Numerical Analysis of the Effect of Cavitation on the Tip Leakage Vortex in an Axial-Flow Pump
Abstract
:1. Introduction
2. Calculation Method and Numerical Calculation Mode
2.1. Governing Equation and Turbulent Model
2.2. Cavitation Model
2.3. Pump Geometry, Mesh Generation, and Numerical Setup
2.4. Experimental Device and Numerical Calculation Result Verification
2.5. Geometric Definition of Impeller
3. Results and Discussion
3.1. Pressure Coefficient Distribution
3.2. Tip Clearance Flow Structure and Vortex Core Trajectory
3.2.1. Topology of Gap Flow Vortex Structure
3.2.2. Tip Leakage Vortex Core Trajectory
3.3. Effect of Cavitation on Distribution of Physical Quantities
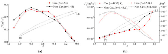
3.3.1. Effect of Cavitation on Vorticity Distribution and Vortex Strength
3.3.2. Effect of Cavitation on Pressure Pulsation
3.3.3. Effect of Cavitation on the Vortex Structure
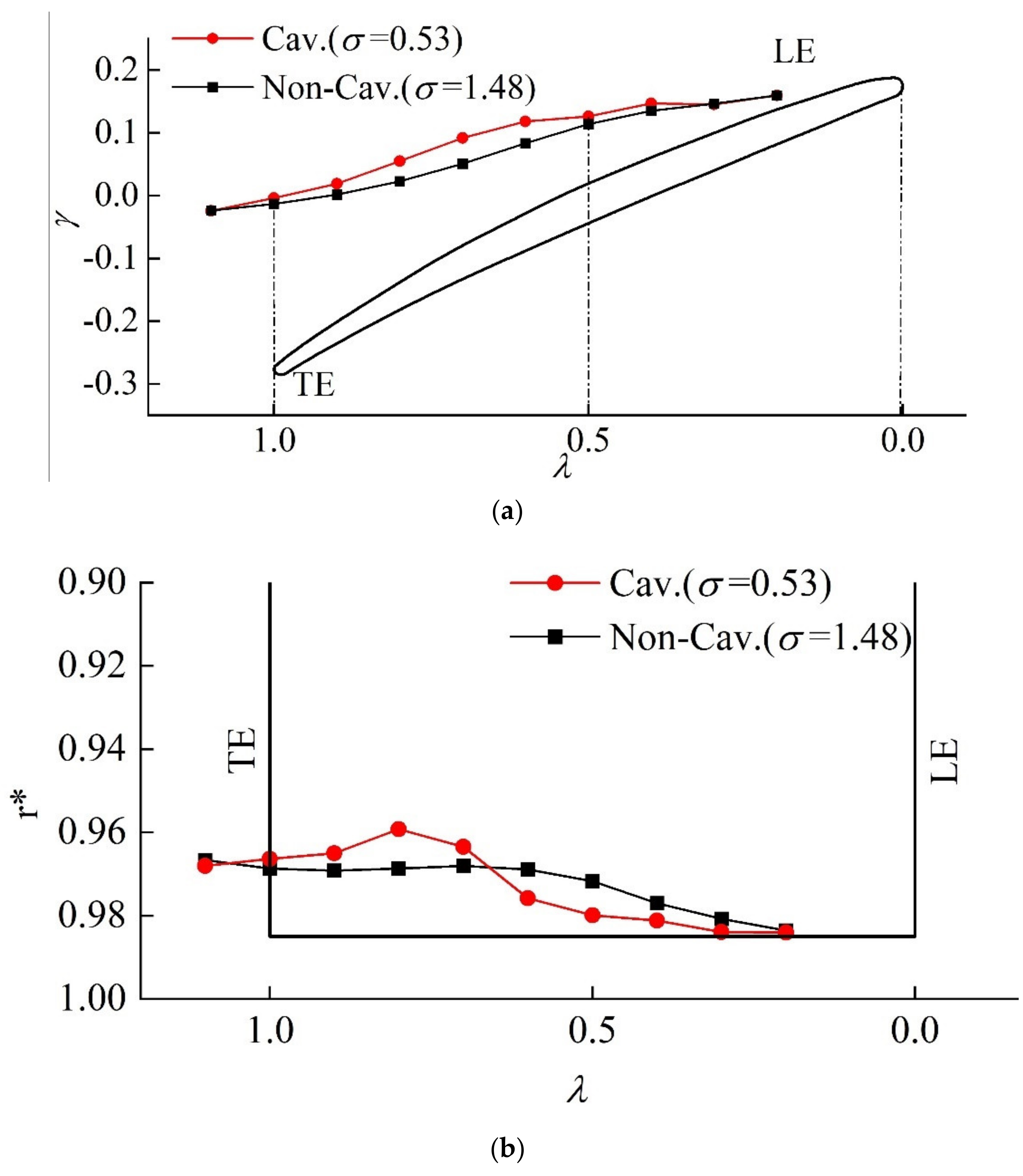
3.3.4. Effect of Cavitation on Vortex Propagation Velocity
3.3.5. Effect of Cavitation on Turbulent Kinetic Energy
3.4. Analysis of Influence of Cavitation on Vortex Evolution
3.4.1. Vortex Stretching and Bending Term
3.4.2. Vortex Dilation Term
3.4.3. Vortex Baroclinic Torque Term
3.4.4. Viscous Generation and Dissipation Term
4. Conclusions
- (1)
- In this work, cavitation was found to have little effect on the distribution of the pressure difference in the chordwise direction, but cavitation could change the TLV vortex structure and leakage flow characteristics. Cavitation changed the TLV vortex core trajectory and kept the vortex center away from the suction surface in the axial direction. The TLV was blocked by the vapor bubbles in the radial direction upstream of the blades.
- (2)
- Cavitation affected the distribution of the TLV average vortex strength Γa, increasing the distribution area of the vortices on the transverse sections. This made the vortex distribution more dispersed, thereby reducing the value of Γa, especially upstream of the blade.
- (3)
- Vortices were not the main cause of the pressure pulsation. The pressure pulsation was caused by cavitation evolution or even fracture.
- (4)
- Cavitation had an influence on the circumference velocity of the TLV center, and the vortex propagation velocity decreased. At the same time, cavitation inhibited the shear between the main and leakage flows, thus reducing the turbulent kinetic energy.
- (5)
- Cavitation could change the vortex stretching term and delay the vortex bending term. In addition, the vortex dilation term drastically changed at the vapor–liquid interface downstream of the blade, which was due to the rapid change of the vorticity caused by the instability of the cavity.
Author Contributions
Funding
Institutional Review Board Statement
Informed Consent Statement
Data Availability Statement
Conflicts of Interest
Nomenclature
| Design flow rate | |
| Pump head | |
| Outlet diameter | |
| Inlet diameter | |
| Hub diameter | |
| Tip clearance size | |
| Radius | |
| Radius of the impeller chamber | |
| Radial coefficient | |
| Axial coefficient | |
| Chord length coefficient | |
| Tip velocity | |
| Velocity | |
| Circumferential velocity | |
| Turbulence kinetic energy | |
| Static pressure | |
| Laminar viscosity | |
| Turbulent eddy viscosity | |
| Rotor angular velocity | |
| Chord length (m) | |
| Circumferential vorticity | |
| Pressure coefficient | |
| Cavitation number | |
| Vortex strength | |
| Average vortex strength | |
| Area of FTLV | |
| Kinematic viscosity | |
| Vapor volume fraction |
References
- Rains, D.A. Tip Clearance Flows in Axial Compressors and Pumps. Ph.D. Thesis, California Institute of Technology, Pasadena, CA, USA, 1954. [Google Scholar]
- Miorini, R.L.; Wu, H.; Katz, J. The internal structure of the tip leakage vortex within the rotor of an axial Water jet pump. J. Turbomach. 2012, 134, 031018. [Google Scholar] [CrossRef]
- Wu, H.; Miorini, R.L.; Katz, J. Measurements of the tip leakage vortex structures and turbulence in the Meridional plane of an axial water-jet pump. Exp. Fluids 2011, 50, 989–1003. [Google Scholar] [CrossRef]
- Wu, H.; Miorini, R.L.; Tan, D.; Katz, J. Turbulence within the tip-leakage vortex of an axial waterjet pump. AIAA J. 2012, 50, 2574–2587. [Google Scholar] [CrossRef]
- You, D.; Wang, M.; Moin, P.; Mittal, R. Large-eddy simulation analysis of mechanisms for viscous losses in a turbomachinery tip-clearance flow. J. Fluid Mech. 2007, 586, 177–204. [Google Scholar] [CrossRef] [Green Version]
- Doligalski, T.L.; Smith, C.R.; Walker, J.D.A. Vortex Interactions with Walls. Annu. Rev. Fluid Mech. 1994, 26, 573–616. [Google Scholar] [CrossRef]
- Tan, D.; Li, Y.; Wilkes, I.; Vagnoni, E.; Miorini, R.L.; Katz, J. Experimental Investigation of the Role of Large Scale Cavitating Vortical Structures in Performance Breakdown of an Axial Waterjet Pump. J. Fluids Eng. 2015, 137, 111301. [Google Scholar] [CrossRef]
- Tran, B.N.; Jeong, H.; Kim, J.H.; Park, J.-S.; Yang, C. Effects of Tip Clearance Size on Energy Performance and Pressure Fluctuation of a Tidal Propeller Turbine. Energies 2020, 13, 4055. [Google Scholar] [CrossRef]
- Hsiao, C.T.; Chahine, G.L. Scaling of tip vortex cavitation inception noise with a bubble dynamics model accounting for nuclei size distribution. J. Fluids Eng. 2005, 127, 55–65. [Google Scholar] [CrossRef]
- Zhang, D.; Shi, L.; Shi, W.; Esch, V.; PM, B.; Zhao, R. Numerical analysis of unsteady tip leakage vortex cavitation cloud and unstable suction-side-perpendicular cavitating vortices in an axial flow pump. Int. J. Multiph. Flow 2015, 77, 244–259. [Google Scholar] [CrossRef]
- Shi, L.; Zhang, D.; Jin, Y.; Shi, W.; van Esch, B.P.M. A study on tip leakage vortex dynamics and cavitation in axial-flow pump. Fluid Dyn. Res. 2017, 49, 035504. [Google Scholar] [CrossRef]
- Guo, Q.; Zhou, L.; Wang, Z. Numerical evaluation of the clearance geometries effect on the flow field and performance of a hydrofoil. Renew. Energy 2016, 99, 390–397. [Google Scholar] [CrossRef]
- Qiu, C.; Huang, Q.; Pan, G.; Shi, Y.; Dong, X. Numerical simulation of hydrodynamic and cavitation Performance of pump jet propulsor with different tip clearances in oblique flow. Ocean Eng. 2020, 209, 107285. [Google Scholar] [CrossRef]
- You, D.; Wang, M.; Moin, P.; Mittal, R. Effects of tip-gap size on the tip-leakage flow in a turbo machinery cascade. J. Phys. Fluids 2006, 18, 105102. [Google Scholar] [CrossRef] [Green Version]
- You, D.; Wang, M.; Moin, P.; Mittal, R. Vortex Dynamics and Low-Pressure Fluctuations in the Tip-Clearance Flow. J. Fluids Eng. 2007, 129, 1002–1014. [Google Scholar] [CrossRef]
- Dreyer, M. Mind the Gap: Tip Leakage Vortex Dynamics and Cavitation in the Axial Turbines. Ph.D. Thesis, Swiss Federal Institute of Technology in Lausanne (EPFL), Lausanne, Switzerland, 2015. [Google Scholar]
- Zhang, M.A.; Huang, B.A.; Qian, Z.B.; Liu, T.A.; Wu, Q.A.; Zhang, H.A.; Wang, G.A. Cavitation flow structures and corresponding hydrodynamics of a transient pitching hydrofoil in different cavitation regimes. Int. J. Multiph. Flow 2020, 132, 103408. [Google Scholar]
- Decaix, J.; Dreyer, M.; Balarac, G.; Farhat, M.; Münch, C. RANS computations of a confined cavitating tip-leakage vortex. Eur. J. Mech. B Fluid. 2018, 67, 198–210. [Google Scholar] [CrossRef] [Green Version]
- Ji, B.; Luo, X.; Arndt, R.E.; Wu, Y.L. Numerical simulation of three dimensional cavitation shedding dynamics with special emphasis on cavitation-vortex interaction. Ocean Eng. 2014, 87, 64–77. [Google Scholar] [CrossRef]
- Ji, B.; Luo, X.; Wu, Y.L.; Liu, S.H.; Xu, H.Y.; Oshima, A. Numerical investigation of unsteady cavitating turbulent flow around a full scale marine propeller. J. Hydrodyn. 2010, 22, 705–710. [Google Scholar] [CrossRef]
- Cheng, H.Y.; Bai, X.R.; Long, X.P.; Ji, B.; Farhat, M. Large eddy simulation of the tip-leakage cavitating flow with an insight on how cavitation influences vorticity and turbulence. Appl. Math. Model. 2019, 77, 788–809. [Google Scholar] [CrossRef]
- Zhao, Y.; Wang, G.; Jiang, Y.; Huang, B. Numerical analysis of developed tip leakage cavitating flows using a new transport-based model. Int. Commun. Heat Mass. 2016, 78, 39–47. [Google Scholar] [CrossRef]
- Guo, Q.; Huang, X.; Qiu, B. Numerical investigation of the blade tip leakage vortex cavitation in a waterjet pump. Ocean Eng. 2019, 187, 106170. [Google Scholar] [CrossRef]
- Dreyer, M.; Decaix, J.; Münch-Alligné, C.; Farhat, M. Mind the gap: A new insight into the tip leakage vortex using stereo-PIV. Exp. Fluids 2014, 55, 1–13. [Google Scholar] [CrossRef]
- Zhang, D.; Shi, W.; van Esch, B.; Shi, L.; Dubuisson, M. Numerical and experimental investigation of tip leakage vortex trajectory and dynamics in an axial flow pump. Comput. Fluids 2015, 112, 61–71. [Google Scholar] [CrossRef]
- Zhang, D.; Shi, W.; Pan, D.; Dubuisson, M. Numerical and Experimental Investigation of Tip Leakage Vortex Cavitation Patterns and Mechanisms in an Axial Flow Pump. J. Fluids Eng. Trans. Asme 2015, 137, 121103. [Google Scholar] [CrossRef]
- Huang, R.; Ji, B.; Luo, X.; Zhai, Z.; Zhou, J. Numerical investigation of cavitation-vortex interaction in a mixed-flow waterjet pump. J. Mech. Sci. Technol. 2015, 29, 3707–3716. [Google Scholar] [CrossRef]
- Chen, J.; Huang, B.; Wang, Y.; Wang, G. Numerical investigation of cavitation-vortex interaction with special emphasis on the multistage shedding process. Appl. Math. Model. 2021, 96, 111–130. [Google Scholar] [CrossRef]
- Yuan, J.; Chen, Y.; Wang, L.; Fu, Y.; Zhou, Y.; Xu, J.; Lu, R. Dynamic Analysis of Cavitation Tip Vortex of Pump-Jet Propeller Based on DES. Appl. Sci. 2020, 10, 5998. [Google Scholar] [CrossRef]
- Zhao, X.; Liu, T.; Huang, B.; Wang, G. Combined experimental and numerical analysis of cavitating flow characteristics in an axial flow waterjet pump. Ocean Eng. 2020, 209, 107450. [Google Scholar] [CrossRef]
- ANSYS, Inc. ANSYS CFX-Solver Theory Guide, Release 17.1; SAS IP, Inc.: Canonsburg, PA, USA, 2016; pp. 77–90. [Google Scholar]
- Heydari, M.; Sadat-Hosseini, H. Analysis of propeller wake field and vortical structures using k-Omega SST Method. Ocean Eng. 2020, 204, 107247. [Google Scholar] [CrossRef]
- Smirnov, P.E.; Menter, F.R. Sensitization of the SST Turbulence Model to Rotation and Curvature by Applying the Spalart-Shur Correction Term. J. Turbomach. 2009, 131, 1–8. [Google Scholar] [CrossRef]
- Zwart, P.; Gerber, A.G.; Belamri, T. A two-phase model for predicting cavitation dynamics. In Proceedings of the ICMF 2014 International Conference on Multiphase Flow, Yokohama, Japan, 30 May–3 June 2004; p. 152. [Google Scholar]























| Parameters | Value |
|---|---|
| Number of rotor blades [Zi] | 3 |
| Number of stator blades [Zd] | 7 |
| Optimum flow rate [QBEP] | 0.101 m3 s−1 |
| Rotor diameter [d3] | 197 mm |
| Hub diameter [dt] | 90 mm |
| Inlet diameter [d1] | 200 mm |
| Outlet diameter [d2] | 250 mm |
| Tip clearance [τ] | 1.5 mm |
| Tip velocity [Utip] | 15.18 m s−1 |
| Rotor angular velocity [Ω] | 151.84 rad s−1 |
| Test Case | Mesh Nodes | Mesh Topology | Convergence Precision | Head (m) | Efficiency (%) |
|---|---|---|---|---|---|
| Coarse A | 3,875,547 | Structured | 10−5 | 2.89 | 72.47 |
| Refined B | 6,861,485 | Structured | 10−5 | 2.96 | 73.35 |
| Refined C | 9,947,173 | Structured | 10−5 | 2.96 | 73.35 |
Publisher’s Note: MDPI stays neutral with regard to jurisdictional claims in published maps and institutional affiliations. |
© 2021 by the authors. Licensee MDPI, Basel, Switzerland. This article is an open access article distributed under the terms and conditions of the Creative Commons Attribution (CC BY) license (https://creativecommons.org/licenses/by/4.0/).
Share and Cite
Zhang, H.; Wang, J.; Zhang, D.; Shi, W.; Zang, J. Numerical Analysis of the Effect of Cavitation on the Tip Leakage Vortex in an Axial-Flow Pump. J. Mar. Sci. Eng. 2021, 9, 775. https://doi.org/10.3390/jmse9070775
Zhang H, Wang J, Zhang D, Shi W, Zang J. Numerical Analysis of the Effect of Cavitation on the Tip Leakage Vortex in an Axial-Flow Pump. Journal of Marine Science and Engineering. 2021; 9(7):775. https://doi.org/10.3390/jmse9070775
Chicago/Turabian StyleZhang, Hu, Jun Wang, Desheng Zhang, Weidong Shi, and Jianbo Zang. 2021. "Numerical Analysis of the Effect of Cavitation on the Tip Leakage Vortex in an Axial-Flow Pump" Journal of Marine Science and Engineering 9, no. 7: 775. https://doi.org/10.3390/jmse9070775
APA StyleZhang, H., Wang, J., Zhang, D., Shi, W., & Zang, J. (2021). Numerical Analysis of the Effect of Cavitation on the Tip Leakage Vortex in an Axial-Flow Pump. Journal of Marine Science and Engineering, 9(7), 775. https://doi.org/10.3390/jmse9070775

