Abstract
A case study is conducted for a submerged floating tunnel module (SFTM) in wet tow conditions. Inspired by the successful wet tow operations of spar platforms, a wet tow scenario is examined where a tunnel module, floating horizontally with a half-diameter draft, is towed by tugboats using towlines. To evaluate the static stability of the SFTM during wet tow, numerical static offset tests are performed at varying tow speeds to determine the equivalent system stiffness. These static offset tests consider surge, sway, roll, and yaw motions. Statistical analyses are subsequently performed based on the encounter-frequency approximation with varying equivalent stiffnesses. The most probable extreme motion analysis for 3 h under sea state 4 ( and ) shows that the beam sea condition causes the largest heave (0.6 m), and the stern sea (30 deg.) leads to the largest yaw response (0.85 deg.), which is likely to cause an instantaneous decrease in towing stability.
1. Introduction
A submerged floating tunnel (SFT) is an innovative underwater structure designed for deep-water and long-distance crossings [1]. In recent years, the SFT system has been extensively studied (e.g., [2,3,4,5,6,7,8,9,10,11,12]). Most studies are in the preliminary stage and restricted to the operational phase. Research relevant to the installation and transportation phases is also critical; however, there has been only limited work on this topic. For example, Jin and Kim [6] have carried out some case studies on the installation and transportation stages of a submerged floating tunnel module (SFTM), but there are limited details and studies focused on transportation. Lee et al. [13] conducted a preliminary study on the static stability of an SFTM in the wet tow condition. It should be noted that SFTM refers to a segmented module that is later assembled with other modules to form a single SFT at the installation site. This study investigates horizontal wet tow scenarios for an SFTM using tugboats and towlines, motivated by successful wet tow operations of spar platforms. [14,15].
Since the static problem must be pre-solved before implementing dynamic problems, accurate modeling and thorough analysis of the static problem are important. On top of the well-defined static problem, dynamic analyses can be performed in both the time and frequency domains. Especially for mooring or towing problems, the initial stress effect, i.e., pre-tensions on the towed or moored structure, should be carefully evaluated.
In this study, numerical offset tests are performed for 4-degrees-of-freedom (DOF) SFTM motions that include surge, sway, roll, and yaw. These tests are conducted at varying tow speeds to obtain the equivalent system stiffness of the coupled SFTM system, allowing the evaluation of static stability. The equivalent stiffness can be determined through various methods, either analytically or numerically [16,17]. However, previous studies are mostly restricted to stationary moored structures tested for operation or installation scenarios. To the authors’ knowledge, there has rarely been research on towing problems for SFTMs, where it is typical to perform coupled time-domain simulations without thorough static or steady-state analyses.
In the coupled floater-mooring analysis, two representative approaches are the lumped-mass and finite element rod theories [18,19,20]. However, in this study, we employed a continuum-based nonlinear finite element model [21,22]. A series of nonlinear static equations for the SFTM, towlines, and constraints are derived. Specifically, the total Lagrangian formulation for the towlines and rigid SFTM motions is fully coupled based on the method of Lagrange multipliers. A sequential procedure for the numerical static offset tests is proposed and performed for several wet tow conditions. Pre-tension effects due to the different tow speeds are first checked. Based on each tow speed’s equilibrium state, offset tests are performed for the 4-DOF motions. Since the roll restoring moment becomes nearly zero when the geometric center coincides with the mass center, equivalent metacentric heights for the coupled wet tow system are obtained. The Munk moment effect, which is a destabilizing moment acting to turn the SFTM perpendicular to the incoming flow, is also investigated in the yaw offset test [23].
The paper consists of five sections. In Section 2, the mathematical modeling of the coupled SFTM system and the statistical analysis procedure are described. In Section 3, some configurations and parameters related to the SFTM’s stability are discussed, and numerical results and key discussions of the offset tests are presented in Section 4, followed by conclusions in Section 5.
2. Mathematical Implementation
Based on a steadily moving coordinate system, a dynamic problem can be described as a static/steady problem. The hydrodynamic and aerodynamic loadings are evaluated with respect to the steadily moving reference frame, i.e., relative wind and current loadings are used. With reference to this frame, the motion of the tugs is assumed to occur at a constant speed, and thus they are modeled as fixed points. A sketch of the wet tow configuration is illustrated in Figure 1.
Figure 1.
Wet tow configurations for the SFTM study with four tugboats and towing lines.
The SFTM motion is assumed to be a rigid body submerged with a half-diameter draft, and the towlines are modeled with a geometrically nonlinear beam finite element model. Static governing equations for the SFTM and towlines are separately derived and coupled using the method of Lagrange multipliers, which avoids direct calculations of stress resultants and fairlead modeling. The finite rotation effects of the towlines and the SFTM are considered based on Rodrigues’ formula [22]. A coupled system of static equations is derived by taking the first variation of a constrained energy functional as
where the first and second terms on the left-hand side are the potential energies of the SFTM and the towlines, respectively, and the third term is a constraint of two position vectors at the fairlead positions. Each term will be discussed in the following sections.
2.1. Statics of the SFTM
The virtual work done by the rigid SFTM can be represented as
where , which is the 6-DOF displacement vector (surge, sway, heave, roll, pitch, and yaw) and ; here, subscripts , , and denote hydrostatic, drag, and inertia, respectively; and superscript denotes the -th iteration. Each term is given by
where is the waterplane area (assumed to be constant, for simplicity); is the displaced volume; and are the transverse and longitudinal metacentric heights, respectively; and are the drag coefficients in tangential and normal directions; and and are the frontal areas of tangential and normal directions. Note that friction resistance is neglected because the drag coefficients employed here are measured in a fully submerged state and are generally greater than the surface-piercing body case. and are the tangential and normal directional components of incoming flow, i.e., and with ; here, can be either relative wind speed in the air or tow speed in the water. is the so-called Munk moment, which is discussed later. All the forces at the -th configuration can be linearized into
where and are the force vector and restoring stiffness matrix at (i − 1)th iteration, and the unknown displacement vector, , will be calculated by solving a coupled algebraic equation. In the above, the left super- and subscripts denote deformed () and undeformed () configurations, and it follows Bathe’s notation [24].
2.2. Statics of Towlines
The virtual work done by towlines is given by
which is decomposed into the internal and external works as . The external work is subdivided into , in which is the body force; is the surface force; and is the line force, respectively.
The internal force is derived based on the total Lagrangian formulation as
where
In the above, and denote the linear and nonlinear strain-displacement compatibility 2nd rank tensors, where contains both the nonlinear part of the Green-Lagrange strain and finite rotations; is the 4th rank constitutive tensor; is the Second Piola–Kirchhoff stress tensor; denotes the number of line elements; and the tildes above indicate the covariant and contravariant components, as it is convenient for curved geometry to be described in a natural coordinate system. A continuum-based geometrically nonlinear beam finite element model is employed for the present study, and more details can be found in Ref. [22].
On the other hand, the external works are performed by the cable’s net buoyancy and hydrodynamic drag forces. Similar to Equation (8), all the external force terms are decomposed into restoring and force terms; thus, we can write
where the forcing vector and stiffness matrix can be obtained by linearizing the external forces from the abovementioned external loadings.
2.3. Coupled Static Equilibrium Equation and Iterative Solution
To couple prescribed two static equations, the method of Lagrange multipliers is introduced as
where denotes the order of towlines, and and are the end points of the towlines and the SFTM. Taking the first variation and linearization yields
which directly couples the two equations with kinematic conditions, and the stiffness matrices and forcing vectors are obtained by linearizing Equation (12). By combining the prescribed three equations (SFTM, towlines, and constraint) in a matrix form, we can construct a coupled algebraic equation:
Let , , and be coupled stiffness, unknown, and force vectors, respectively. Then, error tolerance, , of the iteration is calculated by
where the error tolerance is set at for the present study.
2.4. Incremental Updates of Configuration with Finite Rotation Effects
As the iteration is repeated, the position vector is updated. As both the SFTM and the towlines contain rotational degrees of freedom, they need special attention due to geometric nonlinearity. The Rodrigues formula is employed in the present study to account for the finite rotation effects in updating the position vector and directors, :
where and are rotational degrees of freedom for the SFTM and the towlines, respectively, and is the center of rotation. The Rodrigues formula is given by
with being a skew matrix of the cross product, and .
2.5. Stress Resultants
The Cauchy’s stress tensor can be obtained as
where is the deformation gradient. Then, the stress resultants upon cross-sections along towlines can be obtained as
where denotes the position vectors of the cross-section at the neutral axis. Along the normal direction to the cable’s sectional area, but not necessarily tangential to the cable’s length direction due to the shear deformation, the force and the moment represent tensile force and torsional moment, respectively. Likewise, forces and moments normal and bi-normal to the outer surface of the cable represent shear forces and bending moments.
2.6. Motion Response of the SFTM
Based on the nonlinear static analysis, the linearized equivalent system stiffness from the hydrostatics and wet tow configuration can be obtained. Then, we further investigate the dynamic responses of the SFTM in the frequency domain. Steady-state analysis is implemented.
The hydrodynamic coefficients, i.e., added mass and radiation-damping matrices and wave-exciting load vector, can be obtained from 3D panel programs, e.g., WAMIT v7.4. The boundary integral equations for diffraction and radiation velocity potentials are solved as follows:
where velocity potential , with being wave frequency. is the incident wave potential, is the diffraction wave potential, and is the radiation potential for -th DOF. is the free-surface Green function of either finite or infinite water depths [25,26]. with and normal vector defined over the wet surface of the SFTM, . and denote position vectors of field and source points, respectively; when coincides with over the wet surface, solid angle comes out as Cauchy’s principal value, as shown in Equations (20) and (21). It should be noted that the body boundary condition neglects the effects of uniform flow and its disturbance, as we assume a very low wet tow speed. Additional integral term over the lid panels at mean water level (MWL) might be considered in case of removing irregular frequencies. Moreover, normal vector component is defined as follows:
where is the position vector measured from the center of the SFTM.
Once we obtain velocity potentials by solving Equations (20) and (21), added mass, radiation-damping coefficients, and wave-exciting loads can be obtained by numerically integrating and over each module’s wet surface:
where denotes sea water density. The added mass, radiation-damping matrices ( and ), and the wave-exciting load vector () are of sizes and , respectively.
The hydrostatic stiffness matrix is given by:
where is the waterplane area, is the displaced volume, and are the centers of floatation in the waterplane along each direction of coordinates, and are centers of gravity measured from the SFTM’s center. The second moment of waterplane area is defined by:
Considering the pre-calculated varying coupled system stiffness, , the motion response amplitude operators (RAOs) can be calculated as follows:
where and are the inertia and added inertia matrices; and are, respectively, the linearized viscous and wave radiation-damping matrices; is the hydrostatic stiffness matrix; is the equivalent stiffness from towlines; is the wave-exciting load vector of the component given in Equation (24); and is an encounter frequency determined by tow speed and wave-heading angle . The denominator stands for inverse matrix.
Assuming a low wet tow speed, the added inertia, wave radiation-damping, and wave-exciting loads are evaluated in the zero-speed form. Any changes due to the presence of uniform flow are neglected, which may influence the frequency-dependent quantities due to the different free-surface boundary conditions and hydrodynamic pressure formula. Taking into account low wet tow speeds, such variation is assumed to be negligible. For moderate forward speeds, double-body or uniform flow approximations can be made. The forward speed effect on the hydrodynamic coefficients and loads, based on the uniform flow approximation, can be easily accounted for by manipulating the zero-speed components, which involve the m-term correction and encounter frequency conversion, as detailed in [27].
2.7. Statistical Analysis
The JONSWAP wave energy spectrum is given by [28]:
where is peak frequency; is significant wave height; is the peak enhancement factor; ; and is spectral width parameter, if , otherwise .
The wave energy spectra for different tow speeds are generated based on the encounter frequency conversion:
where the group velocity with the phase velocity .
Now, the motion spectra and their statistics can be estimated based on the input wave spectrum and RAOs. In the linear time-invariant system, the motion spectrum can be obtained as follows:
Subsequently, in a typical statistical analysis with the assumptions of Gaussian and narrow-banded Rayleigh distributions, the wave elevation and motion response are estimated as follows:
- : Standard deviation
- : The most probable extreme amplitude for 3 h,
where is either (wave) or (motion amplitude for -mode); ; and mean wave period .
3. Considerations in the Stability Analysis of the SFTM
3.1. Roll Stability
As mentioned earlier, the SFTM is a circular cylinder horizontally afloat with a half-diameter draft. Thus, pressure loadings that act normally on the outer surface of the SFTM are directed toward the geometric center. Considering that the center of rotation is located near the geometric center, it can be easily expected that the resulting hydrostatic pressure-induced moment is zero. Accordingly, the transverse metacentric height () of the SFTM becomes zero unless the center of gravity is non-zero, as
where is the displaced volume of the SFTM; is the second moment of waterplane area; and and are the centers of buoyancy and gravity, respectively, as illustrated in Figure 2a. As presented in the above equation, the metacentric height reduces to a vertical coordinate of the center of gravity in a negative sign. In this problem, an additional component involved in the roll stability is the towline’s stiffness, which can result in a more important role in the metacentric height and resulting role stability.
Figure 2.
Sketches of the SFTM. (a) SFTM cross-section: center of gravity and buoyancy (frontal view). (b) Destabilizing yaw moment (Munk moment) in the presence of incoming flow (top-view).
3.2. Destabilizing Moment (Munk Moment)
The Munk moment is a destabilizing moment and acts to turn the body perpendicular to the incoming flow (see Figure 2b). To calculate the Munk moment, we calculate the double-body velocity potential, which is the zero-frequency limit of the frequency-dependent velocity potential. The Munk moment is calculated by:
where and are added mass for surge and sway at zero-frequency obtained from the commercial program WAMIT [29], for which a water depth of 70 m is assumed. The generated hydrodynamic mesh is illustrated in Figure 3. The quarter number of meshes is 492, which is fine enough considering the dimension and wavelength for a typical frequency range of wave energy spectra. The nondimensionalized added masses by water density are and . Since the Munk moment is proportional to , a body with a high aspect ratio may be subject to a larger Munk moment. We assumed in the present study that the Munk moment in air is proportional to the square of the tow speed, not the relative wind speed, as they are marginal. We will investigate the effects of the Munk moment in the yaw offset test in the next section.
Figure 3.
Hydrodynamic mesh of the SFTM generated for WAMIT v7.4 simulation.
4. Numerical Results and Discussions
4.1. Static Offset Test in Wet Tow Conditions
A sequential procedure is summarized in the flow chart in Figure 4. As we are dealing with a geometrically nonlinear problem, we split the offset test procedure into multiple sub-steps, and at each sub-step, incremental loads are imposed on the SFTM to generate load-displacement curves. The same procedure is repeated for different DOFs, tow speeds, and line arrangements; here, the different line arrangements refer to different angles, , of the towlines at the fairleads of the SFTM, as shown in Figure 5. As shown, four tugboats are arranged in parallel, towing the SFTM with evenly distributed towline tensions. It should be ensured that the tugboats, under lateral loads from towlines caused by instantaneous SFTM motion, can maintain their dynamic stability. In addition, overstressing or slack of the towlines should be avoided by controlling the system. The front two tugboats provide propulsion and steer the towing direction, while the two rear tugboats control the orientation of the system’s rear end [30]. The towlines are connected to the tugboats 3 m above the MWL. The range of input parameters and wet tow conditions used in the calculations is given in Table 1. Also, the principal dimensions of the SFTM and towlines are given in Table 2. Because the current towlines are modeled using a continuum-based 3D beam finite element approach, the solution is likely to diverge when the bending stiffness is too small. To avoid such a numerical barrier, the towline diameter is increased to 0.24 m while maintaining the axial stiffness (EA) of a steel wire rope employed in a static towing analysis performed by MARIN (Maritime Research Institute Netherlands), as in ref. [31].
Figure 4.
Flow chart of the overall procedure.
Figure 5.
A wet tow configuration: birds-eye view.
Table 1.
Wet tow conditions.
Table 2.
Principal dimensions of the SFTM and towlines.
4.2. Pre-Tensions
Pre-tensions were calculated for different tow speeds and towline angles, as shown in Figure 6, as they are determined by towing resistance that requires the bollard pull of tugboats. For validation purposes, an equivalent coupled towline–SFTM model was developed in the commercial software, OrcaFlex v11.4, from which the pre-tension for is generated and given in Figure 6. First of all, the comparison between OrcaFlex v11.4 and the in-house program shows matching results at different tow speeds. The pre-tensions were measured at positions very close to the fairleads. It can be seen that the towline angles affect the pre-tensions, although they are connected as hinged-type constraints. Additionally, it is found that these pre-tensions increase quadratically with the increase in tow speed. This can be easily explained by noting that the drag force is proportional to the square of the incoming flow speed. Since pre-tensions have a positive impact on the system’s restoring force, we restrict them to be , ensuring higher pre-tensions. It should be noted that aerodynamic drag is considered to have a wind speed of 6 m/s at 10 m above MWL, but it is at a negligible level, i.e., the relative order of , to the hydrodynamic drag. Further, mean wave drift load is neglected in the calculation of pre-tension and load-displacement curves, as it is sea state-dependent.
Figure 6.
Variation of pre-tensions for different towline angles and tow speeds.
4.3. Load-Displacement Curves
At the static equilibrium of each tow speed, static offset tests are subsequently performed by imposing incremental load steps to generate nonlinear load-displacement curves. The corresponding offset DOF and surge DOF are enabled, whereas all the other DOFs are disabled. Snapshots of 4-DOF SFTM motions at are shown in Figure 7, and load-displacement curves are shown in Figure 8, Figure 9 and Figure 10. Again, the comparison between OrcaFlex v11.4 and the in-house program is considered. The results show that at low displacements, they are well matched, although discrepancies are observed at higher displacements owing to the modeling differences between the lumped-mass method in OrcaFlex v11.4 and the continuum-based nonlinear finite element model in the present study. In the case of surge (See Figure 8a), the equivalent stiffness is non-symmetric with respect to the equilibrium position, as the wet tow configuration is also non-symmetric in surge. When positive loads exceed the towing drag of the SFTM, all the towlines will be instantaneously in slack and experience a significant reduction in stiffness. On the other hand, as shown in Figure 8b showing a sway load-displacement curve, due to symmetry, displacement-force curves are in symmetry as well. Also, rapid decreases in stiffness are observed, i.e., the slope of the curves decreases as displacement increases, due to the slack of the towlines located on the opposite side of the applied loads (See Figure 7b).
Figure 7.
Snapshots of offset test for 4-DOF SFTM motions ().
Figure 8.
Surge and sway DOF load-displacement curves.
Figure 9.
Roll DOF load-displacement curve: The equivalent metacentric height is the sum of the hydrostatic and towing stiffnesses.
Figure 10.
Yaw DOF load-displacement curve: Munk moment effect (black) included and (red) excluded.
Figure 9 shows a load-displacement curve for roll DOF, and the corresponding snapshot is shown in Figure 7c. As discussed, the static stability of the roll motion is slight, i.e., the transverse metacentric height () is nearly zero. In this regard, the equivalent , which is calculated by dividing the weight force of the SFTM by the equivalent roll stiffness for varying tow speeds, is summarized in Table 3. The of 0.1 m is initially set as a minimum value to prevent numerical instability. The additional restoring effect from the towlines is minor, reaching at most 0.07 m for a tow speed of 4 m/s. However, the pressure loads acting perpendicular to the SFTM’s outer surface are directed toward its geometric center, which is close to the rotation center. As a result, the cross product of the moment arm vector and pressure load vector becomes almost zero. Given that the tangential stresses from viscosity over the SFTM are minimal, the slight increase in restoring force from the towlines seems sufficient to resist the roll moment.
Table 3.
Equivalent GMT (transverse metacentric height) for varying tow speeds.
The load-displacement curve for the yaw DOF is shown in Figure 10, and the corresponding snapshot is presented in Figure 7d. Since the Munk moment arises from the cross-flow and is proportional to twice the yaw angle, i.e., , the larger the yaw motion, the greater the effect of the Munk moment. This trend is well represented by the discrepancies between the black and red solid lines in Figure 10. For validation, the OrcaFlex v11.4 result at a tow speed of is also illustrated, which shows that the program does not account for the destabilizing moment effect (Munk moment) in the static analysis. Taking a closer look at the x-axis, it can be seen that the relatively high stiffness region is maintained only for a limited range of less than ±0.5 degrees. Beyond this small angle, the stiffness rapidly decreases, which seems to be caused by the instantaneous slack of towlines located on the opposite side of the applied loads, as presented in Figure 7d. In addition, the Munk moment plays a role when the yaw angle is greater than ±0.5 degrees. It turns out that the Munk moment decreases the yaw stiffness, which implies that an instantaneously large yaw DOF motion may affect the restoring force of the system and reduce course stability.
From the results, it can be seen that towing speed also influences the displacement-force curve to some degree, while nonlinear stiffness is observed. Moreover, as shown in Section 4.2, the pre-tension also changes with respect to the towline angle. Therefore, various aspects should be carefully examined to determine an appropriate limit for the stiffness level and resulting static stability.
4.4. Statistical Analysis Under Sea State 4
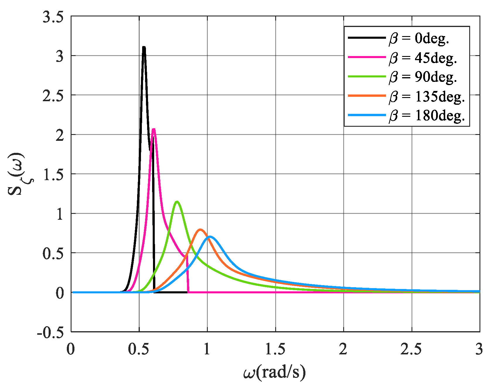
Statistical analyses are performed based on the pre-calculated system stiffness for varying tow speeds. Sea state 4 is considered a mild sea state of typical wet tow situations. The metocean parameters for sea state 4 are given in Table 4. We again investigate five different tow speeds, and the encounter-frequency wave energy spectra for selected wave headings, , as shown in Figure 5. Encounter-frequency wave spectra at different wave headings at tow speed are illustrated in Figure 11. For following and stern seas, the wave energy beyond the critical frequency at is artificially removed. The motion response spectra are calculated from Equation (30) and depicted in Figure 12a–f for . The shift of motion energy can be seen as expected associated with changes in wave energy as a function of wave frequency due to the encounter-frequency effect.
Table 4.
Metocean parameters for sea state 4.
Figure 11.
Encounter-frequency wave energy spectra (U = 4 m/s).
Figure 12.
Motion response spectra (β = 135°).
Based on the generated motion spectra, the most probable extreme motions for 3 h are estimated and shown in Figure 13a–f. Taking a closer look at Figure 13a, the surge motion increases as the tow speed increases, particularly at the following sea (). However, their amplitudes are inappreciable, and the largest amplitude is at most 0.25 m. On the other hand, Figure 13b shows that the sway motion is largest at beam sea (), which is in a range of 0.30–0.34 m for . This variation is due to the change in equivalent sway stiffness. Recalling Figure 8b, even this small amplitude is no longer in the linear duration of the load-displacement curve. Figure 13c also exhibits that the heave response is largest at beam sea. The most probable extreme heave amplitude is 0.59 m, which is likely to impact negatively the roll hydrostatic stability since the equivalent is only 0.1–0.17 m in the present wet tow scenario. Due to the varying waterplane and center of buoyancy, it might experience an instantaneous loss of roll stability. However, as shown in Figure 13d, the roll amplitude in the steady-state analysis seems insignificant. Due to its circular geometry, the wave-exciting moment is rarely generated. This is obvious if one recalls that the cross product of the moment arm vector from its geometric center and the local pressure-load vector acting upon the circular outer surface becomes null. This is the limitation of the present frequency-domain analysis. Nevertheless, instantaneous negative stability due to the coupling effect from towlines and the other rigid DOF modes or nonlinear hydrostatic effect may have a larger response until the SFTM returns to its stable condition. On the other hand, interestingly, the largest pitch extreme motion is 0.71 deg., which occurred under wave heading and tow speed . The amplitude variation due to the tow speed is larger around the following sea condition, but it is not for , where the maximum response is observed. Considering the length of the SFTM (L = 160 m), the vertical displacement at the bow (or stern) is at most 0.98 m, which can be significant. Lastly, it can be seen in Figure 13f that the most probable yaw amplitudes are greatest at for , whereas for U = 4 m/s. The maximum amplitudes are 0.23–0.85 deg. Again, recalling Figure 10, these amplitudes exceed the linear duration of load-displacement curves, similar to the sway case. Beyond the linear region, the stiffness is rapidly decreased, and in particular, the presence of a destabilizing moment (Munk moment) negatively impacts it. Hence, the SFTM response might be much larger. In addition, this is likely to decrease the course stability. It can be seen that the maximum statistical values for all DOFs occur at a tow speed of U = 4 m/s, and they are summarized in Table 5.

Figure 13.
The most probable extreme 6-DOF motions for 3 h (β = 0–360°).
Table 5.
Metocean parameters for sea state 4 (U = 4 m/s).
The given results are valid for specific wave conditions, seakeeping performance can be much worse if the different SFTM and towline configurations and/or higher sea state are taken into account. The present methodology can give further insight into different configurations/setups.
4.5. Discussion and Remarks
The scope of the present study is restricted to the frequency-domain analysis. As observed from numerical results, the effect of nonlinear system stiffness is likely to exist at relatively high tow speeds, particularly from following to beam sea conditions. In this regard, time-domain analyses are necessary for the present scenarios. Based on the encounter-frequency approximation with shifted energy spectra (user-generated), a coupled floater-mooring time-domain simulator, e.g., OrcaFlex v11.4, can be used to conduct time-domain analysis of coupled wet towing problems. Further, uniform flow or double-body flow approximations [27,32] can be used to improve the accuracy by modifying the body boundary condition in Equation (21) and hydrodynamic coefficients and loads in Equations (23) and (24). In addition, multiple different wet tow configurations and the use of synthetic fiber ropes will be considered in future research. Since numerous wet tow scenarios are available, initial frequency-domain analyses are able to sort out unrealistic or ineffective solutions. Also, based on the assessment of nonlinear system stiffness (e.g., load-displacement curves), critical cases of realistic scenarios can be selected. Subsequently, time-domain analyses can be effectively implemented for a few selected load cases. Future studies will account for these interesting and important topics to address the wet towing problems more accurately.
5. Conclusions
In the present study, a nonlinear static analysis for the coupled towline SFTM system was investigated under varying wet tow conditions. The mathematical details of the coupled towline SFTM system were described. First, static equilibrium states were estimated for different tow speeds, and the static offset tests were subsequently performed for 4-DOFs based on each tow speed’s equilibrium state. Corresponding load-displacement curves were provided. The roll stability was discussed based on the equivalent metacentric height. Also, the Munk moment effect on the yaw motion was investigated. Statistical analyses were performed based on the most probable extreme 6-DOF motion amplitudes of 3 h for varying tow speeds, U = 0–4 m/s, and all wave heading angles, β = 0–360°.
From the systematic investigation of static stability and frequency-domain dynamics assessment, the following key conclusions are drawn.
- Nonlinear stiffness, i.e., force-displacement curve, is observed, especially for surge, sway, and yaw DOFs associated with losing stiffness under stack towline.
- The Munk moment is especially important at higher yaw angles where larger yaw angles are seen at the same yaw moment. At lower angles, its effect is minor.
- The most probable extreme heave amplitude is considerable, which may negatively impact the roll stability.
- However, the extreme roll amplitude appears inappreciable, which is the limitation in the present frequency-domain analysis.
- In sea state 4, the extreme sway and yaw amplitudes exceed the linear duration of load-displacement curves, which are rapidly decreased due to the destabilizing moment and instantaneous slack of towlines located on the opposite side of the applied loads, which may reduce the course stability.
Based on the present nonlinear static and frequency-domain analyses, time-domain analysis is critical to better understand the wet tow scenario. In addition, various system configurations and wave conditions need to be considered to better explain various physical phenomena and statistical results associated with wet towing and seakeeping performance. Future studies will account for these interesting and important topics to address the wet towing problems.
Author Contributions
Conceptualization, I.L. and C.J.; methodology, I.L. and S.-J.K.; software, I.L.; validation, I.L.; formal analysis, I.L.; investigation, I.L., C.J. and S.-J.K.; resources, M.K.; data curation, I.L.; writing—original draft preparation, I.L.; writing—review and editing, C.J., S.-J.K. and M.K.; visualization, I.L.; supervision, C.J. and M.K. All authors have read and agreed to the published version of the manuscript.
Funding
This research received no external funding.
Institutional Review Board Statement
Not applicable.
Informed Consent Statement
Not applicable.
Data Availability Statement
The raw data supporting the conclusions of this article will be made available by the authors upon request.
Conflicts of Interest
The authors declare no conflicts of interest.
References
- Remseth, S.; Leira, B.J.; Okstad, K.M.; Mathisen, K.M.; Haukås, T. Dynamic Response and Fluid/Structure Interaction of Submerged Floating Tunnels. Comput. Struct. 1999, 72, 659–685. [Google Scholar] [CrossRef]
- Kim, G.-J.; Kwak, H.-G.; Jin, C.; Kang, H.; Chung, W. Three-Dimensional Equivalent Static Analysis for Design of Submerged Floating Tunnel. Mar. Struct. 2021, 80, 103080. [Google Scholar] [CrossRef]
- Jin, C.; Chung, W.C.; Kwon, D.-S.; Kim, M. Optimization of Tuned Mass Damper for Seismic Control of Submerged Floating Tunnel. Eng. Struct. 2021, 241, 112460. [Google Scholar] [CrossRef]
- Jeong, K.; Kim, S. Structural Response of Submerged Floating Tunnels with Free-End Boundary Condition Based on an Analytical Approach. Appl. Ocean. Res. 2024, 143, 103861. [Google Scholar] [CrossRef]
- Jeong, K.; Min, S.; Jang, M.; Won, D.; Kim, S. Feasibility Study of Submerged Floating Tunnels with Vertical and Inclined Combined Tethers. Ocean. Eng. 2022, 265, 112587. [Google Scholar] [CrossRef]
- Jin, B.; Kim, J. Considerations on the Behavior of Submerged Floating Tunnel Module During Immersion Stage. In Proceedings of the International Conference on Vibration Problems 2019, Crete, Greece, 1–4 September 2019. [Google Scholar]
- Kwon, D.-S.; Jin, C.; Kim, M. Prediction of Dynamic and Structural Responses of Submerged Floating Tunnel Using Artificial Neural Network and Minimum Sensors. Ocean. Eng. 2022, 244, 110402. [Google Scholar] [CrossRef]
- Luo, G.; Zhang, Y.; Ren, Y.; Guo, Z.; Pan, S. Dynamic Response Analysis of Submerged Floating Tunnel Subjected to Underwater Explosion-Vehicle Coupled Action. Ocean. Eng. 2021, 232, 109103. [Google Scholar] [CrossRef]
- Luo, W.; Huang, B.; Tang, Y.; Ding, H.; Li, K.; Cheng, L.; Ren, Q. Numerical Simulation of Dynamic Response of Submerged Floating Tunnel under Regular Wave Conditions. Shock Vib. 2022, 2022, 4940091. [Google Scholar] [CrossRef]
- Min, S.; Jeong, K.; Noh, Y.; Won, D.; Kim, S. Damage Detection for Tethers of Submerged Floating Tunnels Based on Convolutional Neural Networks. Ocean. Eng. 2022, 250, 111048. [Google Scholar] [CrossRef]
- Won, D.; Seo, J.; Kim, S. Dynamic Response of Submerged Floating Tunnels with Dual Sections under Irregular Waves. Ocean. Eng. 2021, 241, 110025. [Google Scholar] [CrossRef]
- Won, D.H.; Park, W.S.; Kim, S. Cyclic Bending Performance of Joint on Precast Composite Hollow Rc for Submerged Floating Tunnels. Mar. Struct. 2021, 79, 103045. [Google Scholar] [CrossRef]
- Lee, I.; Jin, C.; Kim, M. Static Stability of a Submerged Floating Tunnel Module in Wet tow. In Proceedings of the 2022 Structures Congress (Structures22), Seoul, Republic of Korea, 16–19 August 2022. [Google Scholar]
- Wang, J.J.; Lu, R.; Lu, N. Truss Spar Strength and Fatigue Analysis for Wet tow. In Proceedings of the ISOPE International Ocean and Polar Engineering Conference 2003, Honolulu, HI, USA, 25–30 May 2003. [Google Scholar]
- Sherman, M.; Sablok, A.; Kopsov, I.; Chen, L. Design of a Floating Spar Wind Platform with an Integrated Substructure and Tower. In Proceedings of the Offshore Technology Conference 2019, Houston, TX, USA, 6–9 May 2019. [Google Scholar]
- Amaral, G.A.; Pesce, C.P.; Franzini, G.R. Mooring System Stiffness: A Six-Degree-of-Freedom Closed-Form Analytical Formulation. Mar. Struct. 2022, 84, 103189. [Google Scholar] [CrossRef]
- Kim, B.W.; Sung, H.G.; Kim, J.H.; Hong, S.Y. Comparison of Linear Spring and Nonlinear Fem Methods in Dynamic Coupled Analysis of Floating Structure and Mooring System. J. Fluids Struct. 2013, 42, 205–227. [Google Scholar] [CrossRef]
- Orcina. Orcaflex Manual; Orcina Ltd.: Ulverston, UK, 2024. [Google Scholar]
- Ran, Z. Coupled Dynamic Analysis of Floating Structures in Waves and Currents; Texas A&M University: College Station, TX, USA, 2000. [Google Scholar]
- Garrett, D.L. Dynamic Analysis of Slender Rods. J. Energy Resour. Technol. 1982, 104, 302–306. [Google Scholar] [CrossRef]
- Yang, M.; Teng, B. Static and Dynamic Analysis of Mooring Lines by Nonlinear Finite Element Method. China Ocean. Eng. 2010, 24, 417–430. [Google Scholar]
- Dvorkin, E.N.; Onte, E.; Oliver, J. On a Non-Linear Formulation for Curved Timoshenko Beam Elements Considering Large Displacement/Rotation Increments. Int. J. Numer. Methods Eng. 1988, 26, 1597–1613. [Google Scholar] [CrossRef]
- Triantafyllou, M.S.; Hover, F.S. Maneuvering and Control of Marine Vehicles; Massachusetts Institute of Technology: Cambridge, MA, USA, 2003. [Google Scholar]
- Bathe, K.-J. Finite Element Procedures—Second Edition; Klaus-Jurgen Bathe: Watertown, MA, USA, 2006. [Google Scholar]
- John, F. On the Motion of Floating Bodies II. Simple Harmonic Motions. Commun. Pure Appl. Math. 1950, 3, 45–101. [Google Scholar] [CrossRef]
- Havelock, T.H. Waves Due to a Floating Sphere Making Periodic Heaving Oscillations. Proc. R. Soc. Lond. Ser. A Math. Phys. Sci. 1955, 231, 1–7. [Google Scholar]
- Bakti, F.P.; Jin, C.; Kim, M.-H. Practical Approach of Linear Hydro-Elasticity Effect on Vessel with Forward Speed in the Frequency Domain. J. Fluids Struct. 2021, 101, 103204. [Google Scholar] [CrossRef]
- Hasselmann, K.; Barnett, T.P.; Bouws, E.; Carlson, H.; Cartwright, D.E.; Enke, K.; Ewing, J.; Gienapp, A.; Hasselmann, D.; Kruseman, P. Measurements of Wind-Wave Growth and Swell Decay During the Joint North Sea Wave Project (JONSWAP). Ergaenzungsheft Dtsch. Hydrogr. Z. Reihe A 1973. Available online: https://pure.mpg.de/rest/items/item_3262854_4/component/file_3282032/content (accessed on 11 November 2024).
- Lee, C.H. Wamit Theory Manual; Massachusetts Institute of Technology: Cambridge, MA, USA, 1995. [Google Scholar]
- Cao, X.; Zhang, H.; Zhang, N. Research on Dynamic Responses of Multi-Float Systems During Wet towing. Ocean. Eng. 2024, 312, 119226. [Google Scholar] [CrossRef]
- OCIMF. Static Towing Assembly Guidelines (Stag), 1st ed.; OCIMF: London, UK, 2020. [Google Scholar]
- Zhang, X.; Bandyk, P.; Beck, R.F. Seakeeping Computations Using Double-Body Basis Flows. Appl. Ocean. Res. 2010, 32, 471–482. [Google Scholar] [CrossRef]
Disclaimer/Publisher’s Note: The statements, opinions and data contained in all publications are solely those of the individual author(s) and contributor(s) and not of MDPI and/or the editor(s). MDPI and/or the editor(s) disclaim responsibility for any injury to people or property resulting from any ideas, methods, instructions or products referred to in the content. |
© 2025 by the authors. Licensee MDPI, Basel, Switzerland. This article is an open access article distributed under the terms and conditions of the Creative Commons Attribution (CC BY) license (https://creativecommons.org/licenses/by/4.0/).













