Next Article in Journal
Modulation of Deep-Sea Acoustic Field Interference Patterns by Mesoscale Eddies
Previous Article in Journal
Trans-Dimensional Geoacoustic Inversion in Shallow Water Using a Range-Dependent Layered Geoacoustic Model
 
 
Font Type:
Arial Georgia Verdana
Font Size:
Aa Aa Aa
Line Spacing:
Column Width:
Background:
Article

Numerical Study of an Oscillating Submerged Horizontal Plate Wave Energy Converter on the Southern Coast of Brazil: Parametric Analysis of the Variables Affecting Conversion Efficiency

by
Rodrigo Costa Batista
1,
Elizaldo Domingues dos Santos
1,
Luiz Alberto Oliveira Rocha
1,
Mateus das Neves Gomes
1,2 and
Liércio André Isoldi
1,*
1
Graduate Program in Computational Modeling (PPGMC), Federal University of Rio Grande (FURG), Rio Grande 96203-900, RS, Brazil
2
Federal Institute of Parana (IFPR), Paranaguá 83215-750, PR, Brazil
*
Author to whom correspondence should be addressed.
J. Mar. Sci. Eng. 2025, 13(8), 1564; https://doi.org/10.3390/jmse13081564
Submission received: 18 July 2025 / Revised: 13 August 2025 / Accepted: 13 August 2025 / Published: 15 August 2025
(This article belongs to the Section Ocean Engineering)

Abstract

The utilization of ocean wave energy through environmentally sustainable technologies plays a pivotal role in the transition toward renewable energy sources. Among such technologies, the Submerged Horizontal Plate (SHP) stands out as a viable option for clean power production. This study focuses on the system’s application in a region on the southern coast of Brazil, identified as a potential site for future installation. To investigate this system, a three-dimensional numerical wave tank was developed to simulate wave behavior and hydrodynamic loads using the Navier–Stokes framework in the computational fluid dynamics software ANSYS FLUENT 2022 R2. The volume of fluid approach was adopted to track the free surface. The setup for wave generation in the numerical wave tank was verified against analytical solutions to ensure precision and validated under the SHP’s non-oscillating condition. To represent the oscillating condition, boundary conditions constrained motion along the x- and y-axes, allowing movement exclusively along the z-axis. A parametric analysis of 54 cases, with varying geometric configurations, wave characteristics, and submersion depths, indicated that the oscillating SHP configuration elongated perpendicular to wave propagation, combined with specific wave conditions, achieved a theoretical mean efficiency of 76.61%.

1. Introduction

The growing awareness regarding the relevance of renewable energy sources has intensified as society increasingly recognizes ecological concerns and the urgent need to shift toward cleaner and more efficient energy alternatives. In light of this demand, several governmental institutions worldwide have implemented measures to support this energy transition [1]. Moreover, it may be stated that such a process will not only serve the current population but also contribute to the stability and progress of future generations [2].
Ocean energy holds the potential to generate between 45,000 and 130,000 TWh of power [3], which could supply, and even exceed, the global electricity demand, which was 25,300 TWh according to 2021 statistics [4]. Furthermore, the energy carried by ocean waves can reach densities greater than 100 kW/m, surpassing the energy concentration levels found in solar and wind technologies [5].
With a coastline stretching approximately 10,900 km [6,7], Brazil holds substantial potential for harnessing wave energy. Even though its energy mix is largely based on renewables, particularly hydroelectricity, expanding the diversity of energy sources is a strategic move to minimize reliance on a single supply [8]. The coastal area of Rio Grande do Sul, which is the focus of this study, stands out for its 632 km of shoreline and an estimated wave energy potential of 38 kW/m [9]. Situated in the far south and distant from the equator, this area benefits from a stronger and more stable wave climate, which supports the advancement of wave energy conversion systems [10].
Currently, various projects are being developed to harness wave energy, each based on different energy conversion mechanisms [11]. Among the current options, the system for wave energy conversion based on the Submerged Horizontal Plate (SHP) design is particularly noteworthy [11,12]. This system features a horizontal plate positioned below the water surface, aligned with the sea level and fixed to the ocean floor. As waves travel over the SHP, they induce oscillations beneath it that drive a turbine integrated into the system, enabling the generation of electricity from wave motion [12], as depicted in Figure 1.
Such aforementioned systems are engineered to function under extreme marine conditions, requiring resistance to waves, ocean currents, and intense winds. In this scenario, waves assume a key function and represent one of the most decisive factors when designing offshore structures [13].
Within this aforementioned context, several researchers have advanced the field by performing 3D simulations in a Numerical Wave Tank (3D NWT). The Volume of Fluid (VOF) method was employed to represent the separation between immiscible fluids, such as air and water, in free-surface wave studies [14]. Subsequently, the numerical results were compared with experimental data, and the reliability and accuracy of the computational approach were assessed [15].
Computational analyses have been carried out to examine how the length (L) of a non-oscillating SHP (SHP-NO) influences its effectiveness as a system for harnessing wave power. The SHP-NO was assessed under varying gap sizes below the plate, along with different wave periods (T), regular wave heights (H), and distances (d) between the plate and the seabed. Results indicated that smaller gaps improved the device’s efficiency, with plate length playing a particularly decisive role [16].
Research has also aimed to investigate how regular waves interact with fixed, inclined plates extending above the waterline, emphasizing the role of resonance effects in producing significant hydrodynamic loads on the structure. Using Computational Fluid Dynamics (CFD) analysis, the investigation showed that the angle of the plate has a considerable impact on the excitation forces imposed on it. The main findings indicated: (i) forces resulting from fluid motion are predominantly governed by the vertical amplitude of the water surface in the flume, with the exception of scenarios involving resonance, where these loads can diminish to nearly zero; (ii) at gentler inclinations, resonance more strongly affects wave elevation, whereas steeper slopes tend to reduce this influence; and (iii) to ensure optimal energy harvesting, it is necessary to apply linear potential flow theory with caution when estimating the device’s power output [17].
Recently, studies were carried out to assess the efficiency of an SHP-NO system operating under regular wave conditions, accounting for various geometric setups and plate inclination angles. A computational study was conducted in a full-scale wave channel, using the VOF approach to represent the free surface and the Finite Volume Method (FVM) to obtain numerical solutions. The results showed that the SHP-NO’s efficiency is influenced by its inclination angle, with peak performance recorded at 15°, resulting in improvements of 11.95% for its breakwater (BW) function and 16.50% for wave energy conversion (WEC) [18].
Previous studies have primarily addressed the SHP-NO, the non-oscillating configuration of the device, in computational environments. This work, in contrast, uses the Navier–Stokes equations within a three-dimensional NWT to investigate the oscillatory behavior of the SHP (SHP-O). The VOF approach is employed to represent the separation between immiscible phases, such as air and water, in free-surface flow simulations. Numerical solutions related to transport processes were obtained through the FVM implemented in the ANSYS WORKBENCH 2022 R2. Boundary conditions were also defined to validate the SHP-O and enable a detailed analysis of its dynamic response. It is important to note that the turbine beneath the SHP was not included in the numerical model, as this study focuses specifically on the oscillatory motion of the SHP and the flow behavior beneath it, rather than on the turbine–fluid interaction.
Typically, computational models employed in WEC development account for factors such as site-specific conditions, environmental fluctuations, and wave or current dynamics. Nonetheless, simulations using the VOF approach often disregard device oscillations; this distinction is crucial to highlight the innovative contribution of the present work. By modeling the oscillatory motion of the SHP through boundary conditions that allow vertical displacement under wave action, this study provides a more realistic assessment of fluid–structure interaction and its effects on energy conversion efficiency. This approach bridges an identified gap in the literature, where most computational models neglect device oscillations, and establishes a methodological advancement over prior SHP-NO studies.
This study proposes the development of a three-dimensional computational approach for the SHP-O, planned for deployment off the coast of Rio Grande do Sul, at a site with 10 m depth [19]. A parametric investigation is conducted, considering variations in the SHP-O’s submergence levels and geometry, as well as in the properties of the incoming waves. The objective is to assess how these factors affect the energy conversion efficiency of the device, incorporating the influence of oscillatory motion and the variations in the analyzed parameters.
To this end, a 3D NWT was initially developed with dimensions consistent with those adopted in prior, well-established studies [12,20], allowing the assessment of the computational approach through reference data related to the SHP-NO. In the subsequent stage, the NWT was strategically resized to reproduce wave conditions specific to the intended study area, incorporating the SHP-O configuration. This adaptation enabled the numerical representation of SHP behavior under more realistic conditions, including the influence of motion induced by incoming waves.
Accordingly, an efficient and low-cost computational method is proposed for extracting energy from ocean waves, effectively contributing to the global energy transition.

2. Computational Modeling

To represent the physical processes involved in the study, the problem was modeled computationally using a set of numerical techniques, including the VOF and FVM methods, the specification of boundary conditions, and the numerical resolution of the Navier–Stokes equations. Simulations were carried out using the ANSYS WORKBENCH 2022 R2 platform, an integrated environment that supports geometry creation, mesh configuration, computational execution, and result analysis. This toolset enables precise and reliable investigations of complex physical phenomena. The simulation domain consists of a rigid SHP structure positioned at the center of a 3D NWT, with its geometric parameters, length ( L c ), height ( H c ) , width ( B c ), and water depth (h), defined in Table 1 and schematically illustrated in Figure 2.
The device and the wave parameters adopted for the SHP-NO configuration are based on the original experimental setup [20]. In the tests, regular waves were used with heights of H = 0.06 m and H = 0.10 m, and wavelengths λ of 3.46 m, 5.37 m, and 6.68 m. For the SHP-O configuration, a rigid SHP is modeled; however, vertical motion along the z-axis may occur as a result of the imposed boundary conditions.
Along the wave flume, four regions are defined with respect to the position of the SHP. Upstream of the device lies the wave generation zone, which extends over a distance of 2λ. The oscillation region, where the SHP is located, has a length represented by L. Downstream of the SHP, a stretch of 4λ separates its rear from the end wall of the channel [12]. Finally, at the far end of the 3D NWT, a damping zone, used only in the SHP-O configuration, is implemented, extending over 2λ, as shown in Figure 2.
In the SHP-O setup, regular waves were defined with heights ranging from 0.50 m to 1.50 m and wavelengths between 60.4 m and 70.4 m, assuming a constant period of T = 7.5 s. To generate these wave conditions, horizontal and vertical velocity components were applied at the upstream boundary of the domain, using a second-order wave formulation [21].
The second-order Stokes formulation was selected for its ability to represent the nonlinear characteristics of wave propagation under both intermediate and deep-water conditions. Moreover, the adopted wave height and period values are consistent with oceanographic data reported for the southern Brazilian shelf [22], where significant wave heights (Hs) predominantly range between 1.0 and 1.5 m and 1.5 and 2.0 m, with occasional occurrences below 1.0 m and above 2.0 m, while wave periods (Ts) are mainly concentrated between 6 and 8 s and 8 and 10 s. These patterns reinforce the representativeness of the adopted conditions and establish a realistic scenario for evaluating the performance of the SHP system.

2.1. Volume of Fluid Model (VOF)

The adopted mathematical and computational model considers the flow to be laminar [12,19,23,24,25,26,27], which allows for a simplified representation of the real flow dynamics. In the context of ocean wave propagation, the onset of turbulence is not distinctly defined. Studies emphasize the complexity involved in this transition, especially in wave motion through channels, where the distinction between laminar and turbulent flow remains uncertain and widely discussed in the literature [28,29,30]. The Reynolds number (Re) is commonly used as an indicator of flow regime changes. Generally, the flow in pipes is laminar when Re < 2000 and turbulent when Re > 2000–2300, with an intermediate transitional range, although these thresholds may vary depending on the source consulted [31]. Therefore, the lack of a universally accepted critical value for this parameter in wave flow simulations poses a limitation to accurately capturing turbulent behavior in such models [14]. This uncertainty, combined with the high computational cost of turbulence models, justifies the adoption of the laminar flow assumption in this study.
To simulate the interaction between two immiscible phases, water and air, the multiphase VOF method was used [14]. In this method, each phase is identified by its volume fraction. When water and air appear together in the same mesh cell, their properties are combined and referred to as the ‘mixture’. These mixture properties are calculated by weighting the characteristics of each fluid [32,33]. The numerical model applied in this study solves the general conservation equations of mass and linear momentum, along with the volume fraction equation for the water–air interface, which are standard formulations in multiphase flow modeling [34] and are here applied to simulate ocean wave behavior as follows:
ρ t +   · ( ρ v )   =   0
t ρ v   + · ρ v v   = p + · μ τ ̿ + ρ g + F
α t + ·   α v   =   0
where ρ refers to the mixture density (kg/m3), v denotes the flow velocity vector (m/s), and p indicates the pressure (N/m2). The parameter μ corresponds to the dynamic viscosity (Pa·s), and τ ̿ stands for the deformation-rate tensor (N/m2). The term α represents the volume fraction (dimensionless), while ρ g and F denote the buoyancy force and the external body forces, respectively (N/m3).
Grid elements with α w a t e r values ranging from 0 to 1 indicate the transitional zone separating water and air, where the corresponding air volume fraction is defined as α a i r = 1 α w a t e r . If α w a t e r equals 0, the element is entirely filled with air ( α a i r = 1 ), whereas a value of 1 for α w a t e r signifies that it is fully composed of water ( α a i r = 0 ). Considering the biphasic nature of the domain, the respective mean properties are evaluated using the equations provided below [35]:
ρ   =   α w a t e r · ρ w a t e r +   α a i r · ρ a i r
μ = α w a t e r · μ w a t e r + α a i r · μ a i r

2.2. Initial and Boundary Conditions

Figure 3 illustrates the boundary conditions defined in the 3D NWT for both SHP-NO and SHP-O device scenarios. The simulation starts with a pre-established water flow as the initial condition. To emulate the function of a wave generator, a controlled velocity field is applied along the upstream boundary (green plane in Figure 3), initiating wave propagation within the domain [36].
To simulate wave propagation in the 3D NWT, a custom-defined profile is introduced along the upstream surface, assigning directional velocities along the longitudinal (x) and vertical (z) axes [37]. In contrast, movement across the lateral axis (y) remains uniform, without significant variation across the domain, which confirms a flow regime largely confined to two spatial directions, specifically within the vertical-longitudinal plane (x,z) [37]. Under the assumptions of the Stokes model of second order, the contribution of the y-component is minimal and thus can be omitted from the analysis [12], therefore:
v x , z , t   =   0
Based on the second-order Stokes approach, the velocity components u (m/s) and w (m/s), which represent motion in the horizontal and vertical directions under regular wave conditions, as well as the surface elevation η (m), are determined by the following set of equations [21]:
u x , z   =   H 2   g k   c o s h k z + k h ω   c o s h k h c o s k x ω t + 3 4 H 2 2 ω k c o s h 2 k h + z s i n h 4 k h c o s 2 k x ω t
w x , z = H 2   g k   s i n h k z + k h ω   c o s h k h s i n k x ω t + 3 4 H 2 2 ω k s i n h 2 k h + z s i n h 4 k h s i n 2 ( k x ω t )
η x , t = H 2 cos k x ω t + π H 2 8 λ cosh k h s i n h 3 k h 2 + cosh 2 k h cos 2 k x 2 ω t
where H indicates the height of the wave (m), k stands for the wave number (m−1), and h defines the depth of the water column (m). The parameter T corresponds to the wave period (s), ω denotes the angular frequency (rad/s), and t refers to the time (s) [21]:
k   =   2 π λ    
ω = 2 π T    
Atmospheric pressure (Pabs = 101.3 kPa) is defined along the upper-left boundary and the top surface of the NWT, corresponding to the red planes in Figure 3. No-slip and impermeability constraints (u = w = 0 m/s) are enforced at the bottom boundary, lateral walls, and across all surfaces of the SHP structure, as illustrated by the gray planes. In turn, at the channel outlet, a hydrostatic profile is considered (blue plane in Figure 3), where the water height is assumed to be equal to the depth of the NWT, ensuring a stable pressure distribution that allows the waves to propagate naturally toward the outlet.
Under SHP-NO conditions, the structure remains fully stationary, with no movement occurring in any of the coordinate directions x (u), y (v), or z (w), as shown in Figure 3. In contrast, the SHP-O setup maintains zero displacement along the x and y axes, while enabling time-dependent motion along the z-axis. This vertical movement evolves with respect to both time (t) and spatial positioning (x and z), allowing the structure to oscillate freely. The applied constraints ensure the SHP is restricted horizontally, granting mobility solely in the vertical dimension.
u S H P x , z , t = v S H P x , z , t = 0
w S H P x , z , t
In the numerical model, the SHP-O mass is incorporated via a user-defined function (UDF). The device is constrained to move solely in the vertical direction (z-axis), while translational motions along x and y, as well as any rotational degrees of freedom, are suppressed. This configuration ensures that the SHP-O undergoes only vertical oscillations, enabling a precise assessment of its interaction with regular wave patterns.
According to Archimedes’ principle [38], a submerged body reaches equilibrium when its weight is balanced by the force exerted by the displaced fluid. In this context, the buoyant force ( F b ) can be computed using the following expression:
F b = ρ w a t e r · V O b j e c t · g
where ρ w a t e r = 998.2 kg/m3 represents the density of fresh water, V O b j e c t is the submerged volume, and g is gravitational acceleration. In this study, the ρ w a t e r was adopted to match the laboratory conditions used during model calibration and validation. Although seawater density along the Brazilian coast ranges from 1022 to 1026 kg/m3, this ≈2.5% difference is minor and has negligible impact on buoyancy calculations and hydrodynamic estimates. Moreover, since the aim of the research involves a comparative analysis of different SHP configurations under identical fluid conditions, using a consistent density ensures that all results are equally affected. Therefore, the relative performance among configurations remains valid regardless of the density applied. Nevertheless, we acknowledge that using seawater density could improve physical representativeness and intend to address this in future work. Given these considerations, the system reaches equilibrium when forces are balanced as follows:
P o b j e c t   =   m O b j e c t · g
and thus:
m o b j e c t   =   ρ w a t e r · V O b j e c t
To efficiently attenuate wave energy without requiring changes to the computational geometry, a numerical damping zone incorporating a source term is implemented. This strategy streamlines the modeling process and lowers computational demands by inserting damping components directly into the momentum equations (Equation (2)) within a predefined section of the domain (see Figure 2). The formulation of this damping term is given by [39]:
S   =   C 1 ρ V + 1 2 C 2 ρ v v 1 z z f s z e z f s x x F x I x F
Based on the fluid properties and the parameters defined for the beach model, ANSYS FLUENT automatically assigned the linear and quadratic damping coefficients, with C 1 equal to 22.37 s−1 and C 2 equal to 4.15 m−1. These values were retained because they were close to those recommended by [39], which suggest C 1 = 20 s−1 and C 2 = 0 m−1. The fluid velocity v is calculated at the point (x, z), where x corresponds to the horizontal direction and z to the vertical, while ρ denotes the fluid density. The average coordinates of the free surface and the bottom are represented by z f s and z e , respectively. The initial and final points of the numerical beach, x I and x F , define the extent required for effective energy dissipation. The term S represents the absorption of momentum.
The determination of the reflection coefficient was based on free-surface elevation (η) measurements conducted in a 372.4 m long NWT, in the absence of the SHP. Data were collected at points P1 and P2, located 5 m and 367.4 m from the inlet of the NWT, respectively, with the latter positioned in the region corresponding to the numerical beach. The wave amplitudes obtained were 0.6 m at P1 and 0.015 m at P2. The resulting reflection coefficient was 0.025, demonstrating the effectiveness of the numerical beach in dissipating incoming wave energy and mitigating boundary reflections.
Static pressure ( p ) was selected as the model verification parameter due to its practical relevance and solid theoretical foundation. This choice is also supported by the feasibility of obtaining direct measurements on the SHP-O, which enables a reliable comparison with analytical results derived from fundamental fluid mechanics principles [40].
p = ρ · g · h

2.3. Numerical Methods

Table 2 compiles the numerical setup defined for the simulation, which is based on approaches widely recognized in the scientific literature [12,27,41].
During the simulation stage, the same conditions adopted during the wave propagation validation phase (Table 2) were retained. To analyze the behavior of the SHP-O under dynamic conditions, the model included a dynamic mesh, which allowed for continuous adaptation of the grid using refinement strategies such as smoothing and remeshing. In sequence, the Six Degrees of Freedom (6DOF) approach was applied, enabling the representation of both translational and rotational movements in all directions of the system. The process concludes with the activation of the implicit update method, ensuring that motion equations are solved iteratively at each time step [42].
The implicit formulation offers greater numerical stability compared to the explicit approach [43]. However, this advantage entails higher computational cost, as it requires the simultaneous resolution of linear expressions during each simulation cycle. The boundary conditions representing the oscillatory behavior of the SHP-O were implemented using a UDF [44], applied within the ANSYS FLUENT environment.
In this study, a UDF was used to reproduce the floating response of the SHP-O under regular incident waves. Essential modeling parameters were considered, including the structure’s mass, translation constraints along the horizontal axes (x and y), and rotation limitations, allowing only vertical variation along the z-axis. To simplify the simulation, nonlinear effects and turbulence were neglected, which reduced computational cost but may have affected the model’s accuracy in more complex wave–structure interaction scenarios. A specific routine was developed within the UDF to represent a system with a single degree of freedom (SDOF), an approach widely employed to characterize dynamic systems with only one mode of motion [45].
In the adopted model, the mass and inertia properties with respect to the principal axes were defined, together with constraints applied to translational and rotational motions in the x, y, and z axes. These aspects are essential to accurately represent the system’s overall response. The inertia values were set to zero to prevent any rotation around the principal axes, ensuring that the mass distribution does not generate such motion. For the SHP-O, only vertical motion on the z-axis is permitted, while all other mobility modes remain restricted.
It is important to highlight that, although there are no experimental data specifically for the configuration SHP-O, the numerical model employed in this study was previously validated in similar simulations involving floating bodies subjected to wave action, showing results consistent with experimental observations [27]. This prior validation supports the adopted approach, reinforcing its reliability for analyzing the dynamic behavior of the SHP-O.
The total simulation time and the number of generated waves were defined according to the objectives of each stage of the study. For the preliminary analysis of wave propagation and the validation of the SHP-NO configuration, a reduced number of waves was sufficient, allowing for the evaluation of numerical stability and model accuracy. In contrast, the verification of the SHP-O motion required a longer simulation period to capture both the transient phase, characterized by the system’s adjustment shortly after wave initiation, and the steady-state regime, in which the oscillations stabilize and become repetitive. In the parametric study, the simulation duration was defined to balance computational cost with the need to adequately represent the dynamic behavior under the different configurations analyzed.
Thus, for the numerical simulations carried out to verify wave propagation and the validation of the SHP-NO (see Table 1), a total of 16,500 time steps of 0.01 s were applied, resulting in 16.5 s of analysis (11 waves). To verify the motion of the SHP-O (see Table 1), 20,000 time steps of 0.0075 s were used, resulting in 150 s of analysis (20 waves). The simulation run times were approximately 24 h and 84 h, respectively.
The numerical runs were executed on a workstation equipped with an Intel Core i5 processor, 32 GB of RAM, and a 1 TB hard drive, configured for high-demand calculations and large-scale data handling. Each run required about 60 h, leading to an accumulated total of approximately 3240 h for all analyzed cases. The parametric investigation assessed 54 distinct configurations of the SHP-O, derived from an initial model with dimensions L = 10.0 m, B = 8.0 m, and e = 0.32 m. Variations included changes in geometry, submersion level, and incident wave conditions. For each case, the simulation spanned 90 s, equivalent to 12 waves, divided into 12,000 increments of 0.0075 s.

2.4. Numerical Errors

In examining the static pressure on the SHP-O, the center of gravity was selected as the reference point for the measurements. This choice allowed numerical simulation results to be related to those produced by an analytical approach grounded in Bernoulli’s equation. Although the theoretical method can achieve high accuracy under idealized conditions, it does not account for phenomena occurring in real situations, such as fluid–structure interaction and energy dissipation. These effects, absent from the analytical formulation, can be represented in numerical simulations, which are, in turn, subject to errors arising from discretization or formulation. Therefore, quantifying and properly interpreting these errors becomes an essential step to keep the study’s conclusions consistent and reliable.
The numerical error (E) is obtained from the difference between the exact value derived from a theoretical formulation (ϕ) and the corresponding numerical solution ( ϕ n ) produced by the simulation model. In this study, this measure represents the deviation between the theoretically predicted value and that obtained in the simulation for the analyzed variable [46], as expressed in the following relation:
E ϕ   =   ϕ ϕ n
The relative error E r , derived from Equation (19), is a parameter widely employed to indicate the percentage difference between values obtained from experimental measurements or numerical simulations and a previously established reference value.
E r = ( ϕ ϕ n ) ϕ 100   ( % )
Selecting an error indicator is a key step in assessing model performance. Among the various options available [47,48,49], including the Infinity Norm Difference (N) and the Root Mean Square (RMS), this work employed both the Root Mean Square Error (RMSE) and the Mean Absolute Error (MAE) due to their widespread use and their capability to identify differences between solutions.
R M S E = 1 n i = 1 n ( ϕ i ϕ n ) 2
M A E = 1 n i = 1 n | ϕ i ϕ n |
where n refers to the total number of samples, ϕᵢ represents the outcome from the analytical solution for each sample i, and ϕ n indicates the outcome computed by the numerical model for the same sample.
The definition of error metrics considered the purpose of each analysis. The RMSE was adopted for evaluating the simulated wave, given its higher sensitivity to significant discrepancies and its ability to highlight relevant variations between profiles. The MAE was applied to measure differences in a balanced way, without giving disproportionate weight to large deviations. The relative error ( E r ) was used to compare p values obtained from analytical and numerical solutions in the SHP-O model, expressing these differences as percentages, which supports the interpretation of variables with different magnitudes.

2.5. Domain Discretization

In CFD, domain discretization is a decisive stage, as it directly affects the numerical stability and accuracy of the results. In this study, the domain was developed using ANSYS WORKBENCH 2022 R2, with the geometry module employed for shape definition and the Mesh module for grid creation. Once completed, the mesh was exported in a format compatible with ANSYS FLUENT, where the necessary settings for running the simulations and processing the analyses were established.
Based on previous research [12,20], the SHP-NO was initially placed at the center of the 3D NWT, using a mesh distinct from that adopted in [12], composed of 256,196 triangular elements (Figure 4). Although triangular meshes may lead to increased errors in the FVM due to their odd number of faces, their use is justified by the superior adaptability they offer when discretizing complex geometries [50]. While the detailed convergence and mesh quality analysis is presented solely for the SHP-O model, equivalent procedures were also applied to the SHP-NO configuration.
In the subsequent stage, for the SHP-O, the mesh was generated using the Triangle Surface Mesher algorithm, known for its efficiency in producing high-quality triangular meshes [51]. This method is suitable for complex and irregular geometries, as well as free surfaces, frequently found in CFD studies [52]. It starts with a simplified initial mesh and progressively refines areas requiring higher resolution, ensuring the preservation of geometric features throughout the domain.
To investigate how spatial discretization influences the numerical outcomes, a structured mesh refinement assessment was carried out for the 3D NWT domain, 372.40 m in length. Three mesh setups were considered: a lower-density mesh with about 30% fewer elements (565,634), a reference mesh (808,048), and a higher-density mesh with roughly 30% more elements (1,050,462). All simulations used identical boundary conditions, mathematical formulation, and convergence criteria. Velocity, pressure, and displacement were tracked and compared among the configurations, showing variations of 2.18% between the refined and reference meshes, and 3.81% between the coarse and reference meshes. These results confirm mesh independence of the solution, supporting the selection of the reference mesh for this study.
Once the mesh was generated, its quality was examined using the skewness metric (β) in the Mesh module. This parameter measures the degree to which cells deviate from their optimal shape, serving to evaluate the mesh’s capability to faithfully represent the original domain geometry [53]. Lower β values correspond to higher geometric fidelity, which in turn supports improved numerical stability and result accuracy.
For the SHP-O model, the setup followed Case 1, placing the device at the channel’s center and submerging it to a depth of 1 m, as shown in Figure 5.
The SHP-O mesh was mostly composed of well-shaped elements, ensuring numerical stability and geometric accuracy (Table 3).
A mesh quality assessment based on the β parameter was conducted within ANSYS FLUENT, allowing a comprehensive evaluation of the element distribution throughout the computational domain. The analysis revealed that β values ranged from 0.000149 to 0.836100, confirming that the generated mesh meets the standards required for accurate numerical simulations.

2.6. Parameters of Interest

The subdivisions of the 3D NWT for the SHP-NO condition were defined based on an experimental study by Orer and Ozdamar [20]. For the SHP-O condition, the channel subdivisions were established from a consolidated study developed by Seibt et al. [12] and are divided into three regions (Figure 6).
The computational domain was segmented into three distinct regions: Region 01 for wave generation (2λ), Region 02 containing the SHP device (variable length L), and Region 03 at the downstream end of the NWT (4λ), which includes the numerical beach from x I to x F (2λ). To collect the data needed for calculating the theoretical efficiency ϕ of the SHP-O, four numerical probes ( S 0 to S 3 ) were installed (see Figure 6).
In the SHP-NO setup, two probes were employed, placed at locations equivalent to S 0 and S 1 in the SHP-O model but within a different configuration of the 3D NWT. Considering SHP-O, planar probes S 0 and S 3 , located at 5 m and 367.4 m respectively, monitored η. The linear monitor e S 1 ,   extending from the surface to the channel bottom and crossing the device center, recorded u. Probe S 2 , associated with the submerged device initially at 1 m depth, provided cz and p .
The SHP efficiency parameter φ was calculated based on the theoretical framework [20,54] and simulation data, following the procedures outlined therein. Efficiency was determined as the ratio between the average power available in the flow P p and the average wave power P w :
φ   = P P P w
Calculation of P w accounts for the power of regular waves incident on the WEC, employing second-order Stokes wave theory, and is expressed as [55]:
P w   =   1 16   ρ g H 2 ω k 1 +   2 k h s e n h   2 k h 1 + 9 64 H 2 k 4 h 6
Based on the available data, P p , is calculated by [56,57]:
P P   =   1 T t t + T h h d p + 1 2 ρ u 2 u · b p · d z · d t
The behavior of the SHP-O under wave action was characterized through hydrodynamic parameters considered in the formulation of Equations (24) and (25). The static pressure (p) exerted on the structure was recorded based on its oscillatory motion, with measurements referenced to the center of gravity. The dynamic pressure component was calculated using the expression (ρu2/2), where u is the flow velocity beneath the device. This velocity was measured with the aid of the linear monitoring sensor S 1 . Other relevant variables include the wave period (T), time (t), the submersion depth of the SHP-O (d), total water depth (h), and the width of the device ( b p ).

3. Results

3.1. Numerical Model Verification

The verification procedure of the numerical wave model began with the setup, in the 3D NWT, of a scenario involving the propagation of regular waves through the channel, without the inclusion of the SHP. For this stage, parameters defined in the reference study [20] were applied: H = 0.06 m, λ = 3.46 m, h = 0.60 m, and T = 1.5 s. Measurements from probe S 0 , shown in Figure 6, are presented in Figure 7, along with the comparison to the time series analytically obtained using Equation (9).
To analyze wave propagation, a simulation time of 16.5 s was adopted, corresponding to 11 full wave periods. The numerical results, based on laminar flow and second-order Stokes wave theory, showed discrepancies compared to the analytical solution.
The variations observed are the result of the influence of the lateral boundaries of the 3D NWT, which interacted with the waves and generated additional disturbances not considered in the theoretical model. Since the analytical formulation assumes ideal conditions, the occurrence of such effects altered the propagation pattern. To quantify the difference between the approaches, the Root Mean Square Error (RMSE) was calculated over the simulation period, with the results presented in Table 4 and graphically illustrated in Figure 7.
The variation in RMSE values across successive time intervals reveals an evolving dynamic in the numerical model’s performance. Between 0 and 5 s, the RMSE was highest at 0.007422 m, indicating an initial phase of adaptation, likely influenced by wave generation processes and boundary effects. During the next interval (5 to 10 s), the RMSE dropped to 0.004092 m, suggesting a period of improved alignment with the analytical solution. However, in the final segment (10 to 16.5 s), a slight increase to 0.005229 m was observed. This pattern points to a transitional adjustment early in the simulation, followed by greater numerical stability and accuracy as wave propagation.
The RMSE calculated using Equation (21) for the entire simulation period, from 0 to 16.5 s, was 0.57%. This result confirms a good level of agreement between the curves obtained numerically and those derived from the analytical formulation, despite the lower peaks of the numerical curve remaining below the values predicted by Equation (9). Once the initial transient effects dissipated, the model exhibited stable behavior. The early oscillations, caused by initial perturbations and the internal dynamics of the 3D NWT, had a minor influence on accuracy and gradually diminished, leading to solution convergence.
In accordance with the objectives of this study, an acceptable error limit of 2% was set to validate the performance of the numerical model. This value was chosen to fully cover the highest RMSE recorded during the simulation, 0.57%, and to allow for potential variations over time. The selection of this criterion was based on the observed trend of decreasing deviations over the iterations and the high correspondence between the curves generated by the simulation and those obtained from the theoretical formulation, ensuring that the model accurately represents the expected physical behavior.
Imposing the condition v (x, z, t) = 0 on the lateral surfaces of the 3D NWT did not completely remove the indirect effects of these boundaries. This residual influence, arising from the relationship between flow behavior and the constraints imposed by the boundary conditions, accounts for the differences observed between the maximum and minimum values from the numerical simulation and those calculated using the theoretical formulation.
The dimensions and geometric configuration of the 3D domain can favor resonance phenomena that locally increase or reduce wave amplitudes. This behavior combines with the partial reflection of energy by lateral boundaries, which produces constructive and destructive interference, altering crest and trough magnitudes. The influence of these boundaries extends to the pressure field in regions close to the domain edges, redistributing wave energy and modifying both its propagation and the amplitudes obtained in the numerical simulation. Constraints associated with spatial and temporal refinement may lead to accumulated errors, and even high-resolution meshes may not guarantee absolute accuracy of the results.

3.2. Validation of the Numerical Model

An experimental investigation involving an SHP-NO [20], later reproduced through numerical simulation [12], reported an uncertainty of ±2.00% for the highest flow speed beneath the device, measured opposite to the wave propagation direction (−x) at the central region between the equipment and the channel bed. These data were used in the present research to validate the computational model, with the analyzed conditions and corresponding velocity values shown in Table 5.
The analysis of the relative percentage errors presented in Table 5 reveals that the numerical results, ranging from 11.65% to 10.28%, are consistent with the values of 11.67% and 11.74% reported in a consolidated study [12]. Notably, Case 3, associated with the highest wave height, showed a relative error of 10.64%, demonstrating the model’s ability to adequately represent the flow even under higher energy conditions. These results indicate good agreement between the numerical and experimental velocities, with relatively small differences between the approaches.

3.3. Verification of the Vertical Motion of the SHP-O

The verification of the vertical motion (along the z-axis) of the SHP-O, with dimensions L = 10.0 m, B = 8.0 m, and e = 0.32 m, was performed in the 3D NWT with length L c   = 372.40 m. The structure was centered and submerged at a depth of 2.0 m, which corresponds to one of the submersion levels (1.0, 1.5, and 2.0 m) considered in the subsequent parametric analysis. Regular waves with a height of H = 1.0 m and a wavelength of λ = 60.4 m were applied to induce motion in the structure.
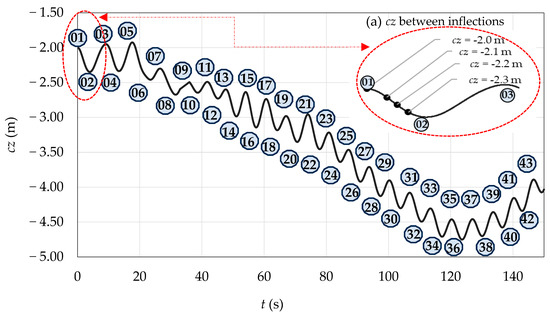
In the case with 20 waves (equivalent to 20,000 time steps with a 0.0075 s interval), the oscillatory motion of the SHP-O along the vertical axis (cz) was evaluated. The device started its movement from −2.16 m, corresponding to the vertical position of its center, while the top surface of the plate was submerged 2.0 m relative to the free surface. During the first 20 s, the motion ranged between −2.5 m and the initial level. After this period, the system began a downward oscillation, reaching −3.0 m at t = 56 s and −4.0 m at t = 96 s. The maximum submersion occurred at t = 120 s, reaching −4.75 m, representing a variation of 2.59 m. From that moment, the SHP-O began an upward oscillatory movement toward its original position, as illustrated in Figure 8.
As expected, due to the imposed displacement constraints in the x and y axes, no significant motion was observed in these directions. However, minor residual displacements occurred, possibly due to numerical precision limitations inherent in the solver. Figure 9 and Figure 10 show that, apart from this negligible residual magnitude, no significant variations are observed in the respective components.
The dynamic model verification was carried out by comparing p values obtained analytically, based on Equation (18) derived from Bernoulli’s principle, with those obtained numerically. For this analysis, 43 inflection points were used, corresponding to changes in direction during the upward or downward motion of the SHP-O in its oscillatory movement (see Figure 8).
From the established inflection points, cz values were taken at 0.1 m intervals along the sections between them (see highlight (a) in Figure 8), resulting in 134 SHP displacement records. These data enabled the analytical calculation of p . Application of Equation (20) indicated time-dependent variations in E r between the numerical results and those obtained analytically for p .
During the analyzed interval, the percentage variation alternated between positive and negative values. The MAE, computed according to Equation (22), was approximately 6.89%, indicating that, on average, the numerical p values deviated by about 6.89% from those obtained through the analytical formulation. Both series exhibited consistent temporal behavior, as illustrated in Figure 11.
Therefore, the computational model for the SHP-O was considered verified based on the results presented in Figure 11.

3.4. Parametric Analysis of Variables Influencing SHP-O Efficiency

To systematize the investigation of hydrodynamic effects on the SHP-O device, the study began with a previously validated geometry, from which different geometric configurations were adjusted. The analyzed geometries were grouped into three categories according to the L/B proportion: elongated in the direction of wave propagation, with L/B > 1.00 (x-direction); square-shaped, with L/B = 1.00; and with their longest dimension arranged orthogonally to the wave travel path, with L/B < 1.00 (y-direction).
The configurations elongated in the x-direction have a greater length than width, resulting in a narrower form, while the square configurations have proportional dimensions. The geometries elongated in the y-direction are characterized by a predominant width. This geometric classification facilitates comparison of the results, allowing for a systematic analysis of how different length-to-width ratios, in combination with thickness (e), influence the device’s hydrodynamic behavior.
Thus, it becomes possible to evaluate the impact of SHP-O geometry on variables such as vertical displacement, static pressure, and flow velocity, contributing to the understanding of system efficiency under different conditions. The classification for each SHP-O configuration based on the L/B ratio is presented in Table 6.
Numerical simulations were carried out to examine the hydrodynamic response of the SHP-O converter under varying operational scenarios. Systematic changes in its dimensions L, B, and e produced multiple geometric configurations, each evaluated for three H values and three submersion levels, resulting in a total of 54 simulated cases (Table 7).
Based on this aforementioned geometric classification (see Table 6), it was possible to evaluate how each configuration influences the device’s performance in terms of energy conversion. The conversion efficiency φ is defined as the ratio between the average available flow power P P (W) and the average wave power Pw (W) (Equation (23)). In this study, Pw was obtained analytically per unit crest width (W·m−1) and converted to Watts by multiplying it by the device width bp (m), which corresponds to the effective wave crest width that directly interacts with the device. Pw is obtained analytically and is therefore free from numerical error; the uncertainty in φ is directly associated with the variables used in the calculation of P P , which are derived from the pressures in the flow. Considering that the MAE associated with these variables was 6.89%, this same level of uncertainty propagates to φ , remaining within an acceptable range and without compromising the observed trends or the study’s conclusions.
Figure 12 presents the values of the average theoretical efficiency ( φ ¯ ) for the 54 cases (see Table 7). A clear variation in φ ¯ is observed, ranging from values below 5% (Case 43) in some high-wave-energy conditions to peaks exceeding 70% (Case 48) in favorable configurations. A significant variation in efficiency is observed among the tested configurations, indicating that the SHP-O geometry, combined with wave characteristics and submersion depth, has a direct influence on energy harvesting performance.
Figure 12 shows that in certain situations, even with high values of P w , P p does not increase proportionally (Case 45), possibly due to the submersion depth, the influence of the device on the velocity field, or nonlinear flow effects. On the other hand, there are scenarios in which specific geometries result in greater energy capture, even under waves with lower incident energy, indicating that certain configurations (Cases 28 and 48) favor energy transfer to the structure, with φ ¯ equal to 44% and 76%, respectively. These results reinforce the importance of parametric analysis for identifying more efficient configurations and, consequently, for optimizing the converter’s performance.
Beginning the parametric analysis with SHP-O devices elongated in the x-direction, Cases 1 to 18 (see Table 7), Figure 13 presents the comparison between cz and the initial submersion depth of the device. In Cases 1 to 9, the SHP-O has e = 0.32 m, while in Cases 10 to 18, it is reduced to e = 0.16 m, with the remaining dimensions (10 × 8 m) held constant. In general, it is observed that cz assumes values greater than the submersion depth in most cases, indicating that the SHP-O undergoes significant vertical displacements in response to the action of incident waves. There is also a clear trend of increasing cz with higher wave heights H, with the highest values recorded in the cases with H = 1.5 m (cz = 2.4 m). The reduction in e results in a slight decrease in cz (≈12%), although the overall behavior remains similar between the two geometric configurations.
Regarding φ ¯ , the highest values were observed both in configurations with the SHP-O featuring the larger e and in those with the reduced e, when subjected to waves with H = 0.5 m. Notably, Cases 3 and 12 reached φ ¯ values of approximately 38% and 41%, respectively, as illustrated in Figure 14.
In Figure 14, it was also observed that for SHP-O devices elongated in the x-direction, as H increases, cz tends to increase; however, φ ¯ tends to decrease, for example, Case 7 with φ ¯ of 6.4%. This behavior is associated with significant changes in p in the device, which directly affect P p , while Pw also increases simultaneously. In cases with H = 1.5 m, for example, φ ¯ does not exceed 10%, despite showing the highest cz values (≈2.3 m).
Next, when considering square SHP-O devices, it is noted that cz is related to both the initial submersion depth and the wave height H in Cases 19 to 36 (see Table 7). In general, the greater the value of H, the greater the observed cz, especially in cases with deeper submersion (Figure 15). For instance, Case 27 (H = 1.5 m) reached cz = 2.2 m. Additionally, Cases 19 to 27, with e = 0.32 m, tended to exhibit slightly higher cz (≈15%) values than Cases 28 to 36, with e = 0.16 m. This behavior was also observed in SHP-O devices elongated in the x-direction, showing that e plays a determining role in the system’s hydrodynamic behavior. This pattern indicates that thicker square structures, when subjected to waves with higher H in deeper submersion conditions, are prone to significant vertical displacements, possibly due to the larger interaction area with the pressure field generated by the waves.
Although the cases with higher cz are generally associated with greater wave heights H and submersion depths, φ ¯ tends to be higher when cz is relatively lower, under waves with H = 0.5 m. For example, Case 28 achieved φ ¯ = 44.01%, while Case 27, despite its high cz, dropped to φ ¯ = 8.77%, suggesting that excessive oscillation may compromise the device’s performance (Figure 16).
Based on Figure 16, in Cases 19 to 27 (e = 0.32 m), φ ¯ was, in most cases, lower than that of Cases 28 to 36 (e = 0.16 m), indicating that thicker plates, despite exhibiting higher cz, do not necessarily result in higher φ ¯ . In the cases with H = 1.5 m, φ ¯ dropped sharply, reaching values below 10% for both thickness conditions. This behavior reinforces the importance of balancing mass and its response to wave-induced forces in order to maximize SHP-O performance.
Finally, Figure 17 presents the analysis of cz behavior considering different SHP orientations, obtained using the structure elongated in the y-direction. In Cases 37 to 45 (see Table 7), the structure is oriented with the 12 m length aligned with the wave propagation direction, while in Cases 46 to 54 (see Table 7), this dimension is reduced to 8 m. The thickness is constant at (e = 0.32 m) in all simulations.
Comparing the two groups in Figure 17, it is observed that cz values tend to be higher when the 12 m dimension is oriented in the direction of wave propagation (Cases 37 to 45), such as Case 45 (cz = 2.35 m), compared to Case 54 (cz = 2.09 m). This occurs because the area exposed to wave action is larger, which enhances the interaction with the pressure field and, consequently, the cz values. This pattern is repeated for other wave heights, although with less pronounced differences. In general, a longer SHP-O in the direction of wave propagation resulted, in most cases, in an increase in cz, as a result of the larger area exposed to pressure variations generated by the incoming wave.
The orientation of the SHP-O had a direct impact on wave energy capture (Figure 18). In general, Cases 37 to 45, with the longer dimension aligned with the direction of wave propagation, exhibited lower φ ¯ values, ranging from 5% to 34%, with the exception of Case 37, which reached 48%.
On the other hand, Cases 46 to 54 in Figure 18, with a shorter length exposed to the pressure field, showed better performance in certain scenarios, particularly Case 48 (H = 0.5 m), which achieved the highest φ ¯ among all cases, reaching 76.6%. It is suggested that reducing the frontal area of the structure, under specific submersion depths and wave heights, enhances energy conversion and, consequently, system efficiency. This occurs due to lower drag forces and reduced energy dissipation, promoting a more effective interaction between the wave and the device.
These results reinforce the relevance of parametric studies as an important tool for maximizing device efficiency. The evaluation of different geometric configurations made it possible to understand the mechanisms of wave–structure interaction, providing relevant technical insights for optimizing the design of SHP-O-type wave energy converters. Among the parameters analyzed, static pressure, affected by variations in vertical displacement cz, and wave height H were identified as determining factors in the observed performance.

4. Conclusions

A numerical investigation was performed on an SHP-O-type wave energy converter, intended for deployment off the coast of Rio Grande do Sul, Brazil, in waters 10 m deep. Initially, the SHP-NO configuration was adopted to validate and verify the computational model. Subsequently, the model was verified for the SHP-O configuration with an initial submersion of 2.0 m, under the action of a characteristic wave from the region of interest. A parametric analysis was then carried out, evaluating the variables that affect device performance by varying the geometry of the converter (elongated in the x-direction, square, and elongated in the y-direction), submersion depths (1.0 m, 1.5 m, and 2.0 m), and wave heights (H = 0.5 m, H = 1.0 m, and H = 1.5 m).
It was found that for SHP-O devices elongated in the x-direction, the highest efficiency ( φ ¯ ) occurred under the action of smaller waves (H = 0.5 m), with Cases 3 and 12 standing out by exceeding 38%. For square SHP-O devices, the highest ( φ ¯ ) was observed in thinner structures (e = 0.16 m) under smaller wave heights. In SHP-O configurations elongated in the y-direction, optimal results occurred when the shorter face was oriented toward wave propagation, as in Case 48, which recorded the highest ( φ ¯ ) among all cases, reaching 76.6%.
It was concluded that structural geometry, submersion depth, and wave height (H) are key variables in optimizing SHP-O performance. Static pressure, influenced by cz, and wave height were identified as determining factors in the observed energy efficiency. Although the controlled results are promising, future studies should incorporate irregular waves and turbulence models to better represent the marine environment and deepen the understanding of device behavior under real-world conditions.

Author Contributions

Conceptualization, R.C.B., M.d.N.G. and L.A.I.; methodology, R.C.B., M.d.N.G. and L.A.I.; software, R.C.B., M.d.N.G. and L.A.I.; validation, R.C.B., M.d.N.G. and L.A.I.; formal analysis, L.A.I., E.D.d.S. and L.A.O.R.; investigation, R.C.B., M.d.N.G. and L.A.I.; resources, L.A.O.R., E.D.d.S., M.d.N.G. and L.A.I.; data curation, R.C.B., M.d.N.G. and L.A.I.; writing—original draft preparation, R.C.B. and M.d.N.G.; writing—review and editing, R.C.B., M.d.N.G., L.A.I., E.D.d.S. and L.A.O.R.; visualization, L.A.O.R., E.D.d.S., M.d.N.G. and L.A.I.; supervision, M.d.N.G. and L.A.I.; project administration, M.d.N.G. and L.A.I.; funding acquisition, L.A.O.R., E.D.d.S., M.d.N.G. and L.A.I. All authors have read and agreed to the published version of the manuscript.

Funding

This research was funded by the Research Support Foundation of the State of Rio Grande do Sul—FAPERGS (Public Call FAPERGS 07/2021—Programa Pesquisador Gaúcho—PqG—21/2551-0002231-0) and the Brazilian National Council for Scientific and Technological Development—CNPq (Processes: 125941/2024-2, 309648/2021-1, 307791/2019-0, 308396/2021-9, 440010/2019-5, and 440020/2019-0).

Institutional Review Board Statement

Not applicable.

Informed Consent Statement

Not applicable.

Data Availability Statement

The data presented in this study are available on request from the corresponding author.

Acknowledgments

R.C. Batista thanks the Federal Institute of Paraná (IFPR) for access to the computer labs and the Federal Institute of São Paulo (IFSP) for encouraging capacity building. The authors thank FAPERGS and CNPq for their financial support.

Conflicts of Interest

The authors declare no conflicts of interest.

Nomenclature

b c wave channel width
b p device width
C 1 linear resistance coefficient
C 2 quadratic resistance coefficient
CFDComputational Fluid Dynamics
E numerical error
E r relative error
F b buoyancy
FVMFinite Volume Method
ggravitational acceleration
hwater depth
Hwave height
H C wave channel height
kwave number
Ldevice length
L c wave channel length
MAEMean Absolute Error
pstatic pressure
P P available power under the plate
P w wave power that reaches the device
RMSERoot Mean Square Error
SHPSubmerged Horizontal Plate
SHP-NONon-oscillating SHP
SHP-OOscillating SHP
Snumerical beach
t time
Twave period
uhorizontal velocity component
vvelocity
VOFVolume of Fluid
x s starting point of the numerical beach
x f end point of the numerical beach
x, y, zcartesian coordinates
wvertical velocity component
WECWave Energy Converter
z f s average free surface coordinates
z e average bottom coordinates
3D NWTThree-Dimensional Numerical Wave Tank
Greek symbols
edevice thickness
φtheoretical efficiency
ω angular frequency
αvolume fraction
β skewness metric
η surface elevation
μ   dynamic viscosity coefficient
ρ density
λ wavelength
τ ̿ deformation-rate tensor

References

  1. Corrales-Gonzalez, M.; Lavidas, G.; Besio, G. Feasibility of Wave Energy Harvesting in the Ligurian Sea, Italy. Sustainability 2023, 15, 9113. [Google Scholar] [CrossRef]
  2. IEA; IRENA; UNSD; World Bank; WHO. Tracking SDG 7: The Energy Progress Report; World Bank: Washington, DC, USA, 2023. [Google Scholar]
  3. IEA; IRENA; UNSD; World Bank; WHO. Offshore Renewables: An Action Agenda for Deployment (A Contribution to the G20 Presidency). 2021. Available online: https://www.irena.org (accessed on 17 June 2025).
  4. Statista Research Department. Global Electricity Consumption 1980–2021; Statista. 2023. Available online: https://www.statista.com/statistics/280704/world-power-consumption/ (accessed on 17 June 2025).
  5. Jusoh, M.A.; Ibrahim, M.Z.; Daud, M.Z.; Albani, A.; Mohd Yusop, Z. Hydraulic Power Take-Off Concepts for Wave Energy Conversion System: A Review. Energies 2019, 12, 4510. [Google Scholar] [CrossRef]
  6. IBGE (Instituto Brasileiro de Geografia e Estatística). Geographic Data. 2021. Available online: https://www.ibge.gov.br/geociencias/organizacao-do-territorio/estrutura-territorial/34330-municipios-costeiros.html (accessed on 22 January 2024).
  7. IBGE (Instituto Brasileiro de Geografia e Estatística). Territorial Structures. 2021. Available online: https://agenciadenoticias.ibge.gov.br/agencia-noticias/2012-agencia-de-noticias/noticias/31090-ibge-atualiza-municipios-de-fronteira-e-defrontantes-com-o-mar-devido-a-mudancas-de-limites (accessed on 13 August 2023).
  8. EPE (Empresa de Pesquisa Energética). Relatório Síntese do Balanço Energético Nacional 2023: Ano Base 2022; Rio de Janeiro. 2023. Available online: https://www.epe.gov.br/sites-pt/publicacoes-dados-abertos/publicacoes/PublicacoesArquivos/publicacao-748/topico-681/BEN_S%C3%ADntese_2023_PT.pdf (accessed on 5 January 2023).
  9. Bastos, A.S.; Souza, T.R.C.D.; Ribeiro, D.S.; Melo, M.D.L.N.M.; Martinez, C.B. Wave Energy Generation in Brazil: A Georeferenced Oscillating Water Column Inventory. Energies 2023, 16, 3409. [Google Scholar] [CrossRef]
  10. Falcão, A.F.O. Wave energy utilization: A review of the technologies. Renew. Sustain. Energy Rev. 2010, 14, 899–918. [Google Scholar] [CrossRef]
  11. Sheng, W. Wave energy conversion and hydrodynamics modelling technologies: A review. Renew. Sustain. Energy Rev. 2019, 109, 482–498. [Google Scholar] [CrossRef]
  12. Seibt, F.M.; de Camargo, F.V.; dos Santos, E.D.; Gomes, M.N.; Rocha, L.A.O.; Isoldi, L.A.; Fragassa, C. Numerical evaluation on the efficiency of the submerged horizontal plate type wave energy converter. FME Trans. 2019, 47, 543–551. [Google Scholar] [CrossRef]
  13. Tian, X.; Wang, Q.; Liu, G.; Deng, W.; Gao, Z. Numerical and experimental studies on a three-dimensional numerical wave tank. IEEE Access 2018, 6, 6585–6593. [Google Scholar] [CrossRef]
  14. Hirt, C.W.; Nichols, B.D. Volume of fluid (VOF) method for the dynamics of free boundaryes. J. Comput. Phys. 1981, 39, 201–225. [Google Scholar] [CrossRef]
  15. Prasad, D.D.; Ahmed, M.R.; Lee, Y.H.; Sharma, R.N. Validation of a piston type wave-maker using Numerical Wave Tank. Ocean Eng. 2017, 131, 57–67. [Google Scholar] [CrossRef]
  16. Kharati-Koopaee, M.; Kiali-Kooshkghazi, M. Assessment of plate-length effect on the performance of the horizontal plate wave energy converter. J. Waterw. Port Coast. Ocean Eng. 2019, 145, 1595–1608. [Google Scholar] [CrossRef]
  17. Cummins, C.P.; Scarlett, G.T.; Windt, C. Numerical analysis of wave-structure interaction of regular waves with surface-piercing inclined plates. J. Ocean Eng. Mar. Energy 2022, 8, 99–115. [Google Scholar] [CrossRef]
  18. Motta, V.E.; Thum, G.Ü.; Gonçalves, R.A.A.C.; Rocha, L.A.O.; Dos Santos, E.D.; Machado, B.N.; Isoldi, L.A. Numerical Study of Inclined Geometric Configurations of a Submerged Plate-Type Device as Breakwater and Wave Energy Converter in a Full-Scale Wave Channel. J. Exp. Theor. Anal. 2025, 3, 3. [Google Scholar] [CrossRef]
  19. Nemes, D.D.; Marone, E. Characterization of Surface Waves on the Inner Shelf of the State of Paraná, Brazil. Bol. Parana. Geocienc. 2013, 69, 1–14. [Google Scholar] [CrossRef]
  20. Orer, G.; Ozdamar, A. An experimental Study on the Efficiency of the Submerged Plate Wave Energy Converter. Renew. Energy 2007, 32, 1317–1327. [Google Scholar] [CrossRef]
  21. Dean, R.G.; Dalrymple, R.A. Water Wave Mechanics for Engineers and Scientists, 2nd ed.; World Scientific: Singapore, 1991. [Google Scholar] [CrossRef]
  22. Short, A.D.; Klein, A.H.F. (Eds.) Brazilian Beach Systems; Coastal Research Library; Springer: Cham, Switzerland, 2016; Volume 17, pp. 573–608. [Google Scholar]
  23. Gomes, M.D.N.; Lorenzini, G.; Rocha, L.A.O.; Dos Santos, E.D.; Isoldi, L.A. Constructal Design Applied to the Geometric Evaluation of an Oscillating Water Column Wave Energy Converter Considering Different Real Scale Wave Periods. J. Eng. Thermophys. 2018, 27, 173–190. [Google Scholar] [CrossRef]
  24. Letzow, M.; Lorenzini, G.; Barbosa, D.V.E.; Hübner, R.G.; Rocha, L.A.O.; Gomes, M.D.N.; Dos Santos, E.D. Numerical analysis of the influence of geometry on a large scale onshore oscillating water column device with associated seabed ramp. Int. J. Des. Nat. Ecodyn. 2020, 15, 873–884. [Google Scholar] [CrossRef]
  25. Martins, J.C.; Fragassa, C.; Goulart, M.M.; Dos Santos, E.D.; Isoldi, L.A.; Gomes, M.D.N.; Rocha, L.A.O. Constructal design of an overtopping wave energy converter incorporated in a breakwater. J. Mar. Sci. Eng. 2022, 10, 471. [Google Scholar] [CrossRef]
  26. De Barros, A.S.; Fragassa, C.; Paiva, M.D.S.; Rocha, L.A.O.; Machado, B.N.; Isoldi, L.A.; Dos Santos, E.D. Numerical study and geometrical investigation of an onshore overtopping device wave energy converter with a seabed coupled structure. J. Mar. Sci. Eng. 2023, 11, 412. [Google Scholar] [CrossRef]
  27. Oliveira, M.R.D.; Isoldi, L.A.; Santos, E.D.D.; Rocha, L.A.O.; Gomes, M.D.N. Numerical analysis and validation of horizontal and vertical displacements of a floating body for different wave periods. J. Mar. Sci. Eng. 2024, 12, 1996. [Google Scholar] [CrossRef]
  28. Kashyap, P.V.; Duguet, Y.; Dauchot, O. Flow statistics in the transitional regime of plane channel flow. Entropy 2020, 22, 1001. [Google Scholar] [CrossRef]
  29. Sano, M.; Tamai, K. A universal transition to turbulence in channel flow. Nat. Phys. 2016, 12, 249–253. [Google Scholar] [CrossRef]
  30. Opoku, F.; Uddin, M.N.; Atkinson, M. A review of computational methods for studying oscillating water columns—The Navier-Stokes based equation approach. Renew. Sustain. Energy Rev. 2023, 174, 113124. [Google Scholar] [CrossRef]
  31. Hillebrandt, W.; Kupta, F. An Introduction to Turbulence. In Lecture Notes in Physics; Springer: Berlin/Heidelberg, Germany, 2008; Volume 756, pp. 1–20. [Google Scholar] [CrossRef]
  32. Garoosi, F.; Hooman, K. Numerical simulation of multiphase flows using an enhanced Volume-of-Fluid (VOF) method. Int. J. Mech. Sci. 2022, 215, 106956. [Google Scholar] [CrossRef]
  33. Garoosi, F.; Kantzas, A.; Irani, M. Numerical simulation of wave interaction with porous structure using the coupled Volume-Of-Fluid (VOF) and Darcy-Brinkman-Forchheimer model. Eng. Anal. Bound. Elem. 2024, 166, 105866. [Google Scholar] [CrossRef]
  34. Rafiee, A.; Dutykh, D.; Dias, F. Numerical simulation of wave impact on a rigid wall using a two-phase compressible SPH method. Procedia IUTAM 2015, 18, 123–137. [Google Scholar] [CrossRef]
  35. Srinivasan, V.; Salazar, A.J.; Saito, K. Modeling the disintegration of modulated liquid jets using volume-of-fluid (VOF) methodology. Appl. Math. Model. 2011, 35, 3710–3730. [Google Scholar] [CrossRef]
  36. Horko, M. CFD Optimisation of an Oscillating Water Column Energy Converter. Master’s Thesis, The University of Western Australia, Perth, Australia, 2007; pp. 26–34. [Google Scholar]
  37. Hubner, R.G.; Fragassa, C.; Paiva, M.D.S.; Oleinik, P.H.; Gomes, M.D.N.; Rocha, L.A.; Isoldi, L.A. Numerical analysis of an overtopping wave energy converter subjected to the incidence of irregular and regular waves from realistic sea states. J. Mar. Sci. Eng. 2022, 10, 1084. [Google Scholar] [CrossRef]
  38. White, F.M. Fluid Mechanics, 7th ed.; McGraw-Hill: New York, NY, USA, 2011; pp. 1–865. [Google Scholar]
  39. Lisboa, R.C.; Teixeira, P.R.; Didier, E. Regular and irregular wave propagation analysis in a flume with numerical beach using a Navier-stokes based model. Defect. Diffus. Forum 2017, 372, 81–90. [Google Scholar] [CrossRef]
  40. Carneiro, D.M. Inquiry-Based Teaching Sequence Through the Construction of a Low-Cost Wind Tunnel. Master’s Thesis, The Federal University of Western Pará, Belém, Brazil, 2020; pp. 1–215. [Google Scholar]
  41. Versteeg, H.K.; Malalasekera, W. An Introduction to Computational Fluid Dynamics: The Finite Volume Method, 2nd ed.; Pearson Education: London, UK, 2007; pp. 1–495. [Google Scholar]
  42. ANSYS Inc. ANSYS Fluent User’s Guide, Release 2020 R2; ANSYS Inc.: Canonsburg, PA, USA, 2020. [Google Scholar]
  43. Coimbra, A.L.S.C.; Telles, W.R.; Ferreira, F.F.; Junior, J.L. Solução de um problema de transporte de contaminante em corpos hídricos utilizando o método dos volumes finitos. Rev. Cereus 2021, 13, 199–216. Available online: https://ojs.unirg.edu.br/index.php/1/article/view/3382 (accessed on 20 June 2024). [CrossRef]
  44. Batista, R.C.; Oliveira, M.R.D.; Santos, E.D.D.; Rocha, L.A.O.; Isoldi, L.A.; Gomes, M.D.N. Numerical analysis of submerged horizontal plate wave energy converter device considering float effects. Fluids 2025, 10, 136. [Google Scholar] [CrossRef]
  45. Hou, D.; Li, Q.M. Damage boundaries on shock response spectrum based on an elastic single-degree-of-freedom structural model. Int. J. Impact Eng. 2023, 173, 104435. [Google Scholar] [CrossRef]
  46. Ferziger, J.H.; Peric, M. Computational Methods for Fluid Dynamics; Springer: Berlin, Germany, 1997. [Google Scholar]
  47. Hodson, T.O. Root-mean-square error (RMSE) or mean absolute error (MAE): When to use them or not. Geosci. Model Dev. 2022, 15, 5481–5487. [Google Scholar] [CrossRef]
  48. Zollanvari, A.; Dougherty, E.R. Moments and root-mean-square error of the Bayesian MMSE estimator of classification error in the Gaussian model. Pattern Recognit. 2014, 47, 2178–2192. [Google Scholar] [CrossRef] [PubMed]
  49. Asprone, D.; Auricchio, F.; Manfredi, G.; Prota, A.; Reali, A.; Sangalli, G. Particle methods for a 1 d elastic model problem: Error analysis and development of a second-order accurate formulation. Comput. Model. Eng. Sci. 2010, 62, 1–22. [Google Scholar] [CrossRef]
  50. Vivarelli, G.; Qin, N.; Shahpar, S. A Review of Mesh Adaptation Technology Applied to Computational Fluid Dynamics. Fluids 2025, 10, 129. [Google Scholar] [CrossRef]
  51. Chen, G.; Wang, R. Triangular mesh surface subdivision based on graph neural network. Appl. Sci. 2024, 14, 11378. [Google Scholar] [CrossRef]
  52. Rezaiee-Pajand, M.; Yaghoobi, M. A robust triangular membrane element. Lat. Am. J. Solids Struct. 2014, 11, 2648–2671. [Google Scholar] [CrossRef]
  53. Moreira, P.A.V. Design for the Production of an Elliptical Tube in Advanced High-Strength Steel for a Bow Saw. Master’s Thesis, University of Minho, Braga, Portugal, 2015; pp. 1–241. [Google Scholar]
  54. Graw, K.U. Wellenenergie—Eine Hydromechanische Analyse; Bericht Nr. 8, Lehr- und Forschungsgebietes Wasserbau und Wasserwirtschaft; Institut für Grundbau, Abfall-und Wasserwesen; Bergische Universität-Gesamthochschule Wuppertal: Berlin, Germany, 1995. [Google Scholar]
  55. McCormick, M.E. Ocean Wave Energy Conversion; Dover Publications, Inc.: New York, NY, USA, 1981; pp. 1–233. [Google Scholar]
  56. Carter, R.W. Wave Energy Converters and a Submerged Horizontal Plate. Master’s Thesis, University of Hawai’i, Honolulu, HI, USA, 2005; pp. 1–242. [Google Scholar]
  57. Dizadji, N.; Sajadian, S.E. Modeling and optimization of the chamber of OWC system. Energy 2011, 36, 2360–2366. [Google Scholar] [CrossRef]
Figure 1. Schematic representation of the SHP device indicating wave parameters (wavelength λ and height H), structure length (L), and clearance (d) between the SHP and the seabed.
Figure 1. Schematic representation of the SHP device indicating wave parameters (wavelength λ and height H), structure length (L), and clearance (d) between the SHP and the seabed.
Jmse 13 01564 g001
Figure 2. Three-dimensional visualization of the model’s geometry, emphasizing its dimensions and the internal sections that compose the computational domain.
Figure 2. Three-dimensional visualization of the model’s geometry, emphasizing its dimensions and the internal sections that compose the computational domain.
Jmse 13 01564 g002
Figure 3. Depiction of the boundary condition setup for the SHP system and the 3D NWT across both SHP-NO and SHP-O simulation cases.
Figure 3. Depiction of the boundary condition setup for the SHP system and the 3D NWT across both SHP-NO and SHP-O simulation cases.
Jmse 13 01564 g003
Figure 4. Illustration of the reference triangular mesh details of the SHP-NO case.
Figure 4. Illustration of the reference triangular mesh details of the SHP-NO case.
Jmse 13 01564 g004
Figure 5. Illustration of the reference triangular mesh details of the SHP-O case.
Figure 5. Illustration of the reference triangular mesh details of the SHP-O case.
Jmse 13 01564 g005
Figure 6. Scheme of the NWT showing the SHP-O and the S 0 , S 1 , S 2 , and S 3 probes, positioned at specific points for interest parameter measurement.
Figure 6. Scheme of the NWT showing the SHP-O and the S 0 , S 1 , S 2 , and S 3 probes, positioned at specific points for interest parameter measurement.
Jmse 13 01564 g006
Figure 7. Results of the analytical and numerical solutions for free-surface elevation.
Figure 7. Results of the analytical and numerical solutions for free-surface elevation.
Jmse 13 01564 g007
Figure 8. Inflection points during the SHP-O motion. The highlighted area (a) shows the section divided into 0.1 m intervals between two inflection points.
Figure 8. Inflection points during the SHP-O motion. The highlighted area (a) shows the section divided into 0.1 m intervals between two inflection points.
Jmse 13 01564 g008
Figure 9. SHP oscillation in the x-axis direction, represented by cx (m).
Figure 9. SHP oscillation in the x-axis direction, represented by cx (m).
Jmse 13 01564 g009
Figure 10. SHP oscillation in the y-axis direction, represented by cy (m).
Figure 10. SHP oscillation in the y-axis direction, represented by cy (m).
Jmse 13 01564 g010
Figure 11. Changes in p throughout the oscillatory movement of the SHP.
Figure 11. Changes in p throughout the oscillatory movement of the SHP.
Jmse 13 01564 g011
Figure 12. Values of mean φ ¯   ( % ) obtained from the parameters P p and P w .
Figure 12. Values of mean φ ¯   ( % ) obtained from the parameters P p and P w .
Jmse 13 01564 g012
Figure 13. SHP-O elongated in the x-direction: cz values varying according to e, submersion depth, and H.
Figure 13. SHP-O elongated in the x-direction: cz values varying according to e, submersion depth, and H.
Jmse 13 01564 g013
Figure 14. Elongated SHP-Os: results of mean φ ¯ as a function of cz and H.
Figure 14. Elongated SHP-Os: results of mean φ ¯ as a function of cz and H.
Jmse 13 01564 g014
Figure 15. Square SHP-Os: cz values varying according to e, submersion depth, and H.
Figure 15. Square SHP-Os: cz values varying according to e, submersion depth, and H.
Jmse 13 01564 g015
Figure 16. Square SHP-Os: results of mean φ ¯ as a function of cz and H.
Figure 16. Square SHP-Os: results of mean φ ¯ as a function of cz and H.
Jmse 13 01564 g016
Figure 17. SHP-Os elongated in the y-direction: cz values varying according to e, submersion depth, and H.
Figure 17. SHP-Os elongated in the y-direction: cz values varying according to e, submersion depth, and H.
Jmse 13 01564 g017
Figure 18. SHP-Os elongated in the y-direction: results of mean φ ¯ as a function of cz and H.
Figure 18. SHP-Os elongated in the y-direction: results of mean φ ¯ as a function of cz and H.
Jmse 13 01564 g018
Table 1. Characteristics of the 3D NWT: Experimental model by Orer and Ozdamar [20]—SHP-NO, and model developed in the present study—SHP-O.
Table 1. Characteristics of the 3D NWT: Experimental model by Orer and Ozdamar [20]—SHP-NO, and model developed in the present study—SHP-O.
Model L c (m) B c (m) H c (m) h ( m )
SHP-NO40.001.001.000.600
SHP-O372.4020.0020.0010.00
432.4020.0020.0010.00
Table 2. Numerical setup defined for the simulations.
Table 2. Numerical setup defined for the simulations.
Parameters Input Data
Solution Pressure-Based
Pressure–Velocity Coupling PISO
Spatial DiscretizationGradient EvaluationLeast Squares Cell-Based
PressurePRESTO
MomentumFirst-Order Upwind
Volume FractionGeo-Reconstruct
Temporal Differencing Scheme First-Order Implicit
Flow Regime Laminar
Under-Relaxation FactorsPressure0.3
Momentum0.7
Residual
(target residuals)
Continuity10−6
x-velocity
y-velocity
z-velocity
Open Channel Initialization Method Wavy
Table 3. Mesh element distribution by β ranges, indicating the associated quality class and the number of elements falling within each category.
Table 3. Mesh element distribution by β ranges, indicating the associated quality class and the number of elements falling within each category.
β QualityNumber of Elements
1.00Degenerate
0.90 < β < 1.00Poor
0.75 < β ≤ 0.90Weak95.00
0.50 < β ≤ 0.75Acceptable22,003.00
0.25 < β ≤ 0.50Good332,000.00
0.00 < β ≤ 0.25Excellent 453,950.00
0.00Equilateral
Table 4. Numerical errors by time intervals considering the generation of regular waves.
Table 4. Numerical errors by time intervals considering the generation of regular waves.
ErrorValues (m)
0 to 16.5 s0 to 5 s5 to 10 s10 to 16.5 s
RMSE0.0057050.0074220.0040920.005229
Table 5. Comparison of velocities u (cm/s) obtained experimentally and numerically for the 3D SHP-NO condition.
Table 5. Comparison of velocities u (cm/s) obtained experimentally and numerically for the 3D SHP-NO condition.
Caset (s)H (cm) u O r e r   e   O z d a m a r   ( c m / s ) u C u r r e n t   s t u d y   ( c m / s ) E R (%) (Equation (20))
11.506.00−9.44−10.54−11.65
21.876.00−11.38−12.55−10.28
32.0510.00−18.41−16.45−10.64
Table 6. Classification of SHP-O according to the L/B ratio.
Table 6. Classification of SHP-O according to the L/B ratio.
DimensionsL/B
L (m)B (m)e (m)
10.08.00.321.25
10.08.00.161.25
8.08.00.321.00
8.08.00.161.00
12.08.00.321.50
8.012.00.320.67
Table 7. Configurations of the analyzed cases.
Table 7. Configurations of the analyzed cases.
CasesSHP-O GeometryWave CharacteristicsSubmergence Depth (m)
L (m)B (m)e (m)H (m) λ (m)
1–910.08.00.320.560.41.01.52.0
1.0
1.5
10–1810.08.00.160.560.41.01.52.0
1.0
1.5
19–278.08.00.320.560.41.01.52.0
1.0
1.5
28–368.08.00.160.560.41.01.52.0
1.0
1.5
37–4512.08.00.320.570.41.01.52.0
1.0
1.5
46–548.012.00.320.570.41.01.52.0
1.0
1.5
Disclaimer/Publisher’s Note: The statements, opinions and data contained in all publications are solely those of the individual author(s) and contributor(s) and not of MDPI and/or the editor(s). MDPI and/or the editor(s) disclaim responsibility for any injury to people or property resulting from any ideas, methods, instructions or products referred to in the content.

Share and Cite

MDPI and ACS Style

Batista, R.C.; dos Santos, E.D.; Rocha, L.A.O.; Gomes, M.d.N.; Isoldi, L.A. Numerical Study of an Oscillating Submerged Horizontal Plate Wave Energy Converter on the Southern Coast of Brazil: Parametric Analysis of the Variables Affecting Conversion Efficiency. J. Mar. Sci. Eng. 2025, 13, 1564. https://doi.org/10.3390/jmse13081564

AMA Style

Batista RC, dos Santos ED, Rocha LAO, Gomes MdN, Isoldi LA. Numerical Study of an Oscillating Submerged Horizontal Plate Wave Energy Converter on the Southern Coast of Brazil: Parametric Analysis of the Variables Affecting Conversion Efficiency. Journal of Marine Science and Engineering. 2025; 13(8):1564. https://doi.org/10.3390/jmse13081564

Chicago/Turabian Style

Batista, Rodrigo Costa, Elizaldo Domingues dos Santos, Luiz Alberto Oliveira Rocha, Mateus das Neves Gomes, and Liércio André Isoldi. 2025. "Numerical Study of an Oscillating Submerged Horizontal Plate Wave Energy Converter on the Southern Coast of Brazil: Parametric Analysis of the Variables Affecting Conversion Efficiency" Journal of Marine Science and Engineering 13, no. 8: 1564. https://doi.org/10.3390/jmse13081564

APA Style

Batista, R. C., dos Santos, E. D., Rocha, L. A. O., Gomes, M. d. N., & Isoldi, L. A. (2025). Numerical Study of an Oscillating Submerged Horizontal Plate Wave Energy Converter on the Southern Coast of Brazil: Parametric Analysis of the Variables Affecting Conversion Efficiency. Journal of Marine Science and Engineering, 13(8), 1564. https://doi.org/10.3390/jmse13081564

Note that from the first issue of 2016, this journal uses article numbers instead of page numbers. See further details here.

Article Metrics

Back to TopTop