Research on Hypergeometric-Gaussian Vortex Beam Propagating under Oceanic Turbulence by Theoretical Derivation and Numerical Simulation
Abstract
1. Introduction
2. Theoretical Derivation
3. Numerical Simulation
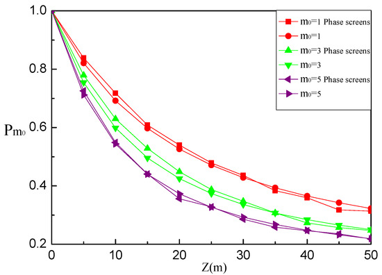
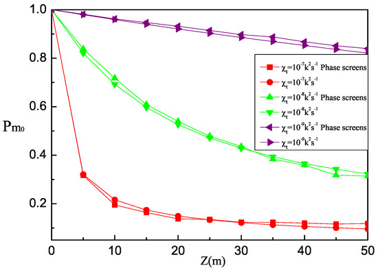
4. Results and Discussion
5. Conclusions
Author Contributions
Funding
Institutional Review Board Statement
Informed Consent Statement
Data Availability Statement
Conflicts of Interest
References
- Johnson, L.J.; Jasman, F.; Green, R.J.; Leeson, M.S. Recent advances in underwater optical wireless communications. Underw. Technol. 2014, 32, 167–175. [Google Scholar] [CrossRef]
- Zhou, H.; Fu, D.; Dong, J.; Zhang, P.; Chen, D.; Cai, X.; Li, F.; Zhang, X. Orbital angular momentum complex spectrum analyzer for vortex light based on the rotational Doppler effect. Light Sci. Appl. 2017, 6, e16251. [Google Scholar] [CrossRef]
- Fu, S.; Zhai, Y.; Zhou, H.; Zhang, J.; Wang, T.; Liu, X.; Gao, C. Experimental demonstration of free-space multi-state orbital angular momentum shift keying. Opt. Express 2019, 27, 33111–33119. [Google Scholar] [CrossRef] [PubMed]
- Li, F.; Xu, T.; Zhang, W.; Qiu, X.; Lu, X.; Chen, L. Optical images rotation and reflection with engineered orbital angular momentum spectrum. Appl. Phys. Lett. 2018, 113, 161109. [Google Scholar] [CrossRef]
- Allen, L.; Beijersbergen, M.W.; Spreeuw, R.J.C.; Woerdman, J.P. Orbital angular momentum of light and the transformation of Laguerre–Gaussian laser modes. Phys. Rev. A 1992, 45, 8185. [Google Scholar] [CrossRef] [PubMed]
- Deng, S.; Zhu, Y.; Zhang, Y. Received probability of vortex modes carried by localized wave of Bessel–Gaussian amplitude envelope in turbulent seawater. J. Mar. Sci. Eng. 2019, 7, 203. [Google Scholar] [CrossRef]
- Liang, Q.; Zhang, Y.; Yang, D. Effects of turbulence on the vortex modes carried by quasi-diffracting free finite energy beam in ocean. J. Mar. Sci. Eng. 2020, 8, 458. [Google Scholar] [CrossRef]
- Zheng, Y.; Yang, D.; Qin, S.; Zhang, Y. Received probability of orbital-angular-momentum modes carried by diffraction- and attenuation- resistant beams in weak turbulent oceans. J. Mar. Sci. Eng. 2020, 8, 701. [Google Scholar] [CrossRef]
- Ren, Y.; Li, L.; Wang, Z.; Kamali, S.M.; Arbabi, E.; Arbabi, A.; Zhao, Z.; Xie, G.; Cao, Y.; Ahmed, N.; et al. Orbital angular momentum-based dpace division multiplexing for high-capacity underwater optical communications. Sci. Rep. 2016, 6, 33306. [Google Scholar] [CrossRef] [PubMed]
- Zhang, H.; Ding, W.; Fu, P.; Liu, X.; Gao, Y.; Gao, Y.; Cai, Y.; Yuan, Y. Reducing orbital angular momentum crosstalk of the Besse–Gaussian beam for underwater optical communications. J. OPT. 2020, 22, 065702. [Google Scholar] [CrossRef]
- Cheng, M.; Guo, L.; Li, J.; Huang, Q.; Cheng, Q.; Zhang, D. Propagation of an optical vortex carried by a partially coherent Laguerr–Gaussian beam in turbulent ocean. App. Opt. 2016, 55, 4642–4648. [Google Scholar] [CrossRef]
- Hu, Z.; Liu, H.; Xia, J.; He, A.; Li, H.; Du, Z.; Chen, T.; Li, Z.; Lü, Y. Propagation characteristics of the perfect vortex beam in anisotropic oceanic turbulence. App. Opt. 2020, 59, 9956–9962. [Google Scholar] [CrossRef] [PubMed]
- Yin, X.; Guo, Y.; Yan, H.; Cui, X.; Chang, H.; Tian, Q.; Wu, G.; Zhang, Q.; Liu, B.; Xin, X. Analysis of orbital angular momentum spectra of Hankel-Bessel beams in channels with oceanic turbulence. Acta Phys. Sin. 2018, 67, 114201. [Google Scholar]
- Liu, D.; Wang, G.; Yin, H.; Zhong, H.; Wang, Y. Propagation properties of a partially coherent anomalous hollow vortex beam in underwater oceanic turbulence. Opt. Commun. 2019, 437, 346–354. [Google Scholar] [CrossRef]
- Zhao, S.; Zhang, W.; Wang, L.; Li, W.; Gong, L.; Cheng, W.; Chen, H.; Gruska, J. Propagation and self-healing properties of Bessel–Gaussian beam carrying orbital angular momentum in an underwater environment. Sci. Rep. 2019, 9, 2025. [Google Scholar] [CrossRef] [PubMed]
- Liu, Z.; Chen, J.; Zhao, D. Experimental study of propagation properties of vortex beams in oceanic turbulence. App. Opt. 2017, 56, 3577–3582. [Google Scholar] [CrossRef]
- Cochenour, B.; Morgan, K.; Miller, K.; Johnson, E.; Dunn, K.; Mullen, L. Propagation of modulated optical beams carrying orbital angular momentum in turbid water. App. Opt. 2016, 55, C34–C38. [Google Scholar] [CrossRef]
- Yang, T.; Zhao, S. Random phase screen model of ocean turbulence. Acta Opt. Sin. 2017, 37, 1201001. [Google Scholar]
- Pan, S.; Wang, L.; Wang, W.; Zhao, S. An effective way for simulating oceanic turbulence channel on the beam carrying orbital angular momentum. Sci. Rep. 2019, 9, 14009. [Google Scholar] [CrossRef] [PubMed]
- Jin, R.; Wang, S.; Yang, P. Numerical simulation of laser propagation in ocean turbulence with the nonuniform fast Fourier transform algorithm. Opt. Eng. 2020, 59, 106109. [Google Scholar] [CrossRef]
- Li, Y.; Yu, L.; Zhang, Y. Influence of anisotropic turbulence on the orbital angular momentum modes of Hermite–Gaussian vortex beam in the ocean. Opt. Express 2017, 25, 12203–12215. [Google Scholar] [CrossRef] [PubMed]
- Yu, L.; Zhang, Y. Analysis of modal crosstalk for communication in turbulent ocean using Lommel–Gaussian beam. Opt. Express 2017, 25, 22565–22574. [Google Scholar] [CrossRef]
- Cheng, M.; Guo, L.; Li, J.; Zhang, Y. Channel capacity of the oam-based free-space optical communication links with Bessel–Gauss beams in turbulent ocean. IEEE Photonics J. 2016, 8, 7901411. [Google Scholar] [CrossRef]
- Wang, X.; Yang, Z.; Zhao, S. Influence of oceanic turbulence on propagation of Airy vortex beam carrying orbital angular momentum. Optik 2019, 176, 49–55. [Google Scholar] [CrossRef]
- Zhu, Y.; Zhang, Y.; Yang, G. Evolution of orbital angular momentum mode of the autofocusing Hypergeometric-Gaussian beams through moderate-to-strong anisotropic non-Kolmogorov turbulence. Opt. Commun. 2017, 405, 66–72. [Google Scholar] [CrossRef]
- Zhu, Y.; Zhang, L.; Hu, Z.; Zhang, Y. Effects of non-Kolmogorov turbulence on the spiral spectrum of Hypergeometric-Gaussian laser beams. Opt. Express 2015, 23, 9137–9146. [Google Scholar] [CrossRef] [PubMed]
- Wang, X.; Wang, L.; Zheng, B.; Yang, Z.; Zhao, S. Effects of oceanic turbulence on the propagation of Hypergeometric-Gaussian beam carrying orbital angular momentum. In Proceedings of the 2020 IEEE International Conference on Communications Workshops, Dublin, Ireland, 7–11 June 2020. [Google Scholar]
- Karimi, E.; Zito, G.; Piccirillo, B.; Marrucci, L.; Santamato, E. Hypergeometric-Gaussian modes. Opt. Lett. 2007, 32, 3053–3055. [Google Scholar] [CrossRef] [PubMed]
- Kotlyar, V.V.; Skidanov, R.V.; Khonina, S.N.; Soifer, V.A. Hypergeometric modes. Opt. Lett. 2007, 32, 742–744. [Google Scholar] [CrossRef] [PubMed]
- Kotlyar, V.V.; Kovalev, A.A. Family of hypergeometric laser beams. J. Opt. Soc. Amer. A 2008, 25, 262–270. [Google Scholar] [CrossRef]
- Kovalev, A.A.; Kotlyar, V.V.; Porfirev, A.P. Auto-focusing accelerating hyper-geometric laser beams. J. Opt. 2016, 18, 025610. [Google Scholar] [CrossRef]





Publisher’s Note: MDPI stays neutral with regard to jurisdictional claims in published maps and institutional affiliations. |
© 2021 by the authors. Licensee MDPI, Basel, Switzerland. This article is an open access article distributed under the terms and conditions of the Creative Commons Attribution (CC BY) license (https://creativecommons.org/licenses/by/4.0/).
Share and Cite
Wang, X.; Wang, L.; Zhao, S. Research on Hypergeometric-Gaussian Vortex Beam Propagating under Oceanic Turbulence by Theoretical Derivation and Numerical Simulation. J. Mar. Sci. Eng. 2021, 9, 442. https://doi.org/10.3390/jmse9040442
Wang X, Wang L, Zhao S. Research on Hypergeometric-Gaussian Vortex Beam Propagating under Oceanic Turbulence by Theoretical Derivation and Numerical Simulation. Journal of Marine Science and Engineering. 2021; 9(4):442. https://doi.org/10.3390/jmse9040442
Chicago/Turabian StyleWang, Xinguang, Le Wang, and Shengmei Zhao. 2021. "Research on Hypergeometric-Gaussian Vortex Beam Propagating under Oceanic Turbulence by Theoretical Derivation and Numerical Simulation" Journal of Marine Science and Engineering 9, no. 4: 442. https://doi.org/10.3390/jmse9040442
APA StyleWang, X., Wang, L., & Zhao, S. (2021). Research on Hypergeometric-Gaussian Vortex Beam Propagating under Oceanic Turbulence by Theoretical Derivation and Numerical Simulation. Journal of Marine Science and Engineering, 9(4), 442. https://doi.org/10.3390/jmse9040442
