Velocity Measurement of Coherent Doppler Sonar Assisted by Frequency Shift, Kalman Filter and Linear Prediction
Abstract
1. Introduction
2. Methods
2.1. Coherent Doppler Sonar
2.2. Coherent Doppler Sonar Assisted by Frequency Shift (CHDSF)
2.3. Error Analysis
2.4. Kalman Filter and Linear Prediction
3. Experiments
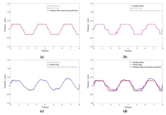
4. Results and Discussion
5. Conclusions
Author Contributions
Funding
Institutional Review Board Statement
Informed Consent Statement
Data Availability Statement
Conflicts of Interest
References
- Tatsumi, K.; Kubota, T.; Fujii, H.; Kouguchi, N.; Arai, Y. Ship’s Speed Information Standards in Docking/Leaving Maneuvering Based on Questionnaire Survey. J. Jpn. Inst. Navig. 2008, 118, 31–37. [Google Scholar] [CrossRef]
- Yokogawa Denshikiki Co. Ltd. General Specification of EML500. Available online: https://static.mackaycomm.com/wp-content/uploads/2016/12/Yokogawa_EML500_SpeedLog_spec_2002_Mackay.pdf (accessed on 20 December 2020).
- Tatsumi, K.; Fujii, H.; Kubota, T.; Okuda, S.; Arai, Y.; Kouguchi, N.; Yamada, K. Performance Requirement of Ship’s Speed in Docking/Anchoring Maneuvering. In Proceedings of the International Association Institute of Navigation IAIN 06, Jeju, Korea, 18–20 October 2006. [Google Scholar]
- Yoo, Y.; Nakama, Y.; Kouguchi, N.; Song, C. Experimental Result of Ship’s Maneuvering Test Using GPS. J. Navig. Port Res. 2009, 33, 99–104. [Google Scholar] [CrossRef]
- Arai, Y.; Hori, A.; Okuda, S.; Yamada, K. Strategic Application of Two Axes Velocities Information for Ship Maneuvering. In Proceedings of the IAIN Congress, Stockholm, Sweden, 27–30 October 2009. [Google Scholar]
- Aray, Y.; Pedersen, E.; Kouguchi, N.; Yamada, K. The Availability of VI-GPS for Ship-Operation. In Proceedings of the ANC 2010, Inchon, Korea, 4–6 November 2010. [Google Scholar]
- Beiter, S.; Poquette, R.; Filipo, B.S.; Goetz, W. Precision Hybrid Navigation System for Varied Marine Applications. In Proceedings of the IEEE 1998 Position Location and Navigation Symposium, Palm Springs, CA, USA, 20–23 April 1996. [Google Scholar]
- Lohrmann, A.; Hackett, B.; Roed, L.P. High resolution measurements of turbulence, velocity and stress using a pulse-to-pulse coherent sonar. J. Atmos. Ocean Tech. 1990, 7, 19–37. [Google Scholar] [CrossRef]
- Veron, F.; Melville, W.K. Pulse-to-pulse coherent Doppler measurements of waves and turbulence. J. Atmos. Ocean Tech. 1999, 16, 1580–1597. [Google Scholar] [CrossRef]
- Lhermitte, R. and Serafin, R. Pulse-to-pulse coherent Doppler sonar signal processing techniques. J. Atmos. Ocean Tech. 1984, 1, 293–308. [Google Scholar] [CrossRef]
- Zedel, L. Modeling pulse-to-pulse coherent Doppler sonar. J. Atmos. Ocean Tech. 2008, 25, 1834–1844. [Google Scholar] [CrossRef]
- Holleman, I.; Beekhuis, H. Analysis and correction of dual PRF velocity data. J. Atmos. Ocean Tech. 2003, 20, 443–453. [Google Scholar] [CrossRef]
- Joe, P.; May, P.T. Correction of dual PRF velocity errors for operational Doppler weather radars. J. Atmos. Ocean Tech. 2003, 20, 429–442. [Google Scholar] [CrossRef]
- Hay, A.E.; Zedel, L.; Craig, R.; Paul, W. Multi-frequency, Pulse-to-pulse Coherent Doppler Sonar Profiler. In Proceedings of the 9th IEEE/OES/CMTC Working Conference on Current Measurement Technology, Charleston, SC, USA, 17–19 March 2008. [Google Scholar]
- Zedel, L.; Hay, A.E. Resolving velocity ambiguity in multifrequency, pulse-to-pulse coherent Doppler sonar. IEEE J. Ocean. Eng. 2010, 35, 847–851. [Google Scholar] [CrossRef]
- Liu, P.; Kouguchi, N. Combined Method of Conventional and Coherent Doppler Sonar to Avoid Velocity Ambiguity. J. Mar. Acoust. Soc. Jpn. 2014, 41, 103–112. [Google Scholar] [CrossRef]
- Liu, P.; Kouguchi, N. Measurement Error Analysis of Combined Doppler Sonar Using Adaptive Algorithm. J. Mar. Acoust. Soc. Jpn. 2015, 42, 11–22. [Google Scholar] [CrossRef]
- Dillon, J.; Zedel, L.; Hay A., E. On the Distribution of Velocity Measurements From Pulse-to-Pulse Coherent Doppler Sonar. IEEE J. Ocean. Eng. 2012, 37, 613–625. [Google Scholar] [CrossRef]
- Burdic, W.S. Radar Signal Analysis; Prentice-Hall. Inc.: Upper Saddle River, NJ, USA, 1968; Chapter 5. [Google Scholar]
- Kalman, R.E. A New Approach to Linear Filtering and Prediction Problems. Trans. ASME J. Basic Eng. 1960, 82, 35–45. [Google Scholar] [CrossRef]
- Shi, Y.; Fang, H.; Yan, M. Kalman filter-based adaptive control for networked systems with unknown parameters and randomly missing outputs. Int. J. Robust Nonlin. 2010, 19, 1976–1992. [Google Scholar] [CrossRef]
- Thomas, S.; Hofmann, W.; Werner, R. Improving operational performance of active magnetic bearings using Kalman filter and state feedback control. IEEE T. Ind. Electron. 2011, 59, 821–829. [Google Scholar]
- Lefferts, E.J.; Markley, F.L.; Shuster, M.D. Kalman filtering for spacecraft attitude estimation. J. Guid. Control Dynam. 1982, 5, 417–429. [Google Scholar]
- Arata, K.; Kensaku, F.; Yoshio, I.; Yutaka, F. A noise reduction method based on linear prediction analysis. Electr. Commun. Jpn. 2003, 86. [Google Scholar]
- Ravi Kishore, T.; Deergha Rao, K. Efficient median filter for restoration of image and video sequences corrupted by impulsive noise. IETE J. Res. 2010, 56, 219–226. [Google Scholar] [CrossRef]









| Equipment | Type | Producer | Address |
|---|---|---|---|
| Waveform Generator | WF1973 | NF Corporation | Yokohama, Japan |
| Amplifier 1 | HAS4011 | ||
| Amplifier 2 | 5307 | ||
| Projector | TC2111 | Teledyne RESON Inc. | New York, NY, USA |
| Hydrophone | TC4034 | ||
| Data Acquisition Card | NI Pxie-5122 | National Instruments Co. | Tokyo, Japan (Branch Office) |
| 3D Moving Device | Super FA | THK Co. | Tokyo, Japan |
| Pulse Envelop | Square |
|---|---|
| Pulse Length | 0.6 ms |
| Water Tank Size | 1.5 m × 0.7 m × 0.7 m |
| Moving Accuracy | 1 mm/s |
| Carrier Frequency | 200 KHz |
| Pulse Interval | 0.02 s |
| Velocity | 0.300 m/s |
| Depth of Hydrophone and Projector | 0.20 m |
| Temperature | 10.8 ℃ |
| Sound Speed | 1450 m/s |
| Kalman Filter | Linear Prediction | ||
|---|---|---|---|
| Parameters | Values | Parameters | Values |
| SNR (dB) | STD (m/s) | |||
|---|---|---|---|---|
| Kalman Filter and Linear Prediction | Median Filter | Mean Filter | Without Filter | |
| 10.9 | 0.0056 | 0.0089 | 0.05 | 0.1711 |
| 7.7 | 0.0055 | 0.0031 | 0.059 | 0.1982 |
| 2.5 | 0.0061 | 0.0075 | 0.0723 | 0.1994 |
| 0.4 | 0.0063 | 0.0324 | 0.0839 | 0.229 |
| −3.6 | 0.0096 | 0.0999 | 0.0982 | 0.2378 |
| −7.9 | 0.0117 | 0.1298 | 0.1372 | 0.4459 |
Publisher’s Note: MDPI stays neutral with regard to jurisdictional claims in published maps and institutional affiliations. |
© 2021 by the authors. Licensee MDPI, Basel, Switzerland. This article is an open access article distributed under the terms and conditions of the Creative Commons Attribution (CC BY) license (http://creativecommons.org/licenses/by/4.0/).
Share and Cite
Liu, P.; Kouguchi, N.; Li, Y. Velocity Measurement of Coherent Doppler Sonar Assisted by Frequency Shift, Kalman Filter and Linear Prediction. J. Mar. Sci. Eng. 2021, 9, 109. https://doi.org/10.3390/jmse9020109
Liu P, Kouguchi N, Li Y. Velocity Measurement of Coherent Doppler Sonar Assisted by Frequency Shift, Kalman Filter and Linear Prediction. Journal of Marine Science and Engineering. 2021; 9(2):109. https://doi.org/10.3390/jmse9020109
Chicago/Turabian StyleLiu, Peng, Nobuyoshi Kouguchi, and Ying Li. 2021. "Velocity Measurement of Coherent Doppler Sonar Assisted by Frequency Shift, Kalman Filter and Linear Prediction" Journal of Marine Science and Engineering 9, no. 2: 109. https://doi.org/10.3390/jmse9020109
APA StyleLiu, P., Kouguchi, N., & Li, Y. (2021). Velocity Measurement of Coherent Doppler Sonar Assisted by Frequency Shift, Kalman Filter and Linear Prediction. Journal of Marine Science and Engineering, 9(2), 109. https://doi.org/10.3390/jmse9020109
