Abstract
The axial hydraulic thrust has great influence on the safety and stability of a pump turbine. A common way to balance hydraulic thrust is to install a pressure-balance pipe, and the change in pipe diameter is one of the important factors affecting axial hydraulic thrust. In this paper, the influence of the diameter changes in a pressure-balance pipe on axial hydraulic thrust of a pump turbine, plus the seal clearance flow, is studied and analyzed under three work conditions, i.e., 100%, 75%, and 50% loads. It is found that under 100% and 75% load conditions, the axial hydraulic thrust increases vertically with the increase in pipe diameter; whereas, under 50% load condition, the axial hydraulic thrust increases first and then decreases with the increase in pipe diameter. The results aim to give guidelines for the choice of pressure-balance pipe diameters and to control the axial hydraulic thrust of a pumped-storage power station, so that the hydraulic excitation force can be better matched with the hydraulic mechanism.
1. Introduction
In recent years, due to the large-scale grid connection of intermittent renewable energy such as solar and wind energy in China, the peak shaving capacity of the power system is insufficient, and the pumped-storage unit satisfies this demand of the power system well, thus achieving a leap development [1]. A pump turbine is the core component of energy conversion in a pumped-storage power station. The goal of the optimal design of a pump turbine is to achieve high efficiency and stability. Pump turbine design is a typical multi-objective optimization design [2]. The control parameters in the design process include cavitation, efficiency, pressure pulsation, S zone margin, hump zone margin, etc. A list of research results in this area are as follows: Luo et al. reviewed the cavitation phenomenon in hydraulic machinery and pointed out the impact of cavitation on water pump turbines [3]; Dorfler et al. systematically summarized the pressure pulsation problem caused by flow in hydraulic machinery [4]; Zhu et al. designed an efficient pump turbine using optimization design theory [5]; Zhang et al. systematically combed the problem of S zone caused by rotating stall [6]; Deyou et al. studied the formation mechanism of a hump zone [7]. The operation of a pump turbine is a coupling of multiple factors. According to the current literature, there are few papers concerning the influence of axial force on the operation of pump turbines. The specific speed of the pump turbine is smaller than that of the conventional Francis turbine, and the upper crown area is larger than the lower ring area. The upper crown clearance of the runner bears high pressure and the lower ring clearance bears low pressure, so the axial hydraulic thrust acts on the runner. Larger axial hydraulic thrust increases the load and friction loss of the thrust bearing, reduces the efficiency of the generator motor, and makes the design of the thrust bearing more difficult. Therefore, in engineering, pressure-balance pipes are generally installed on the upper and lower sides of the runner to reduce the axial hydraulic thrust [8,9]. The use of the pressure-balance pipe will cause a certain volume loss of the pump turbine and reduce the efficiency of the pump turbine. At the same time, the pressure pulsation and vibration caused by the flow will cause the pressure-balance pipe to become a hidden danger of flooding the plant. Therefore, studying the optimal design of the pressure-balance pipe and its influence mechanism on the performance of the pump turbine can significantly improve the stability, the safety, and reliability of the pumped-storage power station operation.
Following the development of computational fluid dynamics (CFD) technology, CFD numerical simulation has been widely used in the optimization design and mechanism research of pump turbines. For example, Liu et al. established a multi-objective optimization design method combined with CFD technology. The ultra-high head water pump turbine was optimized [2], Pavesi et al. applied CFD technology for a numerical simulation of the flow pattern of the variable speed water pump turbine under power-off conditions [10], Jacquet established a full flow channel model for S area, the internal flow mechanism was studied [11]. However, none of these research processes has put the pressure-balance pipe into the 3D modeling analysis. Liang et al. established a three-dimensional numerical model and preliminarily explored the influence of the pressure-balance pipe on the flow of the seal clearance and its surroundings [12] but did not evaluate the effect on the axial force in detail. Qu explained the mixed flow type from the structural aspect, the pressure-balance pipe on the head cover of the turbine, and also proposed several improvement measures [13] but the mechanism was not involved.
Considering that the main purpose of setting a pressure-balance pipe is to improve the axial hydraulic thrust of a pump turbine, a numerical model of the whole flow channel including a pressure-balance pipe is established for a pump turbine of a pumped-storage power station. The influence of the diameter changes and the position of the pressure-balance pipe on the leakage volume (efficiency) and axial hydraulic thrust is studied by CFD technology, so as to find out the influence of the pressure-balance pipe on the stability of the pump turbine, guiding the optimal design of the pump turbine.
2. Analysis of the Components of Axial Hydraulic Thrust
The monitor of axial hydraulic thrust consists of three parts in this paper. The three parts are shown in Figure 1 (the upward force is positive, vice versa):
F1: the axial hydraulic thrust of the upper crown clearance on the runner surface, the direction is downward;
F2: the axial hydraulic thrust on the runner channel and the surface of blade, the direction is upward on turbine mode;
F3: the axial hydraulic thrust of the lower ring clearance on the runner surface, the direction is upward;
Fg: the gravity of the rotating parts;
F∑: the resultant force of the axial hydraulic thrust on the runner surface, which is equal to the sum of F1, F2 and F3;
Faxial: the resultant force of F∑ and Fg.
Figure 1.
A diagram of the parts of axial hydraulic thrust.
3. Simulation Model and Adjustment Scheme
The object of this paper is modeled according to a pumped-storage power station unit. The diameter of the runner is 5.04 m, the number of runner blades is 9, the number of guide vanes and stay vanes is 20, and the rotational speed is 300 rpm. As shown in Figure 2 and Figure 3, the flow passage model of a pump turbine includes a volute, stay vanes, guide vanes, runner, draft tube and pressure-balance pipes, as well as the clearance of the runner. The normal water level of the upper stream reservoir of the storage power station is 400 m, and the minimum water level is 376.5 m; the normal water level of the lower stream reservoir is 103.7 m, and the minimum water level is 65 m.
Figure 2.
Flow passage model of pump turbine.
Figure 3.
The distribution of pressure-balance pipe.
The influence of the changes in the pressure-balance pipe diameter on the axial hydraulic thrust of the runner is studied in this paper. The pressure-balance pipe connects the inner side of the wearing ring and the draft tube; the distribution position of the pressure-balance pipe is shown in Figure 3. The original pressure-balance pipe diameter in the simulation model is 250 mm, and this model is marked as D. Through discussion with the related technical personnel combined with engineering practice, it was considered reasonable to study the influence of the pipe diameter change on the water thrust force by changing the original pressure equalizing pipe diameter by 100 mm. In this paper, the diameter of the pressure equalizer was increased and decreased by 100 mm, which is denoted as D+100 and D−100, respectively. Specific parameters are shown in Table 1, and the three-dimensional model is shown in Figure 4.
Table 1.
Pressure-balance pipe diameter of models.
Figure 4.
Three models of pressure-balance pipe.
In this study, the meshing method is a combination of structured and unstructured grids. ICEM and mesh modules in ANSYS are used to mesh each computing domain. After comprehensively considering grid quality, calculation accuracy, and computing resources, a grid independence verification was conducted, then a grid unit number of about 8 million for calculation was selected for the three models with different pipe diameters, and the grid quality was greater than 0.32. The number and types of grids of model D under 100% load are shown in Table 2, the grid number of other calculation models is basically the same as for this model.
Table 2.
The details of grid.
4. Numerical Simulation for Pump Turbine
4.1. CFD Method
This paper uses the CFD numerical simulation method to simulate the internal flow of the prototype pump turbine and analyze the results. The influence of density fluctuations was neglected, but the change in average density was considered. The turbulence governing equation is averaged over time. The tensor representation of the continuity equation and the momentum equation is as follows:
In the equations, except for the time average value of the pulsation, the overscore symbols of the other time average values have been removed. is density and is pressure. The index range of i and j is (1, 2, 3), which represents the velocity components in the x, y, and z directions, is the dynamic viscosity, and is the generalized source term of the momentum conservation equation. A new unknown quantity appears in the equation, defined as Reynolds stress
In order to solve the equation, the Reynolds stress needs to be processed. Considering the similarities between Reynolds stress and viscous stress, the eddy viscosity model provides a relatively simple method for solving Reynolds stress. According to the eddy viscosity hypothesis proposed by Boussinesq, turbulent kinetic energy is introduced
The relationship between Reynolds stress and average velocity gradient is established
is eddy viscosity (or turbulent viscosity), is Kronecker symbol, (when , ; when , ). Different relational expressions can be used to link the time-averaged parameters of turbulence and , the two-equation model is the most widely used. Commonly used turbulence models mainly include model, model, and corresponding improved models. The turbulence model used in this paper is SST k-w model.
The simulation passage of this paper comprehensively considered the influence of the pressure-balance pipe and the upper crown and lower ring clearance on the axial hydraulic thrust. This was mainly the pressure generated by the clearance between the upper crown and the lower ring on the runner, as well as the pressure difference of the runner itself. Therefore, it is very important to consider the influence of clearance flow in the analysis of axial force.
4.2. Boundary Condition of Simulation
Three hydraulic turbine operating conditions of the pump turbine were analyzed in this paper based on the model built on the real unit. The fluid flows in from the volute and flows out of the draft tube. The given boundary conditions are: the volute inlet is given as the total pressure inlet, and the draft tube outlet is set as the static pressure outlet. The specific value is given based on the upstream and downstream water level of the reservoir from the experimental results, combined with the pipeline loss obtained in the one-dimensional simulation. The steady simulation was carried out first, and the result used as the initial value of the unsteady simulation. The time step was 1/200 of the rotation period of the runner, and the maximum number of iterations at each time step was set to 20. The mode was set to the high-order solution term, and the convergence residual was set to 1 × 10−4.
5. Conditions of Simulation and Analysis of CFD Simulation Results
5.1. Conditions of Simulation
Under different load conditions, the influence of pipe diameter variation on axial hydraulic thrust is different. As far as the research is concerned, the larger the selection range of different load values is, the more intensive it is; the data in this paper comes from the test of 100%, 75% and 50% load turbine conditions provided by the power station, and the specific conditions are shown in Table 3.
Table 3.
Details of different conditions.
The research and calculation methods of the axial force in this research group are very mature, and the relevant accuracy can be referred to in the published article [14]. The comparison results of the unit parameters calculated under each working condition and the interpolation of the unit parameters according to the model test are shown in Table 4. The calculated value is obtained by the equations (6) and (7), the test value is interpolated according to the unit characteristic curve, and the error is guaranteed within 3%, which proves that the CFD three-dimensional calculation method is effective and feasible.
Table 4.
Comparison of unit parameters.
5.2. Analysis of External Characteristic
Figure 5 shows the efficiency and torque comparison curves of different pressure-balance pipe diameter models under different load turbine conditions. The efficiency calculation formula of turbine condition is shown in Equation (9).

Figure 5.
Comparison of efficiency and torque. (a) 100% load; (b) 75% load; (c) 50% load.
Within the equations, is torque (N.m), which is obtained by post-processing of the calculation results; is angular velocity (rad/s); is the density of water, the value is 997 kg/m3; is acceleration of gravity, the value is 9.81 m2/s; is flow rate (m3/s); is head (m).
It can be seen that under different load conditions, the effect of the pipe diameter increases efficiency and the runner torque is different.
For the 50% load condition, the efficiency of the unit is lowest when the pressure-balance pipe diameter is at its original size. When the pipe diameter decreases or increases, the efficiency of the unit increases. For the 75% load condition, the efficiency of the unit is the largest when the pipe diameter is also at its original size. When the pressure-balance pipe diameter decreases or increases, the efficiency of the unit decreases. For 100% load conditions, the efficiency of the unit is highest when the pressure-balance pipe diameter increases, and as the diameter of the pipe decreases, the efficiency of the unit decreases. Through the analysis of the factors affecting the efficiency, it is concluded that the main factor affecting the efficiency change is the torque of the runner, and its regular changing pattern is consistent with the regular changing pattern of the unit efficiency. In view of the influence of the change in the pressure-balance pipe diameter on the efficiency of the unit, a more in-depth analysis can be carried out in the future.
6. Analysis of Axial Hydraulic Thrust
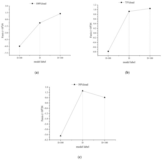
Figure 6 shows the change in the axial hydraulic thrust force (hereinafter referred to as the resultant force) on the runner under different load conditions with the changing of pipe diameter. Under the load conditions of 100% and 75%, the change rule is the same. As the pipe diameter increases, the resultant force increases positively. For the 100% load condition, the resultant force is vertical downward when the pipe diameter of the pressure-balance pipe is reduced, mainly due to the large downward hydraulic thrust generated by the upper crown clearance on the runner. In the simulation with both the original pipe diameter and the increased pipe diameter, the resultant force is vertical upward. For 75% load conditions, the direction of the resultant force is always upward. For the 50% load condition, the directional characteristics of the resultant force are the same as the 100% load condition. When the pipe diameter increases from D−100 to D model, the resultant force increases positively. From D to D+100 model, with the pipe diameter increasing, the resultant force decreases. It can be seen that, under different load conditions of the turbine, the change in the pressure-balance pipe diameter has different effects on the resultant force.
Figure 6.
Comparison of F∑. (a) 100% load; (b) 75% load; (c) 50% load.
Each component force will be analyzed in detail later. After analyzing the hydraulic thrust component of the runner, it is found that the component force F2 is less affected by the change in the pressure-balance pipe diameter. F2 is mainly affected by the working conditions. As the flow rate increases, F2 also gradually increases. The clearance of the upper crown and the lower ring exerts a decisive influence on the change in the resultant force caused by the axial hydraulic thrust F1 and F3 generated by the runner. Therefore, the following mainly analyzes F1 and F3 under different working conditions.
The variation of force components F1 and F3 with the diameter of the pressure-balance pipe is shown in Figure 7 and Figure 8. For 100% load condition, the axial hydraulic thrust of upper crown clearance on the runner and lower ring clearance on the runner decreases with the increase in pipe diameter. The resultant force of vertical upward hydraulic thrust increases, which is caused by the decrease in vertical downward hydraulic thrust of upper crown clearance on the runner. The variation amplitude of the hydrodynamic force is larger than that of the lower ring clearance, which has a decisive effect on the variation of the resultant force of the hydrodynamic force. For 75% load condition, the regular variation pattern of resultant force with the diameter of the pressure-balance pipe is consistent with that of 100% load condition; in other words, the regular variation pattern of component force F1 and F3 with the diameter of the pressure-balance pipe is consistent with that of 50% load condition. With the diameter of the pressure-balance pipe increasing, component force F1 and F3 decrease first and then increase. The variation of axial hydraulic thrust resultant force under 75% load condition is determined by the joint action of F1 and F3. For 50% load condition, the change in hydraulic thrust force on the runner with the diameter of the pressure-balance pipe is different from the other two conditions. With the increase in the diameter of the pressure-balance pipe, the axial hydraulic thrust first increases and then decreases in the vertical direction. The regular variation pattern of F1 and F3 components with the diameter of the pressure-balance pipe under 50% load condition is the same as that under 75% load condition. The change in upper crown clearance component has a decisive influence on the change in water hydraulic force on the runner.

Figure 7.
Comparison of F1. (a) 100% load; (b) 75% load; (c) 50% load.

Figure 8.
Comparison of F3. (a) 100% load; (b) 75% load; (c) 50% load.
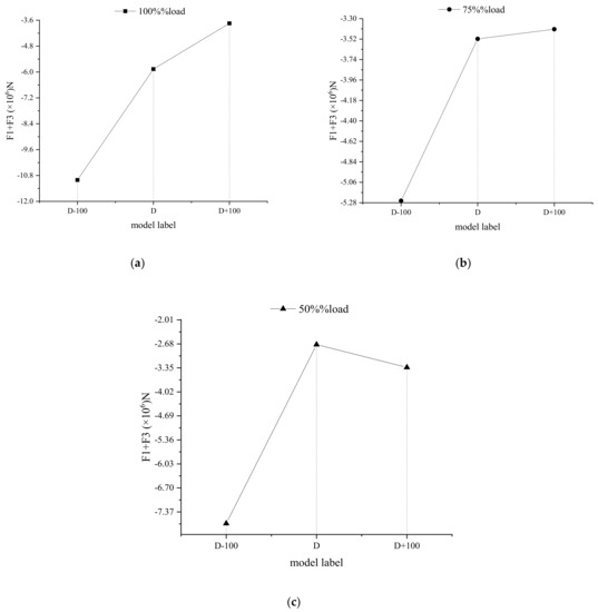
Figure 9 shows the resultant force of the hydraulic thrust generated by the upper crown and the lower ring. The direction of this force is vertically downwards. The change in the resultant force determines the change trend in the resultant force of the axial hydraulic thrust on the runner, that is, when the pressure-balance pipe diameter changes, it affects the resultant force of the axial water thrust through the influence of the water pressure in the gap between the upper crown clearance and the lower ring clearance. It can be seen that as the diameter of the pressure-balance pipe increases, the combined force of F1 and F3 is reduced under 100% load and 75% load conditions, which means that the ability to balance the pressure of the upper and lower clearance of the runner is improved. For the 50% load condition, when the pipe diameter increases on the basis of the design pipe diameter, the combined force of F1 and F3 also increases, indicating that the ability of the pressure-balance pipe to balance pressure at this time weakens as the pipe diameter increases.
Figure 9.
Comparison of F1 + F3. (a) 100% load; (b) 75% load; (c) 50% load.
Under different working load turbine conditions, the comparison of the influence of pipe diameter change on the upper crown and lower ring clearances on the axial hydraulic thrust of runner is shown in Figure 10. It can be seen from the figure that when the diameter of the pressure-balance pipe decreases, F1 and F3 decrease under the three working conditions, while, when the diameter increases, F1 and F3 decrease under 100% load condition and F1 and F3 increase under 75% and 50% load condition. From the above comparison, it can be concluded that under the conditions of large flow and small flow, i.e., 100% and 50% load, the effect of reducing the diameter of the pressure-balance pipe on the water pressure generated by the upper crown clearance is greater, so the force that has a decisive impact on the change in axial hydraulic thrust is F1. For 75% load, the effect of changing the diameter of the pressure-balance pipe on the water pressure generated by the upper crown and lower ring is less. Therefore, the change in resultant force is determined by the combined action of F1 and F3.
Figure 10.
Comparison of F1 and F3 under different pipe diameters and load conditions.
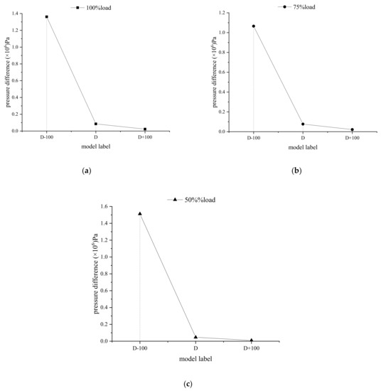
The four interfaces between the pressure-balance pipe (as shown in Figure 11) and the upper crown clearance and the two interfaces with the draft tube are respectively processed for the average pressure, and the difference is obtained as shown in Figure 12. It can be seen that under the three different load conditions, as the diameter of the pressure-balance pipe model increases, the pressure difference between the inlet and outlet ends gradually decreases. It can be concluded that when the pressure-balance diameter increases, the pressure difference between the upper crown clearance and the draft tube is reduced.
Figure 11.
Interface between pressure-balance pipe and upper crown clearance.
Figure 12.
Comparison pressure difference between inlet and outlet of pressure-balance pipe. (a) 100% load; (b) 75% load; (c) 50% load.
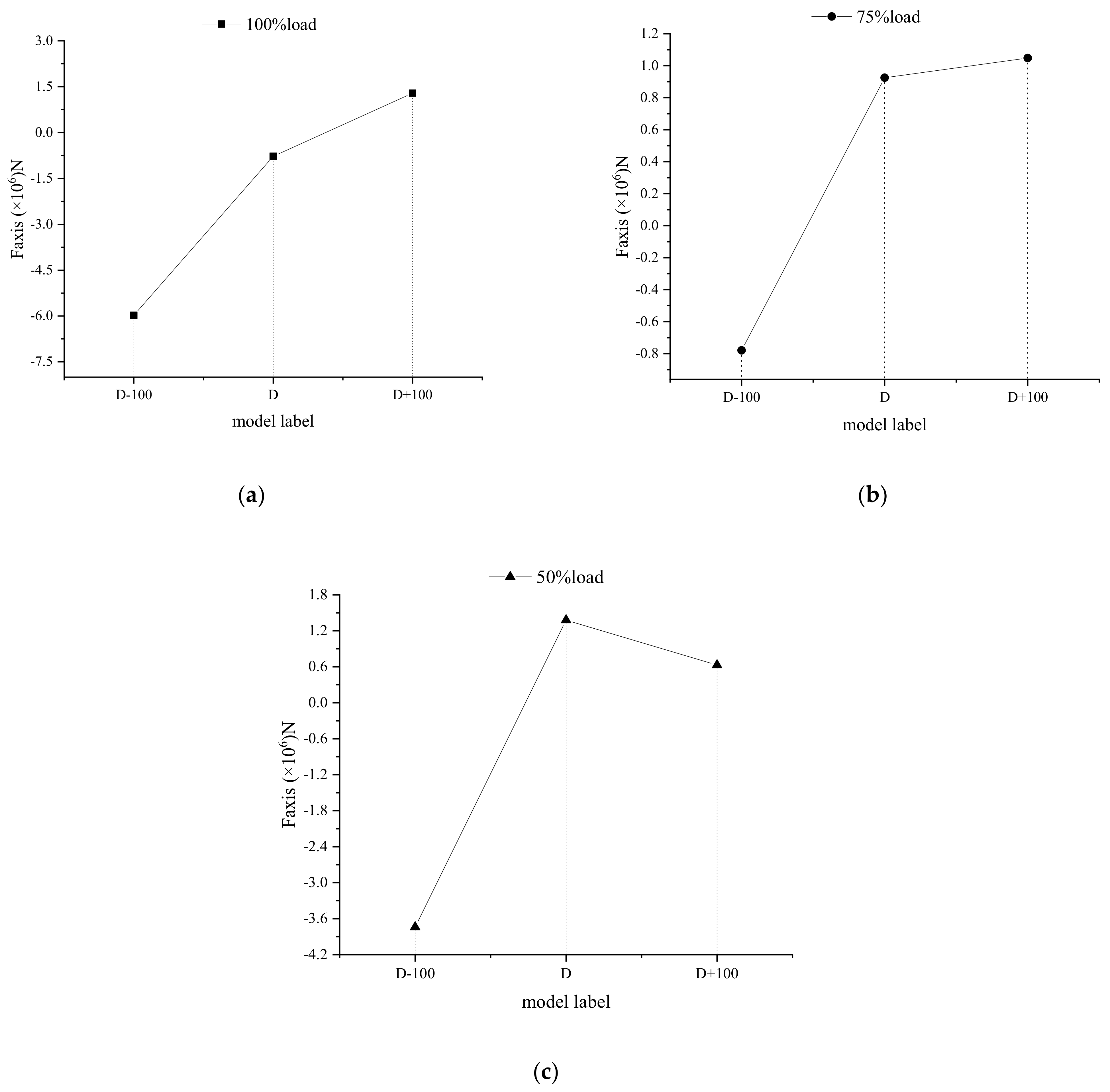
Considering the gravity of the rotating parts of the unit comprehensively, ignoring the effect of buoyancy to analyzing the axial hydraulic thrust on the runner, the resultant axial hydraulic thrust Faxis obtained under different working conditions is shown in Figure 13. The resultant force of the axial force did not include the weight of the rotating part of the generator. If the weight of the generator is within 150 t, there is no risk of lifting the machine under the three working conditions of the designed pressure-balance pipe diameter.
Figure 13.
Comparison of Faxis. (a) 100% load; (b) 75% load; (c) 50% load.
It can be seen that when the pressure-balance pipe diameter is reduced, the lifting risk of the unit under the three working conditions is reduced. Under 100% and 75% load conditions, increasing the pipe diameter will increase the risk of unit lifting. However, increasing the pipe diameter under 50% load conditions will reduce the risk of the unit lifting. Therefore, it can be concluded that when the diameter of the pressure-balance pipe is reduced, the effect on different load conditions is the same, and when the pipe diameter is increased, the effect on the hydraulic thrust of the large flow and small flow conditions is different.
7. Conclusions
In this paper, the influence of the change in the diameter of the pressure-balance pipe on the axial hydraulic thrust is studied by numerical simulation of the pump turbine with the upper crown clearance, the lower ring clearance, and the pressure-balance pipe in a pumped-storage power station. The influence of three different diameters of the pressure-balance pipe on the axial hydraulic thrust is analyzed under three different loads of 100%, 75%, and 50%. The results show that when the diameter of the pressure-balance pipe changes, the resultant force of axial hydraulic thrust on the runner is mainly determined by the pressure distribution on the outer surface of the upper crown and lower ring. For 100% and 75% load turbine, with the increase in the diameter of the pressure-balance pipe, the axial hydraulic thrust increases vertically. For 50% load turbine, the axial hydraulic thrust increases vertically first and then decreases with the increase in the diameter of the pressure-balance pipe. For 100% and 50% load cases, the variation of resultant force is determined by the variation of axial hydraulic thrust of upper crown clearance on the runner. For 75% load case, the variation of resultant force is determined by the variation of axial hydraulic thrust of upper crown clearance and lower ring clearance on the runner.
The results show that when the diameter of the pressure-balance pipe decreases, the water pressure produced by the clearance between upper crown and lower ring of 100%, 75% and 50% load turbine condition decreases; when the pipe diameter of the pressure-balance pipe increases, the water pressure produced by the clearance between the upper crown and the lower ring decreases under 100% load condition, and increases under 75% and 50% load condition. Combined with the regular variation pattern of the resultant force, it can be concluded that the variation of the diameter of the pressure-balance pipe mainly affects the hydraulic thrust on the upper crown clearance of the runner, and the variation amplitude of the axial hydraulic thrust on the runner of inner channel and blade surface is small, which has no decisive effect on the hydraulic thrust resultant force. With the increase in working load, the variation in the diameter of the pressure-balance pipe first decreases and then increases. Therefore, under 75% load condition, the resultant force will be affected by the water pressure generated by the clearance between the upper crown and the lower ring.
To sum up, in view of the source of the data, the research on the influence of the change in the pipe diameter on the axial hydraulic thrust is limited. In the following research work, the pump condition and transient condition of the pump turbine can be studied comprehensively. Firstly, the extreme condition of the axial thrust can be obtained. When designing the diameter of a pressure-balance pipe in engineering, the bearing range of axial hydraulic thrust on the runner of the unit is given, and then the axial hydraulic thrust under extreme operating conditions of the unit is checked, so as to avoid excessive load bearing on the frame caused by excessive downward axial hydraulic thrust as well as lifting caused by excessively small downward axial hydraulic thrust. Thus, the diameter of the pressure-balance pipe can be further adjusted to ensure the rationality of design.
Author Contributions
Conceptualization, F.Z.; methodology, F.Z. and Y.L.; investigation, F.Z. and Z.G.; writing—original draft preparation, F.Z.; writing—review and editing, Z.W.; supervision, Z.W.; project administration, F.Z. and Y.L. All authors have read and agreed to the published version of the manuscript.
Funding
This work was supported by National Natural Science Foundation of China (No: 51876099).
Informed Consent Statement
Not applicable.
Conflicts of Interest
The authors declare no conflict of interest.
Abbreviations
| F1 | axial hydraulic thrust of the upper crown clearance on the runner surface, the direction is downward |
| F2 | axial hydraulic thrust on the runner channel and the surface of blade, the direction is upward on turbine mode |
| F3 | axial hydraulic thrust of the lower ring clearance on the runner surface, the direction is upward |
| Fg | gravity of the rotating parts |
| F∑ | resultant force of the axial hydraulic thrust on the runner surface, which is equal to the sum of F1, F2 and F3 |
| Faxial | resultant force of F∑ and Fg |
| n11 | unit speed |
| Q11 | unit rate of flow |
| M11 | unit torque |
References
- Zeng, M.; Zhang, K.; Liu, D. Overall review of pumped-hydro energy storage in China: Status quo, operation mechanism and policy barriers. Renew. Sustain. Energy Rev. 2013, 17, 35–43. [Google Scholar]
- Liu, L.; Zhu, B.; Bai, L.; Liu, X.; Zhao, Y. Parametric Design of an Ultrahigh-Head Pump-Turbine Runner Based on Multi objective Optimization. Energies 2017, 10, 1169. [Google Scholar] [CrossRef] [Green Version]
- Luo, X.; Ji, B.; Tsujimoto, Y. A review of cavitation in hydraulic machinery. J. Hydrodyn. 2016, 28, 335–358. [Google Scholar] [CrossRef]
- Dörfler, P.; Sick, M.; André, C. Flow-Induced Pulsation and Vibration in Hydroelectric Machinery; Springer: London, UK, 2013. [Google Scholar]
- Zhu, B.; Wang, X.; Tan, L. Optimization design of a reversible pump–turbine runner with high efficiency and stability. Renew. Energy 2015, 81, 366–376. [Google Scholar] [CrossRef]
- Zhang, Y.; Wu, Y. A review of rotating stall in reversible pump turbine. Proc. Inst. Mech. Eng. Part C J. Mech. Eng. Sci. 2017, 231, 1181–1204. [Google Scholar] [CrossRef] [Green Version]
- Li, D.; Wang, H.; Xiang, G. Unsteady simulation and analysis for hump characteristics of a pump turbine model. Renew. Energy 2015, 77, 32–42. [Google Scholar]
- Deriaz, P.; Warnock, J.G. Reversible Pump-Turbines for Sir Adam Beck-Niagara Pumping-Generating Station. J. Basic Eng. 1959, 81, 521–529. [Google Scholar] [CrossRef]
- Chang, X. Mechanical design of 300MW pump-turbine for Heimifeng pumped storage power station. Dongfang Electr. Rev. 2011, 25, 26–33. [Google Scholar]
- Pavesi, G.; Cavazzini, G.; Ardizzon, G. Numerical analysis of the transient behaviour of a variable speed pump-turbine during a pumping power reduction scenario. Energies 2016, 9, 534. [Google Scholar] [CrossRef] [Green Version]
- Jacquet, C.; Fortes-Patella, R.; Balarac, L.; Houdeline, J.B. CFD investigation of complex phenomena in S-shape region of reversible pump-turbine. IOP Conf. Ser. Earth Environ. Sci. 2016, 49, 042010. [Google Scholar] [CrossRef]
- Liang, W.; Dong, Y.; Zhao, D. The influences of relief pipes of Francis hydraulic turbine on the flow field of the sealing clearance and its environs. J. Hydroelectr. Eng. 2008, 2, 135–140. [Google Scholar]
- Qu, B. Analysis and discussion about discharging pipe structure on head cover of Francis turbine. Dongfang Electr. Rev. 2019, 33, 71–76. [Google Scholar]
- Mao, Z.; Tao, R.; Chen, F.; Bi, H.; Cao, J.; Luo, Y. Investigation of the Starting-Up Axial Hydraulic Force and Structure Characteristics of Pump Turbine in Pump Mode. J. Mar. Sci. Eng. 2021, 9, 158. [Google Scholar] [CrossRef]
Publisher’s Note: MDPI stays neutral with regard to jurisdictional claims in published maps and institutional affiliations. |
© 2021 by the authors. Licensee MDPI, Basel, Switzerland. This article is an open access article distributed under the terms and conditions of the Creative Commons Attribution (CC BY) license (https://creativecommons.org/licenses/by/4.0/).