Investigations of the Mass Transfer and Flow Field Disturbance Regulation of the Gas–Liquid–Solid Flow of Hydropower Stations
Abstract
:1. Introduction
2. Mathematical Models and Solving Methods
2.1. Flow Field Dynamic Model
2.2. Discrete Element Method
3. Implementation of the Calculation Model
3.1. Calculation Model
3.2. Boundary Conditions
3.3. Grid Independence Study
4. Results and Discussion
4.1. Transport Dynamic Characteristics of Mixing Flows
4.2. Effect of the Initial Swirling Intensity on the Critical Pumping State
4.3. Particle Flow Patterns
5. Conclusions
- Based on the CFD-DEM coupling method and particle porous model, a three-phase mixing flow mass transfer model is put forward to obtain the distribution of relevant physical variables (volume fraction, velocity, and streamline). The critical formation time denotes the crucial transition state of fluid mediums. The fluid composition transition affects quality and production efficiency in the metallurgy, chemical industry, and other industrial processes.
- Initial disturbance speeds are the critical factor of mixing pumping formation. Under the influence of initial disturbance, the fluid microcluster on the surfaces has different disturbance patterns, inducing different speed gradients. As the mixing flow reaches the inspiratory state, the disturbance factors are in equilibrium with the inertia forces and viscous resistance. The macroscopic motions of mixing flows enhance higher transfer efficiencies of mass, momentum, and energy and make vortices penetrate the drain pipe.
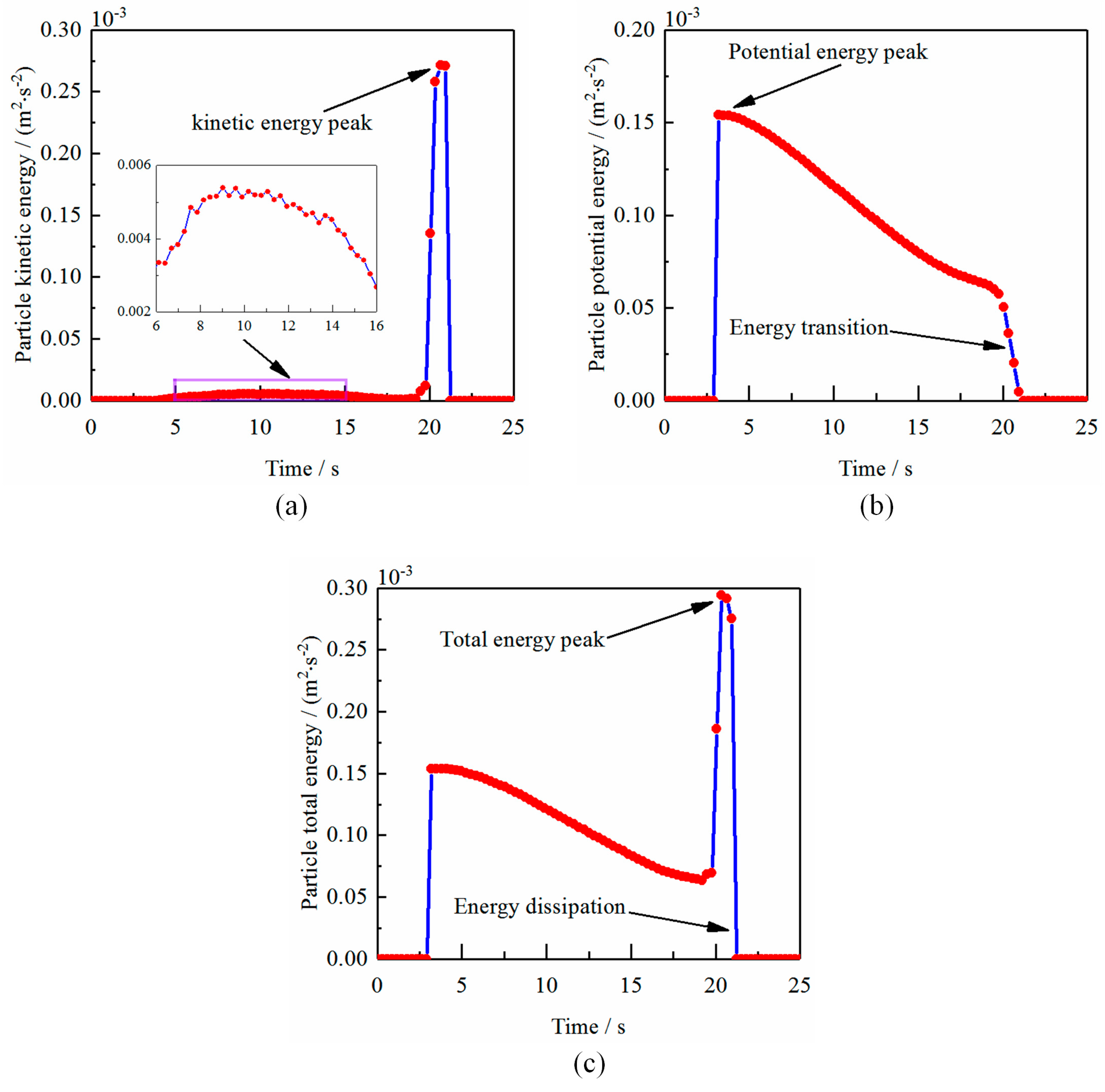
- The particles in the mixing flow center have high randomness and nonlinearity under the intense suction action of the water nozzle. The aggregation and dissipation of turbulence energies lead to the weakening of particle pumping effects. The suction of the water inlet can influence the flow pattern evolution of particles in the mixing course, and the particle’s total energy is dissipated during the swirl transport process.
Author Contributions
Funding
Institutional Review Board Statement
Informed Consent Statement
Conflicts of Interest
References
- Chen, J.C.; Han, P.C.; Zhang, Y.; You, T.; Zheng, P.Y. Scheduling energy consumption-constrained workflows in heterogeneous multi-processor embedded systems. J. Syst. Archit. 2023, 142, 102938. [Google Scholar] [CrossRef]
- Zheng, G.A.; Gu, Z.H.; Xu, W.X.; Li, Q.H.; Tan, Y.F.; Wang, C.Y.; Li, L. Gravitational surface vortex formation and suppression control: A review from hydrodynamic characteristics. Processes 2023, 11, 42. [Google Scholar] [CrossRef]
- Chen, J.T.; Ge, M.; Li, L.; Zheng, G. Material transport and flow pattern characteristics of gas–liquid–solid mixed flows. Processes 2023, 11, 2254. [Google Scholar] [CrossRef]
- Jin, Z.; He, D.; Wei, Z. Intelligent fault diagnosis of train axle box bearing based on parameter optimization VMD and improved DBN. Eng. Appl. Artif. Intell. 2022, 110, 104713. [Google Scholar] [CrossRef]
- Conzalez, J.F.; Sanson, L.Z. Linear stability of monopolar vortices over isolated topography. J. Fluid Mech. 2023, 959, A23. [Google Scholar] [CrossRef]
- Wei, Z.X.; He, D.Q.; Jin, Z.Z.; Liu, B.; Shan, S.; Chen, Y.J.; Miao, J. Density-based affinity propagation tensor clustering for intelligent fault diagnosis of train bogie bearing. IEEE Trans. Intell. Transp. Syst. 2023, 24, 6053–6064. [Google Scholar] [CrossRef]
- Li, L.; Li, Q.H.; Ni, Y.S.; Wang, C.Y.; Tan, Y.F.; Tan, D.P. Critical penetrating vibration evolution behaviors of the gas-liquid coupled vortex flow. Energy 2023, in press. [Google Scholar]
- Liu, Y.; Li, P.; Wang, Y.; Guo, H.Y.; Zhang, X.T. Experimental investigation on the vortex-induced vibration of the vertical riser fitted with the water jetting active vibration suppression device. Int. J. Mech. Sci. 2020, 177, 105600. [Google Scholar] [CrossRef]
- Li, H.X.; Wang, Q.; Lei, H. Mechanism analysis of free-surface vortex formation during steel Teeming. ISIJ Int. 2014, 54, 1592–1600. [Google Scholar] [CrossRef]
- Li, L.; Tan, Y.F.; Xu, W.X.; Ni, Y.S.; Yang, J.G.; Tan, D.P. Fluid-induced transport dynamics and vibration patterns of multiphase vortex in the critical transition states. Int. J. Mech. Sci. 2023, 252, 108376. [Google Scholar] [CrossRef]
- Su, R.A.; Gao, Z.Y.; Chen, Y.Y.; Zhang, C.Q. Large-eddy simulation of the influence of hairpin vortex on pressure coefficient of an operating horizontal axis wind turbine. Energy Convers. Manag. 2022, 267, 115864. [Google Scholar] [CrossRef]
- Romero, A.; Tadeu, A.; Galvín, P. 2.5D coupled BEM–FEM used to model fluid and solid scattering wave. Int. J. Numer. Methods Eng. 2015, 101, 148–164. [Google Scholar] [CrossRef]
- Zhao, Y.Z.; Gu, Z.L.; Yu, Y.Z.; Li, Y.; Feng, X. Numerical analysis of structure and evolution of free water vortex. J. Xi’an Jiaotong Univ. 2003, 37, 85–88. [Google Scholar]
- Mazzaferro, G.M.; Piva, M.; Ferro, S.P. Experimental and numerical analysis of ladle teeming process. Ironmak. Steelmak. 2004, 31, 503–508. [Google Scholar] [CrossRef]
- Xie, H.Y.; Cao, Y.; Qin, F.H.; Luo, X.S. The slip effect of micro-droplets in Rankine vortex. Sci. Sin. Phys. Mech. Astron. 2017, 47, 124702-1–124702-9. [Google Scholar] [CrossRef]
- Tang, H.Y.; Liang, Y.C. Formation mechanism and influence factors of sink vortex during ladle teeming. Acta Metall. Sin. 2015, 52, 519–528. [Google Scholar]
- Afra, B.; Karimnejad, S.; Delouei, A.A.; Tarokh, A. Flow control of two tandem cylinders by a highly flexible filament: Lattice spring IB-LBM. Ocean Eng. 2022, 250, 111025. [Google Scholar] [CrossRef]
- Delouei, A.A.; Karimnejad, S.; He, F.L. Direct Numerical Simulation of pulsating flow effect on the distribution of non-circular particles with increased levels of complexity: IB-LBM. Comput. Math. Appl. 2022, 121, 115–130. [Google Scholar] [CrossRef]
- Che, H.Q.; Werner, D.; Seville, J. Evaluation of coarse-grained CFD-DEM models with the validation of PEPT measurement. Particuology 2023, 82, 48–63. [Google Scholar] [CrossRef]
- Qu, Z.G.; Jin, S.; Wu, L.Q.; An, Y.; Liu, Y.; Fang, R.; Tang, J. Influence of water flow velocity on fouling removal for pipeline based on eco-friendly ultrasonic guided wave technology. J. Clean. Prod. 2019, 240, 118173. [Google Scholar] [CrossRef]
- Chashechkin, Y.D. Transfer of the Substance of a Colored Drop in a Liquid Layer with Travelling Plane Gravity-Capillary Waves. Izv. Atmos. Ocean. Phys. 2022, 58, 188–197. [Google Scholar] [CrossRef]
- Zheng, G.A.; Shi, J.L.; Li, L.; Li, Q.H.; Gu, Z.H.; Xu, W.X.; Lu, B. Fluid-solid coupling-based vibration generation mechanism of the multiphase vortex. Processes 2023, 11, 568. [Google Scholar] [CrossRef]
- Isherwood, L.; Grant, Z.J.; Cottlieb, S. Strong stability preserving integrating factor two-step Runge-Kutta methods. J. Sci. Comput. 2019, 81, 1446–1471. [Google Scholar] [CrossRef]
- Li, L.; Yang, Y.S.; Xu, W.X.; Lu, B.; Gu, Z.H.; Yang, J.G.; Tan, D.P. Advances in the multiphase vortex-induced vibration detection method and its vital technology for sustainable industrial production. Appl. Sci. 2022, 12, 8538. [Google Scholar] [CrossRef]
- Li, C.J.; Zou, Y.Q.; Li, G.Y. Hydrodynamic characteristics of pyrolyzing biomass particles in a multi-chamber fluidized bed. Powder Technol. 2023, 421, 118403. [Google Scholar] [CrossRef]
- Tan, Y.F.; Ni, Y.S.; Wu, J.F.; Li, L.; Tan, D.P. Machinability evolution of gas-liquid-solid three-phase rotary abrasive flow finishing. Int. J. Adv. Manuf. Technol. 2023, in press. [Google Scholar] [CrossRef]
- Li, L.; Qi, H.; Yin, Z.C.; Li, D.F.; Zhu, Z.L.; Tangwarodomnukun, V.; Tan, D.P. Investigation on the multiphase sink vortex Ekman pumping effects by CFD-DEM coupling method. Powder Technol. 2020, 360, 462–480. [Google Scholar] [CrossRef]
- Wang, T.; Li, L.; Yin, Z.C.; Xie, Z.W.; Wu, J.F.; Zhang, Y.C.; Tan, D.P. Investigation on the flow field regulation characteristics of the right-angled channel by impinging disturbance method. Proc. Inst. Mech. Eng. Part C J. Mech. Eng. Sci. 2022, 236, 11196–11210. [Google Scholar] [CrossRef]
- Shen, J.H.; Jin, C.L.; Yuan, J.M. Experimental and numerical analysis of hopper dust suppression during discharge of free falling bulk solids. Powder Technol. 2023, 415, 118108. [Google Scholar] [CrossRef]
- Lin, L.; Tan, D.P.; Yin, Z.C.; Wang, T.; Fan, X.H.; Wang, R.H. Investigation on the multiphase vortex and its fluid-solid vibration characters for sustainability production. Renew. Energy 2021, 175, 887–909. [Google Scholar]
- Tan, Y.F.; Ni, Y.S.; Xu, W.X.; Xie, Y.S.; Li, L.; Tan, D.P. Key technologies and development trends of the soft abrasive flow finishing method. J. Zhejiang Univ.-Sci. A 2023, in press. [Google Scholar] [CrossRef]
- Chen, J.C.; Li, T.Y.; You, T. Global-and-Local Attention-Based Reinforcement Learning for Cooperative Behaviour Control of Multiple UAVs. IEEE Trans. Vehicular Technol. 2023, in press. [Google Scholar] [CrossRef]
- Tashakori-Asfestani, F. Effect of inter-particle forces on solids mixing in fluidized beds. Powder Technol. 2023, 415, 118098. [Google Scholar] [CrossRef]
- Li, L.; Tan, D.P.; Wang, T.; Yin, Z.C.; Fan, X.H.; Wang, R.H. Multiphase coupling mechanism of free surface vortex and the vibration-based sensing method. Energy 2021, 216, 119136. [Google Scholar] [CrossRef]
- Yu, J.H.; Wang, S.; Kong, D.L. Coal-fueled chemical looping gasification: A CFD-DEM study. Fuel 2023, 345, 128119. [Google Scholar] [CrossRef]
- Zhang, L.; Wang, J.S.; Tan, D.P.; Yuan, Z.M. Gas compensation-based abrasive flow processing method for complex titanium alloy surfaces. Int. J. Adv. Manuf. Technol. 2017, 92, 3385–3397. [Google Scholar] [CrossRef]
- Li, L.; Lu, J.F.; Fang, H.; Yin, Z.C.; Wang, T.; Wang, R.H.; Fan, X.H.; Zhao, L.J.; Tan, D.P.; Wan, Y.H. Lattice Boltzmann method for fluid-thermal systems: Status, hotspots, trends and outlook. IEEE Access 2020, 8, 27649–27675. [Google Scholar] [CrossRef]
- Wang, X.Y.; Gong, L.; Li, Y.; Yao, J. Developments and applications of the CFD-DEM method in particle-fluid numerical simulation in petroleum engineering: A review. Appl. Therm. Eng. 2022, 222, 119865. [Google Scholar] [CrossRef]
- Li, L.; Gu, Z.H.; Xu, W.X.; Tan, Y.F.; Fan, X.H.; Tan, D.P. Mixing mass transfer mechanism and dynamic control of gas-liquid-solid multiphase flow based on VOF-DEM coupling. Energy 2023, 272, 127015. [Google Scholar] [CrossRef]
- Wang, J.; Ku, X.K. Numerical simulation of biomass steam gasification in an internally interconnected fluidized bed using a two-grid MP-PIC model. Chem. Eng. Sci. 2023, 272, 119608. [Google Scholar] [CrossRef]
- Yin, Z.C.; Lu, J.F.; Li, L.; Wang, T.; Wang, R.H.; Fan, X.H.; Lin, H.K.; Huang, Y.S.; Tan, D.P. Optimized Scheme for Accelerating the Slagging Reaction and Slag-Metal-Gas Emulsification in a Basic Oxygen Furnace. Appl. Sci. 2020, 10, 5101. [Google Scholar] [CrossRef]
- Zhu, X.L.; Liu, Y.B. Bubble behaviors of geldart B particle in a pseudo two-dimensional pressurized fluidized bed. Particuology 2023, 79, 121–132. [Google Scholar] [CrossRef]
- Wang, S.; Shen, Y.S. CFD-DEM-VOF-phase diagram modelling of multi-phase flow with phase changes. Chem. Eng. Sci. 2023, 273, 118652. [Google Scholar] [CrossRef]
- Li, L.; Lu, B.; Xu, W.X.; Gu, Z.H.; Yang, Y.S.; Tan, D.P. Mechanism of multiphase coupling transport evolution of free sink vortex. Acta Phys. Sin. 2023, 72, 034702. [Google Scholar] [CrossRef]
- Liu, L.; Zhang, X.T.; Tian, X.L.; Li, X. Numerical investigation on dynamic performance of vertical hydraulic transport in deepsea mining. Appl. Ocean Res. 2023, 130, 103443. [Google Scholar] [CrossRef]
- Li, L.; Xu, W.X.; Tan, Y.F.; Yang, Y.S.; Yang, J.G.; Tan, D.P. Fluid-induced vibration evolution mechanism of multiphase free sink vortex and the multi-source vibration sensing method. Mech. Syst. Signal Process. 2023, 189, 110058. [Google Scholar] [CrossRef]
- Tan, D.P.; Li, L.; Li, D.F.; Zhu, Y.L.; Zheng, S. Ekman boundary layer mass transfer mechanism of free sink vortex. Int. J. Heat Mass Transf. 2020, 150, 119250. [Google Scholar] [CrossRef]
- Sun, Z.; Jin, H.; Xu, Y. Severity-insensitive fault diagnosis method for heat pump systems based on improved benchmark model and data scaling strategy. Energy Build. 2022, 256, 111733. [Google Scholar] [CrossRef]
- Lu, J.F.; Wang, T.; Li, L.; Yin, Z.C. Dynamic Characteristics and Wall Effects of Bubble Bursting in Gas-Liquid-Solid Three-Phase Particle Flow. Processes 2020, 8, 760. [Google Scholar] [CrossRef]
- Tamburini, A.; Cipollina, A.; Micale, G. CFD simulations of dense solid-liquid suspensions in baffled stirred tanks: Prediction of the minimum impeller speed for complete suspension. Chem. Eng. J. 2012, 193, 234–255. [Google Scholar] [CrossRef]
- Tan, D.P.; Ni, Y.S.; Zhang, L.B. Two-phase sink vortex suction mechanism and penetration dynamic characteristics in ladle teeming process. J. Iron Steel Res. Int. 2017, 24, 669–677. [Google Scholar] [CrossRef]
- Andersen, A.; Bohr, T.; Stenum, B. Anatomy of a bathtub vortex. Phys. Rev. Lett. 2003, 91, 104502. [Google Scholar] [CrossRef]
- Andersen, A.; Bohr, T.; Stenum, B. The bathtub vortex in a rotating container. J. Fluid Mech. 2006, 556, 121–146. [Google Scholar] [CrossRef]
- Wu, J.F.; Li, L.; Li, Z.; Wang, T.; Tan, Y.F.; Tan, D.P. Mass transfer mechanism of multiphase shear flows and interphase optimization solving method. Energy 2023, in press. [Google Scholar]













| Item | Parameter | 
|---|---|
| Inlet | Pressure inlet | 
| Outlet | Pressure outlet | 
| Wall | No-slip wall | 
| Gravity/(N) | 9.81 | 
| Pipeline length/(m) | 0.15 | 
| Pipeline diameter/(m) | 0.010 | 
| Gas phase elevation/(m) | 0.15 | 
| Water phase elevation/(m) | 0.40 | 
| Container elevation/(m) | 0.55 | 
| Container diameter/(m) | 0.5 | 
| Parameter | Value | 
|---|---|
| Water density (kg/m3) | 980 | 
| Gas density (kg/m3) | 1.225 | 
| Particle diameter (mm) | 20 | 
| Particle density (kg/m3) | 950 | 
| Restitution coefficient, e | 0.9 | 
| Time step of CFD, (s) | 1.01 × 10−5 | 
| Time step of DEM, (s) | 2.36 × 10−7 | 
| Disclaimer/Publisher’s Note: The statements, opinions and data contained in all publications are solely those of the individual author(s) and contributor(s) and not of MDPI and/or the editor(s). MDPI and/or the editor(s) disclaim responsibility for any injury to people or property resulting from any ideas, methods, instructions or products referred to in the content. | 
© 2023 by the authors. Licensee MDPI, Basel, Switzerland. This article is an open access article distributed under the terms and conditions of the Creative Commons Attribution (CC BY) license (https://creativecommons.org/licenses/by/4.0/).
Share and Cite
Yan, Q.; Fan, X.; Li, L.; Zheng, G. Investigations of the Mass Transfer and Flow Field Disturbance Regulation of the Gas–Liquid–Solid Flow of Hydropower Stations. J. Mar. Sci. Eng. 2024, 12, 84. https://doi.org/10.3390/jmse12010084
Yan Q, Fan X, Li L, Zheng G. Investigations of the Mass Transfer and Flow Field Disturbance Regulation of the Gas–Liquid–Solid Flow of Hydropower Stations. Journal of Marine Science and Engineering. 2024; 12(1):84. https://doi.org/10.3390/jmse12010084
Chicago/Turabian StyleYan, Qing, Xinghua Fan, Lin Li, and Gaoan Zheng. 2024. "Investigations of the Mass Transfer and Flow Field Disturbance Regulation of the Gas–Liquid–Solid Flow of Hydropower Stations" Journal of Marine Science and Engineering 12, no. 1: 84. https://doi.org/10.3390/jmse12010084
APA StyleYan, Q., Fan, X., Li, L., & Zheng, G. (2024). Investigations of the Mass Transfer and Flow Field Disturbance Regulation of the Gas–Liquid–Solid Flow of Hydropower Stations. Journal of Marine Science and Engineering, 12(1), 84. https://doi.org/10.3390/jmse12010084
 
        


 
       