Abstract
Suitable friction groups are provided for solving three typical hydraulic problems. While the friction group based on viscous forces is used for calculating the pressure drop or head loss in pipes and open channels, commonly referred to as the Type 1 problem in hydraulic engineering, additional friction groups with similar behaviors are introduced for calculating steady flow discharge as the Type 2 problem and, for estimating hydraulic diameter as the Type 3 problem. Contrary to the viscous friction group, the traditional Darcy–Weisbach friction factor demonstrates a negative correlation with the Reynolds number. This results in curves that slope downward from small to large Reynolds numbers on the well-known Moody chart. In contrast, the friction group used here, based on viscous forces, establishes a more appropriate relationship. In this case, the friction and Reynolds number are positively correlated, meaning that both increase or decrease simultaneously. Here, rearranged diagrams for all three mentioned problems show similar behaviors. This paper compares the Moody diagram with the diagram for the viscous force friction group. The turbulent parts of both diagrams are based on the Colebrook equation, with the newly reformulated version using the viscous force friction group. As the Colebrook equation is implicit with respect to friction, requiring an iterative solution, an explicit solution using the Lambert W-function for the reformulated version is offered. Examples are provided for both pipes and open channel flow.
1. Introduction
This paper presents suitable friction groups for addressing three common problems in hydraulic engineering [1], i.e., it offers procedures for the following three types of problems:
- Pressure drop, Δp, i.e., of head loss Δh—Type 1;
- Steady flow discharge Q—Type 2;
- Diameter of pipe D [2], i.e., hydraulic diameter in open channel flow DH—Type 3.
The procedures shown in this paper are given as an alternative to the classical approach given, e.g., in [1].
The Darcy–Weisbach flow friction factor f is defined based on inertial forces [3,4] leading to its negative correlation with the Reynolds number, Re. In the widely recognized Moody chart [5,6,7,8], the turbulent Darcy–Weisbach friction factor f generates curves that slope downward from small to large Reynolds numbers Re. However, a positive correlation with the Reynolds number Re shows similar behavior as electrical resistance with electrical current. This paper presents diagrams constructed using suitable friction groups that demonstrate this positive correlation for all three mentioned types of hydraulic problems.
Among others, this paper gives a comparison between the traditional Moody diagram and the new diagram based on the rearranged viscous friction group λ (viscous friction group λ is used here for solving the Type 1 problem). The turbulent portion of both diagrams relies on the empirical Colebrook function [9,10]. The Colebrook equation is implicit with respect to friction, and it requires an iterative solution in both [11]; its standard version is based on the Darcy–Weisbach factor f and its transformed version is based on the rearranged viscous friction group, λ. This paper presents an explicit reformulation of the transformed version of the Colebrook function using the Lambert W-function [12]. An accurate and computationally efficient approximation is also given [13].
Viscous friction group λ is replaced with the friction group f·Re2 for solving the Type 2 problem, and with f/Re for solving the Type 3 problem. All three diagrams Re→λ (for Type 1), Re→ f·Re2 (for Type 2), and Re→ f/Re (for Type 3), have a similar shape. This paper presents an alternative approach to the traditional methods for solving three common types of hydraulic problems, yielding identical final results.
Following the introduction in Section 1, the Type 1 problem is examined in Section 2, Type 2 in Section 3, and Type 3 in Section 4. Concluding remarks are presented in Section 4, followed by notes about open channel flow in Appendix A and with some computational examples for both pipes and open channels in Appendix B. Finally, a list of symbols from this paper is given after Appendices.
In the context of marine engineering, solutions presented in this paper can find applications in offshore pipelines, etc.
2. Pressure Drop (Head Loss)—Type 1
The flow friction factor based on inertial forces, which is commonly used in engineering practice, is known as the Darcy–Weisbach, also referred to as the Moody or Darcy friction factor f. It is given in Equation (1):
The pressure loss, Δp, is connected to head loss, Δh, as Δp = gΔh, while flow discharge Q with the velocity .
The dimensionless Fanning friction factor, ff, shares the same physical meaning as the Darcy–Weisbach friction factor f but is equal to one-fourth of it; ff = f/4. The less commonly used dimensionless Stanton and Pannel friction factor, Φ, also has the same physical interpretation, but is half of the Fanning factor (Φ = ff/2) and one-eighth of the Darcy–Weisbach factor (Φ = f/8). These differences arise from definitions based on varying but related quantities, such as pipe diameter versus pipe radius. All of them are defined through shear stress on the surface [14,15]; τ, .
The Darcy–Weisbach friction, f, the Fanning friction, ff, and the Stanton and Pannel friction, Φ, are negatively correlated with the Reynolds number Re. On the other hand, suitable rearrangements given in Equation (2) leads to positive correlation of friction with the Reynolds number Re. A friction group, λ, based on viscous forces [7] is given in Equation (2):
To avoid mistakes, it is crucial to clearly define the friction factor when using it to calculate pressure drops, Δp, and related head losses, Δh.
Both Equations (1) and (2) can be used equally for solving the Type 1 problem, but the approach through Equation (1) is more common [1].
2.1. Calculation through the Standard Darcy–Weisbach Flow Friction Factor
2.1.1. Standard Colebrook Function
The Darcy–Weisbach flow friction factor, f, for laminar flow is given as f = 64/Re, while for turbulent flow most often it is given through the empirical Colebrook function, as shown in Equation (3):
The equation is developed by Colebrook solely [9], but it is based on his joint experiment with White [10].
The Reynolds number is defined as Re = , where and Q = υD2π/4. The absolute value of the inner pipe roughness, ε [m], depends on the type and condition of the used material of which pipes are manufactured [1].
The Colebrook equation is implicit with respect to the unknown friction factor, f, and can be solved only iteratively (few iterations are usually sufficient) [16,17,18]. Also, the Colebrook equation can be expressed explicitly through the Lambert W-Function [12,13].
2.1.2. Moody Chart
The Moody chart is typically used for the graphical interpretation of the Darcy–Weisbach flow friction factor f (its version is given in Figure 1). In the Moody diagram, as the value of the Reynolds number, Re, increases the Darcy–Weisbach flow friction factor, f, decreases, and vice versa.
Figure 1.
Moody chart for the Darcy–Weisbach flow friction factor, , as a function of the Reynolds number, and the relative roughness of inner pipe surface, . The red line represents laminar flow, full black lines represent partially developed turbulent flow, while point-lines represent fully turbulent flow.
The Moody chart is based on the Reynolds number Re, which is governed by the velocity of the moving fluid υ, i.e., by flow Q = υD2π/4. This means that the Reynolds number Re, together with the relative roughness ε/D [19,20,21,22,23,24], is in the function of diameter, D. It implies that if the diameter D and the flow Q are known, the pressure drop Δp (or head loss Δh) can be easily computed using Equation (1).
2.2. Calculation through Viscous Friction Group
The Colebrook function can be rewritten [7] in terms of the viscous friction group λ. Therefore, it can be graphically presented in a chart in Figure 2, following the same principles as in the widely recognized Moody chart.
Figure 2.
Transformed Moody chart based on viscous flow friction factor λ: Its turbulent part is based on the transformed Colebrook equation—The red line represents laminar flow, full lines represent partially developed turbulent flow, while point-lines represent fully turbulent flow.
2.2.1. Transformed Colebrook Function
The Colebrook equation transformed using viscous friction group λ [7] is given in Equation (4):
2.2.2. Modified Moody Diagram through the Viscous Friction Group
The transformed Moody chart based on the viscous friction group λ is given in Figure 2. In the laminar region of the diagram, λ = 1, while in the turbulent region, represented by the transformed Colebrook equation from Equation (4), the curves follow a continuous upward trend more accurately representing the physical behavior of flow friction phenomena.
In the transformed Moody chart, it becomes challenging to pinpoint the boundary where the partially turbulent regime transitions into the fully turbulent regime as the Reynolds number Re increases. In the original Moody chart, curves become straight horizontal lines for the fully developed turbulent regime. For example, this boundary for ε/D = 0.05 is around Re = 1 × 105, while for ε/D = 0.001, it is around Re = 1 × 106.
Equally, as the original Moody chart, the diagram in Figure 2 is suitable for the calculation of pressure drop Δp (and subsequently of head loss Δh). It can be completed through Equation (2).
2.2.3. Explicit Expression of the Transformed Colebrook Equation
Similar to the standard Colebrook function, which is based on the Darcy–Weisbach friction factor f, the transformed Colebrook function expressed in terms of the viscous friction group λ is also implicitly defined with respect to the unknown variable, and it can only be solved iteratively. Fortunately, the iterative procedure in this case converges fast and requires only a few iterations. However, the Colebrook equation can be transformed in an explicit form using the Lambert W-function, which can be further solved using established mathematical procedures [25,26,27]. The Lambert W-function is suitable for the transformation of implicit function in an equivalent explicit form [28].
Figure 3.
Branches of the Lambert W-function.
The transformed Colebrook function based on the viscous friction group λ in terms of the Lambert W-function is given in Equation (5) [12,13]:
However, in the closed-form solution from Equation (5), ex grows so rapidly that calculations on computers can fail for certain combinations of the Reynolds number Re and the relative roughness of the pipe’s inner surface ε/D, which is commonly used in engineering practice. This issue arises due to overflow errors caused by the limited size of typical computer registers [29,30]. The limitations are presented in Figure 4.
Figure 4.
Limitations for verification of in computer registers.
However, limitations for the verification of can be overwhelmed by using the shifted Lambert function, i.e., the Wright ω-function , which is automatically completed in some software tools such as Matlab. It can be approximated as , based on the upper branch of the Lambert W-function, denoted as W0 in Figure 3 by the blue curve.
Similar approaches are available in [31,32,33,34].
2.2.4. An Approximation of the Transformed Colebrook Equation
To develop efficiently an approximation of the transformed Colebrook equation through the viscous friction group λ, the upper branch W0 of the Lambert W-function should be approximated only in the range typically used in engineering practice. Based on Equation (5), this range is only between xmin = 6.97 and xmax = 619,363.78 for . This gives an approximation, which is given in Equation (6):
In any case, restriction shown in Figure 4 cannot be associated with Equation (6).
The relative error introduced by Equation (6) compared with Equation (5) is negligible up to 0.2% [12,13].
3. Flow Discharge—Type 2
Using the Darcy–Weisbach flow friction factor f, a direct noniterative closed-form solution for the Type 2 problem is available [1,35].
It is also possible to rearrange the diagram from Figure 2 for the calculation of flow discharge Q by replacing the viscous friction group λ with the friction group f·Re2. The Darcy–Weisbach flow friction factor f in Equation (7) should be calculated using Equation (3), with the main purpose of this transformation being used to produce a friction group that is independent of the velocity of the moving fluid υ, i.e., on the unknown flow discharge Q.
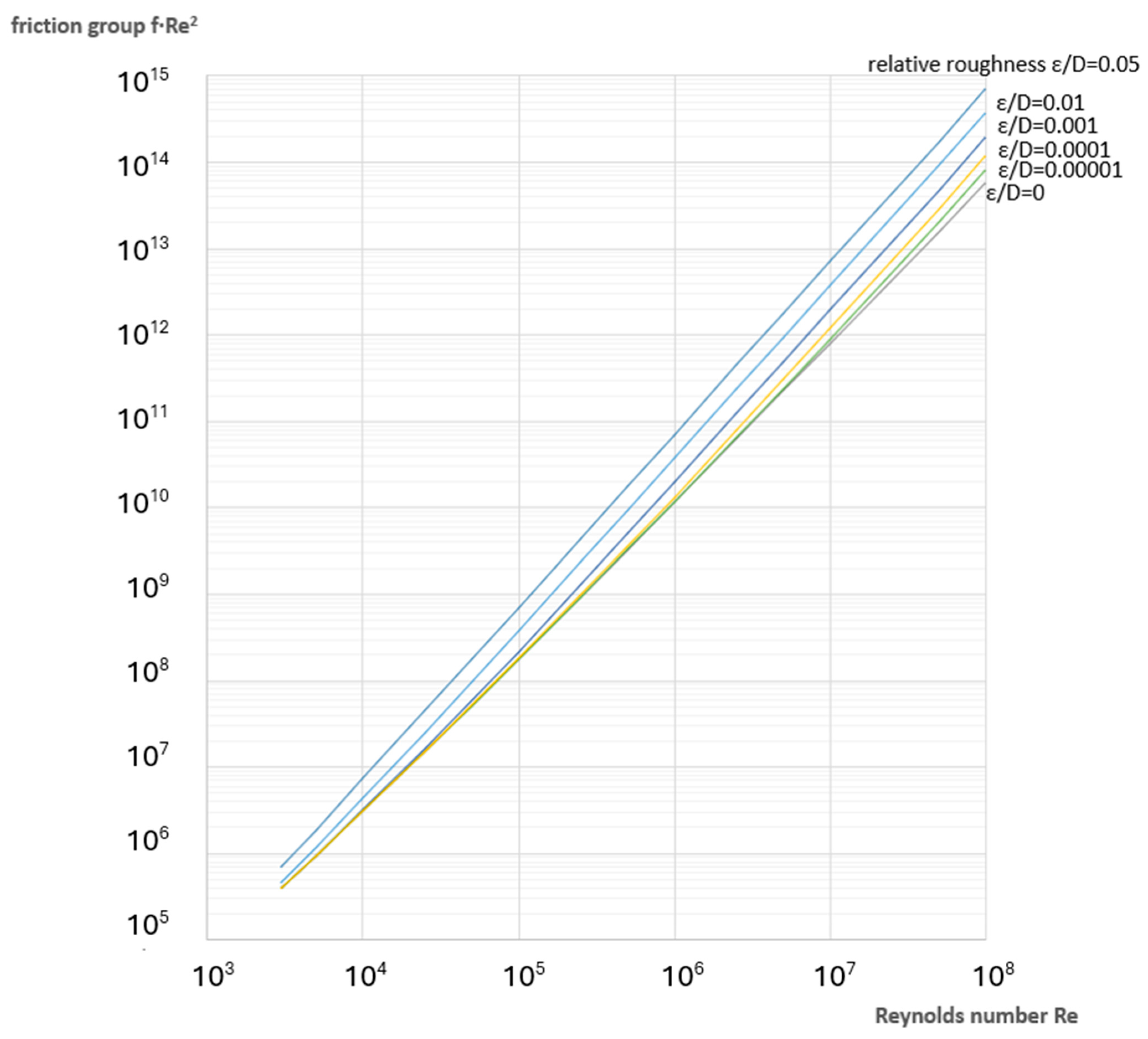
The new chart suitable for the calculation of flow discharge Q is given in Figure 5.
Figure 5.
Chart suitable for determination of flow discharge.
The calculation should be completed through the following next steps:
- Calculate the value of the friction group f·Re2 using Equation (7); ;
- Find the corresponding intersection with the curve for the appropriate relative roughness ε/D;
- Read the value of the Reynolds number Re from the abscissa;
- Finally, calculate the flow discharge Q using Equation (8)
4. Diameter Estimation—Type 3
For the estimation of diameter D, the viscous friction group λ should be replaced with the new friction group f/Re as given in Figure 6. This approach works if the velocity of the moving fluid is known or can be estimated.
Figure 6.
Chart suitable for estimation of pipe diameters.
To use the chart from Figure 6, the friction group f/Re, which is in its final form free of diameter D, should be calculated using Equation (9):
The relative roughness ε/D is not independent of the unknown diameter D, which can only be estimated within a range for smooth and very rough pipes.
Figure 6 should be used with the following steps:
- Calculate the value of the friction group f/Re using Equation (9); ;
- Find the corresponding intersection with the curves for two extremums for smooth and very rough pipes;
- Read the value of the Reynolds number Re from the abscissa;
- Finally, calculate diameter D using Equation (10)
For real engineering applications, the pipes are manufactured with standard sizes, so the nearest size based on Equation (10) should be selected (lower or upper as requested by design and in accordance with expertise about the condition of the inner pipe surface).
An estimation of diameter D, in the case of the known flow discharge Q instead of the velocity of the moving fluid , with the appropriate friction group is given in Equation (11):
5. Conclusions
In this paper, among others, a new method to calculate the friction factor is proposed, in which the relationship between the friction and the Reynolds number Re are positively correlated. A new version of Lambert-W function for calculating the viscous friction group λ is represented, which is an explicit expression of the Colebrook function.
This paper uses an alternative for the traditional strategies for solving three common types of hydraulic problems, where the final results are identical for both approaches.
The viscous friction group λ can be used for pipe and open channel sizing in a manner similar to the established Darcy–Weisbach friction factor f. The Moody diagram, traditionally used for the Darcy–Weisbach friction factor f, has been reformulated in terms of the viscous friction group λ. This rearrangement presents the turbulent friction factor as increasing with the Reynolds number Re, providing a correlation similar to that between electrical resistance and current.
Diagrams are provided for the three common hydraulics problems: the calculation of Δp or Δh—Type 1, calculation of Q—Type 2, and calculation of D—Type 3. The solution for Type 1 is not limited to graphical methods. However, graphical solutions for Types 2 and 3 are based on the same principles as those used for the viscous friction group λ, using the appropriate friction groups for Type 1: f·Re2 and for Type 3: f/Re for the known flow velocity (or f for the known flow discharge Q).
The accuracy of reading from charts remains a main challenge associated with graphical solutions [36,37].
Although the new version of the calculation method of the friction works well, some possible disadvantages can be envisaged, which are especially related to the newly proposed solution of the Type 1 problem:
- The existing Darcy–Weisbach friction factor f and its calculation methods have been widely and successfully applied in so many fields, so it can be costly to replace the existing calculation system with the new version of the friction factor calculation method and it may be consequently impracticable;
- Although a positive correlation relationship between the friction factors and Reynolds number may be good, it may bring some numerical calculation problems in hydraulic iteration calculations.
Funding
Financial support was received from the Ministry of Science, Technological Development and Innovation of the Republic of Serbia through institutional financing, from the European Union under the REFRESH—Research Excellence For REgion Sustainability and High-tech Industries, project number CZ.10.03.01/00/22_003/0000048 via the Operational Programme Just Transition, and from the Ministry of Education, Youth and Sports of the Czech Republic (ID: MC2104) and e-INFRA CZ (ID:90254).
Institutional Review Board Statement
Not applicable.
Informed Consent Statement
Not applicable.
Data Availability Statement
All data for repeat computations are given in the text.
Conflicts of Interest
The author declares no conflicts of interest.
Notations
| Δp | pressure loss in [Pa] |
| Δh | the head loss in [m] |
| Q | flow discharge in [m3/s] |
| D | pipe diameter in [m] |
| DH | hydraulic diameter in [m] |
| f | the Darcy–Weisbach, Moody, or Darcy flow friction factor [dimensionless] |
| the Reynolds number [dimensionless] | |
| λ | viscous friction group [dimensionless] |
| W | the Lambert function |
| L | length of pipe in [m] |
| velocity of the moving fluid in [m/s] | |
| gravitational acceleration ≈ 9.81 m/s2 | |
| fluid density in [kg/m3] | |
| ff | the Fanning flow friction factor [dimensionless] |
| Φ | the Stanton and Pannel flow friction factor [dimensionless] |
| τ | shear stress on surface in [N/m2] |
| η | dynamic fluid viscosity in [Pas] |
| relative roughness of the inner pipe surface [dimensionless] | |
| kinematic fluid viscosity [m2/s] | |
| π | the Ludolph’s number, π ≈ 3.1415… [dimensionless] |
| Z, B, y, A, and x | auxiliary parameters defined in Equation (5) |
| ω | the Wright function (shifted Lambert function) |
| C | auxiliary parameters defined in Equation (6) |
| S | cross-section area of the fluid flow given in [m2] |
| the wetted perimeter in [m] | |
| and β | angles in [radians] |
| b | length of the channel base in [m] |
| h | level of the water in channel in [m] |
| e | exponential function |
| log10 | logarithmic function of based 10 |
| ln | natural logarithm |
Appendix A—Notes on Open Channel Flow
All principles from this paper can be used also for open channel flow after following adaptations (although the issue can be much more complex [38,39,40,41,42,43,44,45]).
The general fluid flow situation, with respect to open channels, is given in Figure A1.
Figure A1.
Elements for defining the hydraulic diameter.
Figure A1.
Elements for defining the hydraulic diameter.

Both the Darcy–Weisbach and the viscous friction group can be used not only for the simulation of flow in circular pipes, but also for open channel flow. For the open channel flow, as referred to Figure A1, the diameter of the pipe should be replaced with a hydraulic diameter, as given in Equation (A1):
In pipe flow, the hydraulic diameter is equal to pipe diameter; DH = D. All equations developed for pipe flow can be equally used for open channel flow, where hydraulic diameter DH as defined in Equation (A1) should be used instead of diameter D.
Specific examples for the calculation of hydraulic diameters are given for flow in the following:
The angle outside of trigonometric function is by definition always in radians, even if the calculation of trigonometric functions is settled to degrees.
Figure A2.
Hydraulic diameter in specific cases: (a) partially filled circular pipes—Equation (8) and (b) trapezoidal channels—Equation (9).
Figure A2.
Hydraulic diameter in specific cases: (a) partially filled circular pipes—Equation (8) and (b) trapezoidal channels—Equation (9).

Appendix B—Computational Examples
Type 1: Here are given two examples for the calculation of head loss Δh, i.e., pressure drop , through (a) the Darcy–Weisbach friction and (b) the viscous friction, for the following:
- Circular pipe: Re = 2 × 106 and ε/D = 0.03.
The pipe length L is 100 m, velocity of the moving fluid υ = 10 m/s, while kinematic viscosity of transported water is = 1.002 × 10−6 m2∕s with relative density = 1000 kg/m3 (this example is based on the last computational example of this in Appendix B—See Type 2 example).
From the definition of Re = →D = 0.2004 m
- (a)
- Darcy–Weisbach flow friction:Equation (3): f = 0.057189361;Equation (1): Δh = 145.4516081 m, Δp = g = 14.3 MPa.
- (b)
- Viscous flow friction:Equation (4): λ = 1787.167928;Equation (5): Z = 2.180158299, A = 7438.09118, B = 13.72926025, x = 7451.82044, y ≈ ≈ −8.915017121 giving λ ≈ 1787.167957;Equation (6): A = 7416.838696, B = 13.72903174, C = 8.913357545, x = 7430.567728 giving λ ≈ 1785.216882;Equation (2): Δh = 145.4516392, Δp = g = 1.43 MPa.
In the case of open channel flow in a partially filled circular pipe with DH = 0.2004 m and if the angle of wetting perimeter from Figure A2a is α = 120° = 2π/3, the real diameter of the pipe should be D = 0.341686 m—from Equation (8).
- 2.
- Trapezoidal open channel: Re = 5 × 105 and ε/D = 0.0015.
The pipe length L, velocity of the moving fluid υ, kinematic viscosity , and density of transported water are the same as from the previous example.
From definition of Re = υ DH/μ→DH = 0.08542151 m
- (a)
- Darcy–Weisbach flow friction:Equation (3): f = 0.022178284;Equation (1): Δh = 225.6270747 m, Δp = g = 2.21 MPa.
- (b)
- Viscous flow friction:Equation (4): λ = 173.2705591;Equation (5): Z = 2.180158299, A = 92.9761397, B = 12.34296589, x = 105.319105, y ≈ ≈ −4.612776894 giving λ ≈ 173.29306;Equation (2): Δh = 225.63061, Δp = gΔh = 22.1.3 MPa.
In the case of open channel flow in the trapezoidal channel with DH = 0.2004 m, if the angle from Figure A2b is β = 60° and b = 0, the h = DH = 0.2004 m—from Equation (9).
Type 2: Flow discharge Q should be estimated for the diameter of pipe D = 0.2004 m, head loss Δh = 145.4516081 m, relative roughness of inner pipe surface ε/D = 0.03, kinematic viscosity of fluid μ = 1.002 × 10−6 m2∕s and its density = 1000 kg/m3, pipe length L = 100 m, and gravitational acceleration g = 9.81 m/s2 (this example is based on the first computational example of this in Appendix B—See Type 1).
Equation (7): = 2.29258 × 1011.
From Figure 5, from the intersection with curve ε/D = 0.03, Re is estimated to 2 × 106.
Equation (8): = 10 m/s, Q = 0.315417159 m3/s.
Type 3: Using the data from the previous example, the pipe diameter for smooth and the very rough pipes should be estimated: Head loss Δh = 145.45 m, velocity of the moving fluid = 10 m/s, pipe length L = 100 m, kinematic viscosity of fluid μ = 1.002 × 10−6 m2∕s and its density = 1000 kg/m3, and gravitational acceleration g = 9.81 m/s2.
Equation (9): f/Re = 2.859 × 10−8.
Figure 6 for smooth pipes: Re = 5 × 105 gives, using Equation (10), D = 0.0501 m.
Figure 6 for very rough pipes: Re = 2.5 × 106 gives, using Equation (10), D = 0.2505 m.
References
- Brkić, D.; Stajić, Z.; Živković, M. Sizing pipes without iterative calculus: Solutions for head loss, flow discharge and diameter. In Proceedings of the 24th International Carpathian Control Conference (ICCC), Miskolc-Szilvásvárad, Hungary, 12–14 June 2023; IEEE: New York, NY, USA, 2023; pp. 71–76. [Google Scholar] [CrossRef]
- Brkić, D.; Praks, P.; Praksová, R.; Kozubek, T. Symbolic regression approaches for the direct calculation of pipe diameter. Axioms 2023, 12, 850. [Google Scholar] [CrossRef]
- Brown, G.O. The history of the Darcy-Weisbach equation for pipe flow resistance. In Proceedings of the Environmental and Water Resources History, Washington, DC, USA, 3–7 November 2002; pp. 34–43. [Google Scholar] [CrossRef]
- Fiorillo, F.; Esposito, L.; Ginolfi, M.; Leone, G. New insights into turbulent and laminar flow relationships using Darcy–Weisbach and Poiseuille laws. Water 2024, 16, 1452. [Google Scholar] [CrossRef]
- Moody, L.F. Friction factors for pipe flow. Trans. Am. Soc. Mech. Eng. 1944, 66, 671–678. [Google Scholar] [CrossRef]
- LaViolette, M. On the history, science, and technology included in the Moody diagram. J. Fluids Eng. 2017, 139, 030801. [Google Scholar] [CrossRef]
- de Souza Mendes, P.R. A note on the Moody diagram. Fluids 2024, 9, 98. [Google Scholar] [CrossRef]
- Mishra, R.; Ojha, C.S.P. Application of AI-based techniques on Moody’s diagram for predicting friction factor in pipe flow. J 2023, 6, 544–563. [Google Scholar] [CrossRef]
- Colebrook, C.F.; White, C.M. Experiments with fluid friction in roughened pipes. Proc. R. Soc. Ser. A Math. Phys. Sci. 1937, 161, 367–381. [Google Scholar] [CrossRef]
- Colebrook, C.F. Turbulent flow in pipes, with particular reference to the transition region between the smooth and rough pipe laws. J. Inst. Civ. Eng. 1939, 11, 133–156. [Google Scholar] [CrossRef]
- Praks, P.; Brkić, D. Choosing the optimal multi-point iterative method for the Colebrook flow friction equation. Processes 2018, 6, 130. [Google Scholar] [CrossRef]
- Brkić, D.; Praks, P. Accurate and efficient explicit approximations of the Colebrook flow friction equation based on the Wright ω-function. Mathematics 2019, 7, 34. [Google Scholar] [CrossRef]
- Praks, P.; Brkić, D. Review of new flow friction equations: Constructing Colebrook’s explicit correlations accurately. Rev. Int. Métodos Numéricos Cálculo Diseño Ing. 2020, 36, 41. [Google Scholar] [CrossRef]
- Coulson, J.M.; Richardson, J.F.; Backhurst, J.R.; Marker, J.H. In Chemical Engineering, Volume 1, Sixth edition, Fluid Flow, Heat Transfer and Mass Transfer: Flow of Liquids in Pipes and Open Channels, 1999. Butterworth-Heinemann: A division of Reed Educational and Professional Publishing Ltd. Reed Elsevier plc group. Available online: https://shop.elsevier.com/books/chemical-engineering-volume-1/backhurst/978-0-08-050101-7 (accessed on 31 August 2024).
- Stanton, T.E.; Pannell, J.R. Similarity of motion in relation to the surface friction of fluids. Philosophical Transactions of the Royal Society of London A, Math. Phys. Eng. Sci. 1914, 214, 199–224. [Google Scholar] [CrossRef]
- Vatankhah, A. Approximate analytical solution for the Colebrook equation. J. Hydraul. Eng. 2018, 144, 06018007. [Google Scholar] [CrossRef]
- Lamri, A.; Easa, S.M. Computationally efficient and accurate solution for Colebrook equation based on Lagrange theorem. J. Fluids Eng. 2022, 144, 014504. [Google Scholar] [CrossRef]
- Ferreri, G.B. A new approach for explicit approximation of the Colebrook–White formula for pipe flows. J. Hydroinformatics 2024, 26, 1558–1571. [Google Scholar] [CrossRef]
- Santos-Ruiz, I.; López-Estrada, F.-R.; Puig, V.; Valencia-Palomo, G. Simultaneous optimal estimation of roughness and minor loss coefficients in a pipeline. Math. Comput. Appl. 2020, 25, 56. [Google Scholar] [CrossRef]
- Carvajal, J.; Zambrano, W.; Gómez, N.; Saldarriaga, J. Turbulent flow in PVC pipes in water distribution systems. Urban Water J. 2020, 17, 503–511. [Google Scholar] [CrossRef]
- Flack, K.A.; Schultz, M.P. Hydraulic characterization of sandpaper roughness. Exp. Fluids 2023, 64, 3. [Google Scholar] [CrossRef]
- Madeira, A.A. Major and minor head losses in a hydraulic flow circuit: Experimental measurements and a Moody’s diagram application. Eclética Química 2020, 45, 47–56. [Google Scholar] [CrossRef]
- Muzzo, L.E.; Matoba, G.K.; Ribeiro, L.F. Uncertainty of pipe flow friction factor equations. Mech. Res. Commun. 2021, 116, 103764. [Google Scholar] [CrossRef]
- Muzzo, L.E.; Pinho, D.; Lima, L.E.; Ribeiro, L.F. Accuracy/Speed analysis of pipe friction factor correlations. In INCREaSE 2019, Proceedings of the 2nd International Congress on Engineering and Sustainability in the XXI Century 2020, Faro, Portugal, 9–11 October 2019; Springer International Publishing: Cham, Switzerland, 2019; pp. 664–679. [Google Scholar] [CrossRef]
- Corless, R.M.; Gonnet, G.H.; Hare, D.E.; Jeffrey, D.J.; Knuth, D.E. On the Lambert W function. Adv. Comput. Math. 1996, 5, 329–359. [Google Scholar] [CrossRef]
- Wu, B.; Zhou, Y.; Lim, C.W.; Zhong, H. Analytical approximations to the Lambert W function. Appl. Math. Model. 2022, 104, 114–121. [Google Scholar] [CrossRef]
- Barry, D.A.; Parlange, J.Y.; Li, L.; Prommer, H.; Cunningham, C.J.; Stagnitti, F. Analytical approximations for real values of the Lambert W-function. Math. Comput. Simul. 2000, 53, 95–103. [Google Scholar] [CrossRef]
- Hayes, B. Why W? Am. Sci. 2005, 93, 104–108. Available online: https://www.americanscientist.org/article/why-w (accessed on 1 September 2024).
- Sonnad, J.R.; Goudar, C.T. Constraints for using Lambert W function-based explicit Colebrook–White equation. J. Hydraul. Eng. 2004, 130, 929–931. [Google Scholar] [CrossRef]
- Brkić, D.; Stajić, Z. Excel VBA-Based User Defined Functions for highly precise Colebrook’s pipe flow friction approximations: A comparative overview. Facta Univ. Ser. Mech. Eng. 2021, 19, 253–269. [Google Scholar] [CrossRef]
- Sonnad, J.R.; Goudar, C.T. Turbulent flow friction factor calculation using a mathematically exact alternative to the Colebrook–White equation. J. Hydraul. Eng. 2006, 132, 863–867. [Google Scholar] [CrossRef]
- Biberg, D. Fast and accurate approximations for the Colebrook equation. J. Fluids Eng. 2017, 139, 031401. [Google Scholar] [CrossRef]
- Clamond, D. Efficient resolution of the Colebrook equation. Ind. Eng. Chem. Res. 2009, 48, 3665–3671. [Google Scholar] [CrossRef]
- Rollmann, P.; Spindler, K. Explicit representation of the implicit Colebrook–White equation. Case Stud. Therm. Eng. 2015, 5, 41–47. [Google Scholar] [CrossRef]
- Swamee, P.K.; Jain, A.K. Explicit equations for pipe-flow problems. J. Hydraul. Div. 1976, 102, 657–664. [Google Scholar] [CrossRef]
- Huang, S. Reading the Moody chart with a linear interpolation method. Sci. Rep. 2022, 12, 6587. [Google Scholar] [CrossRef]
- Yıldırım, G. Computer-based analysis of explicit approximations to the implicit Colebrook–White equation in turbulent flow friction factor calculation. Adv. Eng. Softw. 2009, 40, 1183–1190. [Google Scholar] [CrossRef]
- Sidiropoulos, E.; Vantas, K.; Hrissanthou, V.; Papalaskaris, T. Extending the applicability of the Meyer–Peter and Müller bed load transport formula. Water 2021, 13, 2817. [Google Scholar] [CrossRef]
- Kim, T.-H.; Lee, J.; Kim, T.; Choi, H.T.; Im, S. A Framework for quantifying reach-scale hydraulic roughness in mountain headwater streams. Water 2024, 16, 647. [Google Scholar] [CrossRef]
- Zhang, X.; Zhu, Y.; Wu, H.; Bi, Z.; Xu, Z. Characteristics of vegetation resistance variation in muddy water flows. Water 2023, 15, 2238. [Google Scholar] [CrossRef]
- Yen, B.C. Open channel flow resistance. J. Hydraul. Eng. 2002, 128, 20–39. [Google Scholar] [CrossRef]
- McGahey, C.; Knight, D.W.; Samuels, P.G. Advice, methods and tools for estimating channel roughness. Proc. Inst. Civ. Eng.-Water Manag. 2009, 162, 353–362. [Google Scholar] [CrossRef]
- Chen, Y.; Cao, F.; Cheng, W.; Liu, B. Enhancing the Accuracy of Water-Level Forecasting with a New Parameter-Inversion Model for Estimating Bed Roughness in Hydrodynamic Models. Appl. Sci. 2023, 13, 4551. [Google Scholar] [CrossRef]
- Chen, Z.; Zhou, J.; Chen, Q. Research and application of the calculation method of river roughness coefficient with vegetation. Water 2023, 15, 2638. [Google Scholar] [CrossRef]
- Coscarella, F.; Penna, N.; Ferrante, A.P.; Gualtieri, P.; Gaudio, R. Turbulent flow through random vegetation on a rough bed. Water 2021, 13, 2564. [Google Scholar] [CrossRef]
Disclaimer/Publisher’s Note: The statements, opinions and data contained in all publications are solely those of the individual author(s) and contributor(s) and not of MDPI and/or the editor(s). MDPI and/or the editor(s) disclaim responsibility for any injury to people or property resulting from any ideas, methods, instructions or products referred to in the content. |
© 2024 by the author. Licensee MDPI, Basel, Switzerland. This article is an open access article distributed under the terms and conditions of the Creative Commons Attribution (CC BY) license (https://creativecommons.org/licenses/by/4.0/).





