Abstract
The International Maritime Organization aims for net-zero carbon emissions in the maritime industry by 2050. Among various alternatives, route optimization holds an important place as it does not require any additional component-related costs. Especially for wind-assisted ships, the effectiveness of different sailing systems can be improved significantly through route optimization. However, finding the ship’s optimal route is computationally expensive when the totality of possible weather conditions is taken into consideration. To determine the optimal route that minimizes energy consumption, an energy model based on the environmental conditions, ship route and ship speed was built using artificial neural networks. The energy consumed for given input data was calculated using a ship dynamics model and a database was generated to train the artificial neural networks, which predict how much energy is consumed depending on the route followed in given environmental conditions. Then, such networks were exploited to derive the optimal routes for all the relevant operational conditions. It was found that route optimization can reduce the overall ship energy consumption depending on the weather conditions of the environment by up to 9.7% without any increase in voyage time and by up to 35% with a 10% delay in voyage time. The proposed methodology can be applied to any ship by training real weather conditions and provides a framework for reducing energy consumption and greenhouse gas emissions during the service life of ships.
1. Introduction
The maritime and shipping industries contribute a large share of global CO2 emissions. Recently, many studies have been conducted to develop solutions to decrease CO2 emissions. In particular, the declaration of net zero greenhouse gas emissions by 2050 by the International Maritime Organization (IMO) heightened the attention on decarbonization-related studies [1]. Not just environmental concerns but also increasing fuel prices, legal regulations on CO2 emissions, carbon taxes and innovative technologies, such as sailing systems and alternative fuels, have spurred the industry and researchers to develop new solutions.
Studies on reducing CO2 emissions and fossil fuel consumption in shipping focus on designing better new ships and retrofitting old ones. For example, the resistance of ships can be reduced by optimizing the hull form for new ships [2], or new-generation ships can be designed to use wind power more efficiently [3]. Instead of conventional propellers, controllable pitch propellers provide additional versatility and increased efficiency for a wide range of ship speeds, entailing a reduction in fuel consumption [4]. Furthermore, sailing systems, such as rotor sails [5,6], rigid wind sails [7], or kites [8], or solar panels [9] can be implemented to reduce the need for fossil fuel by providing renewable and clean energy. Route optimization represents an additional tool, which can incorporate atmospheric conditions to reduce wind resistance or even optimize the operations of wind-assisted propulsion devices along the route to reduce the power required by the propeller, and one of its main features is that it does not require any investment in machinery or equipment. Therefore, it is easier to be adopted than other technologies.
The effect of route optimization is more evident for wind-assisted ships through the improvement of the efficiency of sails. Mason et al. [10] conducted a route optimization study for wind-assisted ships and found that route optimization improves the effectiveness of sails and contributes to larger savings by exposing strong and side wind more frequently. Dupuy et al. [11] found the optimal routes for wind-assisted ships using rotor sails, suction wings, and wing sails and concluded that the optimal route and how much route optimization contributes to energy savings vary depending on what kind of sailing system is employed. Chou et al. [12] reviewed recent studies on wind-assisted ship propulsion and showed that different assistive technologies such as kites and rotor sails have different operational characteristics. While kites perform better with tailwinds, rotor sails are most effective in side winds. Therefore, the optimal route for ships with different sailing systems is expected to be different. In addition to the sailing system, the environmental conditions and target ship also affect the results of route optimization.
To determine the optimal routes for given conditions and target ships, several studies have been conducted. Lu et al. [13] conducted route optimization by dividing the route into several segments and calculated the energy consumption based on an “Energy Efficiency of Operation” (EEO) index for all potential routes. Then, routes with the lowest Beaufort number and lowest fuel consumption were obtained. In a previous study conducted by Kobayashi et al. [14], Bézier curves were used to define the route, and the energy-efficiency operational indicator (EEOI) and fuel-oil consumption (FOC) were minimized using the MMG (Maneuvering Modelling Group) model. Another method that was applied to find the optimal ship route is three-dimensional dynamic programming [15]. The route domain was discretized by possible waypoints and optimal routes were found by considering the minimum FOC and minimum ETA (estimated time of arrival). In a previous study conducted by Zaccone et al. [16], dynamic programming was used to determine the route of a ship by discretizing the problem in the space-time domain. Bentin et al. [17] used the A* algorithm to determine the route based on a tree-like path generator. In the present study, instead of using waypoints or time-space discretization, the route was obtained by merging the simple routes which were optimized continuously on the updated problem domain during the voyage. Thus, a complex route optimization problem was transformed into simple subproblems.
Sun et al. [18] used the A* algorithm to reduce the carbon intensity index of wind-assisted ships and compared the optimal route with the minimum distance route. Kaklis et al. [19] investigated the Automatic Identification System (AIS) data of different vessels, clustered the sub-trajectories and found the shortest route using the A* algorithm. Li and Qiao [20] used the simulated annealing algorithm to find the routes for minimum fuel consumption and minimum voyage time. An improved ant colony algorithm was also applied by Ding et al. [21] to find energy-efficient routes for marine vehicles. A particle swarm optimization (PSO)-based route, speed and angle of attack decision system was developed by Wang et al. [22]. Another particle swarm optimization application to reduce ship energy consumption was conducted by Du et al. [23]. It was found that the improved PSO algorithm reduced FOC and CO2 emissions significantly. However, these algorithms generate results specifically for the given conditions and need to be repeated for different conditions. Therefore, the process requires a significant amount of time when high-fidelity ship dynamics models are integrated. In the present study, we built a ship dynamics model and conducted numerous simulations to characterize the routing behavior of the ship using an artificial neural network. Using the surrogate model built by the artificial neural network, the route is optimized continuously through the voyage. This allows us to reduce the computational effort significantly while reflecting the high-fidelity model characteristics.
Recently, a number of studies were conducted to find the optimal route and conditions between two locations using artificial neural networks and machine learning methods. Bal Besikci et al. [24] used artificial neural networks to predict the energy consumption based on ship speed, engine revolutions, draft, trim, cargo and environmental effects, and a decision-support system for reducing fuel consumption was developed. Guo et al. [25] used machine learning to model the relation between the ship size, ship resistance, environment and energy consumption.
In addition to route optimization, neural network-based methods were used to analyze weather data to be fed in for route optimization studies. Wu et al. [26] emphasized the importance of accurate weather data and proposed a convolution neural network-based method to convert discrete weather data into continuous forecast data.
In the present study, we have proposed an artificial neural network-based route optimization method. First, a ship dynamics model was implemented, and the energy consumption between two points was calculated and tabulated in a database parametrized for the ship speed, route and environmental condition. Then, the energy consumption was modeled through an artificial neural network. Eventually, the ship speed and route leading to the least energy consumed were found by keeping the voyage time constant or allowing some delay in the optimization algorithm running on the artificial neural network.
The presented route optimization method uses an artificial neural network-based energy consumption prediction model instead of computing a simulation model for each function evaluation, which makes optimization faster. Having a model which holds the relation between the environment, voyage and energy consumption forms a basis for finding the energy-efficient routes during the life of the ship. In addition, the proposed methodology divides large and complex route optimization problem into smaller subproblems, which were evaluated using a simple route definition and artificial neural network model of energy consumption, and complex optimal routes were formed by connecting the solutions of subproblems. Thus, the time consumed in training the artificial neural network is reduced and the adaptability of the proposed methodology into different environmental conditions improved significantly.
2. Methods
In the present study, a ship dynamics model, known as the MMG model, was implemented for the target ship, KVLCC2, equipped with four rotor sails. The propeller power was calculated considering the hydrodynamic forces, propeller force, rudder force, interaction between the hull and wind and sail force. A detailed description of the model was given in Guzelbulut et al. [27]. A summary of the model is presented in the following. The main particulars of KVLCC2 are given in Table 1.
Table 1.
Main particulars of KVLCC2.
The proposed methodology includes several steps: creating a ship dynamics model and a parametric route definition, generating a database which contains the information regarding different environmental conditions, routes, ship speeds and energy consumptions, training an artificial neural network model to express the relation between the environment, route and energy consumption and an optimization process for finding the optimal route iteratively.
The equation of motion for the MMG model is given in Equation (1) according to the mid-ship coordinate system, as shown in Figure 1. m, mx and my are the mass and added masses of the ship, IzG and Jz are the inertia and added inertia components and xG is the distance between the center of mass and mid-ship. The forces and moment generated by the hull hydrodynamics, XH, YH, NH, the propeller, XP, YP, NP, and the rudder, XR, YR, NR, were modeled based on a previous study by Yasukawa and Yoshimura [28]. In addition, the interaction forces of the wind-hull, XWind, YWind, NWind, and forces generated by rotor sails, XRotor, YRotor, NRotor, were also included. u is the surge speed, vm is the sway speed and r is the yaw speed.
Figure 1.
Description of coordinate systems.
Hydrodynamic derivatives were defined based on nondimensional velocity components, u′ = u/U, v′m = vm/U and r′ = r·Lpp/U, as shown in Equation (2). Hydrodynamic forces were calculated considering the resistance coefficient, R′0, the second- and fourth-order polynomials of v′m and r’ in the surge direction and the first- and third-order polynomials of v′m and r′ in the sway and yaw directions, respectively. ρ is the seawater density.
The propeller thrust was calculated as in Equation (3), where tP is the thrust reduction coefficient, nP is the rotational speed of the propeller, DP is the diameter of the propeller and KT is the propeller thrust coefficient depending on the advance ratio JP. It was assumed that the propeller only generates thrust in the surge direction and no additional force or moments are generated in the sway and yaw directions.
The rudder forces and moment were calculated in the surge, sway and yaw directions, as given in Equation (4), where tR, aH and xH are the interaction parameters between the rudder and the hull, AR is the rudder area, UR is the inflow speed, fα is the rudder lift gradient coefficient, αR is the effective inflow angle and δ is the rudder angle, as in Figure 1.
Wind causes two types of forces for wind-assisted ships: the interaction of the hull with the wind and sail-generated forces. The interaction between the hull and wind depends on the dimensions of the ship and the force coefficients given by Equation (5), where AF and AL are the frontal and lateral areas, VA is the apparent wind speed and CXA, CYA and CNA are force coefficients depending on the apparent wind angle θA. Yasukawa et al. [29] calculated the force coefficients of the target ship KVLCC2 based on the method proposed by Fujiwara et al. [30]. In the present study, the interaction between the hull and the wind was defined based on Yasukawa et al. [29].
Rotor sails were considered as wind-assistance systems in the present study. The diameter, height and end-plate diameter of each rotor sail were determined to be 5 m, 30 m and 10 m, respectively. The force-generation characteristics of rotor sails were defined depending on the apparent wind speed, VA, projected area of the rotor sail, A, and coefficients, cL, cD and cP, according to the previous work conducted by Tillig and Ringsberg [5]. Then, the lift and drag forces, Lrotor and Drotor, and the required operational power of rotor sails, Protor, were calculated as given in Equation (6) and transformed into a ship coordinate system, as given in Equation (7), where xsail is the x-position of the rotor sails in the ship coordinate system.
Due to large side forces, the rudder angle needs to be controlled to follow a given trajectory. In addition to rudder control, propeller speed control is also necessary to balance the propulsive forces depending on the interaction between the hull and environment and the thrust generated by the sails. For this purpose, a proportional controller for the rudder angle and a proportional-integral-derivative controller for the propeller revolution rate were implemented.
In the present study, a route optimization method is proposed to find the optimal route using an artificial neural network-based energy consumption model. Instead of finding the optimal route directly, the proposed method progressively finds the optimal trajectory for the remaining distance to be covered as the ship navigates to its destination point, as shown in Figure 2. Such an approach allows for the inclusion of temporal and spatial variations in weather conditions.
Figure 2.
Progressive route updates.
To determine what kind of route should be chosen at each decision time step, Δtd, a parametric route definition is required. Then, the energy consumption of the ship is evaluated using such parameters. In the present study, V-shaped routes were considered as a parametric route definition to describe the deviation of the route at the simplest form and a database of routes was created beforehand based on V-shaped routes, in which the ship deviates from a straight route by the specified distance at the midpoint of the route. The parameters of the general V-shaped route are shown in Figure 3. The generated database is parametrized for the total distance, xtotal, the ship speed in both halves of the route, u1 and u2, and the relative deviation from a straight route at the middle of the total distance, ydev. The parameters for the route were assigned random values within a predefined range of each parameter, where the maximum deviation, ydev, was limited to the aspect ratio of the map, AR. The range of each parameter was given in Table 2. Environmental parameters, namely, the wind speed and wind direction on each grid point, WSi and WDi, respectively, were also randomly defined. The MMG model was adopted to simulate the ship dynamics and, hence, the total energy consumption for each route on the map by integrating the propeller power during the voyage time.
Figure 3.
Definition of parameters for describing the V-shaped route.
Table 2.
The range of each basic route parameter for building the energy consumption model.
Then, a neural network model was built to predict energy consumption, E. The inputs of the artificial neural network are the wind speed and direction, WSi and WDi, total distance, xtotal, relative deviation, ydev, and ship speed, u1 and u2. Hidden layers were created between the input and output layer, which corresponds to energy consumption. Accordingly, the energy consumption of different V-shaped routes under different conditions can be found using Equation (8), where net is the artificial neural network model.
After building a model which predicts the energy consumed for given environmental conditions, ship speeds, total distances and relative deviations, ydev, the optimization problem for minimizing the energy consumption is defined as shown in Equation (9). In particular, the ship speed and relative deviation are the design variables of the problem, which are collected in an array, q.
At each time step where a decision is made on the route, the optimal V-shaped route is found, and the ship navigates on the optimal route until the next decisional step occurs, where the total distance is re-interpreted as the remaining distance at that time and location. The wind speed and direction are updated using a bilinear interpolation on the map. The frequency of each decisional step is a parameter of the routing algorithm and leads to a different number of divisions on the optimal route. The overall workflow of the proposed method is given in Figure 4.
Figure 4.
Workflow of the proposed route optimization method.
3. Results
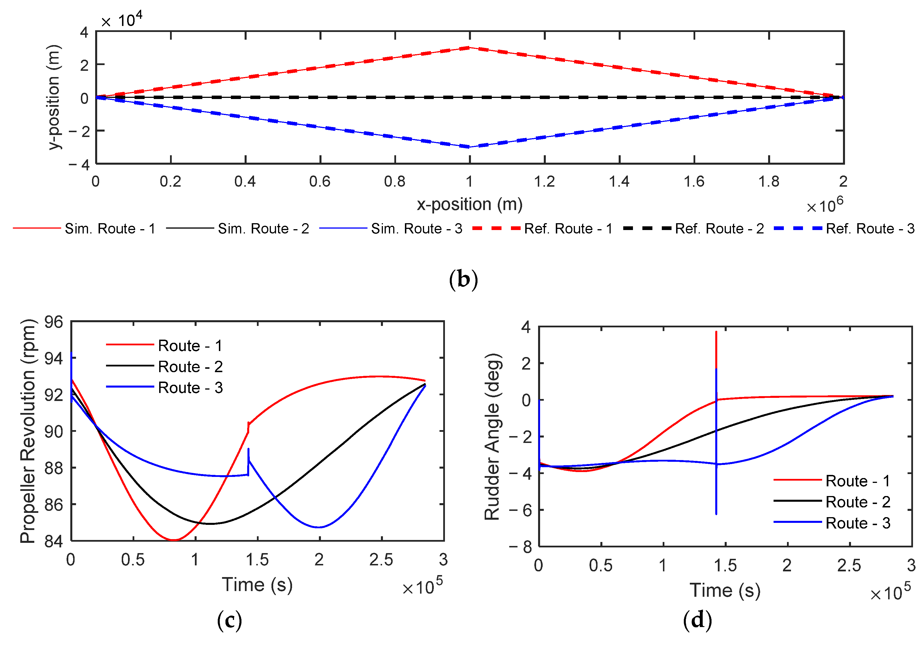
The proposed method finds the optimal route that reduces energy consumption using an energy consumption prediction model that is trained by numerous simulations. The MMG model of the ship dynamics was built in MATLAB/Simulink. First, the capability of the ship controller to make the ship follow the imposed V-shaped trajectory by controlling the propeller speed and rudder angle was examined. In order to perform this analysis, a simple map was created, as shown in Figure 5, and the behavior of the propeller and rudder was obtained for different routes. It was confirmed that the ship follows the given trajectories by adjusting the rudder angle and propeller speed to balance the wind resistance on the hull and the force generated by the rotor sails, where the output trajectory perfectly matches the reference trajectory.

Figure 5.
Investigation of the controller effectiveness: (a) Wind speed and direction distribution on a map showing three reference routes, and (b) the comparison of the simulated routes with controller and reference routes, (c) the variation in the propeller speed and (d) the rudder angle along the route.
Then, an artificial neural network model was created to predict the energy consumption depending on the wind characteristics, route and ship speed. The map used in the present study has wind speed and wind direction data defined on its corners. Thus, an input layer, consisting of four wind speeds, four wind directions, one total distance, one relative deviation and two ship speeds, was created using 12 neurons. Three hidden layers, containing, in order, 20, 30 and 10 neurons, were created and connected to the output layer, which contains one neuron holding information about the energy consumed by the propeller, as shown in Figure 6a. Then, a total of 22,000 simulations were conducted under random values for the input layer, where each value is normalized within its range. The aspect ratio of the map, AR, was 6%. After creating the simulation database, the data were separated randomly into train, test and validation datasets according to a ratio of 70%, 15% and 15%, respectively. After training the artificial neural network model, the model accuracy was evaluated as shown in Figure 6b–d. It was found that the regression value, R, and the slope between the real and simulated outputs are almost 1. Therefore, it was concluded that the energy consumption prediction model performs well under different weather and route conditions.
Figure 6.
(a) Artificial neural network model used in the study. (b–d) Regression performance of the artificial neural network model for training, test and validation data.
After ensuring the accuracy of the artificial neural network model, route optimization was carried out in several different conditions. In particular, three different wind conditions were considered, as shown in Figure 7. The first case, which is illustrated in Figure 7a, corresponds to head winds along the whole map, which is the worst wind direction condition. The second and third cases, in Figure 7b,c, are randomly generated weather conditions.

Figure 7.
The distribution of wind speed and direction in (a) Case 1, (b) Case 2 and (c) Case 3.
The optimal route, ship speed and propeller power for Case 1 are shown in Figure 8, according to different decision time steps, Δtd, which lead to different numbers of divisions on the optimal route. It was found that reducing the ship speed to approximately 5 m/s and within regions characterized by a low headwind are the two strategies leading to the determination of the optimal route. While reducing ship speed significantly contributes to power reduction, the voyage time for Case 1 was approximately 40% higher than the straight route voyage time, where the ship speed is approximately 7 m/s. Route optimization and speed reduction resulted in a reduction in the energy consumption of 49.5% regardless of the number of divisions.
Figure 8.
The effect of a different number of divisions on the (a) optimal route, (b) propeller power and (c) ship speed in Case 1.
Although reducing the ship speed significantly contributes to the power reduction, increasing the voyage time may not be acceptable in many situations. Therefore, the maximum total time allowed to complete the voyage, ttotal, was initially specified and a constraint equation was defined to limit the voyage time. The optimization problem was updated in Equation (10), where xr is the remaining distance to the destination and tr is the maximum allowed remaining time at the current decision time step. After the nth decision time step, the maximum allowed remaining time is calculated using Equation (11). The percent reduction in energy consumption is calculated based on the energy consumed on a straight route at a constant speed which is required to complete the voyage for the maximum allowed total time, ttotal.
The trajectories, propeller power and ship speed with a voyage time constraint are given in Figure 9. Compared to the optimal routes without any constraints on voyage time, the deviation decreased significantly from 50,000 m to 5000 m. Also, the ship speed was higher than that of the straight route to satisfy the voyage time constraint. The reduction in energy consumption was approximately 0.3–0.5% compared to that of the straight route at a constant ship speed. This is in order to re-iterate the present environmental conditions corresponding to headwinds (Case 1) throughout the map, and, hence, there is little room for optimization.
Figure 9.
The effect of a different number of divisions on the (a) optimal route, (b) propeller power and (c) ship speed with a voyage time constraint in Case 1.
In Case 2, a randomly generated weather condition was considered, and the optimal trajectory, propeller power and ship speed were found considering a different number of divisions, as shown in Figure 10. The ship navigates toward the region where strong side winds can be exploited to generate thrust through rotor sails, whereas in Case 1, the ship tends to navigate toward the slow wind-speed region, as headwinds contribute small thrust but large drag for hulls fitted with rotor sails, and minimizing headwind speed provides the largest benefit in terms of drag reduction. Route optimization led to a reduction in energy consumption with respect to the straight route of 7.2–9.7%, depending on the number of divisions, and led to increased ship speed along some portions of the route, as shown in Figure 10c.
Figure 10.
The effect of different numbers of divisions on the (a) optimal route, (b) propeller power and (c) ship speed with a voyage time constraint in Case 2.
As analogous optimization was carried out for Case 3, as shown in Figure 11. The ship trajectory was deflected toward where the region is characterized by side winds, which generate thrust through the rotor sails. The energy consumption was reduced with respect to that of the straight route by approximately 0.7–0.96%, depending on the number of divisions. The maximum power reduction occurred in the time range between 105 s and 2 × 105 s, which is the time where the ship is navigating in the vicinity of the region featuring the strongest side winds.
Figure 11.
The effect of a different number of divisions on the (a) optimal route, (b) propeller power and (c) ship speed with a voyage time constraint in Case 3.
The proposed method finds the energy-optimal route for a given destination and a given maximum voyage time. When the voyage time increases, in other words, the ship speed is reduced, and the energy consumption can be reduced further, as shown in Figure 8, which is a commonly adopted strategy by ship operators to reduce consumption. However, the present analysis also allows us to understand the effect of speed reduction and route optimization combined, where the optimal route was found by allowing a 3%, 5% and 10% delay in voyage time for all three cases above, as shown in Figure 12. It was found that an increase in voyage time generally brings forth an increased deviation from the straight route and a decrease in ship speed.
Figure 12.
Variation in trajectory, propeller power and ship speed depending on the allowance to time delays of 3%, 5% and 10% for (a) the first, (b) second and (c) third cases.
To understand whether the effectiveness of the route optimization increases together with the delay or not, the percentage of energy reduction of the optimal route and the straight route with an allowed maximum delay up to 10% with respect to the energy required by the straight route without delay was calculated for the three cases, as shown in Figure 13. It was found that speed reduction without route optimization, that is, for a straight route, contributed a 15–25% reduction in energy consumption depending on the environment and the allowed time delay. Route optimization with delay provides further benefit by increasing the reduction in energy consumption to 35% with an allowed time delay of 10%, which represents an improvement of 10% with respect to the energy reduction that can be achieved on a straight route just by slowing down the ship and increasing the voyage time by 10%, as shown in Figure 13. That is, the effects of ship speed control and route control can be summed for a combined benefit. On the other hand, the difference between the curves for a straight route and the optimal route in Figure 13 is roughly constant with the time delay, showing that the improvement due to delay is roughly constant, and one curve can be obtained from the other by translation. That is, the improvement due to delay and that due to route optimization are generally independent, and their effect can be roughly superposed, hinting at a largely linear behavior. This is likely due to the wind conditions being linearly interpolated from the four corners of the map within the map.
Figure 13.
Comparison of the straight route and optimal routes in terms of energy consumption depending on the allowance of time delay for Case 1, Case 2 and Case 3.
4. Discussion
In the present study, we have proposed an artificial neural network-based route optimization method. First, a simple V-shaped route was defined, and a database of energy consumption depending on the environmental conditions, remaining distance to the destination, ship speed and relative deviation was created. An energy consumption prediction model was built using an artificial neural network model. Then, the minimum-energy route was found at each decision time step and the optimal route of the subproblems were linked to generate the overall optimal route between two locations.
Traditional approaches to optimizing the route require many design variables to define the route, and the computational time increases significantly together with the number of design variables. If a physical system model is used to optimize the route, the total computational time further increases. However, the proposed method uses an artificial neural network model as a surrogate model and allows us to find the optimal route in a short amount of time.
To show an application of the proposed method, a proof-of-concept study was conducted for wind-assisted ships with four rotor sails considering three different weather conditions. An artificial neural network model was built considering only a single grid for the sake of simplicity. When the energy consumption was minimized without time constraints, the ship speed was reduced, and the ship deviated from a straight line. In such conditions, the energy consumption was reduced significantly by approximately 49.5%, while the voyage time increased by 40%, as shown in Figure 8. However, an increase in voyage time is not always possible, as it causes additional costs due to late delivery. A constraint equation was defined for this purpose. When the voyage time was fixed, the ship speed was roughly maintained, and the deviation from the straight route was limited. When different weather conditions were considered, the proposed method allowed us to find the energy-optimal route and the energy consumption was reduced by up to 9.7%, as shown in Figure 10. However, it should be noted that the reduction in energy consumption highly depends on the environmental conditions.
To understand whether the efficiency of routing changes or not when a certain time delay is allowed or not, the optimal route was found by considering a time delay of up to 10%. The delay in voyage time increased the ability of the ships to harvest wind power by reaching better environmental conditions. The effect of time delay with a straight route also changed depending on environmental conditions. Only by optimizing the route of the wind-assisted ship and through a 10% time delay could the energy consumption of wind-assisted ships be decreased by 15–35% depending on the environmental conditions, as shown in Figure 13.
The effectiveness of route optimization was shown considering scenarios with and without any increase in voyage time. The proposed methodology can be applied to any ships without any additional equipment, requires low cost and provides lifelong route optimization solutions due to the use of an artificial neural network-based energy consumption model. Since the proposed methodology allows one to consider time delay in voyage time, it can be effectively used if the port is busy and requires a waiting time. Thus, more environmentally friendly and lower-cost solutions for operating ships can be further analyzed considering fleet management and smart port management systems.
Although the proposed model finds the route that minimizes the energy consumption, there are disadvantages and limitations of the model. Since the proposed model includes an artificial neural network, it is necessary to conduct many simulations to obtain an accurate representation of the energy consumption. Additionally, the database generated will be specific to the target ship. Although the generation of the database and training require a significant amount of time, the trained model can be used for any environmental condition, thus reducing the computational work to find the optimal route for different weather conditions. Also, the prediction performance of artificial neural network models may be affected when highly dynamic or unexpected weather conditions exist. Therefore, the selection and design of what kind of artificial neural network model holds a significant place. In addition to points related to artificial neural network models, there are several drawbacks of the ship dynamics model used in the present study. Since multiple rotor sails were installed on ships, they can generate larger rolling moments and shift the center of gravity upwards, which reduces the stability of the ship. The interaction between the hull and wave was not included in the present study. In future studies, the fidelity of ship dynamics models should be increased to have a more accurate prediction.
The proposed method allows us to find the optimal route while considering the time-varying and complex weather conditions without computing a physical system model. Previous studies considered particle swarm optimization, the A* algorithm, an ant colony algorithm and other optimization algorithms to find the optimal route for given environmental conditions, all of which require repeating all optimization procedures for time-varying weather conditions. Since environmental conditions are updated throughout the voyage in the present method, it can also deal with time-varying weather conditions. Future studies will focus on the integration of the proposed method by extending the use of different artificial neural network model architectures and machine learning approaches with probabilistic time-varying environmental conditions where a robust route optimization approach will be studied.
In the present investigation, we considered a single grid to describe the environmental conditions. The complexity of the grid system can be further increased by increasing the number of grids to express more complex weather conditions. Through analyzing the temporal and spatial variation of weather conditions, the required number of grids to express the overall environmental conditions should be determined in real applications. Increasing the number of grids increases the complexity of the environment and allows the ship to use more local environmental data as well to reduce energy consumption. On the other hand, increasing the number of grids to increase the complexity of environmental conditions will increase the required number of simulations to train an artificial neural network model. Furthermore, the V-shaped basic route can be switched to a Z-shaped route (a route having two relative deviation points) or a W-shaped route (a route having three relative deviation points) to consider more complex routes. In future studies, more complex expressions of environmental conditions and route definitions will be studied to examine the performance of the proposed method in more complex conditions including temporal variations in the environment.
5. Conclusions
The maritime industry continues to take steps to reduce CO2 emissions. Various proposals, such as design improvements for the ship components, integrating the sailing systems, etc., are being examined and researched. However, another important point is to efficiently operate new technology. Through the route optimization, the overall system behavior can be significantly improved by operating subsystems in more suitable environments. High-fidelity models are needed to consider each subsystem behavior, and the computational cost of the route optimization significantly increases with the high-fidelity models and varying environmental conditions. For this purpose, we built a surrogate model to investigate the relation between the environmental conditions, operational conditions and energy consumption using artificial neural networks and the MMG ship dynamics model. Thus, the computational cost of route optimization was significantly reduced.
The performance of the proposed method was investigated considering three different environmental conditions. The route optimization reduced the energy consumption for all three cases. The optimal route consists of the target ship moving through a low-wind-speed area in case of headwinds, where little use can be made of rotor sails and the priority is given to drag reduction, while the target ship is directed towards areas where side winds can be exploited if they are available. The energy consumption was reduced by 9.7% without any time delay. When a 10% increase in the voyage time was considered, the energy consumption was reduced by 15% to 35% depending on the environmental conditions. Since an increase in the time delay allows the ship to deviate from the straight line more, the efficiency of the route optimization is also increased.
Although time-varying environmental conditions were not considered in the present study, the effectiveness and accuracy of route optimization increases when time-varying conditions are considered. Time-varying environmental conditions can be easily adopted in the proposed method because of its iterative algorithm. In future studies, we are planning to extend the application of the proposed method to probabilistic time-varying environmental conditions.
Author Contributions
Conceptualization, C.G.; methodology, C.G.; software, C.G.; validation, C.G, T.B. and K.S.; formal analysis, C.G., Y.F. and T.S.; investigation, C.G.; resources, C.G. and K.S.; data curation, C.G., T.B., Y.F., T.S. and K.S.; writing—original draft preparation, C.G.; writing—review and editing, C.G., T.B., Y.F, T.S. and K.S.; visualization, C.G.; supervision, K.S.; project administration, K.S.; funding acquisition, C.G. All authors have read and agreed to the published version of the manuscript.
Funding
This research was supported by REDAS: Fundamental Research Developing Association for Shipbuilding and Offshore, the Shipbuilders’ Association of Japan.
Institutional Review Board Statement
Not applicable.
Informed Consent Statement
Not applicable.
Data Availability Statement
Data are contained within the article.
Acknowledgments
We would like to thank the Maritime and Ocean Digital Engineering (MODE) Laboratory members at the University of Tokyo for their research advice.
Conflicts of Interest
Author Timoteo Badalotti was employed by the company Monohakobi Technology Institute. Author Yasuaki Fujita was employed by the company Japan Marine United Corporation. Author Tomohiro Sugimoto was employed by the company Class NK. The remaining authors declare that the research was conducted in the absence of any commercial or financial relationships that could be construed as a potential conflict of interest.
References
- IMO. Initial IMO Strategy on Reduction of GHG Emissions from Ships. Available online: https://www.imo.org/en/OurWork/Environment/Pages/Vision-and-level-of-ambition-of-the-Initial-IMO-Strategy.aspx (accessed on 5 October 2023).
- Zakerdoost, H.; Ghassemi, H.; Ghiasi, M. Ship hull form optimization by evolutionary algorithm in order to diminish the drag. J. Mar. Sci. Appl. 2013, 12, 170–179. [Google Scholar] [CrossRef]
- Walther, L.; Jahn, C.; Lade, T. Weather Routing for a Wind Driven Hybrid Merchant Vessel. In Proceedings of the OCEANS 2015-Genova, Genova, Italy, 18–21 May 2015. [Google Scholar]
- Tadros, M.; Ventura, M.; Guedes Soares, C. Optimization procedures for a twin controllable pitch propeller of a ROPAX ship at minimum fuel consumption. J. Mar. Eng. Technol. 2023, 22, 167–175. [Google Scholar] [CrossRef]
- Tillig, F.; Ringsberg, J.W. Design, operation and analysis of wind-assisted cargo ships. Ocean Eng. 2020, 211, 107603. [Google Scholar] [CrossRef]
- Guzelbulut, C.; Suzuki, K. Optimal Design of Rotor Sails Based on Environmental Conditions and Cost. J. Mar. Sci. Eng. 2024, 12, 31. [Google Scholar] [CrossRef]
- Ouchi, K.; Uzawa, K.; Kanai, A. Huge Hard Wing Sails for the Propulsor of Next Generation Sailing Vessel. In Proceedings of the Second International Symposium on Marine Propulsors, Hamburg, Germany, 15–17 June 2011. [Google Scholar]
- Dadd, G.M.; Hudson, D.A.; Shenoi, R.A. Determination of Kite Forces Using Three-dimensional Flight Trajectories for Ship Propulsion. Renew. Energy 2011, 36, 2667–2678. [Google Scholar] [CrossRef]
- Julià Lluis, E.; Tillig, F.; Ringsberg, J. Concept design and performance evaluation of a fossil-free operated cargo ship with unlimited range. Sustainability 2020, 12, 6609. [Google Scholar] [CrossRef]
- Mason, J.; Larkin, A.; Bullock, S.; van der Kolk, N.; Broderick, J.F. Quantifying voyage optimisation with wind propulsion for short-term CO2 mitigation in shipping. Ocean Eng. 2023, 289, 116065. [Google Scholar] [CrossRef]
- Dupuy, M.; Letournel, L.; Paakkari, V.; Rongère, F.; Sarsila, S.; Vuillermoz, L. Weather Routing Benefit for Different Wind Propulsion Systems. J. Sail. Technol. 2023, 8, 200–217. [Google Scholar] [CrossRef]
- Chou, T.; Kosmas, V.; Acciaro, M.; Renken, K. A Comeback of Wind Power in Shipping: An Economic and Operational Review on the Wind-Assisted Ship Propulsion Technology. Sustainability 2021, 13, 1880. [Google Scholar] [CrossRef]
- Lu, R.; Turan, O.; Boulougouris, E.; Banks, C.; Incecik, A. A semi-empirical ship operational performance prediction model for voyage optimization towards energy efficient shipping. Ocean Eng. 2015, 110, 18–28. [Google Scholar] [CrossRef]
- Kobayashi, E.; Hashimoto, H.; Taniguchi, Y.; Yoneda, S. Advanced Optimized Weather Routing for an Ocean Going Vessel. In Proceedings of the 2015 International Association of Institutes of Navigation World Congress Prague, Prague, Czech Republic, 20–23 October 2015. [Google Scholar]
- Du, W.; Li, Y.; Zhang, G.; Wang, C.; Zhu, B.; Qiao, J. Energy saving method for ship weather routing optimization. Ocean Eng. 2022, 258, 111771. [Google Scholar] [CrossRef]
- Zaccone, R.; Figari, M.; Martelli, M. An Optimization Tool For Ship Route Planning Real Weather Scenarios. In Proceedings of the Twenty-Eighth International Ocean and Polar Engineering Conference Sapporo, Sapporo, Japan, 10–15 June 2018. [Google Scholar]
- Bentin, M.; Zastrau, D.; Schlaak, M.; Freye, D.; Elsner, R.; Kotzur, S. A new routing optimization tool-influence of wind and waves on fuel consumption of ships with and without wind assisted ship propulsion systems. In Proceedings of the 6th Transport Research Arena, Warsaw, Poland, 18–21 April 2016. [Google Scholar]
- Sun, W.; Tang, S.; Liu, X.; Zhou, S.; Wei, J. An Improved Ship Weather Routing Framework for CII Reduction Accounting for Wind-Assisted Rotors. J. Mar. Sci. Eng. 2022, 10, 1979. [Google Scholar] [CrossRef]
- Kaklis, D.; Kontopoulos, I.; Varlamis, I.; Emiris, I.Z.; Varelas, T. Trajectory Mining and Routing: A Cross-Sectoral Approach. J. Mar. Sci. Eng. 2024, 12, 157. [Google Scholar] [CrossRef]
- Li, Y.; Qiao, C. A route optimization method based on simulated annealing algorithm for wind-assisted ships. IOP Conf. Ser. Earth Environ. Sci. 2019, 295, 042074. [Google Scholar] [CrossRef]
- Ding, Y.; Li, R.; Shen, H.; Li, J.; Cao, L. A Novel Energy-Saving Route Planning Algorithm for Marine Vehicles. Appl. Sci. 2022, 12, 5971. [Google Scholar] [CrossRef]
- Wang, K.; Guo, X.; Zhao, J.; Ma, R.; Huang, L.; Tian, F.; Dong, S.; Zhang, P.; Liu, C.; Wang, Z. An integrated collaborative decision-making method for optimizing energy consumption of sail-assisted ships towards low-carbon shipping. Ocean Eng. 2022, 266, 112810. [Google Scholar] [CrossRef]
- Du, W.; Li, Y.; Shi, J.; Sun, B.; Wang, C.; Zhu, B. Applying an improved particle swarm optimization algorithm to ship energy saving. Energy 2023, 263, 126080. [Google Scholar] [CrossRef]
- Bal Besikci, E.; Arslan, O.; Turan, O.; Olcer, A.I. An artificial neural network based decision support system for energy efficient ship operations. Comput. Oper. Res. 2016, 66, 393–401. [Google Scholar] [CrossRef]
- Guo, B.; Liang, Q.; Tvete, H.A.; Brinks, H.; Vanem, E. Combined machine learning and physics-based models for estimating fuel consumption of cargo ships. Ocean Eng. 2022, 255, 111435. [Google Scholar] [CrossRef]
- Wu, Z.; Wang, S.; Yuan, Q.; Lou, N.; Qiu, S.; Bo, L.; Chen, X. Application of a deep learning-based discrete weather data continuousization model in ship route optimization. Ocean Eng. 2023, 285, 115435. [Google Scholar] [CrossRef]
- Guzelbulut, C.; Sugimoto, T.; Fujita, Y.; Suzuki, K. Investigation of the efficiency of wind-assisted systems using model-based design approach. J. Mar. Sci. Technol. 2024, 29, 387–403. [Google Scholar] [CrossRef]
- Yasukawa, H.; Yoshimura, Y. Introduction of MMG standard method for ship maneuvering predictions. J. Mar. Sci. Technol. 2015, 20, 37–52. [Google Scholar] [CrossRef]
- Yasukawa, H.; Zaky, M.; Yonemasu, I.; Miyake, R. Effect of Engine Output on Maneuverability of a VLCC in Still Water and Adverse Weather Conditions. J. Mar. Sci. Technol. 2017, 22, 574–586. [Google Scholar] [CrossRef]
- Fujiwara, T.; Ueno, M.; Nimura, T. Estimation of wind forces and moments acting on ships. J. Soc. Nav. Arch. Jpn. 1998, 183, 77–90. (In Japanese) [Google Scholar] [CrossRef]
Disclaimer/Publisher’s Note: The statements, opinions and data contained in all publications are solely those of the individual author(s) and contributor(s) and not of MDPI and/or the editor(s). MDPI and/or the editor(s) disclaim responsibility for any injury to people or property resulting from any ideas, methods, instructions or products referred to in the content. |
© 2024 by the authors. Licensee MDPI, Basel, Switzerland. This article is an open access article distributed under the terms and conditions of the Creative Commons Attribution (CC BY) license (https://creativecommons.org/licenses/by/4.0/).