Propagation Properties of an Off-Axis Hollow Gaussian-Schell Model Vortex Beam in Anisotropic Oceanic Turbulence
Abstract
:1. Introduction
2. Theoretical Analysis
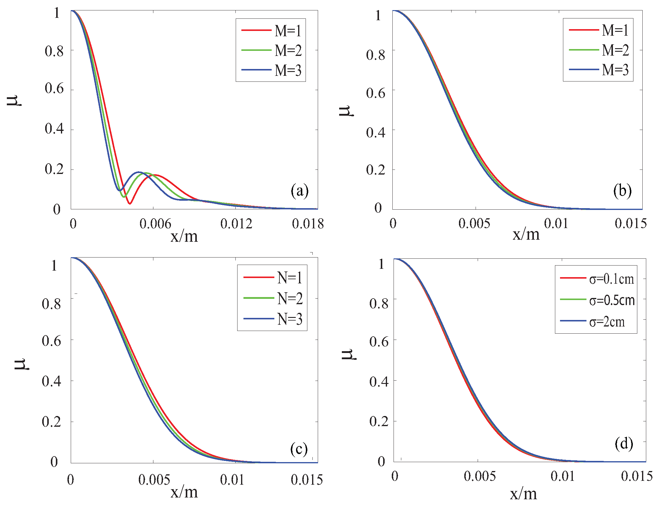
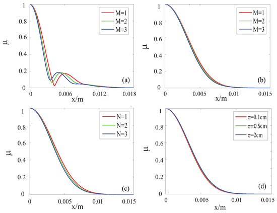
3. Numerical Simulations
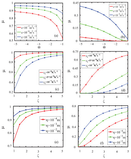
4. Discussion
5. Conclusions
Author Contributions
Funding
Institutional Review Board Statement
Informed Consent Statement
Data Availability Statement
Acknowledgments
Conflicts of Interest
References
- Wang, H.; Peng, X.; Liu, L.; Wang, F.; Cai, Y. Twisted elliptical multi-Gaussian Schell-model beams and their propagation properties. J. Opt. Soc. Am. A 2020, 37, 89–97. [Google Scholar] [CrossRef]
- Song, Z.; Han, Z.; Ye, J.; Liu, Z.; Liu, S.; Liu, B. Propagation properties of radially polarized multi-Gaussian Schell-model beams in oceanic turbulence. J. Opt. Soc. Am. A 2019, 36, 1719–1726. [Google Scholar] [CrossRef]
- Hu, Z.; Liu, H.; Xia, J.; He, A.; Li, H.; Du, Z.; Chen, T.; Li, Z.; Lü, Y. Propagation characteristics of the perfect vortex beam in anisotropic oceanic turbulence. App. Opt. 2020, 59, 9956–9962. [Google Scholar] [CrossRef]
- Ye, F.; Xie, J.; Hong, S.; Zhang, J.; Deng, D. Propagation properties of a controllable rotating elliptical Gaussian optical coherence lattice in oceanic turbulence. Results Phys. 2019, 13, 102249. [Google Scholar] [CrossRef]
- Peng, X.; Liu, L.; Cai, Y.; Baykal, Y. Statistical properties of a radially polarized twisted Gaussian Schell-model beam in an underwater turbulent medium. J. Opt. Soc. Am. A 2017, 34, 133–139. [Google Scholar] [CrossRef] [PubMed]
- Liu, D.; Wang, G.; Yin, H.; Zhong, H.; Wang, Y. Propagation properties of a partially coherent anomalous hollow vortex beam in underwater oceanic turbulence. Opt. Commun. 2019, 437, 346–354. [Google Scholar] [CrossRef]
- Sun, C.; Lv, X.; Ma, B.; Zhang, J.; Deng, D.; Hong, W. Statistical properties of partially coherent radially and azimuthally polarized rotating elliptical Gaussian beams in oceanic turbulence with anisotropy. Opt. Express 2019, 27, A245–A256. [Google Scholar] [CrossRef]
- Zhou, Y.; Zhao, D. Propagation properties of a twisted rectangular multi-Gaussian Schell-model beam in free space and oceanic turbulence. App. Opt. 2018, 57, 8978–8983. [Google Scholar] [CrossRef]
- Tamg, M.; Zhao, D.; Li, X.; Wang, J. Propagation of radially polarized multi-cosine Gaussian Schell-model beams in non-Kolmogorov turbulence. Opt. Commun. 2018, 407, 392–397. [Google Scholar] [CrossRef]
- Liu, Y.; Zhao, Y.; Liu, X.; Liang, C.; Liu, L.; Wang, F.; Cai, Y. Statistical characteristics of a twisted anisotropic Gaussian Schell-model beam in turbulent ocean. Photonics 2020, 7, 37. [Google Scholar] [CrossRef]
- Huang, X.; Deng, Z.; Shi, X.; Bai, Y.; Fu, X. Average intensity and beam quality of optical coherence lattices in oceanic turbulence with anisotropy. Opt. Express 2018, 26, 4786–4797. [Google Scholar] [CrossRef] [PubMed]
- Liu, D.; Wang, Y.; Yin, H. Evolution properties of partially coherent flattopped vortex hollow beam in oceanic turbulenc. App. Opt. 2015, 54, 10510–10516. [Google Scholar] [CrossRef] [PubMed]
- Cheng, M.; Guo, L.; Li, J.; Huang, Q.; Cheng, Q.; Zhang, D. Propagation of an optical vortex carried by a partially coherent Laguerre-Gaussian beam in turbulent ocean. App. Opt. 2016, 55, 4642–4648. [Google Scholar] [CrossRef] [PubMed]
- Liu, D.; Yin, H.; Wang, G.; Wang, Y. Propagation of partially coherent Lorentz-Gauss vortex beam through oceanic turbulence. App. Opt. 2017, 56, 8785–8792. [Google Scholar] [CrossRef] [PubMed]
- Chang, H.; Yin, X.; Cui, X.; Chen, X.; Su, Y.; Ma, J.; Wang, Y.; Zhang, L.; Xin, X. Performance analysis of adaptive optics with a phase retrieval algorithm in orbital-angular-momentum-based oceanic turbulence links. App. Opt. 2019, 58, 6085–6090. [Google Scholar] [CrossRef]
- Wang, X.; Wang, L.; Zhao, S. Research on Hypergeometric-Gaussian vortex beam propagating under oceanic turbulence by theoretical derivation and numerical simulation. J. Mar. Sci. Eng. 2021, 9, 442. [Google Scholar] [CrossRef]
- Wang, X.; Yang, Z.; Zhao, S. Influence of oceanic turbulence on propagation of Airy vortex beam carrying orbital angular momentum. Optik 2019, 176, 49–55. [Google Scholar] [CrossRef] [Green Version]
- Zhang, Y.; Guo, H.; Qiu, X.; Lu, X.; Ren, X.; Chen, L. LED-based chromatic and white-light vortices of fractional topological charges. Opt. Commun. 2021, 485, 126732. [Google Scholar] [CrossRef]
- Zhou, H.; Fu, D.; Dong, J.; Zhang, P.; Chen, D.; Cai, X.; Li, F.; Zhang, X. Orbital angular momentum complex spectrum analyzer for vortex light based on therotational doppler effect. Light Sci. Appl. 2017, 6, e16251. [Google Scholar] [CrossRef]
- Zhao, J.; Wang, G.; Ma, X.; Zhong, H.; Yin, H.; Wang, Y.; Liu, D. Intensity and coherence characteristics of a radial phase-locked multi-Gaussian Schell-model vortex beam array in atmospheric turbulence. Photonics 2021, 8, 5. [Google Scholar] [CrossRef]
- Xu, Y.; Shi, H.; Zhang, Y. Effects of anisotropic oceanic turbulence on the power of the bandwidth-limited OAM mode of partially coherent modified Bessel correlated vortex beams. J. Opt. Soc. Am. A 2018, 35, 1839–1845. [Google Scholar] [CrossRef]
- Wang, F.; Zhu, S.; Cai, Y. Experimental study of the focusing properties of a Gaussian Schell-model vortex beam. Opt. Lett. 2011, 36, 3281–3283. [Google Scholar] [CrossRef]
- Liu, X.; Wang, F.; Liu, L.; Zhao, C.; Cai, Y. Generation and propagation of an electromagnetic Gaussian Schell-model vortex beam. J. Opt. Soc. Am. A 2015, 32, 2058–2065. [Google Scholar] [CrossRef]
- Zhang, Y.; Liu, L.; Zhao, C.; Cai, Y. Multi-Gaussian Schell-model vortex beam. Phys. Lett. A 2014, 378, 750–754. [Google Scholar] [CrossRef]
- Tang, M.; Zhao, D. Propagation of multi-Gaussian Schell-model vortex beams in isotropic random media. Opt. Express 2015, 23, 32766. [Google Scholar] [CrossRef] [PubMed]
- Liu, H.; Chen, D.; Xia, J.; Lü, Y.; Zhang, L.; Pu, X. Influences of uniaxial crystal on partially coherent multi-Gaussian Schell-model vortex beams. Opt. Eng. 2016, 55, 116101. [Google Scholar] [CrossRef]
- Huang, Y.; Zhang, B.; Gao, Z.; Zhao, G.; Duan, Z. Evolution behavior of Gaussian Schell-model vortex beams propagating through oceanic turbulence. Opt. Express 2014, 22, 17723–17734. [Google Scholar] [CrossRef] [PubMed]
- Zheng, C. Fractional fourier transform for partially coherent off-axis Gaussian Schell-model beam. J. Opt. Soc. Am. A 2006, 23, 2161–2165. [Google Scholar] [CrossRef]
- Cai, Y.; Lin, Q.; Baykal, Y.; Eyyuboglu, H. Off-axis Gaussian Schell-model beam and partially coherent laser array beam in a turbulent atmosphere. Opt. Commun. 2007, 278, 157–167. [Google Scholar] [CrossRef]
- Chen, G.; Huang, X.; Xu, C.; Huang, L.; Xie, J.; Deng, D. Propagation properties of autofocusing off-axis hollow vortex Gaussian beams in free space. Opt. Express 2019, 27, 6357–6369. [Google Scholar] [CrossRef]
- Chen, G.; Xie, J.; Cai, D.; Sun, Q.; Deng, D. Periodic propagation properties and radiation forces of focusing off-axis hollow vortex Gaussian beams in a harmonic potential. Opt. Commun. 2019, 452, 211–219. [Google Scholar] [CrossRef]
- Li, L.; Huan, Y.; Wang, Y.; Hua, D.; Yang, X.; Liu, D.; Wang, Y. The effects of uniaxial crystal on off-axis hollow vortex Gaussian beams. Optik 2019, 194, 163133. [Google Scholar] [CrossRef]
- Ma, X.; Wang, G.; Zhong, H.; Wang, Y.; Liu, D. The off-axis multi-Gaussian Schell-model hollow vortex beams propagation in free space and turbulent ocean. Optik 2021, 228, 166180. [Google Scholar] [CrossRef]
- Song, Y.; Dong, K.; Chang, S.; Dong, Y.; Zhang, L. Properties of off-axis hollow Gaussian-Schell model vortex beam propagating in turbulent atmosphere. Chin. Phys. B 2020, 29, 064213. [Google Scholar] [CrossRef]
- Lu, L.; Ji, X.; Baykal, Y. Wave structure function and spatial coherence radius of plane and spherical waves propagating through oceanic turbulence. Opt. Express 2014, 22, 27112–27122. [Google Scholar] [CrossRef] [PubMed]
- Duntley, S. Light in the sea. J. Opt. Soc. Am. 1963, 53, 214–233. [Google Scholar] [CrossRef]
- Li, Y.; Zhu, W.; Wu, X.; Rao, R. Equivalent refractive-index structure constant of non-Kolmogorov turbulence. Opt. Express 2015, 23, 23004–23012. [Google Scholar] [CrossRef] [PubMed]
- Wolf, E. Unified theory of coherence and polarization of random electromagnetic beams. Phys. Lett. A 2003, 312, 263–267. [Google Scholar] [CrossRef]
- Li, Y.; Wolf, E. Radiation from anisotropic Gaussian Schell-model sources. Opt. Lett. 1982, 7, 256–258. [Google Scholar] [CrossRef] [PubMed]
- Andrews, L.C.; Phillips, R.L. Laser Beam Propagation Through Random Media; SPIE Press: Bellingham, WA, USA, 2005; Volume 152. [Google Scholar]
- Eyyuboglu, H.T.; Baykal, Y.; Sermutlu, E. Convergence of general beams into Gaussian-intensity profiles after propagation in turbulent atmosphere. Opt. Commun. 2006, 265, 399–405. [Google Scholar] [CrossRef]









Publisher’s Note: MDPI stays neutral with regard to jurisdictional claims in published maps and institutional affiliations. |
© 2021 by the authors. Licensee MDPI, Basel, Switzerland. This article is an open access article distributed under the terms and conditions of the Creative Commons Attribution (CC BY) license (https://creativecommons.org/licenses/by/4.0/).
Share and Cite
Wang, X.; Wang, L.; Zhao, S. Propagation Properties of an Off-Axis Hollow Gaussian-Schell Model Vortex Beam in Anisotropic Oceanic Turbulence. J. Mar. Sci. Eng. 2021, 9, 1139. https://doi.org/10.3390/jmse9101139
Wang X, Wang L, Zhao S. Propagation Properties of an Off-Axis Hollow Gaussian-Schell Model Vortex Beam in Anisotropic Oceanic Turbulence. Journal of Marine Science and Engineering. 2021; 9(10):1139. https://doi.org/10.3390/jmse9101139
Chicago/Turabian StyleWang, Xinguang, Le Wang, and Shengmei Zhao. 2021. "Propagation Properties of an Off-Axis Hollow Gaussian-Schell Model Vortex Beam in Anisotropic Oceanic Turbulence" Journal of Marine Science and Engineering 9, no. 10: 1139. https://doi.org/10.3390/jmse9101139
APA StyleWang, X., Wang, L., & Zhao, S. (2021). Propagation Properties of an Off-Axis Hollow Gaussian-Schell Model Vortex Beam in Anisotropic Oceanic Turbulence. Journal of Marine Science and Engineering, 9(10), 1139. https://doi.org/10.3390/jmse9101139
