Measurement of Near-Surface Current Shear Using a Lagrangian Platform and Its Implication on Microplastic Dispersion
Abstract
:1. Introduction
2. Materials and Methods
2.1. Lagrangian Observational Platform
2.2. Field Experiments
2.3. Data Filtration
2.4. Reynolds Stresses
2.5. Stokes Drift
3. Results
3.1. Data Filtration
3.2. Hydrometeorological Observations
4. Discussions
4.1. Wind-Dependent Surface Current and Shear
4.2. Reynolds Stresses
4.3. Spectral Variations of Near-Surface Current
4.4. Vertical Velocity Profiles and Stokes Drift
4.5. Estimation of Microplastic Shear Dispersion
5. Conclusions
- Vertical momentum flux: we observed a negative flux, aligned with the wind direction.
- Negative mass flux: we detected indications of negative mass flux, potentially due to buoyancy-induced downwelling or wind-induced turbulence.
- Stokes drift contribution: Stokes drift represents about 1/10 of total mass transport and 1/5 of shear in the TSL.
- Shear dispersion of microplastic: local wind-driven current amplifies horizontal dispersion, whereas wind-induced vertical mixing can potentially counteract this horizontal dispersion of microplastics.
- Measurement and parameterization: for accurate microplastic modeling, an integrated approach is essential, fusing precise shear measurements with vertical mixing assessments and subsequent parameterization.
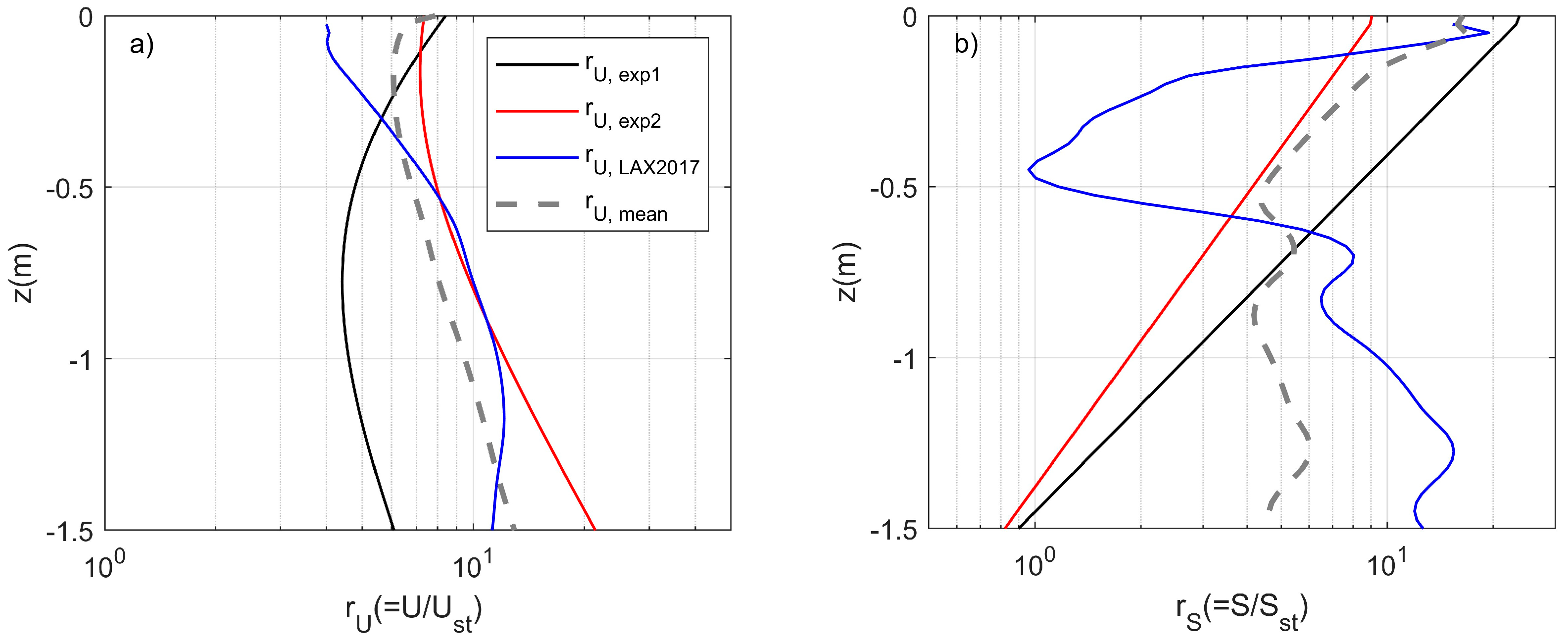
- Wind-driven current vs. Stokes drift: contrary to common parameterizations that emphasize Stokes drift, our result underscores the pivotal role of direct wind-driven current in the horizontal dispersion of microplastics.
Author Contributions
Funding
Institutional Review Board Statement
Informed Consent Statement
Data Availability Statement
Conflicts of Interest
References
- Fairall, C.W.; Bradley, E.F.; Rogers, D.P.; Edson, J.B.; Young, G.S. Bulk parameterization of air-sea fluxes for tropical ocean-global atmosphere coupled-ocean atmosphere response experiment. J. Geophys. Res. Ocean. 1996, 101, 3747–3764. [Google Scholar] [CrossRef]
- Wanninkhof, R.; Asher, W.E.; Ho, D.T.; Sweeney, C.; McGillis, W.R. Advances in quantifying air-sea gas exchange and environmental forcing. Annu. Rev. Mar. Sci. 2009, 1, 213–244. [Google Scholar] [CrossRef] [PubMed]
- Large, W.G.; Pond, S. Open ocean momentum flux measurements in moderate to strong winds. J. Phys. Oceanogr. 1981, 11, 324–336. [Google Scholar] [CrossRef]
- Edson, J.B.; Jampana, V.; Weller, R.A.; Bigorre, S.P.; Plueddemann, A.J.; Fairall, C.W.; Miller, S.D.; Mahrt, L.; Vickers, D.; Hersbach, H. On the exchange of momentum over the open ocean. J. Phys. Oceanogr. 2013, 43, 1589–1610. [Google Scholar] [CrossRef]
- Breivik, Ø.; Janssen, P.A.; Bidlot, J.R. Approximate Stokes drift profiles in deep water. J. Phys. Oceanogr. 2014, 44, 2433–2445. [Google Scholar] [CrossRef]
- Jenkins, A.D. Wind and wave induced currents in a rotating sea with depth-varying eddy viscosity. J. Phys. Oceanogr. 1987, 17, 938–951. [Google Scholar] [CrossRef]
- McWilliams, J.C.; Restrepo, J.M. The wave-driven ocean circulation. J. Phys. Oceanogr. 1999, 29, 2523–2540. [Google Scholar] [CrossRef]
- Drennan, W.M.; Graber, H.C.; Hauser, D.; Quentin, C. On the wave age dependence of wind stress over pure wind seas. J. Geophys. Res. Atmos. 2003, 108, 8062. [Google Scholar] [CrossRef]
- Reisser, J.; Shaw, J.; Hallegraeff, G.; Proietti, M.; Barnes, D.K.; Thums, M.; Wilcox, C.; Hardesty, B.D.; Pattiaratchi, C. Millimeter-sized marine plastics: A new pelagic habitat for microorganisms and invertebrates. PLoS ONE 2014, 9, e100289. [Google Scholar] [CrossRef]
- Liubartseva, S.; Coppini, G.; Lecci, R.; Creti, S. Regional approach to modeling the transport of floating plastic debris in the Adriatic Sea. Mar. Pollut. Bull. 2016, 103, 115–127. [Google Scholar] [CrossRef]
- Iwasaki, S.; Isobe, A.; Kako, S.I.; Uchida, K.; Tokai, T. Fate of microplastics and mesoplastics carried by surface currents and wind waves: A numerical model approach in the Sea of Japan. Mar. Pollut. Bull. 2017, 121, 85–96. [Google Scholar] [CrossRef] [PubMed]
- Van Sebille, E.; Aliani, S.; Law, K.L.; Maximenko, N.; Alsina, J.M.; Bagaev, A.; Bergmann, M.; Chapron, B.; Chubarenko, I.; Cózar, A.; et al. The physical oceanography of the transport of floating marine debris. Environ. Res. Lett. 2020, 15, 023003. [Google Scholar] [CrossRef]
- Zhang, H. Transport of microplastics in coastal seas. Estuar. Coast. Shelf Sci. 2017, 199, 74–86. [Google Scholar] [CrossRef]
- Li, Y.; Zhang, H.; Tang, C. A review of possible pathways of marine microplastics transport in the ocean. Anthr. Coasts 2020, 3, 6–13. [Google Scholar] [CrossRef]
- Isobe, A.; Kubo, K.; Tamura, Y.; Nakashima, E.; Fujii, N. Selective transport of microplastics and mesoplastics by drifting in coastal waters. Mar. Pollut. Bull. 2014, 89, 324–330. [Google Scholar] [CrossRef]
- Chubarenko, I.; Bagaev, A.; Zobkov, M.; Esiukova, E. On some physical and dynamical properties of microplastic particles in marine environment. Mar. Pollut. Bull. 2016, 108, 105–112. [Google Scholar] [CrossRef]
- Löder, M.G.; Gerdts, G. Methodology used for the detection and identification of microplastics—A critical appraisal. In Marine Anthropogenic Litter; Springer: Cham, Switzerland, 2015; pp. 201–227. [Google Scholar]
- Kukulka, T.; Proskurowski, G.; Morét-Ferguson, S.; Meyer, D.W.; Law, K.L. The effect of wind mixing on the vertical distribution of buoyant plastic debris. Geophys. Res. Lett. 2012, 39, L07601. [Google Scholar] [CrossRef]
- Laxague, N.J.; Özgökmen, T.M.; Haus, B.K.; Novelli, G.; Shcherbina, A.; Sutherland, P.; Guigand, C.M.; Lund, B.; Mehta, S.; Alday, M.; et al. Observations of near-surface current shear help describe oceanic oil and plastic transport. Geophys. Res. Lett. 2018, 45, 245–249. [Google Scholar] [CrossRef]
- Richman, J.G.; De Szoeke, R.A.; Davis, R.E. Measurements of near-surface shear in the ocean. J. Geophys. Res. Ocean. 1987, 92, 2851–2858. [Google Scholar] [CrossRef]
- Cronin, M.F.; Kessler, W.S. Near-surface shear flow in the tropical Pacific cold tongue front. J. Phys. Oceanogr. 2009, 39, 1200–1215. [Google Scholar] [CrossRef]
- Wenegrat, J.O.; McPhaden, M.J.; Lien, R.C. Wind stress and near-surface shear in the equatorial Atlantic Ocean. Geophys. Res. Lett. 2014, 41, 1226–1231. [Google Scholar] [CrossRef]
- Rusello, P.J. A Practical Primer for Pulse Coherent Instruments; Nortek Technical Note No.: TN-027; Nortek, Inc.: Carlsbad, CA, USA, 2009; Volume 117, 17p. [Google Scholar]
- Davis, R.E. Drifter observations of coastal surface currents during CODE: The method and descriptive view. J. Geophys. Res. Ocean. 1985, 90, 4741–4755. [Google Scholar] [CrossRef]
- Lumpkin, R.; Özgökmen, T.; Centurioni, L. Advances in the application of surface drifters. Annu. Rev. Mar. Sci. 2017, 9, 59–81. [Google Scholar] [CrossRef]
- Mullarney, J.C.; Henderson, S.M. Lagrangian measurements of turbulent dissipation over a shallow tidal flat from pulse coherent Acoustic Doppler Profilers. Coast. Eng. Proc. 2012, 33, 1–12. [Google Scholar] [CrossRef]
- Déjeans, B.S.; Mullarney, J.C.; MacDonald, I.T. Lagrangian observations and modeling of turbulence along a tidally influenced river. Water Resour. Res. 2022, 58, e2020WR027894. [Google Scholar] [CrossRef]
- Thomson, J. Wave breaking dissipation observed with “SWIFT” drifters. J. Atmos. Ocean. Technol. 2012, 29, 1866–1882. [Google Scholar] [CrossRef]
- Taylor, G.I. Diffusion by continuous movements. Proc. Lond. Math. Soc. 1922, 2, 196–212. [Google Scholar] [CrossRef]
- Choi, J.M.; Troy, C.D.; Hawley, N. Shear dispersion from near-inertial internal P oincaré waves in large lakes. Limnol. Oceanogr. 2015, 60, 2222–2235. [Google Scholar] [CrossRef]
- Deines, K.L. Backscatter estimation using broadband acoustic Doppler current profilers. In Proceedings of the IEEE Sixth Working Conference on Current Measurement, San Diego, CA, USA, 11–13 March 1999; Cat. No. 99CH36331. IEEE: New York, NY, USA, 1999; pp. 249–253. [Google Scholar]
- Onwuka, I.S.; Scinto, L.J.; Fugate, D.C. High-Resolution Estimation of Suspended Solids and Particulate Phosphorus Using Acoustic Devices in a Hydrologically Managed Canal in South Florida, USA. Sensors 2023, 23, 2281. [Google Scholar] [CrossRef]
- Lentz, S.J.; Kirincich, A.; Plueddemann, A.J. A note on the depth of sidelobe contamination in acoustic Doppler current profiles. J. Atmos. Ocean. Technol. 2022, 39, 31–35. [Google Scholar]
- Stacey, M.T.; Monismith, S.G.; Burau, J.R. Measurements of Reynolds stress profiles in unstratified tidal flow. J. Geophys. Res. Ocean. 1999, 104, 10933–10949. [Google Scholar] [CrossRef]
- Gordon, R.L. Acoustic Doppler Current Profiler-Principles of Operation: A Practical Primer; RD Instruments, Inc.: La Gaude, France, 1996; 54p. [Google Scholar]
- Lohrmann, A.; Hackett, B.; Røed, L.P. High resolution measurements of turbulence, velocity and stress using a pulse-to-pulse coherent sonar. J. Atmos. Ocean. Technol. 1990, 7, 19–37. [Google Scholar] [CrossRef]
- Tennekes, H.; Lumley, J.L. A First Course in Turbulence; MIT Press: Cambridge, MA, USA, 1972. [Google Scholar]
- Moum, J.N.; Perlin, A.; Klymak, J.M.; Levine, M.D.; Boyd, T.; Kosro, P.M. Convectively driven mixing in the bottom boundary layer. J. Phys. Oceanogr. 2004, 34, 2189–2202. [Google Scholar] [CrossRef]
- Kundu, P.K.; Cohen, I.M.; Dowling, D.R. Fluid Mechanics; Academic Press: Cambridge, MA, USA, 2015. [Google Scholar]
- Onink, V.; Wichmann, D.; Delandmeter, P.; van Sebille, E. The role of Ekman currents, geostrophy, and stokes drift in the accumulation of floating microplastic. J. Geophys. Res. Ocean. 2019, 124, 1474–1490. [Google Scholar] [CrossRef]
- Breivik, Ø.; Bidlot, J.R.; Janssen, P.A. A Stokes drift approximation based on the Phillips spectrum. Ocean Model. 2016, 100, 49–56. [Google Scholar] [CrossRef]
- Dean, R.G.; Dalrymple, R.A. Water Wave Mechanics for Engineers and Scientists; World Scientific Publishing Company: Singapore, 1991; Volume 2. [Google Scholar]
- Salmon, R. Introduction to Ocean Waves. Scripps Institution of Oceanography, University of California: San Diego, CA, USA, 2008. [Google Scholar]
- Hunt, J.N. Direct solution of wave dispersion equation. J. Waterw. Port Coast. Ocean. Div. 1979, 105, 457–459. [Google Scholar] [CrossRef]
- Wu, J. Wind-stress coefficients over sea surface near neutral conditions—A revisit. J. Phys. Oceanogr. 1980, 10, 727–740. [Google Scholar] [CrossRef]
- Gregg, M.C.; D’Asaro, E.A.; Riley, J.J.; Kunze, E. Mixing efficiency in the ocean. Annu. Rev. Mar. Sci. 2018, 10, 443–473. [Google Scholar] [CrossRef] [PubMed]
- Klymak, J.M.; Moum, J.N.; Nash, J.D.; Kunze, E.; Girton, J.B.; Carter, G.S.; Lee, C.M.; Sanford, T.B.; Gregg, M.C. An estimate of tidal energy lost to turbulence at the Hawaiian Ridge. J. Phys. Oceanogr. 2006, 36, 1148–1164. [Google Scholar] [CrossRef]
- Okubo, A. The effect of shear in an oscillatory current on horizontal diffusion from an instantaneous source. Int. J. Oceanol. Limnol 1967, 1, 194–204. [Google Scholar]
- Sundermeyer, M.A.; Price, J.F. Lateral mixing and the North Atlantic Tracer Release Experiment: Observations and numerical simulations of Lagrangian particles and a passive tracer. J. Geophys. Res. Ocean. 1998, 103, 21481–21497. [Google Scholar] [CrossRef]










| Disclaimer/Publisher’s Note: The statements, opinions and data contained in all publications are solely those of the individual author(s) and contributor(s) and not of MDPI and/or the editor(s). MDPI and/or the editor(s) disclaim responsibility for any injury to people or property resulting from any ideas, methods, instructions or products referred to in the content. | 
© 2023 by the authors. Licensee MDPI, Basel, Switzerland. This article is an open access article distributed under the terms and conditions of the Creative Commons Attribution (CC BY) license (https://creativecommons.org/licenses/by/4.0/).
Share and Cite
Lee, J.-H.; Choi, J.M. Measurement of Near-Surface Current Shear Using a Lagrangian Platform and Its Implication on Microplastic Dispersion. J. Mar. Sci. Eng. 2023, 11, 1716. https://doi.org/10.3390/jmse11091716
Lee J-H, Choi JM. Measurement of Near-Surface Current Shear Using a Lagrangian Platform and Its Implication on Microplastic Dispersion. Journal of Marine Science and Engineering. 2023; 11(9):1716. https://doi.org/10.3390/jmse11091716
Chicago/Turabian StyleLee, Jun-Ho, and Jun Myoung Choi. 2023. "Measurement of Near-Surface Current Shear Using a Lagrangian Platform and Its Implication on Microplastic Dispersion" Journal of Marine Science and Engineering 11, no. 9: 1716. https://doi.org/10.3390/jmse11091716
APA StyleLee, J.-H., & Choi, J. M. (2023). Measurement of Near-Surface Current Shear Using a Lagrangian Platform and Its Implication on Microplastic Dispersion. Journal of Marine Science and Engineering, 11(9), 1716. https://doi.org/10.3390/jmse11091716
 
        



