Trans-Dimensional Geoacoustic Inversion in Shallow Water Using a Range-Dependent Layered Geoacoustic Model
Abstract
1. Introduction
2. Experimental Data and Phenomenological Analysis
2.1. Experiment Description
2.2. High-Frequency Acoustic Propagation
2.3. Analysis of High-Frequency Acoustic Propagation
3. Inverse Theory and Algorithms
3.1. Likelihood Function
3.2. Trans-D Bayesian Inversion
4. Numerical Simulations and Discussion
4.1. Sensitivity Analysis
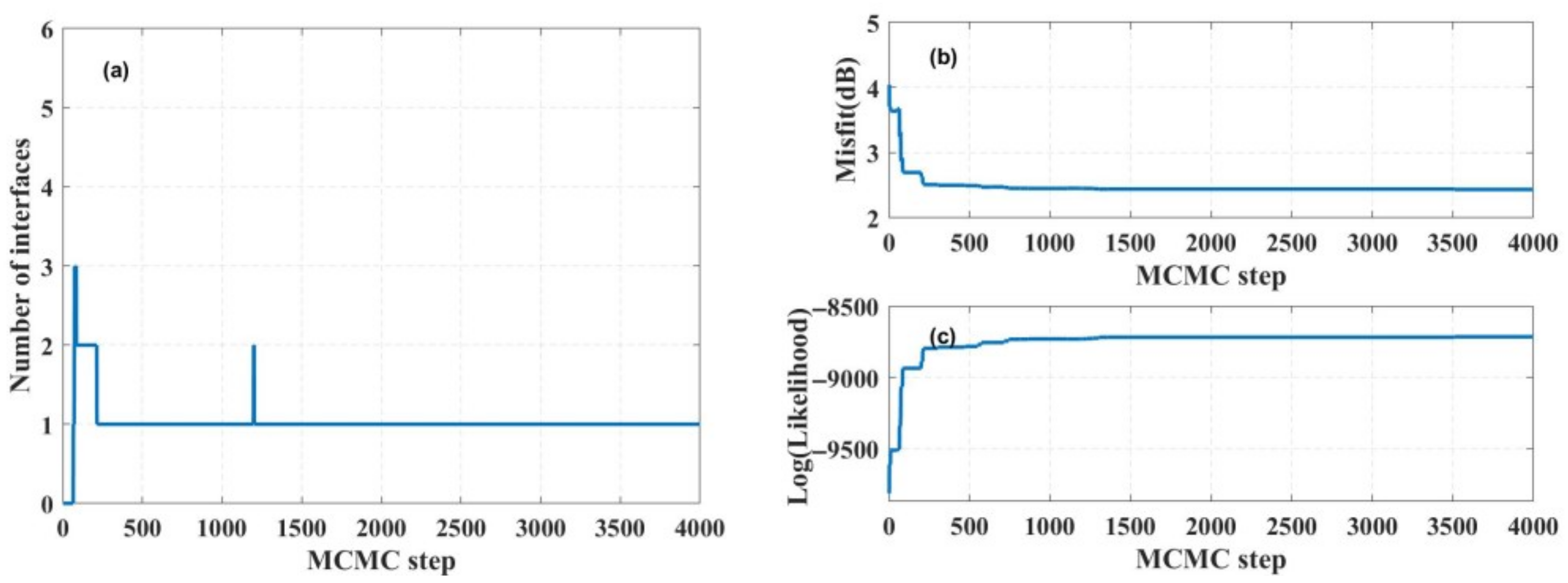
4.2. Synthetic Data Inversion
- Near-range interfaces and surface layer sound speed gradients converge faster to their true values than others.
- Far-range seabed parameters, particularly interface positions, require more iterations to approach the truth.
- This confirms greater inversion accuracy for near-field sound speed parameters and interfaces, while far-field counterparts exhibit inherent uncertainty.
4.3. Experimental Data Inversion
5. Conclusions
- Layered Model Advantages and Extensibility.The TWTT-constrained layered seabed model reduces inversion parameter dimensionality through layered structure constraints. Using airgun signals (100–500 Hz) within a 20 km range, stable geoacoustic parameters (including sound speed and layer thickness) were inverted. While effective for low frequencies, the model could not explain the pronounced TL in 500–1000 Hz explosive signals. These findings indicate that while the layered model significantly enhances broadband inversion stability, its frequency applicability could be expanded through refinements such as incorporating horizontal variations. This improved approach can enable more accurate characterization of high-frequency acoustic propagation patterns.
- Range-Dependent Enhancement.By incorporating horizontal sediment variations, we develop a range-dependent layered model that explains the observed significant high-frequency TL. A stepwise inversion strategy is implemented to effectively reduce high-frequency inversion uncertainty: (1) fixing the acoustic parameters of deeper layers, (2) manually segmenting the surface layer into two distinct zones, and (3) conducting sequential sound speed inversion for each zone.
- Generalized Inversion via rjMCMC.The rjMCMC method automatically identifies sediment interfaces along the range, dynamically optimizing layered structures. This approach not only agrees with stepwise inversion but also provides a universal tool for complex seabed modeling, particularly in areas with pronounced lateral variations. Comparative tests demonstrate that the misfit of the range-dependent layered geoacoustic model in the frequency band of 500–1000 Hz is significantly lower than that of the traditional homogeneous layered geoacoustic model, which further expands the applicable frequency range of broadband geoacoustic inversion.
Author Contributions
Funding
Institutional Review Board Statement
Informed Consent Statement
Data Availability Statement
Conflicts of Interest
References
- Zhang, R.H. Water Acoustics Physics, Signal Processing and Marine Environment Close Integration is the Trend of Hydroacoustic Technology Development. Acta Acust. 2006, 25, 326–327. [Google Scholar]
- Li, F.H.; Sun, M.; Zhang, R.H. Geo-acoustic inversion for a vector sensor array. J. Harbin Eng. Univ. 2010, 31, 895–902. [Google Scholar]
- Dall’Osto, D.R.; Dahl, P.H. Geoacoustic inversion based on particle velocity. J. Acoust. Soc. Am. 2016, 139, 2125. [Google Scholar] [CrossRef]
- Chapman, N.R.; Shang, E.C. Review of Geoacoustic Inversion in Underwater Acoustics. J. Theor. Comput. Acoust. 2021, 29, 2130004. [Google Scholar] [CrossRef]
- Taroudakis, M.I.; Markaki, M.G. Bottom Geoacoustic Inversion by “Broadband” Matched-Field Processing. J. Comput. Acoust. 1998, 6, 167–183. [Google Scholar] [CrossRef]
- Yang, K.D. A Study on Matched Field Processing of Underwater Acoustic Signals. Ph.D. Thesis, Northwestern Polytechnical University, Xi’an, China, June 2003. [Google Scholar]
- Yang, J.; Jackson, D.R.; Tang, D. Mid-frequency geoacoustic inversion using bottom loss data from the Shallow Water 2006 experiment. J. Acoust. Soc. Am. 2012, 131, 1711–1721. [Google Scholar] [CrossRef]
- Zhou, J.X. Normal mode measurements and remote sensing of sea-bottom sound velocity and attenuation in shallow water. J. Acoust. Soc. Am. 1985, 78, 1003–1009. [Google Scholar] [CrossRef]
- Godin, O.A.; Katsnelson, B.; Tan, T.W.; Malykhin, A. Time warping and acoustic characterization of the seafloor in horizontally inhomogeneous ocean. J. Acoust. Soc. Am. 2019, 145, 1770. [Google Scholar] [CrossRef]
- Ecknold, S.P.; Masui, K.W.; Hines, P.C. Transmission loss measurements and geoacoustic sensitivity modeling at 1.2 kHz. J. Acoust. Soc. Am. 2008, 124, EL110–EL115. [Google Scholar] [CrossRef]
- Li, F.H.; Zhang, R.H. Bottom sound speed and attenuation inverted by using pulsed waveform and transmission loss. Acta Acust. 2000, 25, 297–302. [Google Scholar]
- Jiang, Y.-M.; Chapman, N.R.; Gerstoft, P. Short range travel time geoacoustic inversion with vertical line array. J. Acoust. Soc. Am. 2008, 124, EL135–EL140. [Google Scholar] [CrossRef]
- Jiang, Y.-M.; Chapman, N.R. Measurement of low-frequency sound attenuation in marine sediment. IEEE J. Oceanic Eng. 2010, 35, 70–78. [Google Scholar] [CrossRef]
- Michalopoulou, Z. Stochastic sediment property inversion in Shallow Water 06. J. Acoust. Soc. Am. 2017, 142, EL495–EL499. [Google Scholar] [CrossRef]
- Weng, J.B.; Li, F.H.; Guo, Y.G. Geoacoustic inversion based on near-field frequency-range interference pattern in deep water. Acta Acust. 2015, 40, 208–215. [Google Scholar]
- Bonnel, J.; Lin, Y.T.; Eleftherakis, D.; Goff, J.A.; Dosso, S.; Chapman, R.; Miller, J.H.; Potty, G.R. Geoacoustic inversion on the New England Mud Patch using warping and dispersion curves of high-order modes. J. Acoust. Soc. Am. 2018, 143, EL405–EL411. [Google Scholar] [CrossRef]
- Rajan, S.D.; Wan, L.; Badiey, M.; Wilson, P.S. Seabed Characterization Experiment: Analysis of Broadband Data. IEEE J. Ocean. Eng. 2022, 47, 531–540. [Google Scholar] [CrossRef]
- Kang, J.; Peng, Z.H.; He, L.; Li, S.H.; Yu, X.T. Low frequency inversion method based on multi-layer horizontal variation shallow seafloor model. Acta Phys. Sin. 2024, 73, 054301. [Google Scholar] [CrossRef]
- Zhou, J.X.; Zhang, X.Z.; Rogers, P.H. Resonant interaction of sound wave with internal solitons in the coastal zone. J. Acoust. Soc. Am. 1991, 90, 2042–2054. [Google Scholar] [CrossRef]
- Li, F.; Zhang, R.; Li, Z.; Peng, Z. Anomalous sound propagation due to bottom roughness. In Theoretical and Computational Acoustics 2001; World Scientific Publishing: Singapore, 2002; pp. 123–130. [Google Scholar]
- Liu, J.; Peng, Z.; Li, Z.; Luo, W.; Yang, X. Measurement and modeling of sound propagation over continental slope in the South China Sea. J. Acoust. Soc. Am. 2020, 147, EL209–EL214. [Google Scholar] [CrossRef]
- Ballard, M.S.; Lin, Y.T.; Lynch, J.F. Horizontal refraction of propagating sound due to seafloor scours over a range-dependent layered bottom on the New Jersey shelf. J. Acoust. Soc. Am. 2012, 131, 2587–2598. [Google Scholar] [CrossRef]
- Li, Z.; Zhang, R.; Peng, Z.; Li, X. Anomalous sound propagation due to the horizontal variation of seabed acoustic properties. Sci. China Phys. Mech. 2004, 47, 571–580. [Google Scholar] [CrossRef]
- Lu, L.; Ma, L.; Chen, Y. Effects of seabed model on low frequency sound propagation in shallow water. Tech. Acoust. 2007, 26, 787–793. [Google Scholar]
- Abbot, P.; Celuzza, S.; Dyer, I.; Gomes, B.; Fulford, J.; Lynch, J. Effects of East China Sea Shallow-Water Environment on Acoustic Propagation. IEEE J. Ocean. Eng. 2003, 28, 192–211. [Google Scholar] [CrossRef]
- Green, P.J. Reversible jump Markov chain Monte Carlo computation and Bayesian model determination. Biometrika 1995, 82, 711–732. [Google Scholar] [CrossRef]
- Dettmer, J.; Dosso, S.E.; Holland, C.W. Trans-dimensional geoacoustic inversion. J. Acoust. Soc. Am. 2010, 128, 3393–3405. [Google Scholar] [CrossRef] [PubMed]
- Hamilton, E.L.; Bachman, R.T. Sound velocity and related properties of marine sediments. J. Acoust. Soc. Am. 1982, 72, 1891–1904. [Google Scholar] [CrossRef]
- Collins, M.D. A split-step Pade solution for the parabolic equation method. J. Acoust. Soc. Am. 1993, 93, 1736–1742. [Google Scholar] [CrossRef]
- Collins, M.D. User’s Guide for RAM; Naval Research Laboratory: Washington, DC, USA, 1999. [Google Scholar]
- Jensen, F.B.; Kuperman, W.A.; Porter, M.B.; Schmidt, H. Computational Ocean Acoustics, 2nd ed.; Springer: New York, NY, USA, 2011; pp. 458–463. [Google Scholar]
- Liu, D.; Li, Z.L.; Liu, R.Y. Sound propagation in shallow water with periodic rough bottom. Acta Phys. Sin. 2021, 70, 034302. [Google Scholar] [CrossRef]
- Mecklenbräuker, C.F.; Gerstoft, P. Objective functions for ocean acoustic inversion derived by likelihood methods. J. Comput. Acoust. 2000, 8, 259–270. [Google Scholar] [CrossRef]
- Dosso, S.E.; Wilmut, M.J. Data uncertainty estimation in matched-field geoacoustic inversion. IEEE J. Ocean. Eng. 2006, 31, 470–479. [Google Scholar] [CrossRef]
- Bayes, M.; Price, M. An essay towards solving a problem in the doctrine of chance. Philos. Trans. 2003, 53, 370–418. [Google Scholar] [CrossRef]
- Dosso, S.E.; Dettmer, J.; Steininger, G.; Holland, C.W. Efficient trans-dimensional Bayesian inversion for geoacoustic profile estimation. Inverse Probl. 2014, 30, 114018. [Google Scholar] [CrossRef]
- Guangzhou Marine Geological Survey. Geological and Geophysical Atlas of the South China Sea; China Nautical Publications Press: Beijing, China, 2015. [Google Scholar]




















| Parameter | Unit | Search Bounds | True Values |
|---|---|---|---|
| Number of interfaces | - | [0; 6] | 2 |
| m/s | [1500; 1700] | [1550, 1580, 1605] | |
| m/s | [1500; 1700] | [1600, 1580, 1535] | |
| km | [5; 45] | [12, 35] |
| Seabed Models | (m/s) | (m/s) | (km) | (dB) |
|---|---|---|---|---|
| modeling range-independent sediment properties (TL0) | 1576 | none | 3.22 | |
| modeling range-dependent sediment properties via manual interface delineation (TL1) | 1610 1535 | 1535 1605 | 22.0 | 2.47 |
| modeling range-dependent sediment properties via rjMCMC (TL2) | 1618 1522 | 1546 1576 | 18.6 | 2.43 |
| Area 1 | Area 2 | ||
|---|---|---|---|
| Depth | Sound Speed | Depth | Sound Speed |
| (cm) | (m/s) | (cm) | (m/s) |
| 0–40 | 1571 | 0–40 | 1542.93 |
| 40–80 | 1590 | 40–80 | 1558.55 |
| 80–120 | 1550 | 80–120 | 1528.57 |
| 120–160 | 1535 | 120–150 | 1539.44 |
| 160–200 | 1541 | 150–190 | 1564.67 |
| 190–230 | 1517.44 | ||
| 230–270 | 1588.24 | ||
| 230–300 | 1564.69 | ||
| 300–330 | 1565.55 | ||
| 330–360 | 1616.20 | ||
| 360–400 | 1568.53 | ||
Disclaimer/Publisher’s Note: The statements, opinions and data contained in all publications are solely those of the individual author(s) and contributor(s) and not of MDPI and/or the editor(s). MDPI and/or the editor(s) disclaim responsibility for any injury to people or property resulting from any ideas, methods, instructions or products referred to in the content. |
© 2025 by the authors. Licensee MDPI, Basel, Switzerland. This article is an open access article distributed under the terms and conditions of the Creative Commons Attribution (CC BY) license (https://creativecommons.org/licenses/by/4.0/).
Share and Cite
Kang, J.; Peng, Z.; He, L.; Luo, W.; Wang, Q. Trans-Dimensional Geoacoustic Inversion in Shallow Water Using a Range-Dependent Layered Geoacoustic Model. J. Mar. Sci. Eng. 2025, 13, 1563. https://doi.org/10.3390/jmse13081563
Kang J, Peng Z, He L, Luo W, Wang Q. Trans-Dimensional Geoacoustic Inversion in Shallow Water Using a Range-Dependent Layered Geoacoustic Model. Journal of Marine Science and Engineering. 2025; 13(8):1563. https://doi.org/10.3390/jmse13081563
Chicago/Turabian StyleKang, Juan, Zhaohui Peng, Li He, Wenyu Luo, and Qianyu Wang. 2025. "Trans-Dimensional Geoacoustic Inversion in Shallow Water Using a Range-Dependent Layered Geoacoustic Model" Journal of Marine Science and Engineering 13, no. 8: 1563. https://doi.org/10.3390/jmse13081563
APA StyleKang, J., Peng, Z., He, L., Luo, W., & Wang, Q. (2025). Trans-Dimensional Geoacoustic Inversion in Shallow Water Using a Range-Dependent Layered Geoacoustic Model. Journal of Marine Science and Engineering, 13(8), 1563. https://doi.org/10.3390/jmse13081563

