Relationship between the Spatial and Temporal Distribution of Squid-Jigging Vessels Operations and Marine Environment in the North Pacific Ocean
Abstract
:1. Introduction
2. Materials and Methods
2.1. Study Area
2.2. Fishing Vessel Data Sources and Processing
2.3. Marine Environmental Data
2.4. Gravity of Fishing Effort
2.5. Analysis of the Relationship between Fishing Effort and the Marine Environment
2.6. Generalized Additive Model
3. Results
3.1. Monthly Distribution of Fishing Effort
3.2. Variations in the Gravity of Fishing Effort
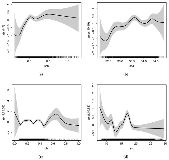
3.3. The Relationship between Fishing Effort and SSH
3.4. The Relationship between Fishing Effort and SSS
3.5. The Relationship between Fishing Effort and Chla
3.6. The Relationship between Fishing Effort and SST
3.7. Generalized Additive Model
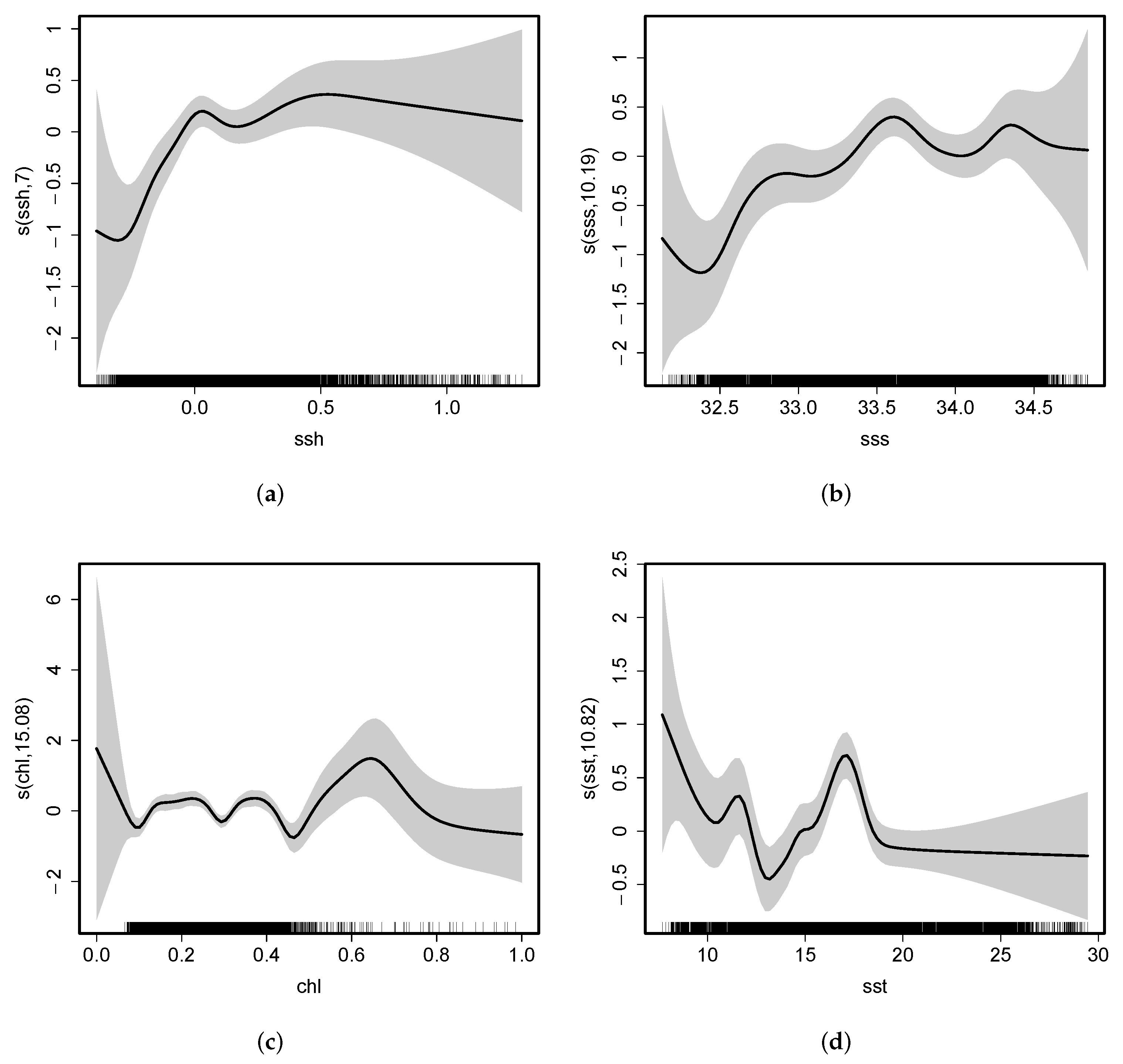
3.7.1. Analysis of GAM Results
3.7.2. Impact of Latitude and Longitude on Fishing Effort
3.7.3. Impacts of Different Marine Environmental Factors on Fishing Effort
3.7.4. The GAM at Different Spatial Resolutions
3.7.5. The Results of GAM without Latitude and Longitude
4. Discussion
4.1. Spatial and Temporal Distribution of Fishing Effort
4.2. Impacts of Marine Conditions on Fishing Effort
4.3. The GAM Models of a Control Group
5. Conclusions
Supplementary Materials
Author Contributions
Funding
Institutional Review Board Statement
Informed Consent Statement
Data Availability Statement
Acknowledgments
Conflicts of Interest
References
- Yu, W.; Wen, J.; Zhang, Z.; Chen, X.; Zhang, Y. Spatio-temporal variations in the potential habitat of a pelagic commercial squid. J. Mar. Syst. 2020, 206, 103339. [Google Scholar] [CrossRef]
 - Wang, Y.; Chen, X.; Fang, Z. Effects of marine environment variation on the growth of neno flying squid (Ommastrephes bartrami) in the North Pacific Ocean. J. Fish. China 2021, 1–14. Available online: https://kns-cnki-net.webvpn.usst.edu.cn/kcms/detail/31.1283.S.20210317.1058.004.html (accessed on 30 January 2022).
 - Watanabe, H.; Kubodera, T.; Ichi, T.; Kawahara, S. Feeding habits of neon flying squid, Ommastrephes bartramii in the transitional region of the central North Pacific. Mar. Ecol. Prog. Ser. 2004, 266, 173–184. [Google Scholar] [CrossRef] [Green Version]
 - Yu, W.; Chen, X.; Yi, Q.; Tian, S. A Review of Interaction Between Neon Flying Squid(Ommastrephes bartramii) and Oceanographic Variability in the North Pacific Ocean. J. Ocean. Univ. China 2015, 14, 739–748. [Google Scholar] [CrossRef]
 - Alabia, I.D.; Saitoh, S.I.; Mugo, R.; Igarashi, H.; Ishikawa, Y.; Usui, N.; Kamachi, M.; Awaji, T.; Seito, M. Seasonal potential fishing ground prediction of neon flying squid (Ommastrephes bartramii) in the western and central North Pacific. Fish. Oceanogr. 2015, 24, 190–203. [Google Scholar] [CrossRef]
 - Yu, W.; Chen, X.; Yi, Q. Interannual and Seasonal variability of winter-spring cohort of neon flying squid abundance in the Northwest Pacific Ocean during 1995–2011. J. Ocean. Univ. China 2016, 15, 480–488. [Google Scholar] [CrossRef]
 - Yu, W.; Chen, X.J.; Zhang, Y.; Yi, Q. Habitat suitability modelling revealing environmental-driven abundance variability and geographical distribution shift of winter–spring cohort of neon flying squid Ommastrephes bartramii in the northwest Pacific Ocean. ICES J. Mar. Sci. 2019, 76, 1722–1735. [Google Scholar] [CrossRef]
 - Murata, M.; Nakamura, Y. Seasonal migration and diel migration of the neon flying squid, (Ommastrephes bartramii), in the North Pacific. In International Symposium on Large Pelagic Squids; Okutani, T., Ed.; Japan Marine Fishery Resources Research Center: Tokyo, Japan, 1998; p. 1330. [Google Scholar]
 - Bower, J.R.; Ichii, T. Seasonal potential hes bartramii: A review of recent research and the fishery in Japan. Fish. Res. 2005, 76, 39–55. [Google Scholar] [CrossRef]
 - Bertrand, S.; Díaz, E.; Lengaigne, M. Patterns in the spatial distribution of Peruvian anchovy (Engraulis ringens) revealed by spatially explicit fishing data. Prog. Oceanogr. 2008, 79, 379–389. [Google Scholar] [CrossRef]
 - Ou, Z.; Zhu, J. AIS Database Powered by GIS Technology for Maritime Safety and Security. J. Navig. 2008, 61, 655–665. [Google Scholar] [CrossRef]
 - Shelmerdine, R.L. Teasing out the detail: How our understanding of marine AIS data can better inform industries, developments, and planning. Mar. Policy 2015, 54, 17–25. [Google Scholar] [CrossRef]
 - Yang, D.; Wu, L.; Wang, S.; Jia, H.; Li, K.X. How big data enriches maritime research—A critical review of Automatic Identification System (AIS) data applications. Transp. Rev. 2019, 39, 755–773. [Google Scholar] [CrossRef]
 - Chen, J.; Lu, F.; Li, M. Statistical Inference of Boundary of Maritime Main Track and Optimization Analysis of Warning Area Layout on Haixi Passage. Geo-Inf. Sci. 2015, 17, 1196–1206. [Google Scholar]
 - He, Z.; Yang, F.; Liu, L. Reference map for safe navigation water depth of ships based on AIS data. J. Traffic Transp. Eng. 2018, 18, 171–181. [Google Scholar]
 - Bye, R.J.; Aalberg, A.L. Maritime navigation accidents and risk indicators: An exploratory statistical analysis using AIS data and accident reports. Reliab. Eng. Syst. Saf. 2018, 176, 174–186. [Google Scholar] [CrossRef]
 - Mullié, W.C. Apparent reduction of illegal trawler fishing effort in Ghana’s Inshore Exclusive Zone 2012–2018 as revealed by publicly available AIS data. Mar. Policy 2019, 108, 103623. [Google Scholar] [CrossRef]
 - Merico, E.; Dinoi, A.; Contini, D. Development of an integrated modelling-measurement system for near-real-time estimates of harbour activity impact to atmospheric pollution in coastal cities. Transp. Res. Part D 2019, 73, 108–119. [Google Scholar] [CrossRef]
 - Wang, J.; Huang, W.; Liu, Y.; Chen, Y.; Wu, Y.; He, Y.; Yang, X. Air pollutant emission inventory and pollution characteristics in Xiamen Ship Control Area. Environ. Sci. 2020, 41, 3572–3580. [Google Scholar]
 - Huang, L.; Wen, Y.; Zhang, Y.; Zhou, C.; Zhang, F.; Yang, T. Dynamic calculation of ship exhaust emissions based on real-time AIS data. Transp. Res. Part D 2020, 80, 102277. [Google Scholar] [CrossRef]
 - Mei, Q.; Wu, L.; Peng, P.; Zhou, P.; Chen, J. Study on the typical spatial distribution and trade flow of merchant ships in the South China Sea. Geo-Info. Sci. 2018, 20, 632–639. [Google Scholar]
 - Kontopoulos, I.; Varlamis, I.; Tserpes, K. A distributed framework for extracting maritime traffic patterns. Int. J. Geogr. Inf. Sci. 2021, 35, 767–792. [Google Scholar] [CrossRef]
 - Gao, M.; Shi, G.Y. Ship-handling behavior pattern recognition using AIS sub-trajectory clustering analysis based on the T-SNE and spectral clustering algorithms. Ocean. Eng. 2020, 205, 106919. [Google Scholar] [CrossRef]
 - Coomber, F.G.; D’Incà, M.; Rosso, M.; Tepsich, P.; di Sciara, G.N.; Moulins, A. Description of the vessel traffic within the north Pelagos Sanctuary: Inputs for Marine Spatial Planning and management implications within an existing international Marine Protected Area. Mar. Policy 2016, 69, 102–113. [Google Scholar] [CrossRef]
 - Vespe, M.; Gibin, M.; Alessandrini, A.; Natale, F.; Mazzarella, F.; Osio, G.C. Mapping EU fishing activities using ship tracking data. J. Maps 2016, 12 (Suppl. 1), 520–525. [Google Scholar] [CrossRef]
 - Liu, B.; Wu, X.; Liu, X.; Gong, M. Assessment of ecological stress caused by maritime vessels based on a comprehensive model using AIS data: Case study of the Bohai Sea, China. Ecol. Indic. 2021, 126, 107592. [Google Scholar] [CrossRef]
 - Sala-Coromina, J.; García, J.A.; Martín, P.; Fernandez-Arcaya, U.; Recasens, L. European hake (Merluccius merluccius, Linnaeus 1758) spillover analysis using VMS and landings data in a no-take zone in the northern Catalan coast (NW Mediterranean). Fish. Res. 2021, 237, 105870. [Google Scholar] [CrossRef]
 - van der Reijden, K.J.; Hintzen, N.T.; Govers, L.L.; Rijnsdorp, A.D.; Olff, H. North Sea demersal fisheries prefer specific benthic habitats. PLoS ONE 2018, 13, e0208338. [Google Scholar] [CrossRef] [Green Version]
 - Natale, F.; Gibin, M.; Alessandrini, A.; Vespe, M.; Paulrud, A. Mapping Fishing Effort through AIS Data. PLoS ONE 2015, 10, e0130746. [Google Scholar] [CrossRef] [Green Version]
 - Le Guyader, D.; Ray, C.; Gourmelon, F.; Brosset, D. Defining high-resolution dredge fishing grounds with Automatic Identification System (AIS) data. Aquat. Living Resour. 2017, 30, 39. [Google Scholar] [CrossRef] [Green Version]
 - Russo, E.; Monti, M.A.; Mangano, M.C.; Raffaeta, A.; Sara, G.; Silvestri, C.; Pranovi, F. Temporal and spatial patterns of trawl fishing activities in the Adriatic Sea (Central Mediterranean Sea, GSA17). Ocean. Coast. Manag. 2020, 192, 105231. [Google Scholar] [CrossRef]
 - Wang, Y.B.; Wang, Y. Estimating catches with Automatic Identification System (AIS) data: A case study of single otter trawl in Zhoushan fishing ground, China. Iran J. Fish Sci. 2016, 15, 75–90. [Google Scholar]
 - Crespo, G.O.; Dunn, D.C.; Reygondeau, G.; Boerder, K.; Worm, B.; Cheung, W.; Tittensor, D.P.; Halpin, P.N. The environmental niche of the global high seas pelagic longline fleet. Sci. Adv. 2018, 4, eaat3681. [Google Scholar] [CrossRef] [PubMed] [Green Version]
 - Cimino, M.A.; Anderson, M.; Schramek, T.; Merrifield, S.; Terrill, E.J. Towards a Fishing Pressure Prediction System for a Western Pacific EEZ. Sci. Rep. 2019, 9, 461. [Google Scholar] [CrossRef] [PubMed]
 - Hsu, T.-Y.; Chang, Y.; Lee, M.-A.; Wu, R.-F.; Hsiao, S.-C. Predicting Skipjack Tuna Fishing Grounds in the Western and Central Pacific Ocean Based on High-Spatial-Temporal-Resolution Satellite Data. Remote Sens. 2021, 13, 861. [Google Scholar] [CrossRef]
 - Talley, L.D. Distribution and formation of North Pacific intermediate water. J. Phys. Oceanogr. 1993, 23, 517–537. [Google Scholar] [CrossRef] [Green Version]
 - Kroodsma, D.A.; Mayorga, J.; Hochberg, T.; Miller, N.A.; Boerder, K.; Ferretti, F.; Wilson, A.; Bergman, B.; White, T.D.; Block, B.A.; et al. Tracking the global footprint of fisheries. Science 2018, 359, 904–908. [Google Scholar] [CrossRef] [Green Version]
 - Gong, C.; Chen, X.; Gao, F.; Tian, S. Effect of spatial and temporal scales on habitat suitability modeling: A case study of Ommastrephes bartramii in the northwest pacific ocean. J. Ocean. Univ. China 2014, 13, 1043–1053. [Google Scholar] [CrossRef]
 - Feng, Y.; Cui, L.; Chen, X.; Chen, L.; Yang, Q. Impacts of changing spatial scales on CPUE–factor relationships of Ommastrephes bartramii in the northwest Pacific. Fish. Oceanogr. 2019, 28, 143–158. [Google Scholar] [CrossRef]
 - Nishikawa, H.; Toyoda, T.; Masuda, S.; Ishikawa, Y.; Sasaki, Y.; Igarashi, H.; Sakai, M.; Seito, M.; Awaji, T. Wind-induced stock variation of the neon flying squid (Ommastrephes bartramii) winter-spring cohort in the subtropical North Pacific Ocean. Fish. Oceanogr. 2015, 24, 229–241. [Google Scholar] [CrossRef]
 - Yu, W.; Chen, X.; Yi, Q.; Gao, G.; Chen, Y. Impacts of climatic and marine environmental variations on the spatial distribution of Ommastrephes bartramii in the Northwest Pacific Ocean. Acta Oceanol. Sin. 2016, 35, 108–116. [Google Scholar] [CrossRef]
 - Fan, W.; Wu, Y.; Cui, X. The study on fishing ground of neon flying squid, Ommastrephes bartramii, and ocean environment based on remote sensing data in the Northwest Pacific Ocean. Chin. J. Oceanol. Limnol. 2009, 27, 408. [Google Scholar] [CrossRef]
 - Tian, S.; Chen, X.; Chen, Y.; Xu, L.; Dai, X. Standardizing CPUE of Ommastrephes bartramii for Chinese squid-jigging fishery in Northwest Pacific Ocean. Chin. J. Oceanol. Limnol. 2009, 27, 729–739. [Google Scholar] [CrossRef]
 - Wei, G.; Chen, X.J.; Li, G. Interannual variation and forecasting of Ommastrephes bartramii migration gravity in the Northwest Pacific Ocean. J. Shanghai Ocean. Univ. 2018, 27, 573–583. [Google Scholar]
 - Roden, G.I. Subarctic-subtropical transition zone of the North Pacific: Large-scale aspects and mesoscale structure. In Biology, Oceanography and Fisheries of the North Pacific Transition Zone and Subarctic Frontal Zone; Wetherall, J.A., Ed.; The North Pacific Transition Zone Workshop: Honolulu, HI, USA, 1991; pp. 1–38. [Google Scholar]
 - Zainuddin, M.; Kiyofuji, H.; Saitoh, K.; Saitoh, S.I. Using multi-sensor satellite remote sensing and catch data to detect ocean hot spots for albacore (Thunnus alalunga) in the northwestern North Pacific. Deep-Sea Res. Part II 2006, 53, 419–431. [Google Scholar] [CrossRef]
 - Coelho, M. Review of the influence of oceanographic factors on cephalopod distribution and life cycles. NAFO Sci. Counc. Stud. 1984, 9, 47–57. [Google Scholar]
 - Chen, X.J.; Chen, F.; Gao, F.; Lei, L. Modeling of habitat suitability of neon flying squid (Ommastrephes bartramii) based on vertical temperature structure in the Northwestern Pacific Ocean. Period. Ocean. Univ. China 2012, 42, 52–60. [Google Scholar]
 - Yu, W.; Chen, X.; Yi, Q.; Chen, Y. Influence of oceanic climate variability on stock level of western winter–spring cohort of Ommastrephes bartramii in the Northwest Pacific Ocean. Int. J. Remote Sens. 2016, 37, 3974–3994. [Google Scholar] [CrossRef]
 - Wang, J.; Cheng, Y.; Lu, H.J.; Chen, X.; Lin, L.; Zhang, J. Water Temperature at Different Depths Affects the Distribution of Neon Flying Squid (Ommastrephes bartramii) in the Northwest Pacific Ocean. Front. Mar. Sci. 2022. [Google Scholar] [CrossRef]
 - Fan, W.; Cui, X.S.; Shen, X.Q. Study on the relationship between the neon flying squid, Ommastrephes bartramii, and ocean environment in the Northwest Pacific Ocean. High Technol. Lett. 2004, 14, 84–89. (In Chinese) [Google Scholar]
 - Alabia, I.D.; Saitoh, S.; Mugo, R.; Igarashi, H.; Ishikawa, Y.; Usui, N.; Kamachi, M.; Awaji, T.; Seito, M. Identifying Pelagic Habitat Hotspots of Neon Flying Squid in the Temperate Waters of the Central North Pacific. PLoS ONE 2015, 10, e0142885. [Google Scholar] [CrossRef] [Green Version]
 - Wang, W.; Zhou, C.; Shao, Q.; Mulla, D.J. Remote sensing of sea surface temperature and chlorophyll- a: Implications for squid fisheries in the north-west Pacific Ocean. Int. J. Remote Sens. 2010, 31, 4515–4530. [Google Scholar] [CrossRef]
 














| Formula | AIC | Deviance Explained (%) | Deviance | |
|---|---|---|---|---|
| 27,049.15 | 37.5 | 0.360 | 25,835.54 | |
| 26,920.17 | 38.6 | 0.371 | 25,357.38 | |
| 26,866.01 | 39.4 | 0.377 | 25,048.13 | |
| 26,840.66 | 39.7 | 0.380 | 24,897.19 | |
| 26,758.20 | 40.8 | 0.389 | 24,458.48 | 
| Variable | Degrees of Freedom | F-Value | p-Value | 
|---|---|---|---|
| Lat, Lon | 147.515 | 15.823 | < | 
| SST | 10.819 | 7.407 | < | 
| SSH | 7.001 | 3.362 | 0.000527 | 
| SSS | 10.186 | 3.514 | |
| Chla | 15.084 | 5.641 | < | 
| Formula | AIC | Deviance Explained (%) | Deviance | |
|---|---|---|---|---|
| 299,371.3 | 17.2 | 0.170 | 160,078.5 | |
| 297,990.5 | 18.4 | 0.182 | 157,696.8 | |
| 297,534.8 | 18.6 | 0.186 | 156,812.3 | |
| 296,792.2 | 19.6 | 0.193 | 155,368.4 | |
| 295,658.5 | 20.5 | 0.202 | 153,577.5 | 
| Formula | AIC | Deviance Explained (%) | Deviance | |
|---|---|---|---|---|
| 79,349.8 | 26.8 | 0.262 | 61,522.3 | |
| 78,989.7 | 28.1 | 0.274 | 60,388.2 | |
| 78,842.8 | 28.7 | 0.280 | 59,888.4 | |
| 78,698.6 | 29.4 | 0.286 | 59,307.5 | |
| 78,430.6 | 30.4 | 0.295 | 58,470.8 | 
| Formula | AIC | Deviance Explained (%) | Deviance | |
|---|---|---|---|---|
| 8977.0 | 46.3 | 0.435 | 10,229.0 | |
| 8937.9 | 47.9 | 0.449 | 9919.5 | |
| 8933.2 | 48.2 | 0.451 | 9864.8 | |
| 8903.6 | 49.4 | 0.461 | 9632.4 | |
| 8893.6 | 50.5 | 46.8 | 9439.5 | 
| Formula | AIC | Deviance Explained (%) | Deviance | |
|---|---|---|---|---|
| 28,943.6 | 11.4 | 0.112 | 36,620.3 | |
| 28,841.4 | 13.1 | 0.128 | 35,920.6 | |
| 28,677.3 | 15.8 | 0.153 | 34,794.8 | |
| 28,652.6 | 16.3 | 0.156 | 34,593.0 | 
Publisher’s Note: MDPI stays neutral with regard to jurisdictional claims in published maps and institutional affiliations.  | 
© 2022 by the authors. Licensee MDPI, Basel, Switzerland. This article is an open access article distributed under the terms and conditions of the Creative Commons Attribution (CC BY) license (https://creativecommons.org/licenses/by/4.0/).
Share and Cite
Fei, Y.; Yang, S.; Fan, W.; Shi, H.; Zhang, H.; Yuan, S. Relationship between the Spatial and Temporal Distribution of Squid-Jigging Vessels Operations and Marine Environment in the North Pacific Ocean. J. Mar. Sci. Eng. 2022, 10, 550. https://doi.org/10.3390/jmse10040550
Fei Y, Yang S, Fan W, Shi H, Zhang H, Yuan S. Relationship between the Spatial and Temporal Distribution of Squid-Jigging Vessels Operations and Marine Environment in the North Pacific Ocean. Journal of Marine Science and Engineering. 2022; 10(4):550. https://doi.org/10.3390/jmse10040550
Chicago/Turabian StyleFei, Yingjie, Shenglong Yang, Wei Fan, Huimin Shi, Han Zhang, and Sanling Yuan. 2022. "Relationship between the Spatial and Temporal Distribution of Squid-Jigging Vessels Operations and Marine Environment in the North Pacific Ocean" Journal of Marine Science and Engineering 10, no. 4: 550. https://doi.org/10.3390/jmse10040550
APA StyleFei, Y., Yang, S., Fan, W., Shi, H., Zhang, H., & Yuan, S. (2022). Relationship between the Spatial and Temporal Distribution of Squid-Jigging Vessels Operations and Marine Environment in the North Pacific Ocean. Journal of Marine Science and Engineering, 10(4), 550. https://doi.org/10.3390/jmse10040550
        
                                                
