: An experimental study on Youtube. In Proceedings of the 2011 44th Hawaii International Conference on System Sciences (HICSS), Kauai, HI, USA, 4–7 January 2011; IEEE: Piscataway, NJ, USA, 2011; pp. 1–10. [Google Scholar]
- Fortunato, S. Community detection in graphs. Phys. Rep. 2010, 486, 75–174. [Google Scholar] [CrossRef]
- Fortunato, S.; Barthelemy, M. Resolution limit in community detection. Proc. Natl. Acad. Sci. USA 2007, 104, 36–41. [Google Scholar] [CrossRef] [PubMed]
- Leskovec, J.; Kleinberg, J.; Faloutsos, C. Graphs over time: Densification laws, shrinking diameters and possible explanations. In Proceedings of the Eleventh ACM SIGKDD International Conference on Knowledge Discovery in Data Mining, Chicago, IL, USA, 21–24 August 2005; pp. 177–187. [Google Scholar]
- Papadopoulos, S.; Kompatsiaris, Y.; Vakali, A.; Spyridonos, P. Community detection in social media. Data Min. Knowl. Discov. 2012, 24, 515–554. [Google Scholar] [CrossRef]
- Rossetti, G.; Pappalardo, L.; Pedreschi, D.; Giannotti, F. Tiles: An online algorithm for community discovery in dynamic social networks. Mach. Learn. 2017, 106, 1213–1241. [Google Scholar] [CrossRef]
- Dakiche, N.; Tayeb, F.B.S.; Slimani, Y.; Benatchba, K. Tracking community evolution in social networks: A survey. Inf. Process. Manag. 2019, 56, 1084–1102. [Google Scholar] [CrossRef]
- Guidi, B.; Michienzi, A.; Ricci, L. Sonic-man: A distributed protocol for dynamic community detection and management. In Proceedings of the IFIP International Conference on Distributed Applications and Interoperable Systems, Madrid, Spain, 18–21 June 2018; Springer: Berlin, Germany, 2018; pp. 93–109. [Google Scholar]
- Sani, L.; Lombardo, G.; Pecori, R.; Fornacciari, P.; Mordonini, M.; Cagnoni, S. Social Relevance Index for Studying Communities in a Facebook Group of Patients. In Proceedings of the Applications of Evolutionary Computation, Parma, Italy, 4–6 April 2018; pp. 125–140. [Google Scholar]
- Guidi, B.; Michienzi, A.; Salve, A.D. Community evaluation in Facebook groups. Multim. Tools Appl. 2020, 79, 33603–33622. [Google Scholar] [CrossRef]
- Rossetti, G.; Cazabet, R. Community discovery in dynamic networks: A survey. ACM Comput. Surv. (CSUR) 2018, 51, 35. [Google Scholar] [CrossRef]
- Coscia, M.; Rossetti, G.; Giannotti, F.; Pedreschi, D. Demon: A local-first discovery method for overlapping communities. In Proceedings of the 18th ACM SIGKDD International Conference on Knowledge Discovery and Data Mining, Beijing, China, 12–16 August 2012; ACM: New York, NY, USA, 2012; pp. 615–623. [Google Scholar]
- Coscia, M.; Rossetti, G.; Giannotti, F.; Pedreschi, D. Uncovering hierarchical and overlapping communities with a local-first approach. ACM Trans. Knowl. Discov. Data 2014, 9, 6. [Google Scholar] [CrossRef]
- Raghavan, U.N.; Albert, R.; Kumara, S. Near linear time algorithm to detect community structures in large-scale networks. Phys. Rev. E 2007, 76, 036106. [Google Scholar] [CrossRef] [PubMed]
- Clauset, A.; Newman, M.E.J.; Moore, C. Finding community structure in very large networks. Phys. Rev. E 2004, 70, 066111. [Google Scholar] [CrossRef] [PubMed]
- Blondel, V.D.; Guillaume, J.L.; Lambiotte, R.; Lefebvre, E. Fast unfolding of communities in large networks. J. Stat. Mech. Theory Exp. 2008, 2008, P10008. [Google Scholar] [CrossRef]
- Pons, P.; Latapy, M. Computing Communities in Large Networks Using Random Walks. In Proceedings of the Computer and Information Sciences—ISCIS 2005, Istanbul, Turkey, 26–28 October 2005; Springer: Berlin/Heidelberg, Germany, 2005; pp. 284–293. [Google Scholar]
- Rosvall, M.; Bergstrom, C.T. Maps of random walks on complex networks reveal community structure. Proc. Natl. Acad. Sci. USA 2008, 105, 1118–1123. [Google Scholar] [CrossRef] [PubMed]
- Rosvall, M.; Axelsson, D.; Bergstrom, C.T. The map equation. Eur. Phys. J. Spec. Top. 2009, 178, 13–23. [Google Scholar] [CrossRef]
- Guidi, B.; Conti, M.; Passarella, A.; Ricci, L. Managing social contents in Decentralized Online Social Networks: A survey. Online Soc. Netw. Media 2018, 7, 12–29. [Google Scholar] [CrossRef]
- Khaouid, W.; Barsky, M.; Srinivasan, V.; Thomo, A. K-core decomposition of large networks on a single pc. Proc. VLDB Endow. 2015, 9, 13–23. [Google Scholar] [CrossRef]
- Chakraborty, A.; Ghosh, S. Clustering hypergraphs for discovery of overlapping communities in folksonomies. In Dynamics On and Of Complex Networks; Springer: Berlin, Germany, 2013; Volume 2, pp. 201–220. [Google Scholar]
- Brandes, U. A faster algorithm for betweenness centrality. J. Math. Sociol. 2001, 25, 163–177. [Google Scholar] [CrossRef]

































| Group | Cat. | Days | Users | Min Date | Max Date | Posts |
|---|---|---|---|---|---|---|
| Edu1 | Edu | 388 | 10,643 | 01/01/17 | 24/01/18 | 3555 |
| Edu2 | Edu | 317 | 46,016 | 06/04/17 | 18/02/18 | 5271 |
| Edu3 | Edu | 393 | 21,195 | 25/01/17 | 22/02/18 | 5060 |
| Sport1 | Sport | 249 | 35,671 | 27/08/17 | 03/05/18 | 5588 |
| Sport2 | Sport | 370 | 3589 | 04/02/17 | 09/02/18 | 708 |
| Sport3 | Sport | 28 | 107,459 | 13/02/18 | 14/03/18 | 6353 |
| Work1 | Work | 406 | 26,901 | 02/01/17 | 12/02/18 | 1444 |
| Work2 | Work | 418 | 4925 | 04/01/17 | 26/02/18 | 945 |
| Work3 | Work | 318 | 25,257 | 13/06/17 | 27/04/18 | 4809 |
| Work4 | Work | 485 | 12,151 | 03/01/17 | 04/05/18 | 2651 |
| Ent1 | Ent | 130 | 6941 | 30/09/17 | 08/02/18 | 5009 |
| Ent2 | Ent | 123 | 15,028 | 22/10/17 | 23/02/18 | 3777 |
| Ent3 | Ent | 120 | 39,079 | 02/01/18 | 03/05/18 | 4904 |
| Ent4 | Ent | 178 | 9392 | 09/09/17 | 06/03/18 | 3543 |
| News1 | News | 111 | 49,761 | 07/10/17 | 26/01/18 | 155 |
| News2 | News | 91 | 37,253 | 08/11/17 | 07/02/18 | 3397 |
| News3 | News | 406 | 5083 | 02/01/17 | 12/02/18 | 1133 |
Publisher’s Note: MDPI stays neutral with regard to jurisdictional claims in published maps and institutional affiliations. |
© 2021 by the authors. Licensee MDPI, Basel, Switzerland. This article is an open access article distributed under the terms and conditions of the Creative Commons Attribution (CC BY) license (http://creativecommons.org/licenses/by/4.0/).
Share and Cite
Guidi, B.; Michienzi, A. Dynamic Community Structure in Online Social Groups. Information 2021, 12, 113. https://doi.org/10.3390/info12030113
Guidi B, Michienzi A. Dynamic Community Structure in Online Social Groups. Information. 2021; 12(3):113. https://doi.org/10.3390/info12030113
Chicago/Turabian StyleGuidi, Barbara, and Andrea Michienzi. 2021. "Dynamic Community Structure in Online Social Groups" Information 12, no. 3: 113. https://doi.org/10.3390/info12030113
APA StyleGuidi, B., & Michienzi, A. (2021). Dynamic Community Structure in Online Social Groups. Information, 12(3), 113. https://doi.org/10.3390/info12030113
