Noise of Internal Solitary Waves Measured by Mooring-Mounted Hydrophone Array in the South China Sea
Abstract
:1. Introduction
2. Experiment and Data
3. Analysis and Discussion of Noise Induced by Internal Solitary Waves
3.1. Korteweg-de Vries Equation Theory
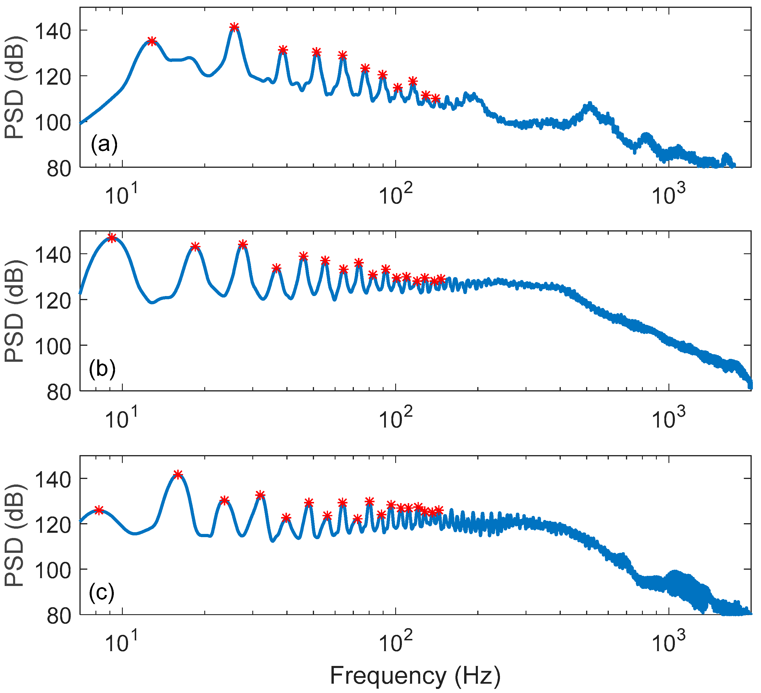
3.2. Spectra Comparison of ISW Noise and Ambient Noise
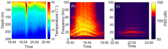
3.3. Low-Frequency Noise Induced by ISWs
3.3.1. Relationship between Low-Frequency Noise and ISWs
3.3.2. Vortex-Induced Vibration
3.4. Spectrum Comparison of ISW Noise at Different Depths
4. Comparison of ISW Noise in 2019 ISW Observation Experiment
5. Conclusions
Author Contributions
Funding
Institutional Review Board Statement
Informed Consent Statement
Data Availability Statement
Acknowledgments
Conflicts of Interest
References
- Helfrich, K.R.; Melville, W.K. Long Nonlinear Internal Waves. Ann. Rev. Fluid Mech. 2006, 38, 395–425. [Google Scholar] [CrossRef]
- Osborne, A.; Burch, T. Internal solitons in the Andaman Sea. Science 1980, 208, 451–460. [Google Scholar] [CrossRef] [PubMed]
- Jackson, C. Internal wave detection using the Moderate Resolution Imaging Spectroradiometer (MODIS). J. Geophys. Res. 2007, 112, C10012. [Google Scholar] [CrossRef] [Green Version]
- Zhang, S.; Alford, M.H.; Mickett, J.B. Characteristics, generation and mass transport of nonlinear internal waves on the Washington continental shelf. J. Geophys. Res. Oceans 2015, 120, 741–758. [Google Scholar] [CrossRef]
- Scotti, A.; Beardsley, R.C.; Butman, B. Generation and propagation of nonlinear internal waves in Massachusetts Bay. J. Geophys. Res. 2007, 112, C10001. [Google Scholar] [CrossRef]
- Lee, S.W.; Nam, S. Estimation of Propagation Speed and Direction of Nonlinear Internal Waves from Underway and Moored Measurements. J. Mar. Sci. Eng. 2021, 9, 1089. [Google Scholar] [CrossRef]
- Huang, X.; Chen, Z.; Zhao, W.; Zhang, Z.; Zhou, C.; Yang, Q.; Tian, J. An extreme internal solitary wave event observed in the northern South China Sea. Sci. Rep. 2016, 6, 30041. [Google Scholar] [CrossRef] [Green Version]
- Ramp, S.R.; Tang, T.Y.; Duda, T.F.; Lynch, J.F.; Liu, A.K.; Chiu, C.S.; Bahr, F.L.; Kim, H.R.; Yang, Y.J. Internal Solitons in the Northeastern South China Sea Part I: Sources and Deep Water Propagation. J. Ocean. Eng. 2004, 29, 1157–1181. [Google Scholar] [CrossRef]
- Xu, A.; Chen, X. A Strong Internal Solitary Wave with Extreme Velocity Captured Northeast of Dong-Sha Atoll in the Northern South China Sea. J. Mar. Sci. Eng. 2021, 9, 1277. [Google Scholar] [CrossRef]
- Cai, S.; Xie, J.; He, J. An overview of internal solitary waves in the South China Sea. Surv. Geophys. 2012, 33, 927–943. [Google Scholar] [CrossRef]
- Colosi, J.A.; Scheer, E.K.; Flatte, S.M.; Cornuelle, B.D.; Dzieciuch, M.A.; Munk, W.H.; Worcester, P.F.; Howe, B.M.; Mercer, J.A.; Spindel, R.C.; et al. Comparisons of measured and predicted acoustic fluctuations for a 3250-km propagation experiment in the eastern North Pacific Ocean. J. Acoust. Soc. Am. 1999, 105, 3202–3218. [Google Scholar] [CrossRef]
- Katsnelson, B.G.; Godin, O.A.; Zhang, Q. Observations of acoustic noise bursts accompanying nonlinear internal gravity waves on the continental shelf off new jersey. J. Acoust. Soc. Am. 2021, 149, 1609–1622. [Google Scholar] [CrossRef]
- Simmen, J.; Flatte, S.M.; Wang, G.Y. Wavefront folding, chaos, and diffraction for sound propagation through ocean internal waves. J. Acoust. Soc. Am. 1997, 102, 239–255. [Google Scholar] [CrossRef]
- Katsnelson, B.G.; Grigorev, V.; Badiey, M.; Lynch, J.F. Temporal sound field fluctuations in the presence of internal solitary waves in shallow water. J. Acoust. Soc. Am. 2009, 126, EL41–EL48. [Google Scholar] [CrossRef] [Green Version]
- Apel, J.R.; Ostrovsky, L.A.; Stepanyants, Y.A.; Lynch, J.F. Internal solitons in the ocean and their effect on underwater sound. J. Acoust. Soc. Am. 2007, 121, 695–722. [Google Scholar] [CrossRef]
- Badiey, M.; Mu, Y.; Lynch, J.; Apel, J.; Wolf, S. Temporal and azimuthal dependence of sound propagation in shallow water with internal waves. IEEE J. Ocean. Eng. 2002, 27, 117–129. [Google Scholar] [CrossRef]
- Tang, D.; Moum, J.N.; Lynch, J.F.; Abbot, P.; Chapman, R.; Dahl, P.H.; Duda, T.F.; Gawarkiewicz, G.; Glenn, S.; Goff, J.A.; et al. Shallow Water ‘06: A joint acoustic propagation/nonlinear internal wave physics experiment. Oceanography 2007, 20, 156–167. [Google Scholar] [CrossRef] [Green Version]
- Wei, R.C.; Chien, K.F.; Chiu, L.; Chen, C.F. Analysis of low frequency ocean ambient noise induced by internal wave in sand dune region of northern South China Sea. J. Acoust. Soc. Am. 2016, 140, 3013. [Google Scholar] [CrossRef]
- Serebryany, A.N.; Newhall, A.; Lynch, J.F. Observations of noise generated by nonlinear internal waves on the continental shelf during the SW06 experiment. J. Acoust. Soc. Am. 2008, 123, 3589. [Google Scholar] [CrossRef] [Green Version]
- Yang, Y.J.; Chiu, C.S.; Wu, J.C.; Liang, W.D.; Ramp, S.R.; Reeder, D.B.; Chen, C.F. Observations of ambient noises induced by the internal solitary waves on the continental slope of the northern South China Sea: Ambient noises by ISW in SCS. In Proceedings of the OCEANS 2015-Genova, Genova, Italy, 21 September 2015; pp. 1–4. [Google Scholar]
- Bassett, C.; Thomson, J.; Polagye, B.L. Sediment-generated noise and bed stress in a tidal channel. J. Geophys. Res. Oceans 2013, 2249–2265. [Google Scholar] [CrossRef]
- Bourgault, D.; Morsilli, M.; Richards, C.; Neumeier, U.; Kelley, D.E. Sediment resuspension and nepheloid layers induced by long internal solitary waves shoaling orthogonally on uniform slopes. Cont. Shelf Res. 2014, 72, 21–33. [Google Scholar] [CrossRef] [Green Version]
- Bassett, C.; Thomson, J.; Dahl, P.H.; Polagye, B. Flow-noise and turbulence in two tidal channels. J. Acoust. Soc. Am. 2014, 135, 1764–1774. [Google Scholar] [CrossRef] [Green Version]
- Dietz, F.T.; Kahn, J.S.; Birch, W.R. Nonrandom associations between shallow water ambient noise and tidal phase. J. Acoust. Soc. Am. 1960, 32, 915. [Google Scholar] [CrossRef]
- Willis, J.; Dietz, F.T. Some characteristics of 25-cps shallow-water ambient noise. J. Acoust. Soc. Am. 1965, 37, 125–130. [Google Scholar] [CrossRef]
- Deane, G.B. Long time-base observations of surf noise. J. Acoust. Soc. Am. 2000, 107, 758–770. [Google Scholar] [CrossRef]
- Strasberg, M. Non-acoustic noise interference in measurements of infrasonic ambient noise. J. Acoust. Soc. Am. 1979, 66, 1487–1493. [Google Scholar] [CrossRef]
- Webb, S.C. Long-period acoustics and seismic measurements and ocean floor currents. J. Ocean. Eng. 1988, 13, 263–270. [Google Scholar] [CrossRef]
- Gerkema, T. An Introduction to Internal Waves; Lecture Notes; Royal NIOZ: Texel, The Netherlands, 2008; pp. 147–164. [Google Scholar]
- Every, M.J.; King, R.; Weaver, D.S. Vortex-excited vibrations of cylinders and cables and their suppression. Ocean Eng. 1982, 9, 135–157. [Google Scholar] [CrossRef]
- Pankanin, G.L.; Kulińczak, A.; Berliński, J. Investigations of Karman vortex street using flow visualization and image processing. Sensors Actuat. Phys. 2007, 138, 366–375. [Google Scholar] [CrossRef]
- Kaasen, K.E.; Lie, H.; Solaas, F.; Vandiver, J.K. Norwegian Deepwater Program: Analysis of Vortex-Induced Vibrations of Marine Risers Based on Full-Scale Measurements. In Offshore Technology Conference; OTC Program Committee: Houston, TX, USA, 2000; p. OTC-11997-MS. [Google Scholar]
- Sarpkaya, T. Hydrodynamic damping, flow-induced oscillations, and biharmonic response. J. Offshore Mech. Arct. Eng. 1995, 117, 232–238. [Google Scholar] [CrossRef]
- Wu, J.; Yin, D.; Halvor, L. On the occurrence of higher harmonics in the VIV response. In OMAE 2015 34th International Conference; AMSE: St. John’s, NL, Canada, 2015; p. OMAE2015-42061. [Google Scholar]
- Lie, H.; Kaasen, K.E. Modal analysis of measurements from a large-scale VIV model test of a riser in linearly sheared flow. J. Fluid. Struct. 2006, 22, 557–575. [Google Scholar] [CrossRef]
- Trim, A.D.; Braaten, H.; Lie, H.; Tognarelli, M.A. Experimental investigation of vortex-induced vibration of long marine risers. J. Fluid. Struct. 2005, 21, 335–361. [Google Scholar] [CrossRef]
- Wang, J.X.; Gui, H.B.; Chen, X. Analysis of Attitude and Dynamics Characteristic of a Kind of Submerged Buoy. Appl. Mech. Mater. 2012, 226, 516–520. [Google Scholar] [CrossRef]
- Hover, F.S.; Miller, S.N.; Triantafyllou, M.S. Vortex-induced vibration of marine cables: Experiments using force feedback. J. Fluid. Struct. 1997, 11, 307–326. [Google Scholar] [CrossRef]
- Owen, M.G.; Richard, A.S.; Steven, E.R. The Resonant, Vortex-Excited Vibrations of structures and Cable Systems. In Offshore Technology Conference; OTC Program Committee: Houston, TX, USA, 1975; p. OTC-2319-MS. [Google Scholar]








| Observation Date | Time (UTC+8) | Max Amplitude | Max Flow Velocity |
|---|---|---|---|
| 20170314 | 18:06 | 159.65 m | −2.09 m/s |
| 20161001 | 18:03 | 118.28 m | −1.78 m/s |
| 20160921 | 05:54 | 98.30 m | −1.52 m/s |
| Fundamental | Double | Triple | Quadruple | Five-Times | Six-Times | Seven-Times | Eight-Times |
|---|---|---|---|---|---|---|---|
| 12.72 | 25.39 | 39.06 | 51.76 | 64.65 | 77.15 | 89.84 | 105.32 |
| 9.16 | 18.43 | 27.59 | 36.74 | 45.89 | 55.05 | 64.58 | 73.49 |
| 8.18 | 16.11 | 24.17 | 32.35 | 40.41 | 48.58 | 56.52 | 64.58 |
| Hydrophone | C058-20170314 (700 m) | C010-20161001 (950 m) | C010-20160921 (950 m) | |||
|---|---|---|---|---|---|---|
| Time | 18:03 | 18:09 | 18:03 | 18:06 | 06:00 | 06:03 |
| Velocity (cm/s) | 41.82 | 52.90 | 21.74 | 25.26 | 23.62 | 17.11 |
| Frequency (Hz) | 8.36 | 10.58 | 4.35 | 5.05 | 4.72 | 3.42 |
| 2019 Experiment | 2016 Experiment | ||||
|---|---|---|---|---|---|
| Water depth (m) | 360 m | 1000 m | |||
| Cable length (m) | 300 m | 30 m | 490 m | 490 m | 490 m |
| Amplitude of ISW (m) | 91.74 m | 91.74 m | 159.65 m | 118.28 m | 98.30 m |
| Hydrophone location | middle | bottom | middle | bottom | bottom |
| Fundamental frequency (Hz) | 10.20 Hz | 6.15 Hz | 12.72 Hz | 9.16 Hz | 8.18 Hz |
Publisher’s Note: MDPI stays neutral with regard to jurisdictional claims in published maps and institutional affiliations. |
© 2022 by the authors. Licensee MDPI, Basel, Switzerland. This article is an open access article distributed under the terms and conditions of the Creative Commons Attribution (CC BY) license (https://creativecommons.org/licenses/by/4.0/).
Share and Cite
Li, J.; Shi, Y.; Yang, Y.; Huang, X. Noise of Internal Solitary Waves Measured by Mooring-Mounted Hydrophone Array in the South China Sea. J. Mar. Sci. Eng. 2022, 10, 222. https://doi.org/10.3390/jmse10020222
Li J, Shi Y, Yang Y, Huang X. Noise of Internal Solitary Waves Measured by Mooring-Mounted Hydrophone Array in the South China Sea. Journal of Marine Science and Engineering. 2022; 10(2):222. https://doi.org/10.3390/jmse10020222
Chicago/Turabian StyleLi, Jiemeihui, Yang Shi, Yixin Yang, and Xiaodong Huang. 2022. "Noise of Internal Solitary Waves Measured by Mooring-Mounted Hydrophone Array in the South China Sea" Journal of Marine Science and Engineering 10, no. 2: 222. https://doi.org/10.3390/jmse10020222
APA StyleLi, J., Shi, Y., Yang, Y., & Huang, X. (2022). Noise of Internal Solitary Waves Measured by Mooring-Mounted Hydrophone Array in the South China Sea. Journal of Marine Science and Engineering, 10(2), 222. https://doi.org/10.3390/jmse10020222

