Age and Growth of Shotted Halibut, Eopsetta grigorjewi (Herzenstein, 1890), in the West Sea of Korea
Abstract
:1. Introduction
2. Materials and Methods
2.1. Specimens Collection
2.2. Otolith Processing and Analysis
2.3. Spawning Season
2.4. Growth Equation
3. Results
3.1. Body Composition and Relative Growth
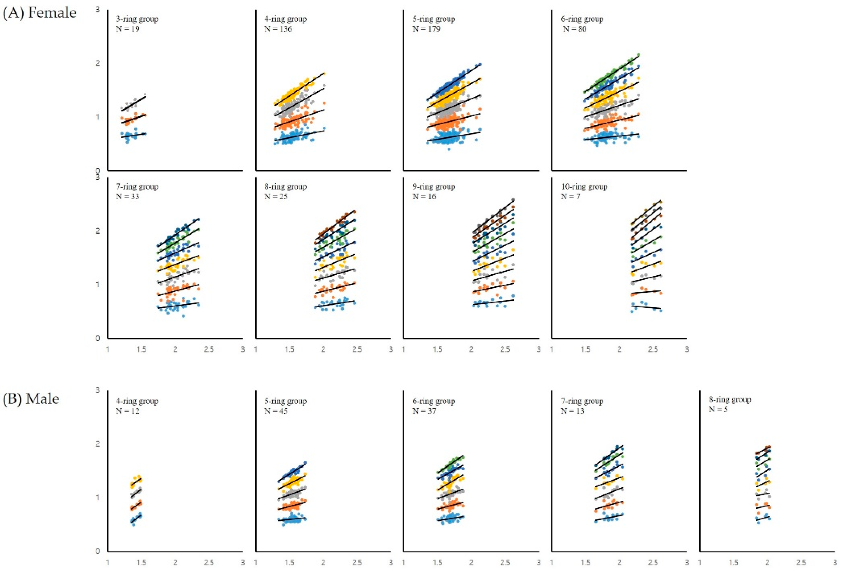
3.2. Annulus Reading and Annulus Formation Time
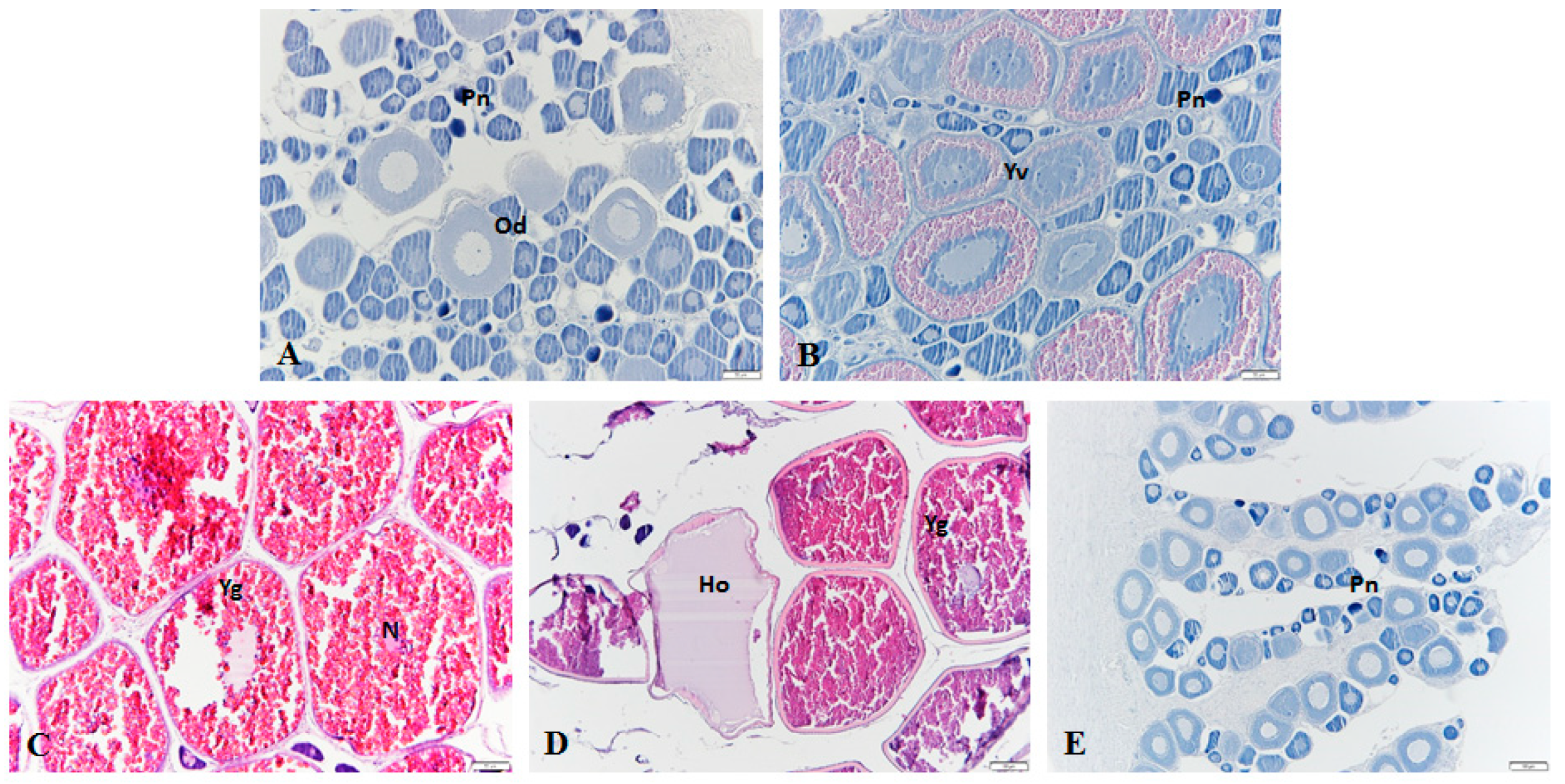
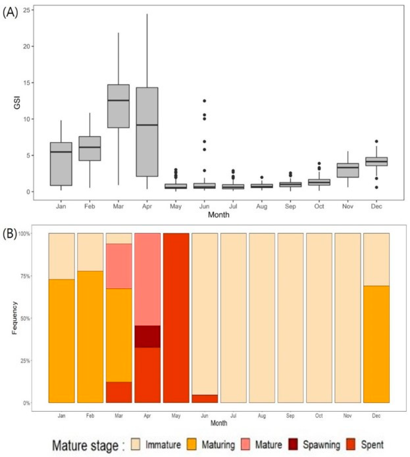
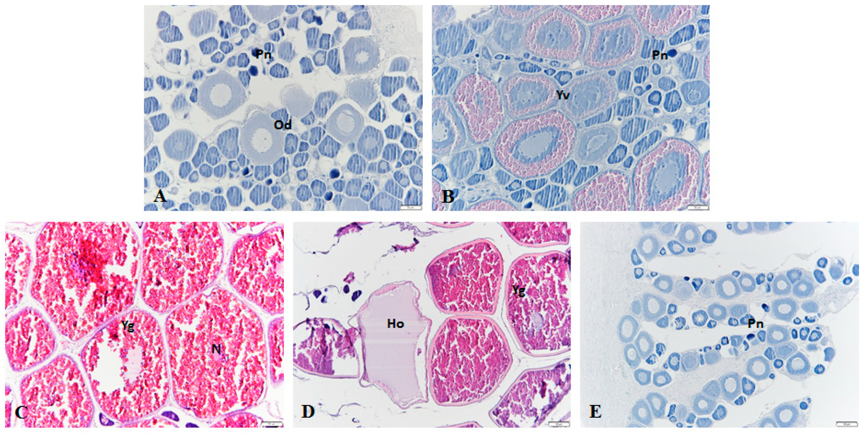
3.3. Spawning Season
3.4. Estimation by Growth Equation
4. Discussion
Author Contributions
Funding
Institutional Review Board Statement
Informed Consent Statement
Data Availability Statement
Acknowledgments
Conflicts of Interest
References
- Kondo, M. Oceanographic investigations of fishing grounds in the East China Sea and the Yellow Sea—I. Characteristics of the mean temperature and salinity distrivutions measured at 50 m and near the bottom. Bull. Seikai Reg. Fish. Res. Lab. 1985, 62, 19–66. [Google Scholar]
- Kim, S.L.; Yu, O.H. Benthic polychaete community structure in the yellow sea bottom cold water (YSBCW): Species diversity, temporal-spatial distribution, and feeding guilds. Mar. Pollut. Bull. 2022, 183, 114071. [Google Scholar] [CrossRef] [PubMed]
- Choi, J.H.; Park, W.G. Variations of marine environment and zooplankton biomass in the Yellow Sea during the past four decades. JFME 2013, 25, 1046–1054. [Google Scholar] [CrossRef]
- Yamada, U.; Shirai, S.; Irie, T.; Tokimura, M.; Deng, S.; Zheng, Y.; Li, C.; Kim, Y.U. Names and Illustrations of Fishes from the East China Sea and the Yellow Sea; Overseas Fishery Cooperation Foundation: Tokyo, Japan, 1995; p. 288. [Google Scholar]
- Hayase, S.; Hamai, I. Studies on feeding habits of three flatfishes, Cleisthenes pinetorum herzensteini (Schmidt), Hippoglossoides dubius (Schmidt) and Glypttocephalus stelleri (Schmidt). Bull. Fac. Fish. Hokkaido Univ. 1974, 25, 82–99. [Google Scholar]
- Pushchina, O.I. Specific features of feeding of the Glypto cephalus stelleri and Acanthopsetta nadeshnyi in the north Western Sea of Japan. J. Ichthyol. 2000, 40, 247–252. [Google Scholar]
- Kwak, S.N.; Huh, S.H. Feeding habit of Limanda yokohamae in the Eelgrass (Zostera marina) bed in Kwangyang bay. J. Korean Fish. Soc. 1997, 36, 522–527. [Google Scholar]
- Huh, S.H.; Nam, K.M.; Park, J.M.; Jeong, J.M.; Baeck, G.W. Feeding Habits of the Marbled Flounder, Peluronectes yokohamae in the Coastal Waters off Tongyeong, Korea. Korean J. Ichthyol. 2012, 24, 77–83. [Google Scholar]
- Yang, J.H.; Cho, J.H.; Kim, J.H.; Park, J.H.; Lee, S.J.; Yoon, B.S. Maturity and spawning of the pointhead flounder, Hippoglossoide pinetorum in the coastal waters off Gangwon-do, East Sea. J. Korean Soc. Fish. Ocean Technol. 2018, 54, 296–305. [Google Scholar] [CrossRef]
- Kim, S.R.; Lee, S.J.; Yang, J.H. Comparison of the spawning characteristics of the yellow striped flounder Psedopleurinectes herzensteini in the coastal waters off Gangwon and Gyeongbuk, Korea. Korean J. Fish. Aquat. Sci. 2021, 54, 318–328. [Google Scholar]
- Choe, S.H.; Hur, Y.H.; Chun, Y.Y.; Zhang, C.I. Growth and maturity of pointhead flounder, Cleisthenes pinetorum hezensteini (Schmidt) in the East Sea. J. Korean Soc. Fish. Res. 1999, 2, 1–13. [Google Scholar]
- Joh, M.; Takatsu, T.; Nakaya, M.; Higashitani, T.; Takahashi, T. Otolith microstructure and daily increment validation of marbled sole (Pseudopleuronectes yokohamae). Mar. Biol. 2005, 147, 59–69. [Google Scholar] [CrossRef]
- Joo, H.W.; Kwak, W.S. Estimation of early and spawning period of marbled flounder (Pseudopleuronectes yokohamae) in the water off Namhae of Korea as Indicated from daily growth increments in otoliths. J. Korean Soc. Oceanogr. 2014, 19, 35–40. [Google Scholar] [CrossRef]
- Alba, O.; Line, E.; Arnt-Børre, S.; Alf, H.; Bjarki, E. Automatic fish age determination across different otolith image labs using domain adaptation. J. Fish. Sci. 2022, 7, 71. [Google Scholar] [CrossRef]
- Hwang, B.N. Biological study of flounder (Eopsetta grigorjewi Hezenstein) in the South-Western Sea of Korea. Bull. Fish. Res. Develop. Agency 1978, 32, 730–736. [Google Scholar]
- Kim, Y.H.; Kim, Y.S.; Kang, H.J.; Kim, J.K.; Chun, Y.Y. Age and growth of shotted halibut Eopsetta grigorjewi in the East China Sea. J. Korean Ichthyol. 2011, 23, 30–36. [Google Scholar]
- Ishito, Y. Age and growth of the three flounder species, “Sohachi”, Roundnose and “Migigarei” flounders, in the fishing area off Hachinohe. Bull. Tohoku Reg. Fish. Res. Lab. 1964, 45, 33–44. [Google Scholar]
- Imaoka, Y.; Misu, H. Fisheries biology of roundnose flounder (Eopsetta grigorjewi Hezenstein) in the south-western Japan sea and its adjacent waters age and growth. Bull. Seikai. Reg. Fish. Res. Lab. 1969, 37, 51–70. [Google Scholar]
- Imai, C.; Miyazaki, Y. Revision of growth model of spotted sole from waters of the sea of Japan using otolith analysis. J. Natl. Fish. Univ. Jap. 2005, 53, 21–34. [Google Scholar]
- Yoneda, M.; Kurita, Y.; Kitagawa, D.; Ito, M.; Tomiyama, T.; Goto, T.; Takahashi, K. Age validation and growth variability of Japanese flounder Paralichthys olivaceus off the pacific coast of northern Japan. Jpn. Soc. Fish. Sci. 2007, 73, 585–592. [Google Scholar] [CrossRef]
- Dwyer, K.S.; Treble, M.A.; Campana, S.E. Age and growth of Greenland halibut (Reinhardtius hippoglossoides) in the Northwest Atlantic: A changing perception based on bomb radiocarbon analyses. J. Fish. Res. 2016, 179, 342–350. [Google Scholar] [CrossRef]
- Yang, J.H.; Lee, H.W.; Lee, J.B.; Cha, H.K.; Kim, S.T.; Yoon, B.S. The age and growth of marbled flounder Pseudopleuronectes yokohamae in the coastal waters of East Sea off Pohang. J. Korean. Aquat. Sci. 2017, 50, 278–286. [Google Scholar] [CrossRef]
- Okamura, H.; Semba, Y. A novel statistical method for validating the periodicity of vertebral growth band formation in elasmobranch fishes. Can. J. Fish. Aquat. Sci. 2009, 66, 771–780. [Google Scholar] [CrossRef]
- Mcbride, R.S.; Maki, L.K.; Desilva, J. Lessons Learned from Measuring Ageing Precision of Simulated Fish Populations. Resarchgate 2006, 423–437. [Google Scholar]
- Beamish, R.J.; Fournier, D.A. A method for comparing the precision of a set of age determinations. Can. J. Fish. Aquat. Sci. 1981, 38, 982–983. [Google Scholar] [CrossRef]
- Youn, B.I.; Choi, D.H.; Roh, T.H.; Lee, S.H.; Han, K.H.; Kwon, D.H.; Kim, M.J. Age and growth characteristics of Okamejei kenojei in the West Sea of South Korea according to coronal vertebral Microstructure. Fishes 2023, 8, 197. [Google Scholar] [CrossRef]
- Chen, Y.; Jackson, D.A.; Harvey, H.H. A comparison of von Bertalanffy and polynomial functions in modeling fish growth data. Canadian J. Fish. Aquat. Sci. 1992, 49, 1228–1235. [Google Scholar] [CrossRef]
- Ogle, D.H.; Wheeler, P.; Dinno, A. FSA: Fisheries Stock Analysis; R Package Version 0.8.23; FAS: Tokyo, Japan, 2019. [Google Scholar]
- Baty, F.; Ritz, C.; Charles, S.; Brutsche, M.; Flandrois, J.-P.; Delignette-Muller, M.-L. A Toolbox for Nonlinear Regression in R: The Package nlstools. J. Stat. Softw. 2015, 66, 1–21. [Google Scholar] [CrossRef]
- Fox, J.; Weisberg, S. An R Companion to Applied Regression, 2nd ed.; Sage: Thousand Oak, CA, USA, 2010; 420p. [Google Scholar]
- Munro, J.L.; Pauly, D. A Simple Method for Comparing Growth of Fishes and Invertebrates. ICLARM Fishbyte 1983, 1, 5–6. [Google Scholar]
- Lee, S.I.; Park, K.Y.; Kim, Y.S.; Park, H.W.; Yang, J.H.; Choi, S.H. Age and growth of brown sole, Pleuronectes herzensteini (Jordan et Snyder) in the East Sea of Korea. Korean J. Ichthyol. 2006, 18, 355–362. [Google Scholar]
- Hwang, S.W.; Hwang, H.B.; Hwang, S.D. Maturity and growth of Marbled sole, Pseudopleuronectes yokohamae in the West Sea of Korea. Ocean Polar Res. 2017, 34, 279–292. [Google Scholar]
- Kim, Y.H.; Kang, Y.J.; Ryu, D.K. Growth of Ammodytes personatus in the South Sea. Korean J. Ichthyol. 2000, 12, 166–172. [Google Scholar]
- Lee, S.H.; Chung, S.D.; Yoo, J.T.; Kim, Y.H. Age and growth of brown croaker (Miichthys miiuy) in the South-western water of Korea. Korean J. Ichthyol. 2017, 29, 69–74. [Google Scholar]
- Moiseev, P.A. Cod and flounders of far eastern seas. Izv. Tikhookeanskoco N.-I. Inst. Rybn. Khoziaistva Okean Ografii 1953, 40, 1–287. [Google Scholar]
- Kim, H.Y.; Huh, S.J.; Kim, S.T.; Seo, Y.I. Age and growth of Marbled flounder, Pleuronectes yokohamae (Günther) in the southern waters of Korea. J. Korean Soc. Fish. Technol. 2015, 51, 35–41. [Google Scholar] [CrossRef]
- Korostelev, N.B.; Welsford, D.C.; Belyakov, V.V.; Bush, A.G.; Orlov, A.M. So close yet so far: Age and growth of Blue Antimora Antimora rostrata (Moridae, Gadiformes, Teleostei) off New Zealand and Macquarie Island (Southwestern Pacific Ocean). J. Mar. Sci. Eng. 2022, 10, 956. [Google Scholar] [CrossRef]
- Baek, G.W.; Huh, S.H. Age and growth of three lined Tonguefish (Cynoglossus abbreviates). J. Korean Fish. Soc. 2004, 37, 51–56. [Google Scholar]
- Amiharako, T.; Takahashi, T. Age and Growth of Marbled flounder (Pleuronectes yokohamae) in the coastal waters of western Aomori Prefecture, Japan. Bull. Fac. Fish. Hokkaido. Univ. 2000, 51, 121–126. [Google Scholar]
- Kwon, D.H.; Kang, Y.J.; Lee, D.W. A Population ecological study of white croaker Argyrosomus argentatus Houttuyn in Korean waters. II. Age and growth. J. Korean Soc. Fish Res. 1999, 2, 54–60. [Google Scholar]
- Kim, M.J.; Han, I.S.; Lee, J.S.; Kim, D.H. Determination of the vulnerability of Korean fish stocks using productivity and susceptibility indices. Ocean. Coast. Manag. 2022, 227. [Google Scholar] [CrossRef]
- Shanshan, Z.; Yiban, W.; Yuanchao, W.; Cui, L.; Weiwei, X. Assessment of 11 exploited fish and invertebrate populations in the Janpan Sea usin the CMSY and BSM methods. Front. Mar. Sci. 2020, 7, 525363. [Google Scholar] [CrossRef]












| Study | Female | Male | Survey Area (Coordinate) | Analysis Program | ||||||||
|---|---|---|---|---|---|---|---|---|---|---|---|---|
| L∞ | k(/Year) | to | Range of TL | ф | L∞ | k(/Year) | to | Range of TL | ф | |||
| This study | 83.6 | 0.046 | −4.7 | 22.3–50.3 | 2.51 | 56.8 | 0.08 | −2.2 | 22.5–38.4 | 2.40 | West Sea of Korea (36°30, 125°10) | R program(v4.2.1) and R studio |
| Kim et al. (2011) [16] | 46.6 | 0.14 | −1.3 | 22.3–40.5 | 2.48 | 46.6 | 0.14 | −1.3 | 23.0–38.6 | 2.48 | East China Sea (34°58, 129°10) | Excel solver |
| Imai and Miyazaki (2005) [19] | 48.7 | 0.16 | −0.6 | 15.0–38.0 | 2.57 | 33.4 | 0.30 | −0.4 | 16.0–27.0 | 2.53 | Western waters of the Sea of Japan (35°22, 132°12) | Excel solver |
Disclaimer/Publisher’s Note: The statements, opinions and data contained in all publications are solely those of the individual author(s) and contributor(s) and not of MDPI and/or the editor(s). MDPI and/or the editor(s) disclaim responsibility for any injury to people or property resulting from any ideas, methods, instructions or products referred to in the content. |
© 2023 by the authors. Licensee MDPI, Basel, Switzerland. This article is an open access article distributed under the terms and conditions of the Creative Commons Attribution (CC BY) license (https://creativecommons.org/licenses/by/4.0/).
Share and Cite
Choi, D.-H.; Youn, B.-I.; Han, K.-H.; Kwon, D.-H.; Lee, S.-J. Age and Growth of Shotted Halibut, Eopsetta grigorjewi (Herzenstein, 1890), in the West Sea of Korea. J. Mar. Sci. Eng. 2023, 11, 2242. https://doi.org/10.3390/jmse11122242
Choi D-H, Youn B-I, Han K-H, Kwon D-H, Lee S-J. Age and Growth of Shotted Halibut, Eopsetta grigorjewi (Herzenstein, 1890), in the West Sea of Korea. Journal of Marine Science and Engineering. 2023; 11(12):2242. https://doi.org/10.3390/jmse11122242
Chicago/Turabian StyleChoi, Dong-Hyuk, Byoung-Il Youn, Kyeong-Ho Han, Dae-Hyeon Kwon, and Soo-Jeong Lee. 2023. "Age and Growth of Shotted Halibut, Eopsetta grigorjewi (Herzenstein, 1890), in the West Sea of Korea" Journal of Marine Science and Engineering 11, no. 12: 2242. https://doi.org/10.3390/jmse11122242
APA StyleChoi, D.-H., Youn, B.-I., Han, K.-H., Kwon, D.-H., & Lee, S.-J. (2023). Age and Growth of Shotted Halibut, Eopsetta grigorjewi (Herzenstein, 1890), in the West Sea of Korea. Journal of Marine Science and Engineering, 11(12), 2242. https://doi.org/10.3390/jmse11122242

