Next Article in Journal
TriEncoderNet: Multi-Stage Fusion of CNN, Transformer, and HOG Features for Forward-Looking Sonar Image Segmentation
Previous Article in Journal
Heatwaves Affect the Gonadal Maturation of the Sea Urchin Paracentrotus lividus
 
 
Font Type:
Arial Georgia Verdana
Font Size:
Aa Aa Aa
Line Spacing:
Column Width:
Background:
Article

Fixed-Time Event-Triggered Sliding Mode Consensus Control for Multi-AUV Formation Under External Disturbances and Communication Delays

College of Intelligent Systems Science and Engineering, Harbin Engineering University, Harbin 150001, China
*
Author to whom correspondence should be addressed.
J. Mar. Sci. Eng. 2025, 13(12), 2294; https://doi.org/10.3390/jmse13122294
Submission received: 14 October 2025 / Revised: 29 November 2025 / Accepted: 1 December 2025 / Published: 2 December 2025
(This article belongs to the Section Ocean Engineering)

Abstract

This paper addresses the consensus control challenge for multiple autonomous underwater vehicles’ (AUVs) formation operating under external disturbances and communication delays. A fixed-time disturbance observer (FxTDO) is developed to precisely estimate external disturbances within a fixed time. A fixed-time state observer (FxTSO) is designed to reconstruct the leader’s position and velocity states, effectively compensating for communication delays. Building upon these observer estimates, an event-triggered sliding mode controller is proposed to achieve formation consensus with guaranteed convergence time while significantly reducing communication frequency through its triggering mechanism. The entire approach ensures fixed-time convergence of the closed-loop system, and rigorous theoretical proof of this stability is provided. Simulation results confirm the effectiveness of the proposed scheme in handling external disturbances and delays, achieving accurate formation tracking with improved communication efficiency. This work provides a robust solution for multi-AUV coordination in challenging environments.

1. Introduction

In recent years, the coordinated operation of multiple AUVs has garnered significant attention in ocean engineering, owing to their superior efficiency and robustness compared to single AUV systems in complex missions such as oceanographic surveying, underwater pipeline inspection, and marine resource exploration [1,2,3]. Formation control, as a core technology for multi-AUV coordination, aims to maintain a predefined geometric configuration while tracking a desired trajectory, which imposes stringent requirements on control accuracy, system stability, and real-time performance [4,5]. However, the practical implementation of multi-AUV formation control is severely challenged by the harsh and unpredictable underwater environment, making it a critical research focus in both academic and industrial communities.
Sliding mode control (SMC) has become an effective solution for AUV control problems because of its strong robustness against system uncertainties and external disturbances. To overcome the chattering problem of traditional SMC and improve convergence performance, scholars have proposed various improved schemes: terminal sliding mode control accelerates the convergence process by introducing nonlinear functions into the sliding surface [6]; fixed-time control ensures that the system convergence time is independent of initial states through specially designed sliding surfaces [7]. Furthermore, the introduction of intelligent methods such as fuzzy logic and neural networks has further expanded the application potential of SMC in complex environments. These innovative methods provide strong technical support for multi-AUV formation control.
In the formation control of multiple AUVs, external disturbances represent a critical factor restricting system performance. Nonlinear variations in ocean currents, high-frequency hydrodynamic disturbances induced by waves, and thrust fluctuations of propellers can lead to trajectory deviations, system chattering, and even instability, making accurate and rapid disturbance estimation essential [8,9]. Sliding mode control, renowned for its robustness against matched disturbances, has been widely applied in AUV formation control under external disturbances. Specifically, Xia et al., Chen et al., and Yan et al. have all employed sliding mode control strategies to address the challenges posed by external disturbances in multi-AUV formation scenarios [10,11]. However, the methods adopted by these researchers face inherent limitations: they struggle to strike a balance between disturbance estimation accuracy and chattering suppression. For disturbance observation, Meng et al. [12] adopted the extended state observer to estimate lumped disturbances in underwater vehicle systems, yet its performance degrades significantly when disturbances exhibit rapid dynamics. Finite-time disturbance observers, as proposed by Luo et al. [13] for multi-agent systems, offer faster convergence but suffer from a critical drawback: their convergence time is tightly linked to initial conditions, failing to guarantee predictable estimation speed in time-sensitive multi-AUV missions. These limitations underscore the necessity of developing an observer that achieves precise disturbance estimation within a fixed time frame, independent of initial states, to enhance the reliability of multi-AUV formation control in complex underwater environments.
Another critical challenge is the communication delays inherent in underwater acoustic networks, which arise from low propagation speeds and signal attenuation. These delays can lead to asynchronous information exchange between AUVs, disrupting the coordination among followers and the leader, and potentially causing system instability or divergence [14,15]. The core of solving this problem lies in developing mechanisms that can compensate for delay-induced information mismatches, ensuring that each follower can accurately obtain or reconstruct the leader’s state despite delayed measurements.
Currently, a large number of scholars have conducted extensive research on communication delays in AUV formation control. Yan et al. proposed a coordinated consensus control method for multiple AUVs with time delays under discrete-time conditions, and derived sufficient conditions for the consensus algorithm based on matrix theory [16]. Furthermore, they investigated a path tracking control approach for multiple unmanned underwater vehicles (UUVs) subject to communication delays in the context of discrete-time sampling and similarly established sufficient conditions for the convergence of multi-UUV path tracking [17]. However, their research is subject to a critical constraint: it requires communication delays to be small in magnitude. Moreover, the proposed methods do not directly address or compensate for the communication delays themselves. In contrast, Li et al. adopted a time-varying delay communication synchronization strategy, which converts asynchronous state information into synchronous state information, thereby designing a coordinated control protocol for AUVs formation with time-varying delays [18]. Similarly, Yan et al. proposed a state information buffer to synchronize asynchronous information with communication delays and developed a distributed robust model predictive control based on a dual-loop structure, which is applied to multi-UUV formation control under communication time delays [19]. Notably, Du et al. pioneered the development of a data-driven state predictor, enabling each AUV to online estimate the current motion states of its neighboring vehicles [20]. This innovative approach achieves the asymptotic stability of formation errors by leveraging real-time data to compensate for the information asynchrony caused by communication delays. While existing research on communication delay compensation mechanisms has provided valuable insights, their convergence guarantees are limited to asymptotic convergence or finite-time convergence. Due to the unpredictability of convergence time, their applicability in time-critical tasks is restricted.
In the formation control of multiple AUVs, the urgent need to optimize energy and communication resources has driven the exploration of event-triggered control mechanisms [21]. Traditional time-triggered control updates information at fixed intervals, often resulting in excessive communication and computational costs, with the problem becoming more pronounced when continuous transmission is unnecessary [22]. In contrast, event-triggered control initiates update only when triggering conditions are violated, which can reduce redundant data exchange and ease computational burdens, thereby saving energy, alleviating network congestion, and improving the overall efficiency of the system. Existing event-triggered control strategies for multi-AUV formation have achieved certain results in reducing communication frequency. Based on the error between the estimated state and the actual state of the AUV formation trajectory, Wang et al. designed an event-triggered robust model predictive control method for heterogeneous AUV formation, which can effectively reduce the amount of calculation for solving optimization problems and lighten the computational burden [23]. Liu et al. proposed a dual-channel event-triggered mechanism, designing event-triggered mechanisms in the channels from sensors to controllers and from controllers to actuators, respectively. This approach effectively reduces the transmission frequency of control signals in both channels [24]. Thuyen et al. developed a formation control law for the underactuated AUV formation with time-varying external disturbances and model uncertainties by adopting the finite-time backstepping method and event-triggered conditions [25]. Yao et al. adopted the event-triggered mechanism to intermittently transmit control signals between controllers and thruster channels to achieve obstacle avoidance of AUVs formation in complex underwater terrain, which further alleviated the chattering frequency and saved communication resources [26].
In light of these challenges, this paper proposes a comprehensive cooperative control scheme for multi-AUV formation, integrating fixed-time disturbance observation, fixed-time state observation with delay compensation, and event-triggered sliding mode control. The contributions of this paper, which are of significance, are presented in the following content:
(i)
To address the trajectory deviation caused by external disturbances and the issue of uncontrollable convergence speed in traditional observers, a FxTDO is proposed. It can accurately estimate disturbances within a fixed time, with the convergence time being independent of the initial state.
(ii)
To overcome leader-state unobservability under communication delays and model dependency of predictive methods, a FxTSO is developed, reconstructing the leader’s full states within a fixed time without requiring delay-differentiation models, thereby overcoming high sensitivity to delay fluctuations.
(iii)
To address the resource consumption issue caused by continuous communication, an event-triggered fixed-time sliding mode consensus controller is designed. This controller employs an event-triggered mechanism to reduce communication load while guaranteeing fixed-time convergence of the formation tracking system.
The remainder of this paper is structured as follows: Section 2 presents the problem formulation and preliminaries; Section 3 details the design of the fixed-time disturbance observer, fixed-time state observer, and event-triggered sliding mode controller, along with a rigorous stability analysis of the closed-loop system; Section 4 verifies the proposed scheme through simulation results; and Section 5 concludes the work and outlines future research directions. Section 3 details the design of the fixed-time disturbance observer, fixed-time state observer, and event-triggered sliding mode controller, along with a rigorous stability analysis of the closed-loop system; Section 4 verifies the proposed scheme through simulation results; and Section 5 concludes the work and outlines future research directions.

2. Preliminaries

2.1. The AUV Model

First, to better analyze the motion characteristics of the AUV, it is necessary to establish coordinate systems for analysis [27]. As shown in Figure 1, a right-handed Cartesian coordinate system is used to construct two reference coordinate systems: the fixed coordinate system   E ξ η ζ   and the moving coordinate system   O x y z .
The AUV considered in this paper is a torpedo-shaped rigid body with geometric symmetry about both its longitudinal and vertical axes. During practical navigation, it exhibits significant roll damping and minimal roll motion, allowing it to be characterized as a highly stable rigid body with self-stabilizing roll dynamics. Consequently, in engineering practice, the roll angle and roll angular velocity are commonly approximated as zero. Therefore, the six-degree-of-freedom AUV model can be approximated as a five-degree-of-freedom model. Its dynamics and kinematics model of AUV are shown as follows:
η ˙ = J ( η ) ν
M ν ˙ + C ( ν ) ν + D ( ν ) ν + g ( η ) = τ
where   η = [ x , y , z , θ , ψ ] T  describes the position states of AUV, the velocity state of the AUV is primarily described by   ν = [ u , v , w , q , r ] T . The matrix   J ( η )   represents the transformation from the   O x y z   coordinate system to the   E ξ η ζ   coordinate system,   M   is the inertia matrix,   C ( ν )   is the Coriolis and centripetal force matrix,   D ( ν )   is the hydrodynamic damping matrix, respectively.   g ( η )   is the matrix representing both static and dynamic moments.   τ = [ τ u , τ v , τ w , τ q , τ r ] T  represents the control input. The specific forms of the aforementioned matrices are detailed as follows:
J ( η ) = cos ψ cos θ sin ψ cos ψ sin θ 0 0 sin ψ cos θ cos ψ sin ψ sin θ 0 0 sin θ 0 cos θ 0 0 0 0 0 1 0 0 0 0 0 1 / cos θ
M = d i a g ( m 11 , m 22 , m 33 , m 55 , m 66 )
C ( ν ) = 0 0 0 m 33 w m 22 v 0 0 0 0 m 11 u 0 0 0 m 11 u 0 m 33 w 0 m 11 u 0 0 m 22 v m 11 u 0 0 0 D ( ν ) = d i a g ( d 11 , d 22 , d 33 , d 55 , d 66 )
g ( η ) = 0 , 0 , 0 , ρ g G M L ¯ sin θ , 0 T
By adopting the same approach as Yan et al. [15], we perform feedback linearization on the AUV model, leading to the following results:
p ˙ i = υ i υ ˙ i = U i + d i
where  d i = d u i , d v i , d w i , d q i , d r i   represents the external disturbance, and  d i  is bounded within a certain range with  d i < μ , where   μ  is a positive constant.
The model of the leader is embodied in the subsequent formulation:
p ˙ 0 = υ 0 υ ˙ 0 = U 0

2.2. Lemmas

Firstly, several lemmas that are necessary for this paper are presented.
Lemma 1 
([28,29]). There is the system (9):
x ˙ = f ( t , x ) x ( 0 ) = x 0
where   f ( x )   is a smooth nonlinear function,  f ( 0 ) = 0 .
If the inequality  V ˙ ( x ) k 1 V a ( x ) k 2 V b ( x )   holds, then system (9) can be regarded as having globally fixed-time stability, where   k 1 ,   k 2 ,   a ,   b  are positive parameters and satisfy   0 < a < 1 ,   b > 1 . The inequality is met by the convergence time   T :
T T max = 1 k 1 ( 1 a ) + 1 k 2 ( b 1 )
If the inequality  V ˙ ( x ) k 1 V a ( x ) k 2 V b ( x ) + ϑ   holds, then system (9) can be regarded as having practical fixed-time stability, where   k 1 ,   k 2 ,   a ,   b ,   ϑ   are positive parameters and satisfy  0 < a < 1 ,   b > 1 . The inequality is met by the convergence time   T :
T T max = 1 k 1 θ ( 1 a ) + 1 k 2 θ ( b 1 )
Lemma 2 
([30]). For any arbitrary nonnegative real number   x i , the subsequent inequality is valid:
i = 1 n x i α i = 1 n x i α , 0 < α < 1
i = 1 n x i β n 1 β i = 1 n x i β , β > 1
Lemma 3 
([31]). Irrespective of the value of   x , the subsequent inequality is valid:
0 x x tanh x δ ι δ
where   δ > 0  and  ι = e ( ι + 1 ) ,   ι = 0.2785 .
Assumption 1. 
The communication delay   τ ( t )  is bounded, meaning there exists a known constant   τ max > 0   such that for all   t > 0   , the inequality   0     τ ( t )     τ m a x   holds.

2.3. Graph Theory

A directed graph is used to describe the communication topology of a multi-AUV formation with   n   followers and one leader. The graph   G = V , ε , A , comprising a set of nodes  V = 1 , 2 , , n , a set of edges  ε i , j V × V , and the adjacency matrix   A = [ a i j ] n × n , illustrates the information relationship of followers. An edge  i , j ε  indicates that AUV   i   has access to the motion state information of AUV  j , which serves as a neighbor of AUV   i . In this case, when such a connection exists,  a i j = 1 ; if there is no such connection,  a i j = 0 .   N i = j | a i j = 1   signifies the set of neighboring entities for the AUV   i . The equation  L = C A = [ l i j ] n × n   defines the Laplacian matrix   L   of the graph, where  C = d i a g c 1 , c 2 , , c n   is the degree matrix, and   c i = j N i a i j  represents the degree of the AUV   i . Furthermore, matrix  R = d i a g a 10 , , a n 0   shows whether information is exchanged between followers and leader, when   a i 0 = 1 , it indicates that the AUV is capable of obtaining the communication message of the leader. Conversely, when   a i 0 = 0 , the AUV cannot acquire such a message.

3. Main Results

3.1. Design of FxTDO

First, an auxiliary variable   f i   is introduced
f i = υ i E i
where   E ˙ i = U i .
Define the estimation error   d ˜ i = d ^ i d i ,   d ^ i  represents the estimated value of the external disturbances. Then the FxTDO can be designed as follows:
d ^ i = f ^ ˙ i = k 1 s i g α f ˜ i k 2 s i g β f ˜ i k 3 s i g n f ˜ i
where   f ˜ i = f ^ i f i   and  k 1 ,   k 2 ,   k 3 ,   α ,   β   are all positive constants.
According to (15) and (16), we have
d ˜ i = f ^ ˙ i + 2 E ˙ i 2 U i d i = f ^ ˙ i + U i + υ ˙ i f ˙ i 2 U i d i = f ˜ ˙ i
From (17), the convergence of   f i   and   d ˜ i   are consistent.
Theorem 1. 
Consider the system (7) and (8), when considering the existence of external disturbances, the FxTDO Equation (16) is proposed. If the FxTDO parameters satisfy   k 1 > 0 ,   k 2 > 0 ,   k 3 > μ ,   0 < α < 1   and   β > 1 . Subsequently, within a fixed time frame, the FxTDO is competent to estimate the external disturbance   d i , its convergence time is bounded by:
T d 2 1 α 2 k 1 1 α + 2 1 β 2 k 2 β 1
Proof. 
See Appendix A. □

3.2. Design of FxTSO

Due to the impact of communication delays, the motion states of the leader received by the followers are all historical information rather than accurate real-time states. Therefore, this paper designs the following FxTSO to estimate the leader’s position state and velocity state:
p ^ ˙ i = υ ^ i k 4 j = 1 n a i j s i g α p ˜ i p ˜ j + s i g β p ˜ i p ˜ j k 5 a i 0 s i g α p ˜ i p 0 + s i g β p ˜ i p 0
υ ^ ˙ i = U 0 k 6 j = 1 n a i j s i g α υ ^ i υ ^ j + s i g β υ ^ i υ ^ j k 7 a i 0 s i g α υ ^ i υ 0 + s i g β υ ^ i υ 0
where   p ˜ i = p ^ i ο i ,   ο i   denotes the offset value of the follower relative to the leader,   p ^ i   and   v ^ i   denote the estimates of the leader’s position state   p 0   and velocity state   v 0 , respectively.   k 4 ,   k 5 ,   k 6 ,   k 7   are all positive constants.
Define the estimation errors as follows:
e p i = p ˜ i p 0
e υ i = υ ^ i υ 0
Then Equations (21) and (22) can be written as:
e ˙ p i = e v i k 4 j = 1 n a i j s i g α e p i e p j + s i g β e p i e p j k 5 a i 0 s i g α e p i + s i g β e p i
e ˙ υ i = k 6 j = 1 n a i j s i g α e υ i e υ j + s i g β e υ i e υ j k 7 a i 0 s i g α e υ i + s i g β e υ i
Theorem 2. 
Considering the systems (7) and (8), the communication delay satisfies Assumption 1, design the FxTSO as shown in (19) and (20). If the observer parameters satisfy   k 4 > 0 ,  k 5 > 0 , k 6 > 0 , k 7 > 0 , 0 < α < 1   and  β > 1 , then the FxTSO achieves fixed-time convergence for both position and velocity estimation of the leader. The settling time  T e  is upper bounded by:
T e 2 ϖ 1 1 α + 2 ϖ 2 β 1 + 2 ϖ 3 1 α + 2 ϖ 4 β 1
where
ϖ 1 = 2 α + 1 2 min k 6 2 λ 2 L α + 1 2 , k 7 a i 0 min n 1 α 2 ,   ϖ 2 = 2 β + 1 2 min k 6 2 λ 2 L β + 1 2 , k 7 a i 0 min n 1 β 2 ,   ϖ 3 = 2 α + 1 2 min k 4 2 λ 2 L α + 1 2 , k 5 a i 0 min n 1 α 2 ,   ϖ 4 = 2 β + 1 2 min k 4 2 λ 2 L β + 1 2 , k 5 a i 0 min n 1 β 2 .
Proof. 
See Appendix B. □

3.3. Design of Controller

To handle the consensus control problem, two consensus errors are defined as follows:
e 1 i = j = 1 n a i j p i p j + a i 0 p i p ˜ i e 2 i = j = 1 n a i j υ i υ j + a i 0 υ i υ ^ i
Two consensus errors stack vectors can be formulated as
e 1 = L + R I 5 p p ˜ e 2 = L + R I 5 υ υ ^
Design the following fixed-time integral sliding mode surface:
s i = e 2 i + F i F ˙ i = b 1 s i g ρ 2 ρ 1 e 2 i + b 2 s i g β 2 β 1 e 2 i + b 3 s i g ρ 4 ρ 3 e 1 i + b 4 s i g β 4 β 3 e 1 i
where   ρ 1 ,   ρ 2 ,   ρ 3 ,   ρ 4 ,   β 1 ,   β 2 ,   β 3   and   β 4   are positive odd numbers, satisfying   ρ 2 < ρ 1 ,   ρ 4 < ρ 3 ,   β 2 > β 1 , and   β 4 > β 3 .   b 1 ,   b 2 ,   b 3   and   b 4   are positive constants.
Equation (28) can be written compactly as:
s = e 2 + F i F ˙ = b 1 s i g ρ 2 ρ 1 e 2 + b 2 s i g β 2 β 1 e 2 + b 3 s i g ρ 4 ρ 3 e 1 + b 4 s i g β 4 β 3 e 1
Afterwards, based on the aforementioned sliding mode surface (29), the following event-triggered sliding mode consensus controller is designed:
U i t = L + R 1 I 5 b 1 s i g ρ 2 ρ 1 e 2 t k i , t k j + b 2 s i g β 2 β 1 e 2 t k i , t k j + b 3 s i g ρ 4 ρ 3 e 1 t k i , t k j + b 4 s i g β 4 β 3 e 1 t k i , t k j + U 0 d ^ i κ 1 s α t k i , t k j κ 2 s β t k i , t k j κ 3 tanh κ 3 s t k i , t k j χ
where   κ 1 ,   κ 2 ,   κ 3   and   χ   are the controller parameters to be designed, satisfying   κ 1 > 0 ,   κ 2 > 0 ,   κ 3 > 0   and   χ > 0 .
Define the measurement error between the latest triggering moment and the current moment as:
e i t = U i t U i   = L + R 1 I 5 b 1 s i g ρ 2 ρ 1 e 2 t k i , t k j + b 2 s i g β 2 β 1 e 2 t k i , t k j + b 3 s i g ρ 4 ρ 3 e 1 t k i , t k j + b 4 s i g β 4 β 3 e 1 t k i , t k j   κ 1 s α t k i , t k j κ 2 s β t k i , t k j κ 3 tanh κ 3 s t k i , t k j χ   + L + R 1 I 5 b 1 s i g ρ 2 ρ 1 e 2 t + b 2 s i g β 2 β 1 e 2 t + b 3 s i g ρ 4 ρ 3 e 1 t + b 4 s i g β 4 β 3 e 1 t   + κ 1 s α t + κ 2 s β t + κ 3 tanh κ 3 s t χ
The following design is proposed for the triggering condition function:
W i t = e i t κ 4 tanh U i κ 5
where   κ 3 > κ 4 + κ 5 .
The time sequence that is a result of the event triggering is:
t 0 i = 0 t k + 1 i = inf t : t > t k i , W i t 0
Theorem 3. 
Consider the system governed by Equations (7) and (8), the FxTDO is chosen according to Equation (16), the FxTSO is chosen according to Equations (19) and (20). When the sliding mode surface is defined as Equation (29), the controller is designed as Equation (30), and the triggering condition function is selected as Equation (33), the system is ensured to reach the sliding surface within a fixed time. The convergence time is bounded by:
T s T d + T e + 2 ϖ 5 Ω 1 α + 2 ϖ 6 Ω β 1
where   ϖ 5 = 2 α + 1 2 λ min ( L + R ) κ 1 ,   ϖ 6 = 2 β λ min ( L + R ) κ 2 .
Proof. 
See Appendix C. □
Theorem 4. 
For the systems (7) and (8), consider the sliding mode surface (29), select the parameters  b 1 ,   b 2 ,   b 3 ,   b 4  as positive constants and  ρ 1 ,   ρ 2 ,   ρ 3 ,   ρ 4 ,   β 1 ,   β 2 ,   β 3 ,   β 4   as positive odd numbers such that   ρ 2 < ρ 1 ,   ρ 4 < ρ 3 ,   β 2 > β 1 ,   β 4 > β 3 ,   ρ 4 ρ 3 = ρ 2 2 ρ 1 ρ 2   and   β 4 β 3 = β 2 2 β 1 β 2 . Then   e 1   and   e 2   will converge to 0 within a fixed time.
Proof. 
See Appendix D. □
Theorem 5. 
Consider the system (7) and (8), the controller (30) and the event-triggering mechanism (33), there is no Zeno behavior, and the triggering time interval satisfies  t k + 1 i t k i κ 5 / ς .
Proof. 
See Appendix E. □
Remark 1. 
In general sliding mode controllers, chattering may occur due to the presence of the discontinuous signum function. However, the controller proposed in this section employs the continuous function to suppress chattering.

4. Simulation Results

Due to cost constraints, this paper employs numerical simulation to validate the effectiveness of the method. In this section, the multi-AUV formation comprising 5 follower AUVs and 1 leader AUV was simulated using relevant simulation software, with all AUVs in the formation adopting the same mathematical model. The model parameters of the AUV are the same as those used by Li et al. [18]. Consideration was given to introducing a variation range of ±10% in the AUVs’ hydrodynamic parameters, encompassing mass, moments of inertia, and damping coefficients.
The motion trajectory of the leader AUV is a predefined spiral diving curve, and this curve is designed as:   x d = 60 cos ( 0.002 π t ) ,   y d = 60 sin ( 0.002 π t ) ,   z d = 0.03 t . In the simulation, all controller parameters are presented in Table 1. The initial state settings of the AUVs refer to Table 2. The AUVs formation is set to a pentagonal shape, and the formation deviation of each AUV is set to:   ο 1 = 0 , 25 , 0 , 0 , 0 T ,   ο 2 = 25 , 0 , 0 , 0 , 0 T ,   ο 3 = 25 , 0 , 0 , 0 , 0 T ,   ο 4 = 25 , 25 , 0 , 0 , 0 T   and   ο 5 = 25 , 25 , 0 , 0 , 0 T . Furthermore, Figure 2 is a communication topology diagram depicting the connections between AUVs in the formation. The simulation runtime is set to 800 s, the sampling period is set to   T = 0.5   s , and the communication delay experienced by the AUVs is   2 + sin ( 0.1 π t )   s. External disturbances are set as follows:
d u i = 10 2 cos 0.05 t + sin 0.01 t , 0 < t 400 20 2 cos 0.1 t + sin 0.1 t   , 400 < t 800 ,     d q i = 1.5 + 0.5 cos 0.05 t + sin 0.01 t , 0 < t 400 5 + 0.5 cos 0.1 t + sin 0.1 t   , 400 < t 800 ,     d r i = 0.5 + 0.1 cos 0.05 t + sin 0.01 t , 0 < t 400 2 + 0.1 cos 0.1 t + sin 0.1 t   , 400 < t 800 .
To validate the effectiveness of the proposed FxTDO, this paper conducts a comparative analysis with both the Disturbance Observer (DO) and the Extended State Observer (ESO). To ensure consistency in the evaluation, AUV1 is selected as a representative AUV, thereby enabling a comparison of the estimation performance of the three observers.
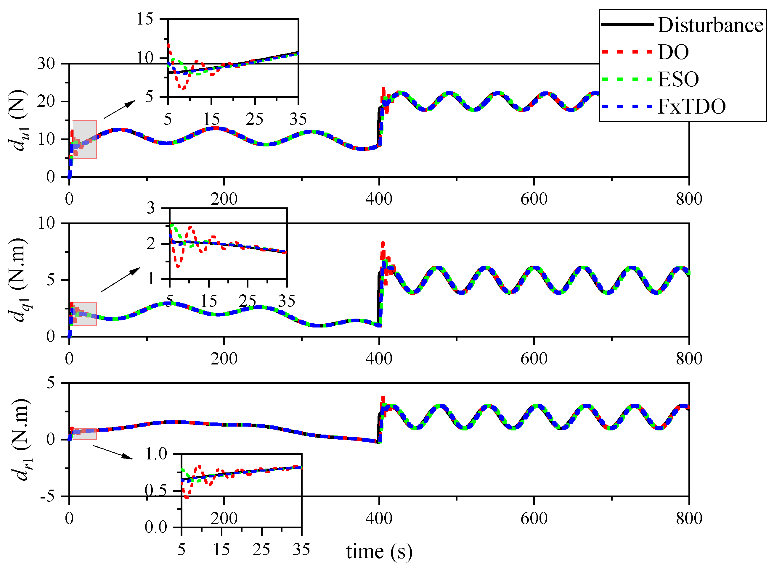
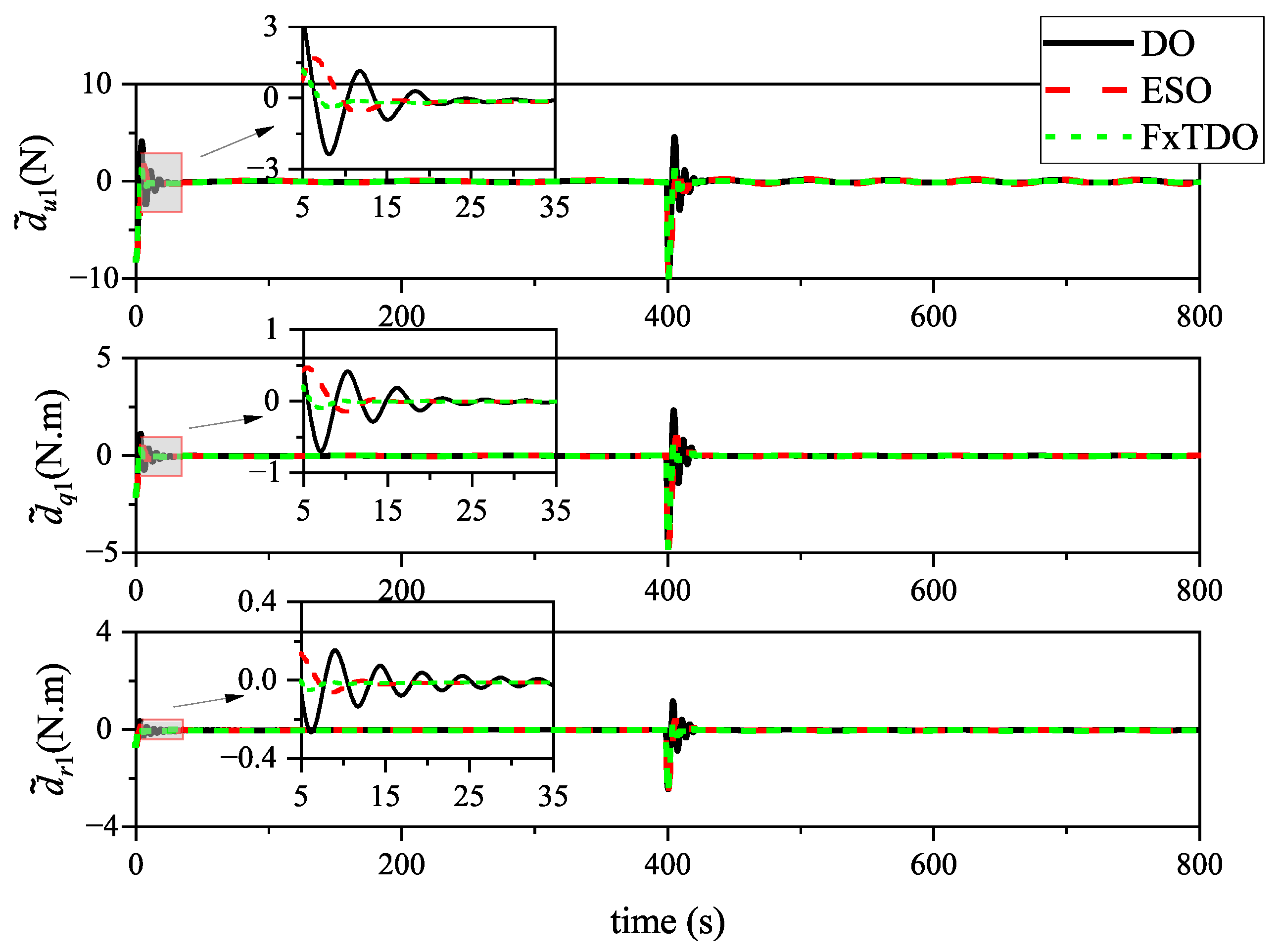
The simulation results of external disturbance estimation by FxTDO, DO, and ESO are presented in Figure 3. As observed from the figure, all three observers are capable of estimating external disturbances; however, the proposed FxTDO demonstrates superior performance in both convergence speed and estimation accuracy compared to both DO and ESO. Specifically, FxTDO achieves the fastest convergence while maintaining the smallest steady-state error. Figure 4 displays the comparative curves of estimation errors, where it is clearly shown that the estimation error of the FxTDO method converges to zero at approximately 13 s. This convergence time aligns with Theorem 1, which specifies that FxTDO can achieve disturbance estimation within a fixed time. In contrast, both DO and ESO exhibit slower convergence rates and larger overshoots during the transient phase, particularly the DO showing more pronounced oscillations before settling. These results validate the advantages of the proposed FxTDO framework in providing faster and more accurate disturbance estimation compared to conventional approaches.
Figure 5 and Figure 6, respectively, show the simulation results of AUV1 estimating the leader’s position state and velocity state using the FxTSO algorithm. From the figures, the FxTSO designed in this paper can quickly estimate the leader’s position state and velocity state, and their convergence times are consistent with Theorem 2. Similarly, it is also demonstrated that even in the presence of communication delays, the AUVs in the formation can still estimate the position and velocity states of the leader AUV via FxTSO, thereby validating the overall rationality of consensus control.
In the case of sporadic and bounded packet losses, the loss can be essentially treated as a special form of time delay—specifically, the interval from the last successful data reception to the current moment. As long as the system’s maximum consecutive interval without updates does not exceed the upper bound of delay assumed in the algorithm design, stability can be guaranteed. For scenarios involving asymmetric delays across communication links, convergence of the algorithm can be ensured as long as the upper bounds of delays on all links do not exceed the assumed maximum delay value.
Figure 7, Figure 8, Figure 9, Figure 10 and Figure 11 present the simulation results of consensus control for the multi-AUV formation. Specifically, Figure 7a, Figure 8a, Figure 9a, Figure 10a and Figure 11a show the simulation results obtained using the controller designed in this paper, while the corresponding Figure 7b, Figure 8b, Figure 9b, Figure 10b and Figure 11b display the comparative simulation results with the finite-time SMC (FSMC) method adopted as the reference.
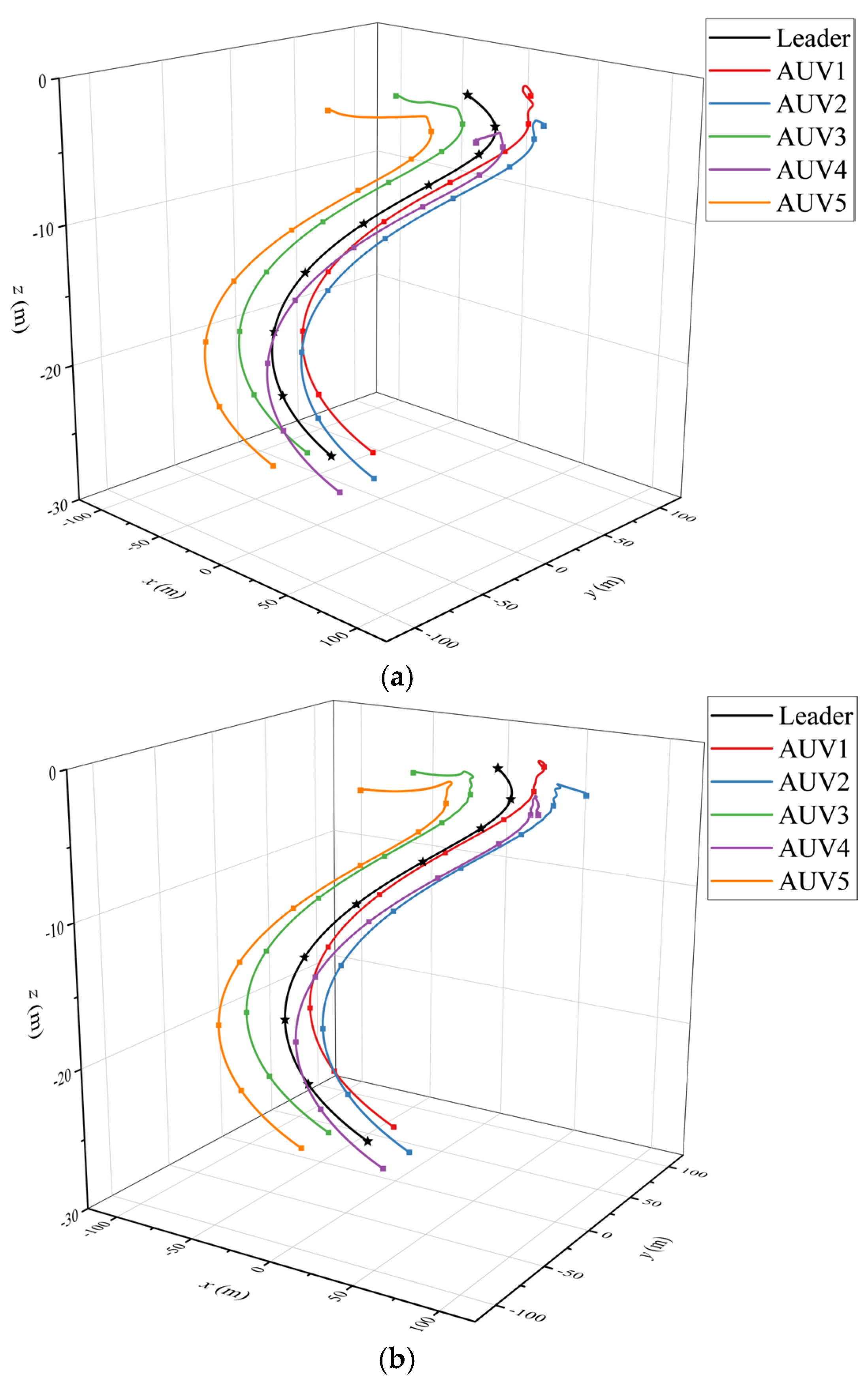
Figure 7 shows the motion trajectories of the AUVs’ formation. The leader AUV is represented by a black five-pointed star, while the five follower AUVs are represented by cubes of different colors. The trajectory of the leader AUV is presented as a solid black line, forming a 3D spiral curve. The five follower AUVs in the formation closely follow the leader AUV, and their motion trajectories are indicated by five solid-colored lines. Both the leader AUV and the five follower AUVs successfully form the preset formation and navigate along the preset trajectories.
The position and attitude state errors of the leader AUV and the follower AUVs under the two control methods are presented in Figure 8 and Figure 9. As shown in Figure 8, the distances maintained between the five follower AUVs and the leader AUV match the predefined formation offsets. A notable difference is that the position state errors in Figure 8a converge more rapidly. From the attitude error plots in Figure 9a,b, it can be observed that both the pitch and yaw angles of the follower AUVs converge to those of the leader AUV. Moreover, under the control protocol proposed in this paper, the attitude state errors converge to zero faster than with the FSMC method. These results indicate that the proposed control strategy outperforms the FSMC approach. Furthermore, when the designed control method is applied, both the position and attitude state errors of all follower AUVs in the formation converge within approximately 60 s, demonstrating that the formation’s position and attitude errors can reach consensus within a fixed time interval.
Figure 10 and Figure 11 present the simulation results of the velocity state errors and angular velocity state errors of each AUV in the formation. It can be observed that when the controller designed in this paper is applied, both the velocity and angular velocity errors of each AUV converge to zero within approximately 60 s, indicating that the velocity and angular velocity states of the follower AUVs achieve consistency with those of the leader AUV within a fixed time. Moreover, the convergence rate is faster than that of the FSMC method.
As shown in Figure 7, Figure 8, Figure 9, Figure 10 and Figure 11, although each AUV in the formation starts from different initial states, the convergence time required for the position, attitude, velocity, and angular velocity error curves remains consistent. This verifies that the designed formation consensus controller achieves fixed-time convergence, and more importantly, the initial states have no influence on the convergence time.
According to Theorems 1–3 and the selected parameters, the convergence time of the FxTDO can be derived as   T d 30   s , that of the FxTSO as   T e 15   s , and that of the formation system as   T s 102   s . The simulation results in Figure 4 show that the actual convergence time of the FxTDO is 13 s, which is less than 30 s. The results in Figure 5 and Figure 6 indicate that the actual convergence time of the FxTSO is 10 s, less than 15 s. Furthermore, the results in Figure 8, Figure 9, Figure 10 and Figure 11 demonstrate that the actual convergence time of the formation system is 60 s, less than 102 s. Therefore, the entire closed-loop system satisfies fixed-time stability.
Figure 12 displays the input curve of the event-triggered controller designed in this paper. As observed in the figure, the control input signal exhibits a staircase pattern, with a distinct peak during the initial stage that gradually stabilizes over time without noticeable chattering.
Figure 13 shows the event-triggered time intervals for each follower AUV in the formation. Table 3 presents a comparison of the controller triggering counts with and without the event-triggered mechanism for the five follower AUVs. The Rate in the table represents the resource saving rate, calculated as   R a t e = T i m e E v e n t / T i m e % , “Time” indicates the number of controller triggers without the event-triggered mechanism, and “Event” indicates the number of triggers with the mechanism enabled. It is clearly shown that without the event-triggered mechanism, the controller was triggered 1600 times. In contrast, after incorporating the event-triggered mechanism, the triggering counts for the followers were reduced to 664, 632, 623, 995, and 514, respectively, demonstrating a high resource saving rate. This comparison clearly illustrates that the proposed consensus controller significantly reduces the number of controller executions, greatly saves communication resources and network bandwidth, and highlights the notable advantages of the event-triggered mechanism in improving energy efficiency and optimizing the operation of the AUV formation control system.
In the proposed event-triggering condition, the parameters   κ 4   and   κ 5   directly determine the magnitude of the triggering threshold. Increasing   κ 4   and   κ 5   universally raises the triggering threshold, thereby effectively reducing communication frequency. However, this may simultaneously lead to an increase in the system’s tracking error due to the decreased control update frequency.
To analyze the trade-off between RMSE [32,33] and event count, we evaluated each AUV’s formation performance by calculating the RMSE of its z-axis consensus error and correlating it with event-triggered communication counts. The resulting relationship is presented in Figure 14. The figure shows an inverse correlation: higher event counts correspond to lower RMSE, indicating that more frequent controller updates improve tracking accuracy. AUV1 achieves a resource saving rate of 58.5% with an RMSE of 0.0847; AUV2 attains a 60.5% resource saving rate corresponding to an RMSE of 0.0886; AUV3 has a 60.1% resource saving rate and an RMSE of 0.0905; AUV4 shows a relatively lower resource saving rate accompanied by a smaller RMSE; and AUV5 reaches the highest resource saving rate with an RMSE of 0.0957. These results explicitly demonstrate a positive correlation between resource saving rate and RMSE, an increase in resource saving rate is associated with a moderate rise in RMSE. Notably, all RMSE values obtained in the experiments fall within the acceptable range for practical AUV formation missions. This verifies that the proposed event-triggered mechanism can effectively reduce communication resource consumption while ensuring the formation precision required for critical missions, thus achieving a rational balance between resource efficiency and tracking accuracy.
To test the robustness of the proposed method, we conduct simulation validation of the multi-AUV formation consensus controller using another communication topology and compare it with the fixed-time event-triggered controller (FxETC) from Ref. [5]. Additionally, to demonstrate the robustness of the triggering mechanism to measurement noise, Gaussian white noise with a variance of 0.002 is introduced to all measurement signals.
Figure 15 illustrates another topology. Figure 16, Figure 17, Figure 18 and Figure 19 present the simulation results of the two methods under the communication topology shown in Figure 15. Figure 16a, Figure 17a, Figure 18a and Figure 19a show the results obtained using the controller proposed in this paper, while the corresponding Figure 16b, Figure 17b, Figure 18b and Figure 19b display the comparative simulation results using the FxETC method as reference.
As observed in Figure 16a, Figure 17a, Figure 18a and Figure 19a, the formation still achieves fixed-time convergence under the alternative communication topology despite the introduction of measurement noise. Although the convergence time shows some delay compared to the noise-free case, it still satisfies the bounds established in Theorems 1–3. Furthermore, comparative analysis with the FxETC method clearly demonstrates that the control strategy proposed in this paper achieves faster convergence speed while maintaining better robustness. The results in Figure 16b, Figure 17b, Figure 18b and Figure 19b indicate that although the formation can still converge when using the FxETC method under measurement noise, the performance is less satisfactory.
Table 4 presents the comparison of communication resource saving rates between the two methods. As can be observed from the table, both approaches can effectively conserve communication resources. The key difference lies in the fact that compared to FxETC, the control method proposed in this paper achieves a higher saving rate while maintaining satisfactory control accuracy.

5. Conclusions

This study addresses the control challenges of multi-AUVs under external disturbances and communication delays by proposing a consensus control scheme. First, an FxTDO is designed to accurately estimate external disturbances within a fixed time, independent of initial conditions, thereby resolving the issue of uncontrollable convergence speed inherent in conventional observers. Second, an FxTSO is developed, which operates without relying on delay-differentiation models and rapidly reconstructs the full state of the leader AUV, effectively compensating for communication delays. Based on the estimates provided by these observers, an event-triggered fixed-time sliding mode consensus controller is designed. Its triggering mechanism significantly reduces communication frequency while ensuring fixed-time convergence of the multi-AUV tracking system. The closed-loop system is rigorously proven to achieve fixed-time stability, with the exclusion of Zeno behavior theoretically guaranteed. Simulation results validate the effectiveness of the proposed method in achieving high-precision multi-AUV tracking and improved communication efficiency under external disturbances and delays. This research provides a robust solution for multi-AUV cooperative control in complex marine environments, demonstrating strong adaptability to external disturbances and significant potential for enhancing overall system performance.
Going forward, it is intended to validate the methodology presented herein via tank and lake experiments.

Author Contributions

K.Z.: Investigation, Writing—original draft. W.Z.: Methodology, Investigation, Funding acquisition. X.D.: Writing—review and editing. Z.L.: Software, Visualization. All authors have read and agreed to the published version of the manuscript.

Funding

This work was supported by National Natural Science Foundation of China (grant numbers: E1102/52071108), and Natural Science Foundation of Heilongjiang Province (grant numbers: JJ2021JQ0075).

Data Availability Statement

Data is contained within the article.

Conflicts of Interest

The authors declare that they have no known competing financial interests or personal relationships that could have appeared to influence the work reported in this paper.

Appendix A

Proof of Theorem 1. 
Taking into account the following Lyapunov function:
V d i = 1 2 f ˜ i T f ˜ i
Taking the derivative of   V d i   leads to
V ˙ d i = f ˜ i T f ˜ ˙ i   = f ˜ i T k 1 s i g α f ˜ i k 2 s i g β f ˜ i k 3 s i g n f ˜ i f ˙ i   = f ˜ i T k 1 s i g α f ˜ i k 2 s i g β f ˜ i k 3 s i g n f ˜ i d i   k 1 f ˜ i T f ˜ i α + 1 2 k 2 f ˜ i T f ˜ i β + 1 2 f ˜ i T k 3 s i g n f ˜ i + d i   k 1 f ˜ i T f ˜ i α + 1 2 k 2 f ˜ i T f ˜ i β + 1 2 f ˜ i T k 3 d i
It can be known from   k 3 > μ   that:
V ˙ d i k 1 f ˜ i T f ˜ i α + 1 2 k 2 f ˜ i T f ˜ i β + 1 2 = 2 α + 1 2 k 1 V d i α + 1 2 2 β + 1 2 k 2 V d i β + 1 2
The FxTDO can estimate external disturbances   d i   within a fixed time, and its convergence time satisfies:
T d 2 1 α 2 k 1 1 α + 2 1 β 2 k 2 β 1

Appendix B

Proof of Theorem 2. 
Construct the following Lyapunov function:
V υ i = 1 2 i = 1 n e υ i 2
Differentiating   V υ i   results in
V ˙ υ i = i = 1 n e υ i e ˙ υ i   = k 6 i = 1 n j = 1 n a i j e υ i s i g α e υ i e υ j k 6 i = 1 n j = 1 n a i j e υ i s i g β e υ i e υ j   k 7 i = 1 n a i 0 e υ i s i g α e υ i k 7 i = 1 n a i 0 e υ i s i g β e υ i
It can be derived that:
i = 1 n j = 1 n a i j e υ i s i g α e υ i e υ j = 1 2 i = 1 n j = 1 n a i j e υ i e υ j α + 1
e υ i s i g α e υ i = e υ i α + 1
Then Equation (A6) can be simplified as:
V ˙ υ i = k 6 2 i = 1 n j = 1 n a i j e υ i e υ j α + 1 k 6 2 i = 1 n j = 1 n a i j e υ i e υ j β + 1   k 7 i = 1 n a i 0 e υ i α + 1 k 7 i = 1 n a i 0 e υ i β + 1   k 6 2 λ 2 L α + 1 2 2 V υ i α + 1 2 k 6 2 λ 2 L β + 1 2 2 V υ i β + 1 2   k 7 a i 0 min n 1 α 2 2 V υ i α + 1 2 k 7 a i 0 min n 1 β 2 2 V υ i β + 1 2   ϖ 1 V υ i α + 1 2 ϖ 2 V υ i β + 1 2
where   λ 2 L   is the algebraic connectivity of the Laplacian matrix,   a i 0 min = min a i 0 > 0 ,   ϖ 1 = 2 α + 1 2 min k 6 2 λ 2 L α + 1 2 , k 7 a i 0 min n 1 α 2 ,   ϖ 2 = 2 β + 1 2 min k 6 2 λ 2 L β + 1 2 , k 7 a i 0 min n 1 β 2 .
It follows from Lemma 2 that   e υ i   can converge to 0 within a fixed time, and the convergence time   T υ   is bounded by the following equation:
T υ 2 ϖ 1 1 α + 2 ϖ 2 β 1
When   t > T υ ,   e υ i = 0 . Therefore, Equation (23) can be written as:
e ˙ p i = k 4 j = 1 n a i j s i g α e p i e p j + s i g β e p i e p j k 5 a i 0 s i g α e p i + s i g β e p i
We choose the following Lyapunov function:
V p i = 1 2 i = 1 n e p i 2
Following a similar derivation, we can obtain:
V ˙ υ i ϖ 3 V p i α + 1 2 ϖ 4 V p i β + 1 2
where  ϖ 3 = 2 α + 1 2 min k 4 2 λ 2 L α + 1 2 , k 5 a i 0 min n 1 α 2 ,   ϖ 4 = 2 β + 1 2 min k 4 2 λ 2 L β + 1 2 , k 5 a i 0 min n 1 β 2 .
It follows from Lemma 2 that   e p i   can converge to 0 within a fixed time. And the convergence time   T e   is bounded by the following equation:
T e T υ + 2 ϖ 3 1 α + 2 ϖ 4 β 1 = 2 ϖ 1 1 α + 2 ϖ 2 β 1 + 2 ϖ 3 1 α + 2 ϖ 4 β 1
From the above analysis, it can be concluded that the FxTSO can estimate the leader’s position and velocity states within a fixed time. □

Appendix C

Proof of Theorem 3. 
Taking into account the following Lyapunov function:
V s = 1 2 s 2
The time derivative with respect to the equation presented in (A15):
V ˙ s = s s ˙   = s e ˙ 2 + F ˙   = s L + R I 5 υ ˙ i υ ^ ˙ i + b 1 s i g ρ 2 ρ 1 e 2 + b 2 s i g β 2 β 1 e 2 + b 3 s i g ρ 4 ρ 3 e 1 + b 4 s i g β 4 β 3 e 1   = s L + R I 5 U i + d i U 0 + b 1 s i g ρ 2 ρ 1 e 2 + b 2 s i g β 2 β 1 e 2 + b 3 s i g ρ 4 ρ 3 e 1 + b 4 s i g β 4 β 3 e 1
It can be deduced from Equation (32) that if   t t k i , t k + 1 i , then
e i t < κ 4 tanh U i + κ 5 < κ 4 + κ 5
Subsequently,   U i   can be devised
U i = U i t U i t U i κ 4 + κ 5 κ 4 + κ 5 = U i t φ t κ 4 + κ 5
where   φ t < 1 .
Then Equation (A16) can be derived as follows:
V ˙ s = s L + R I 5 δ t κ 4 + κ 5 κ 1 s α κ 2 s β κ 3 tanh κ 3 s χ   L + R I 5 κ 1 s s α L + R I 5 κ 2 s s β L + R I 5 s φ t κ 4 + κ 5 + κ 3 tanh κ 3 s χ   L + R I 5 κ 1 s s α L + R I 5 κ 2 s s β + L + R I 5 s κ 4 + κ 5 s i κ 3 tanh κ 3 s χ   L + R I 5 κ 1 s s α L + R I 5 κ 2 s s β + L + R I 5 s κ 3 s i κ 3 tanh κ 3 s χ   L + R I 5 κ 1 s s α L + R I 5 κ 2 s s β + L + R I 5 ι δ   ϖ 5 V s α + 1 2 ϖ 6 V s β + 1 2 + ϑ
where   ϖ 5 = 2 α + 1 2 λ min ( L + R ) I 5 κ 1 ,   ϖ 6 = 2 β λ min ( L + R ) I 5 κ 2 ,   ϑ = L + R I 5 ι δ .
To sum up, within a fixed time, the system is guaranteed to arrive at the sliding surface. According to Lemma 1, its convergence time is:
T s T d + T e + 2 ϖ 5 Ω 1 α + 2 ϖ 6 Ω β 1
where   0 < Ω < 1 . □

Appendix D

Proof of Theorem 4. 
When the sliding mold surface   s = 0 , it satisfies:
e 2 = F F ˙ = b 1 s i g ρ 2 ρ 1 e 2 + b 2 s i g β 2 β 1 e 2 + b 3 s i g ρ 4 ρ 3 e 1 + b 4 s i g β 4 β 3 e 1
Differentiating   e 2 i   with respect to time yields
e ˙ 2 = b 1 s i g ρ 2 ρ 1 e 2 b 2 s i g β 2 β 1 e 2 b 3 s i g ρ 4 ρ 3 e 1 b 4 s i g β 4 β 3 e 1
Taking into account the following Lyapunov function:
V e = b 3 1 1 + ρ 4 ρ 3 e 1 1 + ρ 4 ρ 3 + b 4 1 1 + β 4 β 3 e 1 1 + β 4 β 3 + 1 2 e 2 2
The time derivative of (A23), after substitution of (A22):
V ˙ e = b 3 e 1 ρ 4 ρ 3 e 2 + b 4 e 1 β 4 β 3 e 2 + e 2 T e ˙ 2   = b 3 e 1 ρ 4 ρ 3 e 2 + b 4 e 1 β 4 β 3 e 2 b 1 e 2 T s i g ρ 2 ρ 1 e 2 b 2 e 2 T s i g β 2 β 1 e 2 e 2   b 3 e 2 T s i g ρ 4 ρ 3 e 1 b 4 e 2 T s i g β 4 β 3 e 1   b 1 e 2 T s i g ρ 2 ρ 1 e 2 b 2 e 2 T s i g β 2 β 1 e 2 e 2   b 1 e 2 2 ρ 1 + ρ 2 2 ρ 1 b 2 e 2 2 β 1 + β 2 2 β 1
It can be obtained from this that   e 2   asymptotically converges to 0. Similarly, in accordance with Equation (A22), it becomes evident that   e 1   also asymptotically converges to 0.
Consequently, based on Equation (A24) and inspired by the work of Ref. [34], the   e 1   and   e 2   will converge to 0 within a fixed time. □

Appendix E

Proof of Theorem 5. 
According to Equation (31), for   t t k i , t k + 1 i , we have
e ˙ i t = U ˙ i t U ˙ i U ˙ i t
Since   U ˙ i t   is bounded, then
e ˙ i t ς
where   ς   is a positive constant.
Integrating both sides of Equation (A26) simultaneously
e i t t k i t k + 1 i ς d t ς t k + 1 i t k i
From this, the following inequality can be obtained
t k + 1 i t k i κ 4 tanh U i + κ 5 ς κ 5 ς > 0
As can be seen from Equation (A28), the Zeno phenomenon can be excluded. □

References

  1. Wang, C.; Cai, W.; Lu, J.; Ding, X.; Yang, J. Design, Modeling, Control, and Experiments for Multiple AUVs Formation. IEEE Trans. Autom. Sci. Eng. 2022, 19, 2776–2787. [Google Scholar] [CrossRef]
  2. Yao, M.; Yu, L.; Guo, K.; Lu, Y.; Zhang, W.; Qiao, L. Distributed Two-Layered Leader–Follower Affine Formation Control for Multiple AUVs in 3-D Space. IEEE Trans. Syst. Man Cybern. Syst. 2025, 55, 85–95. [Google Scholar] [CrossRef]
  3. Wang, Z.; Wang, Y.; Sun, Y.; Qin, H. Fixed-Time Dynamic Event-Triggered Three-Dimensional Formation Control for Multi-AUV System with Disturbance Observer. Ocean Eng. 2024, 308, 118165. [Google Scholar] [CrossRef]
  4. Er, M.J.; Gong, H.; Liu, Y.; Liu, T. Intelligent Trajectory Tracking and Formation Control of Underactuated Autonomous Underwater Vehicles: A Critical Review. IEEE Trans. Syst. Man Cybern. Syst. 2024, 54, 543–555. [Google Scholar] [CrossRef]
  5. Meng, C.; Mo, T.; Zhang, X. Distributed Fixed-Time Dynamic Event-Triggered Leaderless Formation Control for Multiple AUVs Based on FRBFDO. Ocean Eng. 2024, 307, 118241. [Google Scholar] [CrossRef]
  6. Wang, J.; Du, J.; Lewis, F.L. Distributed Fixed-Time Nonsingular Terminal Sliding Mode 3-D Formation Control of Underactuated AUVs. In Proceedings of the 2024 9th International Conference on Automation, Control and Robotics Engineering (CACRE), Jeju Island, Republic of Korea, 18–20 July 2024; pp. 329–333. [Google Scholar] [CrossRef]
  7. Close, J.; Van, M.; McIlvanna, S. PID-Fixed Time Sliding Mode Control for Trajectory Tracking of AUVs Under Disturbance. IFAC-PapersOnLine 2024, 58, 281–286. [Google Scholar] [CrossRef]
  8. Li, D.; Du, L. AUV Trajectory Tracking Models and Control Strategies: A Review. J. Mar. Sci. Eng. 2021, 9, 1020. [Google Scholar] [CrossRef]
  9. Li, X.; Qin, H.; Li, L.; Xue, Y. Fixed-Time Velocity-Free Safe Formation Control of AUVs with Actuator Saturation and Unknown Disturbances. Ocean Eng. 2023, 285, 115361. [Google Scholar] [CrossRef]
  10. Chen, B.; Hu, J.; Zhao, Y.; Ghosh, B.K. Finite-Time Velocity-Free Observer-Based Consensus Tracking for Heterogeneous Uncertain AUVs via Adaptive Sliding Mode Control. Ocean Eng. 2021, 237, 109565. [Google Scholar] [CrossRef]
  11. Yan, T.; Xu, Z.; Yang, S.X. Consensus Formation Tracking for Multiple AUV Systems Using Distributed Bioinspired Sliding Mode Control. IEEE Trans. Intell. Veh. 2023, 8, 1081–1092. [Google Scholar] [CrossRef]
  12. Meng, C.; Zhang, W.; Du, X. Finite-Time Extended State Observer Based Collision-Free Leaderless Formation Control of Multiple AUVs via Event-Triggered Control. Ocean Eng. 2023, 268, 113605. [Google Scholar] [CrossRef]
  13. Luo, Y.; Pang, J.; Cao, J.; Yao, Y. Finite-Time Dynamic Event-Triggered Consensus of Multi-Agent Systems with Mismatched Disturbances Based on Disturbance Observer. J. Frankl. Inst. 2023, 360, 10876–10892. [Google Scholar] [CrossRef]
  14. Suryendu, C.; Subudhi, B. Formation Control of Multiple Autonomous Underwater Vehicles Under Communication Delays. IEEE Trans. Circuits Syst. II Express Briefs 2020, 67, 3182–3186. [Google Scholar] [CrossRef]
  15. Yan, Z.; Zhang, C.; Tian, W.; Zhang, M. Formation Trajectory Tracking Control of Discrete-Time Multi-AUV in a Weak Communication Environment. Ocean Eng. 2022, 245, 110495. [Google Scholar] [CrossRef]
  16. Yan, Z.; Yang, Z.; Yue, L.; Wang, L.; Jia, H.; Zhou, J. Discrete-Time Coordinated Control of Leader-Following Multiple AUVs under Switching Topologies and Communication Delays. Ocean Eng. 2019, 172, 361–372. [Google Scholar] [CrossRef]
  17. Yan, Z.; Yang, Z.; Pan, X.; Zhou, J.; Wu, D. Virtual Leader Based Path Tracking Control for Multi-UUV Considering Sampled-Data Delays and Packet Losses. Ocean Eng. 2020, 216, 108065. [Google Scholar] [CrossRef]
  18. Li, J.; Tian, Z.; Zhang, H. Discrete-Time AUV Formation Control with Leader-Following Consensus under Time-Varying Delays. Ocean Eng. 2023, 286, 115678. [Google Scholar] [CrossRef]
  19. Yan, Z.; Yan, J.; Nan, F.; Cai, S.; Hou, S. Distributed TMPC Formation Trajectory Tracking of Multi-UUV with Time-Varying Communication Delay. Ocean Eng. 2024, 297, 117091. [Google Scholar] [CrossRef]
  20. Du, J.; Li, J.; Lewis, F.L. Distributed 3-D Time-Varying Formation Control of Underactuated AUVs with Communication Delays Based on Data-Driven State Predictor. IEEE Trans. Ind. Inform. 2023, 19, 6963–6971. [Google Scholar] [CrossRef]
  21. Wang, H.; Su, B. Event-Triggered Formation Control of AUVs with Fixed-Time RBF Disturbance Observer. Appl. Ocean Res. 2021, 112, 102638. [Google Scholar] [CrossRef]
  22. Su, B.; Wang, H.; Wang, Y. Dynamic Event-Triggered Formation Control for AUVs with Fixed-Time Integral Sliding Mode Disturbance Observer. Ocean Eng. 2021, 240, 109893. [Google Scholar] [CrossRef]
  23. Wang, Z.; Xu, B.; Li, W.; Feng, Z. Multi-AUV Heterogeneous Bipartite Consensus Formation Obstacle Avoidance Algorithm Based on Event Triggering-RMPC under Measurement-Communication Union Framework. J. Frankl. Inst. 2024, 361, 106885. [Google Scholar] [CrossRef]
  24. Liu, S.; Zhang, R.; Zhao, D.; Song, H. Adaptive Dual-Channel Event-Triggered Fuzzy Control for Autonomous Underwater Vehicles With Multiple Obstacles Environment. IEEE Trans. Intell. Transp. Syst. 2024, 25, 14816–14829. [Google Scholar] [CrossRef]
  25. Thuyen, N.A.; Thanh, P.N.N.; Anh, H.P.H. Distributed Event-Triggered Adaptive Finite-Time Formation Control for Multiple under-Actuated AUVs Using Command Filtered Backstepping Technique with Prescribed Performance. Eur. J. Control 2025, 82, 101183. [Google Scholar] [CrossRef]
  26. Yao, M.; Guo, K.; Lu, Y.; Zhang, W.; Qiao, L. Distributed Adaptive Integral Sliding Mode Affine Formation Maneuver Control for Multiple AUVs With Event-Triggered Chattering-Reduction Mechanism. IEEE Trans. Veh. Technol. 2024, 73, 16341–16350. [Google Scholar] [CrossRef]
  27. Shojaei, K.; Arefi, M.M. On the Neuro-adaptive Feedback Linearising Control of Underactuated Autonomous Underwater Vehicles in Three-dimensional Space. IET Control Theory Appl. 2015, 9, 1264–1273. [Google Scholar] [CrossRef]
  28. Gao, Z.; Guo, G. Fixed-Time Sliding Mode Formation Control of AUVs Based on a Disturbance Observer. IEEE/CAA J. Autom. Sin. 2020, 7, 539–545. [Google Scholar] [CrossRef]
  29. Polyakov, A. Nonlinear Feedback Design for Fixed-Time Stabilization of Linear Control Systems. IEEE Trans. Autom. Control 2012, 57, 2106–2110. [Google Scholar] [CrossRef]
  30. Cheng, W.; Zhang, K.; Jiang, B. Hierarchical Structure-Based Fixed-Time Optimal Fault-Tolerant Time-Varying Output Formation Control for Heterogeneous Multiagent Systems. IEEE Trans. Syst. Man Cybern. Syst. 2023, 53, 4856–4866. [Google Scholar] [CrossRef]
  31. An, S.; Wang, X.; Wang, L.; He, Y. Observer Based Fixed-Time Integral Sliding Mode Tracking Control for Underactuated AUVs via an Event-Triggered Mechanism. Ocean Eng. 2023, 284, 115158. [Google Scholar] [CrossRef]
  32. Chen, X.; Ma, F.; Wu, Y.; Han, B.; Luo, L.; Biancardo, S.A. MFMDepth: MetaFormer-Based Monocular Metric Depth Estimation for Distance Measurement in Ports. Comput. Ind. Eng. 2025, 207, 111325. [Google Scholar] [CrossRef]
  33. Li, Y.; Pu, Z.; Liu, P.; Qian, T.; Hu, Q.; Zhang, J.; Wang, Y. Efficient Predictive Control Strategy for Mitigating the Overlap of EV Charging Demand and Residential Load Based on Distributed Renewable Energy. Renew. Energy 2025, 240, 122154. [Google Scholar] [CrossRef]
  34. Andrieu, V.; Praly, L.; Astolfi, A. Homogeneous Approximation, Recursive Observer Design, and Output Feedback. SIAM J. Control Optim. 2008, 47, 1814–1850. [Google Scholar] [CrossRef]
Figure 1. Coordinate system schematic.
Figure 1. Coordinate system schematic.
Jmse 13 02294 g001
Figure 2. The communication topological diagram.
Figure 2. The communication topological diagram.
Jmse 13 02294 g002
Figure 3. Disturbances and disturbances estimation of AUV1 using DO, ESO and FxTDO.
Figure 3. Disturbances and disturbances estimation of AUV1 using DO, ESO and FxTDO.
Jmse 13 02294 g003
Figure 4. Disturbances estimation errors of AUV1 using DO, ESO and FxTDO.
Figure 4. Disturbances estimation errors of AUV1 using DO, ESO and FxTDO.
Jmse 13 02294 g004
Figure 5. The estimation of the leader’s position state for AUV1 based on FxTSO.
Figure 5. The estimation of the leader’s position state for AUV1 based on FxTSO.
Jmse 13 02294 g005
Figure 6. The estimation of the leader’s velocity state for AUV1 based on FxTSO.
Figure 6. The estimation of the leader’s velocity state for AUV1 based on FxTSO.
Jmse 13 02294 g006
Figure 7. Trajectory tracking results. (a) Under the proposed controller. (b) Under the FSMC controller.
Figure 7. Trajectory tracking results. (a) Under the proposed controller. (b) Under the FSMC controller.
Jmse 13 02294 g007
Figure 8. Position tracking errors. (a) Under the proposed controller. (b) Under the FSMC.
Figure 8. Position tracking errors. (a) Under the proposed controller. (b) Under the FSMC.
Jmse 13 02294 g008
Figure 9. Angle tracking errors. (a) Under the proposed controller. (b) Under the FSMC.
Figure 9. Angle tracking errors. (a) Under the proposed controller. (b) Under the FSMC.
Jmse 13 02294 g009
Figure 10. Velocity tracking errors. (a) Under the proposed controller. (b) Under the FSMC.
Figure 10. Velocity tracking errors. (a) Under the proposed controller. (b) Under the FSMC.
Jmse 13 02294 g010
Figure 11. Angle velocity tracking errors. (a) Under the proposed controller. (b) Under the FSMC.
Figure 11. Angle velocity tracking errors. (a) Under the proposed controller. (b) Under the FSMC.
Jmse 13 02294 g011
Figure 12. Input action under the proposed controller. (a) Input force. (b) Input torque.
Figure 12. Input action under the proposed controller. (a) Input force. (b) Input torque.
Jmse 13 02294 g012
Figure 13. Event-triggered interval time of the AUVs formation.
Figure 13. Event-triggered interval time of the AUVs formation.
Jmse 13 02294 g013
Figure 14. The trade-off between RMSE and event count.
Figure 14. The trade-off between RMSE and event count.
Jmse 13 02294 g014
Figure 15. The communication topological diagram.
Figure 15. The communication topological diagram.
Jmse 13 02294 g015
Figure 16. Position tracking errors. (a) Under the proposed controller. (b) Under the FxETC.
Figure 16. Position tracking errors. (a) Under the proposed controller. (b) Under the FxETC.
Jmse 13 02294 g016
Figure 17. Angle tracking errors. (a) Under the proposed controller. (b) Under the FxETC.
Figure 17. Angle tracking errors. (a) Under the proposed controller. (b) Under the FxETC.
Jmse 13 02294 g017
Figure 18. Velocity tracking errors. (a) Under the proposed controller. (b) Under the FxETC.
Figure 18. Velocity tracking errors. (a) Under the proposed controller. (b) Under the FxETC.
Jmse 13 02294 g018
Figure 19. Angle velocity tracking errors. (a) Under the proposed controller. (b) Under the FxETC.
Figure 19. Angle velocity tracking errors. (a) Under the proposed controller. (b) Under the FxETC.
Jmse 13 02294 g019
Table 1. Controller parameters.
Table 1. Controller parameters.
ParameterValueParameterValue
  α   0.6   β 1   5
  β   1.2   β 2   7
  k 1   0.2   β 3   3
  k 2   0.3   β 4   7
  k 3   13   b 1   1
  k 4   1   b 2   1
  k 5   1   b 3   0.9
  k 6   1   b 4   0.9
  k 7   1   κ 1   0.1
  ρ 1   10   κ 2   0.1
  ρ 2   5   κ 3   2
  ρ 3   9   κ 4   0.1
  ρ 4   3   κ 5   0.2
Table 2. The initial states of the formation.
Table 2. The initial states of the formation.
AUVPosition StateVelocity State
Leader AUV   60 , 0 , 0 , π / 6 , π / 6 T     0.755 , 0 , 0.115 , 0 , π / 250 T  
AUV1   60 , 50 , 1 , π / 6 , π / 6 T     0.5 , 0 , 0 , 0 , 0 T  
AUV2   110 , 0 , 1 , π / 6 , π / 6 T     0.5 , 0 , 0 , 0 , 0 T  
AUV3   10 , 0 , 1 , π / 6 , π / 6 T     0.5 , 0 , 0 , 0 , 0 T  
AUV4   110 , 50 , 1 , π / 6 , π / 6 T     0.5 , 0 , 0 , 0 , 0 T  
AUV5   10 , 50 , 1 , π / 6 , π / 6 T     0.5 , 0 , 0 , 0 , 0 T  
Table 3. The communication frequency of each AUV.
Table 3. The communication frequency of each AUV.
AUVWithout Event-TriggeredWith Event-TriggeredRate (%)
AUV1160066458.5%
AUV2160063260.5%
AUV3160062360.1%
AUV4160099537.8%
AUV5160051467.9%
Table 4. Comparison table of communication resource saving rates.
Table 4. Comparison table of communication resource saving rates.
AUVThe Proposed ControllerRate (%)FxETCRate (%)
AUV166158.7%76352.3%
AUV264859.5%83347.9%
AUV364559.7%78351.1%
AUV492941.9%107233%
AUV551867.6%62361.1%
Disclaimer/Publisher’s Note: The statements, opinions and data contained in all publications are solely those of the individual author(s) and contributor(s) and not of MDPI and/or the editor(s). MDPI and/or the editor(s) disclaim responsibility for any injury to people or property resulting from any ideas, methods, instructions or products referred to in the content.

Share and Cite

MDPI and ACS Style

Zhang, K.; Zhang, W.; Du, X.; Li, Z. Fixed-Time Event-Triggered Sliding Mode Consensus Control for Multi-AUV Formation Under External Disturbances and Communication Delays. J. Mar. Sci. Eng. 2025, 13, 2294. https://doi.org/10.3390/jmse13122294

AMA Style

Zhang K, Zhang W, Du X, Li Z. Fixed-Time Event-Triggered Sliding Mode Consensus Control for Multi-AUV Formation Under External Disturbances and Communication Delays. Journal of Marine Science and Engineering. 2025; 13(12):2294. https://doi.org/10.3390/jmse13122294

Chicago/Turabian Style

Zhang, Kaihang, Wei Zhang, Xue Du, and Zixuan Li. 2025. "Fixed-Time Event-Triggered Sliding Mode Consensus Control for Multi-AUV Formation Under External Disturbances and Communication Delays" Journal of Marine Science and Engineering 13, no. 12: 2294. https://doi.org/10.3390/jmse13122294

APA Style

Zhang, K., Zhang, W., Du, X., & Li, Z. (2025). Fixed-Time Event-Triggered Sliding Mode Consensus Control for Multi-AUV Formation Under External Disturbances and Communication Delays. Journal of Marine Science and Engineering, 13(12), 2294. https://doi.org/10.3390/jmse13122294

Note that from the first issue of 2016, this journal uses article numbers instead of page numbers. See further details here.

Article Metrics

Back to TopTop