Numerical Simulation on Two-Dimensional Dual-Zone Axisymmetric Consolidation for Marine Soft Soil Improved by PVTD Considering Interfacial Thermal Resistance
Abstract
1. Introduction
2. Mathematical Modeling and Description
2.1. Simplified Computational Model for Thermal Contact Resistance
2.2. Simplified Computational Model for Consolidation Improved by the PVTD System
- (1)
- Soil is fully saturated, and self-weight consolidation has been completed prior to loading;
- (2)
- Fluid flow follows Darcy’s law, and the permeability coefficient of the soil medium is constant;
- (3)
- Heat flow follows Fourier’s law, and the thermal conductivity is constant;
- (4)
- Coefficient of thermal expansion of soil particles and water is constant;
- (5)
- Saturated soils are minor deformations.
3. Numerical Modeling
3.1. Constitutive Equation
3.2. Interfacial Governing Equations
- Case1: Perfect thermal contact model
- Case 2: Generalized incomplete thermal contact model
3.3. Boundary Condition
3.4. Material Properties
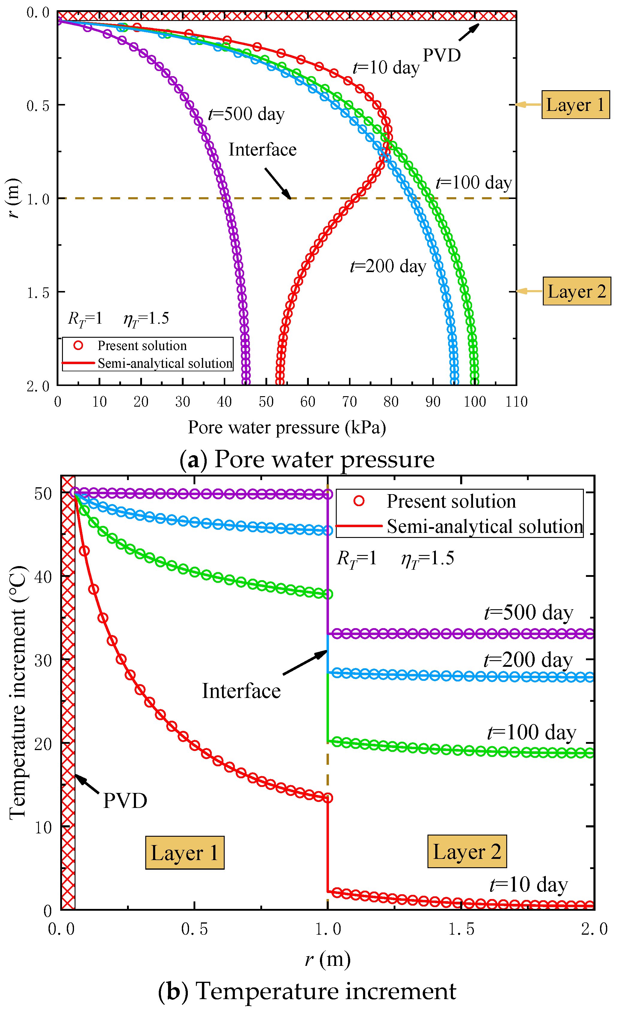
4. Comparative Verification
4.1. Comparison with Semi-Analytical Solutions
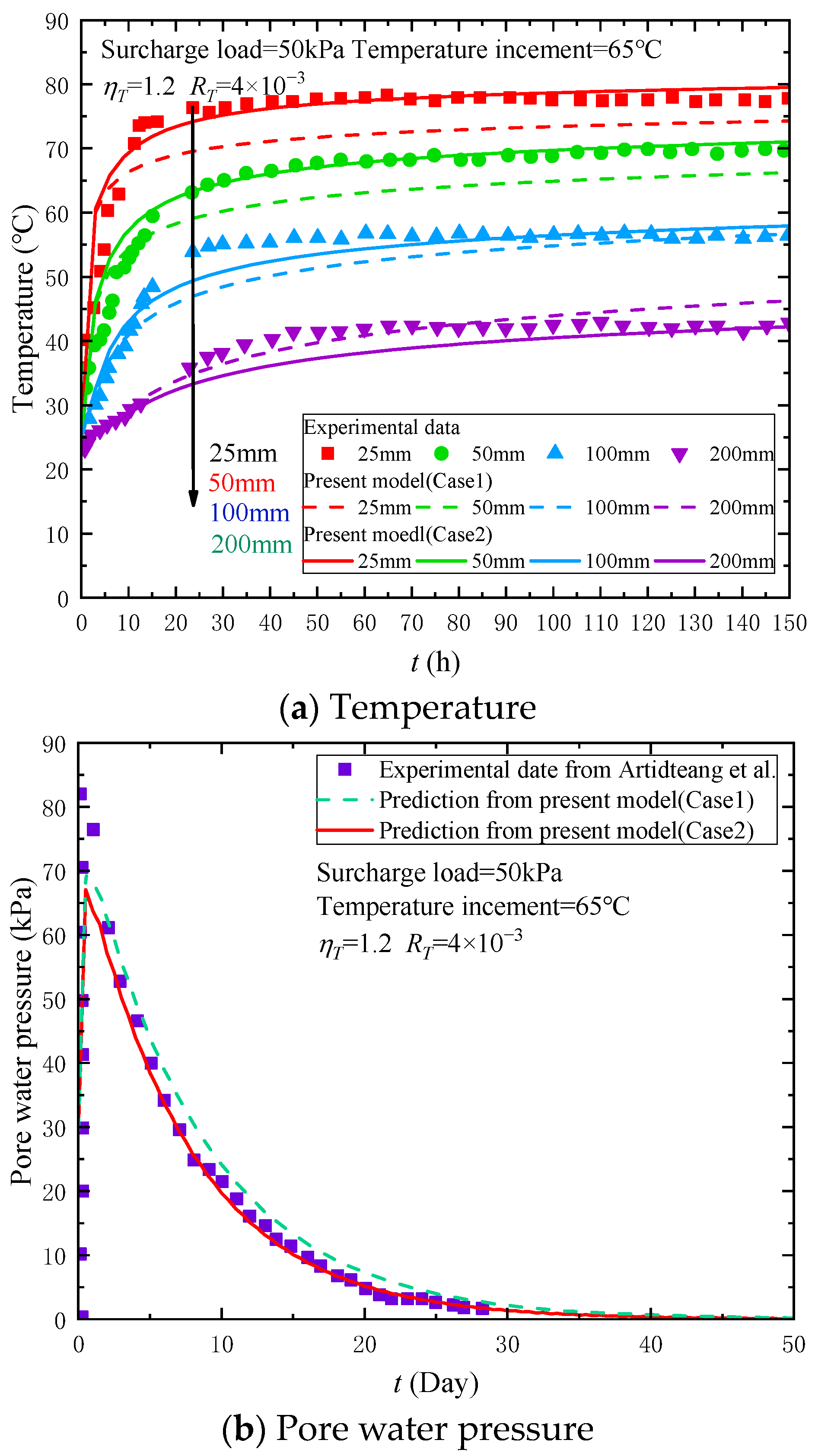
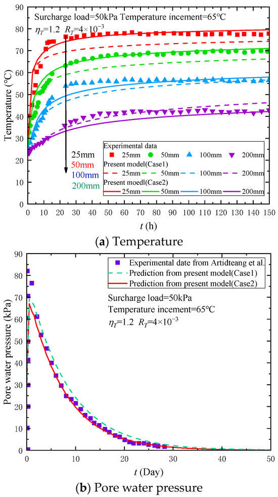
4.2. Comparison with Model Experiments
5. Parametric Analysis
5.1. Comparison Between Different Thermal Contact Models
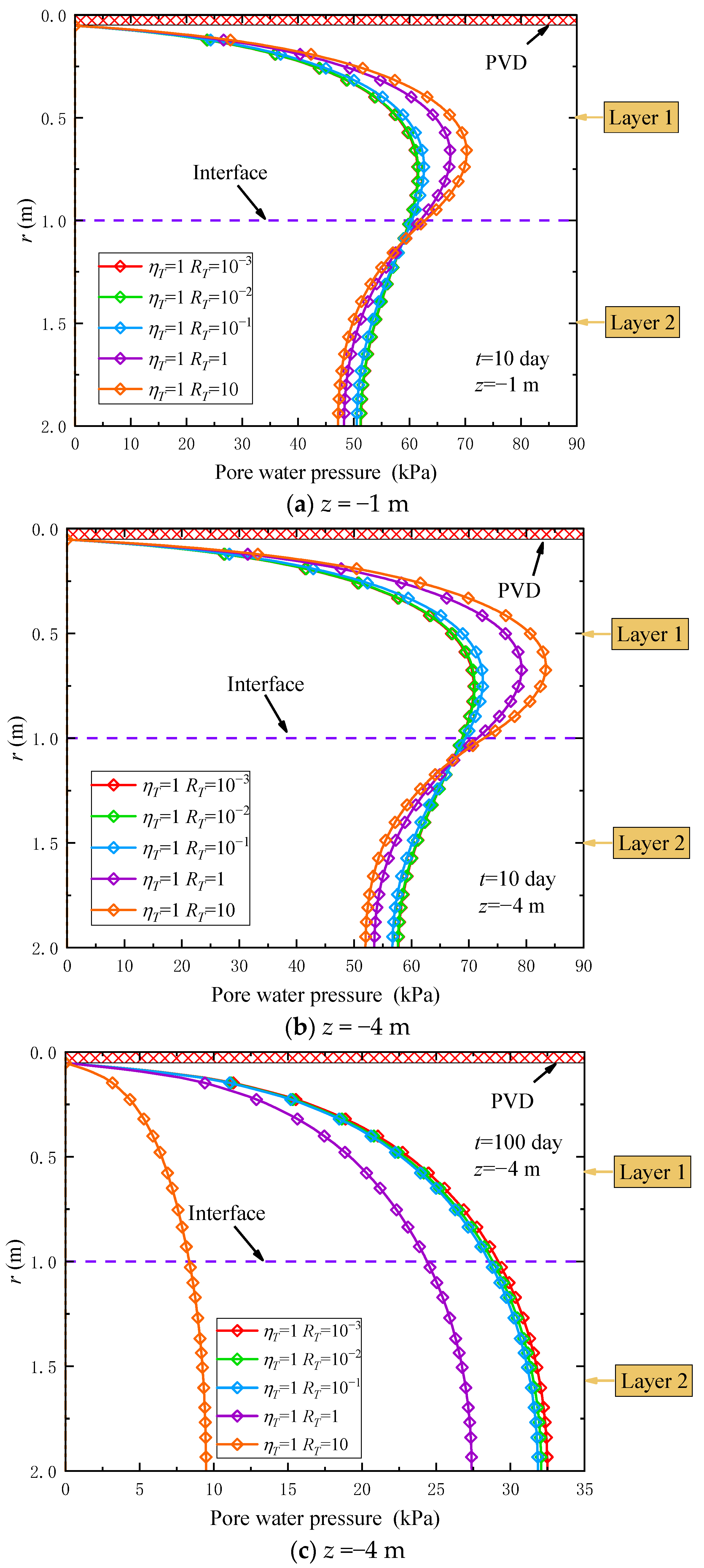
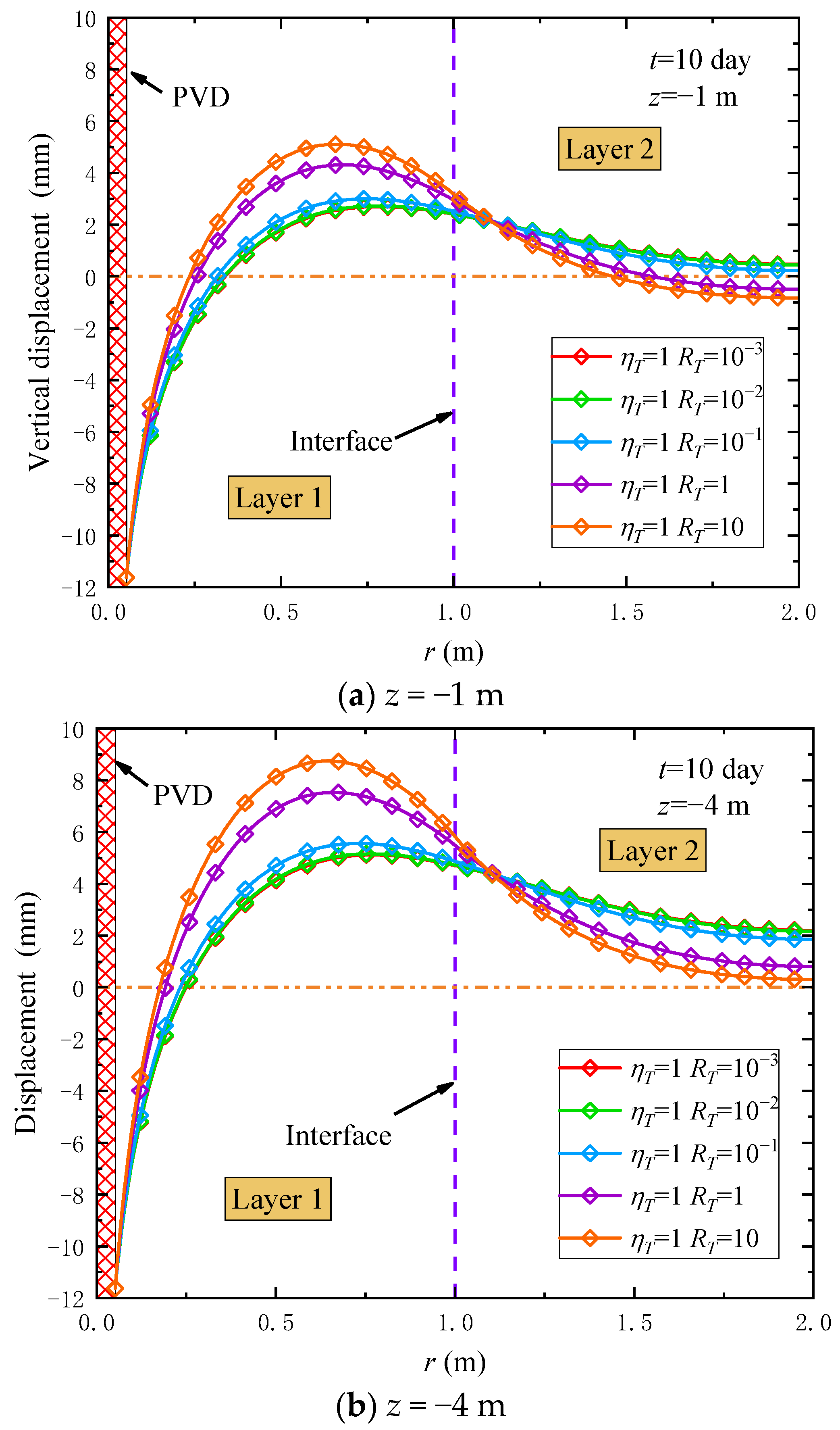
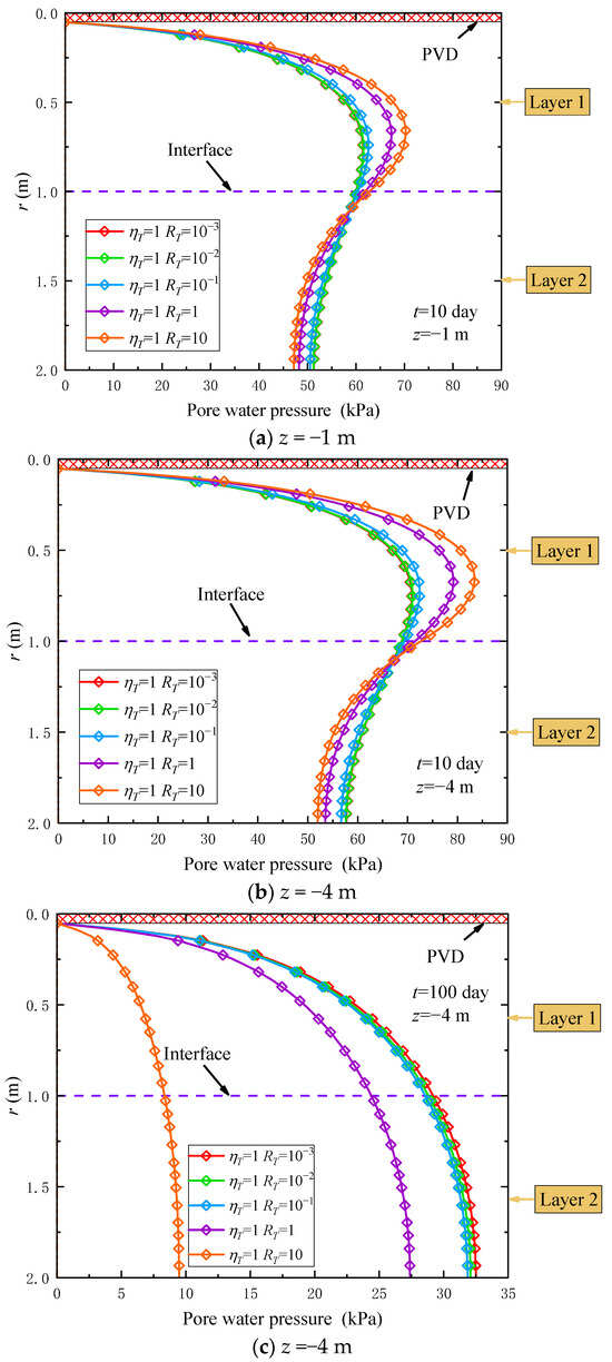
5.2. Effect of the Thermal Resistance Coefficient RT
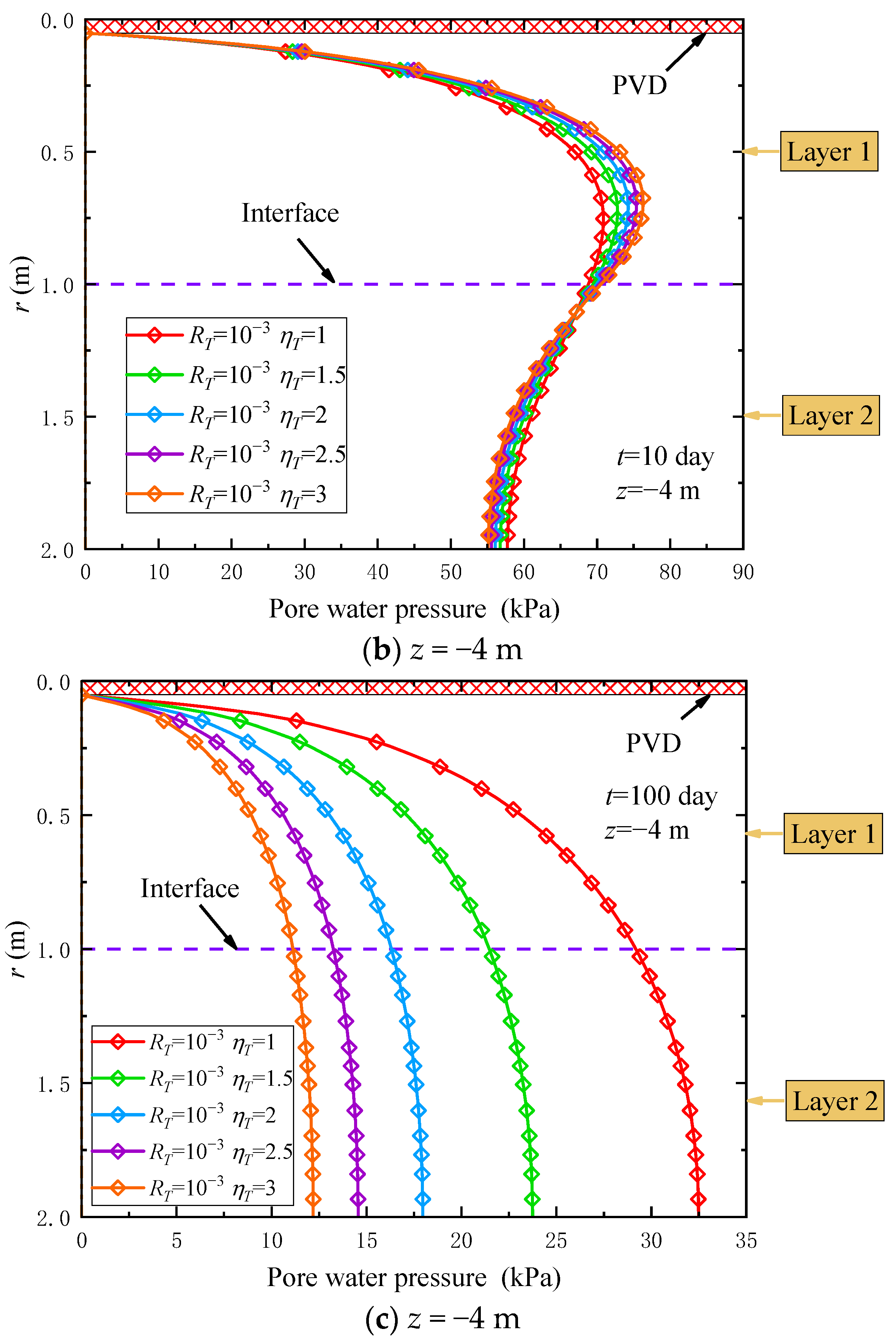
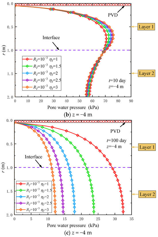
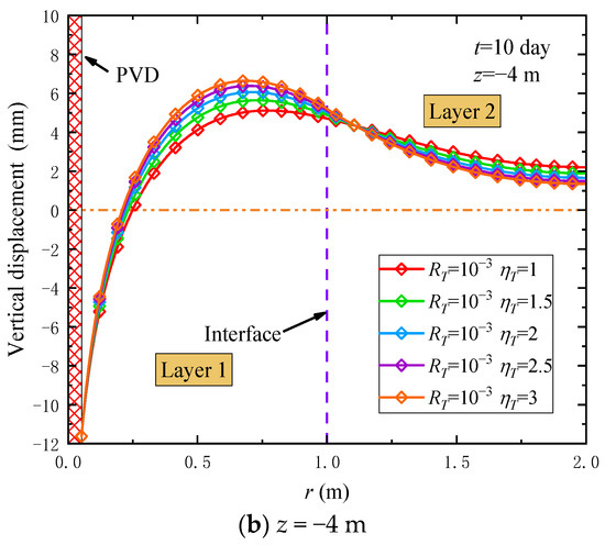
5.3. Effect of the Partition Thermal Contact Coefficient ηT
5.4. Influence of Thermal Conductivity of Soil Under Thermal Resistance Effect
6. Conclusions
- (1)
- The presence of interfacial thermal resistance leads to the discontinuity of isotherms at the interface, resulting in a pronounced thermal gradient. Moreover, the higher the temperature increase, the more significant the temperature jump becomes. The generalized incomplete thermal contact model can more accurately describe the incomplete contact issues at the soil layer interfaces and can be degenerated into a perfect thermal contact model.
- (2)
- An increase in RT results in a greater temperature increment and a faster rate of temperature rise at the interface of the first soil layer, whereas it leads to a reduced temperature increment and a slower rate of increase at the interface of the second soil layer. The larger the spatial extent of the temperature increment, the more pronounced the effect of RT on heat transfer within the soil.
- (3)
- Elevating ηT leads to a more significant temperature increment at the boundary of the first soil layer, while it causes a reduction in temperature at the boundary of the second soil layer. However, the effect on the rate of heat transfer is not pronounced. A uniformly increased ηT results in a gradual reduction in the variation of temperature increments at the interfaces.
- (4)
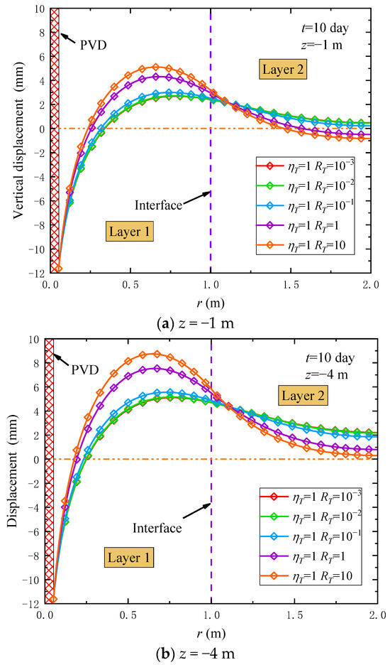
- In the early stages of consolidation, the interfacial thermal resistance effect at the soil layer interface leads to an increase in pore water pressure and thermal expansion in the first soil layer, while causing a decrease in pore water pressure thermal expansion in the second soil layer. Moreover, the impact of the interfacial thermal resistance effect on the consolidation characteristics of saturated soil is more pronounced at the depth of z = −4 m compared to z = −1 m.
- (5)
- The impact of the thermal conductivity coefficient on the consolidation characteristics of concentric regions soil is influenced by thermal contact resistance. Neglecting this effect can lead to an underestimation of its influence on the first soil layer and an overestimation of the second soil layer.
Author Contributions
Funding
Institutional Review Board Statement
Informed Consent Statement
Data Availability Statement
Conflicts of Interest
Appendix A
Appendix B
- Thermal resistance experiment


| Specimen | Thermal Conductivity (W/°C/m) | Dry Density (kg/m3) | Heating End Temperature (°C) | Cooling End Temperature (°C) | Thermal Conductivity (SY0) (W/°C/m) |
|---|---|---|---|---|---|
| SY1 | 1.150 | 1.55 × 103 | 50 | 1 | 1.767 |
| SY2 | 1.341 | 1.55 × 103 | 60 | 1 | 1.830 |
| SY3 | 1.490 | 1.55 × 103 | 70 | 1 | 1.888 |
| SY4 | 1.565 | 1.55 × 103 | 80 | 1 | 1.942 |

References
- Deng, Y.B.; Liu, G.B.; Indraratna, B.; Rujikiatkamjorn, C.; Xie, K.H. Model Test and Theoretical Analysis for Soft Soil Foundations Improved by Prefabricated Vertical Drains. Int. J. Geomech. 2017, 17, 04016045. [Google Scholar] [CrossRef]
- Yang, Q.; Ren, Y.B.; Niu, J.L.; Cheng, K.; Hu, Y.X.; Wang, Y. Characteristics of soft marine clay under cyclic loading: A review. Bull. Eng. Geol. Environ. 2017, 77, 1027–1046. [Google Scholar] [CrossRef]
- Dai, C.X.; Zhang, Q.F.; He, S.H.; Zhang, A.; Shan, H.F.; Xia, T.D. Variation in Micro-Pores during Dynamic Consolidation and Compression of Soft Marine Soil. J. Mar. Sci. Eng. 2021, 9, 750. [Google Scholar] [CrossRef]
- Duan, Y.R.; Wu, W.B.; Wang, T.C.; Yang, W.T.; Qiu, C.H.; Mei, G.X. A semi-analytical solution for consolidation of soft ground improved by locally permeable pipe piles under time-dependent loads. Comput. Geotech. 2023, 163, 105750. [Google Scholar] [CrossRef]
- Zhang, N.; Shen, S.-L.; Wu, H.-N.; Chai, J.-C.; Xu, Y.-S.; Yin, Z.-Y. Evaluation of effect of basal geotextile reinforcement under embankment loading on soft marine deposits. Geotext. Geomembr. 2015, 43, 506–514. [Google Scholar] [CrossRef]
- Zhu, Q.-Y.; Jin, Y.-F.; Yin, Z.-Y. Modeling of embankment beneath marine deposited soft sensitive clays considering straightforward creep degradation. Mar. Georesources Geotechnol. 2019, 38, 553–569. [Google Scholar] [CrossRef]
- Yoshikuni, H.; Nakanodo, H. Consolidation of Soils by Vertical Drain Wells with Finite Permeability. Soils Found. 1974, 14, 35–46. [Google Scholar] [CrossRef] [PubMed]
- Zhou, Y.; Chai, J.C. Equivalent ‘smear’ effect due to non-uniform consolidation surrounding a PVD. Géotechnique 2017, 67, 410–419. [Google Scholar] [CrossRef]
- Feng, S.; Bai, W.; Lei, H.; Song, X.; Liu, W.; Cheng, X. Vacuum preloading combined with surcharge preloading method for consolidation of clay-slurry ground: A case study. Mar. Georesources Geotechnol. 2024, 42, 348–361. [Google Scholar] [CrossRef]
- Sultan, N.; Delage, P.; Cui, Y.J. Temperature effects on the volume change behaviour of Boom clay. Eng. Geol. 2002, 64, 135–145. [Google Scholar] [CrossRef]
- Cekerevac, C.; Laloui, L. Experimental study of thermal effects on the mechanical behaviour of a clay. Int. J. Numer. Anal. Methods Geomech. 2004, 28, 209–228. [Google Scholar] [CrossRef]
- Houston, S.L.; Houston, W.N.; Williams, N.D. Thermo-Mechanical Behavior of Seafloor Sediments. J. Geotech. Eng. 1985, 111, 1249–1263. [Google Scholar] [CrossRef]
- Hu, M.J.; Feng, W.Q.; Yang, J. Theoretical analysis for thermal consolidation of marine sediments with depth variability subjected to time-dependent loading and heating. Ocean Eng. 2023, 273, 113894. [Google Scholar] [CrossRef]
- Lu, M.M.; Sun, J.X.; Li, K. One-dimensional thermal consolidation analysis of saturated clay with variable compressibility and permeability considering partial drainage boundaries. Comput. Geotech. 2023, 164, 105806. [Google Scholar] [CrossRef]
- Bai, B.; Zhou, R.; Yang, G.; Zou, W.; Yuan, W. The constitutive behavior and dissociation effect of hydrate-bearing sediment within a granular thermodynamic framework. Ocean Eng. 2023, 268, 113408. [Google Scholar] [CrossRef]
- Wang, H.Y.; Wang, K.J.; Guo, Z.; Rui, S.J.; Wang, Z.K. Resistance mechanism of partially embedded pipelines considering the influence of temperature fields. Ocean Eng. 2023, 281, 114720. [Google Scholar] [CrossRef]
- Abuel-Naga, H.M.; Bergado, D.T.; Chaiprakaikeow, S. Innovative thermal technique for enhancing the performance of prefabricated vertical drain during the preloading process. Geotext. Geomembr. 2006, 24, 359–370. [Google Scholar] [CrossRef]
- Artidteang, S.; Bergado, D.T.; Saowapakpiboon, J.; Teerachaikulpanich, N.; Kumar, A. Enhancement of efficiency of prefabricated vertical drains using surcharge, vacuum and heat preloading. Geosynth. Int. 2011, 18, 35–47. [Google Scholar] [CrossRef]
- Sang, Q.Y.; Xiong, Y.L.; Liu, G.B.; Zheng, R.Y. Experimental study on the effect of temperature on marine clay consolidation with vertical sand drains. Mar. Georesources Geotechnol. 2020, 39, 1387–1395. [Google Scholar] [CrossRef]
- Tian, Y.; Jiang, G.; Gui, Y.; Wen, M.; Mei, G.; Wu, W.; Zhang, Y. A semi-analytical model for coupled THM consolidation of saturated clays improved by PVTD considering thermal contraction. Int. J. Numer. Anal. Methods Geomech. 2024, 48, 2900–2924. [Google Scholar] [CrossRef]
- Samarakoon, R.A.; McCartney, J.S. Performance of Prefabricated Thermal Drains in Soft Clays. In Proceedings of the Geosynthetics Conference, Kansas City, MO, USA, 21–24 February 2021; IFAI: Kansas City, MO, USA, 2021; pp. 1–12. [Google Scholar]
- Samarakoon, R.A.; McCartney, J.S. Simulation of thermal drains using a new constitutive model for thermal volume change of normally consolidated clays. Comput. Geotech. 2023, 153, 105100. [Google Scholar] [CrossRef]
- El Naggar, M.H. Vertical and torsional soil reactions for radially inhomogeneous soil layer. Struct. Eng. Mech. 2000, 10, 299–312. [Google Scholar] [CrossRef]
- Liang, Z.; Cui, C.; Xu, C.; Zhang, P.; Wang, K. A close-formed solution for the horizontal vibration of a pipe pile in saturated soils considering the radial heterogeneity effect. Comput. Geotech. 2023, 158, 105379. [Google Scholar] [CrossRef]
- Roshankhah, S.; Garcia, A.V.; Carlos Santamarina, J. Thermal Conductivity of Sand–Silt Mixtures. J. Geotech. Geoenviron. Eng. 2021, 147, 06020031. [Google Scholar] [CrossRef]
- Duan, J.Z.; Xia, C.C.; Zhou, S.W.; Cao, S.P. Analytical solution for the temperature field of cold region tunnels that considers thermal resistance. Cold Reg. Sci. Technol. 2023, 215, 103984. [Google Scholar] [CrossRef]
- Wang, K.; Sun, F.Z.; Wang, J.G.; Fu, G.Y.; Yang, K.; Hong, R.J. Effect of various nanoparticle fillers on the thermal contact resistance (TCR) between crystals and aluminium alloys materials. Int. J. Heat Mass Transf. 2023, 215, 124464. [Google Scholar] [CrossRef]
- Levy, A.; Heider, D.; Tierney, J.; Gillespie, J.W. Inter-layer thermal contact resistance evolution with the degree of intimate contact in the processing of thermoplastic composite laminates. J. Compos. Mater. 2013, 48, 491–503. [Google Scholar] [CrossRef]
- Mirmira, S.R.; Jackson, M.C.; Fletcher, L.S. Effective Thermal Conductivity and Thermal Contact Conductance of Graphite Fiber Composites. J. Thermophys. Heat Transf. 2001, 15, 18–26. [Google Scholar] [CrossRef]
- Ding, C.; Wang, R. Experimental investigation of thermal contact conductance across GFRP–GFRP joint. Heat Mass Transf. 2014, 51, 433–439. [Google Scholar] [CrossRef]
- Xue, Z.N.; Yu, Y.J.; Tian, X.G. Transient responses of multi-layered structures with interfacial conditions in the generalized thermoelastic diffusion theory. Int. J. Mech. Sci. 2017, 131, 63–74. [Google Scholar] [CrossRef]
- Yuan, W.B.; Yu, N.T.; Li, L.Y.; Fang, Y. Heat transfer analysis in multi-layered materials with interfacial thermal resistance. Compos. Struct. 2022, 293, 115728. [Google Scholar] [CrossRef]
- Ren, X.J.; Tang, Q.F.; Zhang, H.; Zhang, J.R.; Du, M.; Tao, W.Q. Numerical study on the effect of thermal pad on enhancing interfacial heat transfer considering thermal contact resistance. Case Stud. Therm. Eng. 2023, 49, 103226. [Google Scholar] [CrossRef]
- Lor, W.B.; Chu, H.S. Effect of interface thermal resistance on heat transfer in a composite medium using the thermal wave model. Int. J. Heat Mass Transf. 2000, 43, 653–663. [Google Scholar] [CrossRef]
- Khadrawi, A.F.; Al-Nimr, M.A.; Hammad, M. Thermal Behavior of Perfect and Imperfect Contact Composite Slabs under the Effect of the Hyperbolic Heat Conduction Model. Int. J. Thermophys. 2002, 23, 581–597. [Google Scholar] [CrossRef]
- Wen, M.J.; Tian, Y.; Li, L.C.; Wang, K.H.; Wu, W.B. An imperfect thermal contact problem for consolidation of bilayered saturated soil subjected to ramp-type heating. Int. J. Heat Mass Transf. 2022, 190, 122755. [Google Scholar] [CrossRef]
- Tang, K.J.; Wen, M.J.; Ding, P.; Zhang, Y.M.; Tu, Y.; Xie, J.H.; Liu, K.F.; Wu, D.Z. Fractional derivative modelling for consolidation of multilayered saturated soils with interfacial thermal contact resistance subjected to time-dependent heating and loading. Geomech. Energy Environ. 2024, 38, 100553. [Google Scholar] [CrossRef]
- Prasher, R.S.; Phelan, P.E. Microscopic and macroscopic thermal contact resistances of pressed mechanical contacts. J. Appl. Phys. 2006, 100, 063538. [Google Scholar] [CrossRef]
- Tian, Y.; Jiang, G.; Wu, W.; Wen, M.; Zhang, Z.; El Naggar, M.H.; Mei, G.; Dong, Y. Elliptical cylindrical equivalent model of PVD-assisted consolidation under surcharge combined with vacuum preloading and its application. Comput. Geotech. 2021, 139, 104389. [Google Scholar] [CrossRef]
- Tian, Y.; Wu, W.; Wang, P.; Wang, L.; Wen, M.; Jiang, G.; Mei, G. Large-strain consolidation of PVD-improved soils considering depth-dependent initial void ratio and initial effective stress due to soil self-weight. Int. J. Numer. Anal. Methods Geomech. 2023, 47, 2791–2814. [Google Scholar] [CrossRef]
- Abuel-Naga, H.M.; Bergado, D.T.; Lim, B.F. Effect of Temperature on Shear Strength and Yielding Behavior of Soft Bangkok Clay. Soils Found. 2007, 47, 423–436. [Google Scholar] [CrossRef]
- Zhang, X.; Xu, Y.; Wang, P.; Xu, H.; Du, X. The u-p analytical solution for impedances of saturated soil to a laterally vibrating pile considering radial inhomogeneity. Soil Dyn. Earthq. Eng. 2022, 155, 107166. [Google Scholar] [CrossRef]
- Zhou, Y.; Rajapakse, R.K.N.D.; Graham, J. Coupled consolidation of a porous medium with a cylindrical or a spherical cavity. Int. J. Numer. Anal. Methods Geomech. 1998, 22, 449–475. [Google Scholar] [CrossRef]
- Wen, M.J.; Wu, W.B.; Li, L.C.; Tian, Y.; El Naggar, M.H.; Mei, G.X.; Zhang, Y.P.; Liu, H. Fractional derivative modelling for rheological characteristics of multilayered saturated porous rock with interfacial thermal contact resistance. Int. J. Numer. Anal. Methods Geomech. 2023, 47, 2256–2282. [Google Scholar] [CrossRef]
































| Parameters | Values |
|---|---|
| Lame constant | 8 MPa |
| Lame constant | 5.33 MPa |
| Coefficient of volumetric thermal expansion of soil particles | °C−1 |
| Coefficient of volumetric thermal expansion of pore water | °C−1 |
| Coefficient of volumetric expansion of soil medium | °C−1 |
| Thermal conductivity of soil particles | 3.29 J/s/m/°C |
| Thermal conductivity of pore water | 0.582 J/s/m/°C |
| Gravimetric specific heat of soil particles | 0.937 kJ/kg/°C |
| Gravimetric specific heat of pore water | 4.186 kJ/kg/°C |
| Density of soil particles | 2610 kg/m3 |
| Density of pore water | 1000 kg/m3 |
| Bulk modulus of soil particles | 59 GPa |
| Bulk modulus of pore water | 3.3 GPa |
| Thermo-osmosis coefficient | 10−11 m2/s/°C |
| Drainage bulk modulus of soil medium | Pa |
| Hydraulic conductivity | 10−10 m/s |
| Unit weight of pore water | 9.8 kN/m3 |
| Reference temperature | 26.85 °C |
| Total temperature increment applied in PVD, θu | 50 °C |
| Load magnitude qu | 50 kPa |
| The thickness of soil L | 5 m |
| Porosity | 0.4 |
| Parameters | Values |
|---|---|
| Coefficient of volumetric thermal expansion of soil particles | °C−1 |
| Coefficient of volumetric thermal expansion of pore water | °C−1 |
| Thermal conductivity of soil particles | 1.9 J/s/m/°C |
| Thermal conductivity of pore water | 0.6 J/s/m/°C |
| Gravimetric specific heat of soil particles | 1.5 kJ/kg/°C |
| Density of soil particles | 2660 kg/m3 |
| Thermo-osmosis coefficient | m2/s/°C |
| Average hydraulic conductivity heated up to 90 °C | m/s |
| Porosity | 0.6 |
| Thermal resistance coefficient RT | 4 × 10−4 |
| Partition thermal contact coefficient ηT | 1.2 |
Disclaimer/Publisher’s Note: The statements, opinions and data contained in all publications are solely those of the individual author(s) and contributor(s) and not of MDPI and/or the editor(s). MDPI and/or the editor(s) disclaim responsibility for any injury to people or property resulting from any ideas, methods, instructions or products referred to in the content. |
© 2024 by the authors. Licensee MDPI, Basel, Switzerland. This article is an open access article distributed under the terms and conditions of the Creative Commons Attribution (CC BY) license (https://creativecommons.org/licenses/by/4.0/).
Share and Cite
Tang, K.; Wen, M.; Tian, Y.; Gu, X.; Wu, W.; Zhang, Y.; Mei, G.; Ding, P.; Tu, Y.; Sun, A.; et al. Numerical Simulation on Two-Dimensional Dual-Zone Axisymmetric Consolidation for Marine Soft Soil Improved by PVTD Considering Interfacial Thermal Resistance. J. Mar. Sci. Eng. 2024, 12, 1878. https://doi.org/10.3390/jmse12101878
Tang K, Wen M, Tian Y, Gu X, Wu W, Zhang Y, Mei G, Ding P, Tu Y, Sun A, et al. Numerical Simulation on Two-Dimensional Dual-Zone Axisymmetric Consolidation for Marine Soft Soil Improved by PVTD Considering Interfacial Thermal Resistance. Journal of Marine Science and Engineering. 2024; 12(10):1878. https://doi.org/10.3390/jmse12101878
Chicago/Turabian StyleTang, Kejie, Minjie Wen, Yi Tian, Xiaoqiang Gu, Wenbing Wu, Yiming Zhang, Guoxiong Mei, Pan Ding, Yuan Tu, Anyuan Sun, and et al. 2024. "Numerical Simulation on Two-Dimensional Dual-Zone Axisymmetric Consolidation for Marine Soft Soil Improved by PVTD Considering Interfacial Thermal Resistance" Journal of Marine Science and Engineering 12, no. 10: 1878. https://doi.org/10.3390/jmse12101878
APA StyleTang, K., Wen, M., Tian, Y., Gu, X., Wu, W., Zhang, Y., Mei, G., Ding, P., Tu, Y., Sun, A., & Liu, K. (2024). Numerical Simulation on Two-Dimensional Dual-Zone Axisymmetric Consolidation for Marine Soft Soil Improved by PVTD Considering Interfacial Thermal Resistance. Journal of Marine Science and Engineering, 12(10), 1878. https://doi.org/10.3390/jmse12101878

