Abstract
Identification of corn hybrids that can withstand wet soil conditions is one approach to prevent crop production losses from abiotic stress caused by excessive soil moisture during early spring season in the midwestern United States. A greenhouse pot experiment was conducted in 2013 to screen and identify corn hybrids tolerant or susceptible to soil waterlogging at the V2 growth stage. The main plots included waterlogging durations: no waterlogging; 14-day waterlogging and then allowing recovery from waterlogging stress for 7 days; and 21-day waterlogging. Subplots included eight commercial corn hybrids. The shoot and root biomass, plant height, stomatal conductance, and chlorophyll meter readings were decreased due to waterlogging for 14 days and 21 days. Hybrid #2 appeared to be more tolerant to waterlogging as evidenced by greater growth and higher stomatal conductance and chlorophyll meter readings on newer leaves under waterlogged conditions. Hybrid #5 and Hybrid #8 were more susceptible to waterlogging than other hybrids. Large variability occurred among corn hybrids in response to soil waterlogging durations. Beneficial effects of improved soil conditions after excess water removal from 14-day waterlogged pots were not seen in this experiment, probably due to the short recovery time period between the excess water removal and experiment termination.
1. Introduction
Waterlogging stress resulting from excessive soil moisture conditions caused by either extreme precipitation events or poor drainage often limits corn production and N uptake as soil N losses increases under waterlogged conditions. There are approximately 4 million hectares of poorly drained claypan soils in Missouri, Kansas, and Illinois, which may contribute to waterlogging in the top soil layers after rainfall events [1,2]. The argillic horizon in claypan soils can have clay content greater than 460 g kg−1, which reduces the permeability of the soil [1]. The perched water table resulting from the low hydraulic conductivity of claypan soils makes them more susceptible to N losses [3]. Temporarily waterlogged soil conditions causing crop production losses is a persistent problem in Missouri [4,5]. Crop losses due to flooding or excess water are second only to drought in the Unites States in the past 12 years [6]. There is a higher probability of flooding in the future, which may cause significantly higher crop production losses [7].
Crop injury due to soil waterlogging or flooding is caused by the lack of oxygen in the root zone associated with anoxic or hypoxic conditions. The main metabolic process of plants affected by excessive soil moisture in the root zone is respiration. Absence of oxygen causes plants to undergo a fermentation process as a rescue mechanism that produces only 3 ATP molecules compared to 39 ATP molecules through respiration of hexose [8,9]. Fermentation also results in lowered cytosolic pH, induction of glycolysis, and accumulation of lactate and ethanol. Oxygen deficiency and presence of phytotoxins reduce root growth and formation and promote root decay. Waterlogging for six days significantly decreased root length, root length density, and the number of root tips compared to those of the control in corn plants at the V3, V6, and 10 days after VT growth stages [10]. Waterlogging conditions can decrease root conductance for water and nutrient uptake, causing nutrient deficiency and resulting in poor plant growth [11,12]. Reduced root activity under waterlogging causes a significant decrease in plant N content causing yellowing of leaves [13].
Waterlogging injury can also reduce photosynthesis and stomatal conductance [14]. Stomatal conductance and transpiration were decreased by 30% to 40% after approximately 24 h of soil flooding in tomato plants [11]. Partial stomatal closure was a response to waterlogging to prevent leaf water deficits and wilting, rather than being a response to low leaf water potential. Stomatal closure is also responsible for CO2 limitation in plant cells and consequently results in oxygen free radical accumulation. Flooding stress effects on corn photosynthesis, seedling growth, and shoot/root ratio were more pronounced under control light (600 μmol m−2 s−1) growth conditions than under low-light (150 μmol m−2 s−1) conditions, suggesting that low-light growth conditions mitigated soil flooding stress [15]. Nitrogen deficiency is one of the main contributors to crop yield losses due to waterlogging [16,17]. Wu et al. [18] reported that waterlogging wheat at the postanthesis stage significantly reduced root respiratory activity, leaf greenness (SPAD reading), photosynthetic rate, stomatal conductance, transpiration rate, grain number per spike, 1000-grain weight, grain yield, and increased intercellular CO2 concentration.
The flooding/waterlogging injury on plants depends upon the duration of flooding, crop growth stage at the time of flooding, and soil temperature. Early growth stages of corn are more susceptible to waterlogging losses as compared to later stages [19,20]. Flooding damage increases with a rise in temperature [21]. The interaction between flooding duration and temperature affects the survival of plants. Corn plants at the V6 growth stage can survive for two to four days under flooding at 15 °C, but may die at temperatures above 25 °C [22]. Generally, plants that survive flooding will show new leaf growth in about three to five days with favorable temperatures. Wu et al. [23] observed that the negative effects of postanthesis waterlogging and temperature on wheat growth were in order of: waterlogging + high temperature > waterlogging > high temperature. Plants have several possible mechanisms to adapt under excessive soil moisture conditions including formation of air space (i.e., aerenchyma) in the root cortex, stem enlargement (i.e., hypertrophy), adventitious root formation, especially near the soil surface [20]), and early root tip death [24].
Several studies have shown that significant genetic differences occurred in the response of corn plants to soil waterlogging stress [20,25,26]. Such variability in corn plant responses to soil waterlogging can be utilized to identify and develop corn hybrids tolerant to waterlogging, especially for poorly drained soils in Missouri. Identification and development of corn hybrids that can withstand waterlogging stress is one approach to reduce production losses caused by waterlogging. Therefore, the objectives of this study were to screen and identify corn hybrids for waterlogging tolerance in a controlled environment.
2. Materials and Methods
2.1. Greenhouse Experiment
A controlled environment greenhouse pot experiment was conducted with a split-plot design and four replications during the spring season in 2013 at the University of Missouri, Columbia, Missouri. The main plots were waterlogging duration and subplots were eight corn hybrids. Three waterlogging durations used in this experiment were: 0 (nonwaterlogged), 14 days waterlogging and then allowing recovery for 7 days; and 21 days waterlogging. Waterlogging was started at the V2 corn growth stage [27] in 14-day and 21-day waterlogging treatments. Eight commercially available corn hybrids used in this study were P1360HR (Hybrid #1), P1498YHR (Hybrid #2), 33D42 (Hybrid #3), P0636HR (Hybrid #5), P1018YHR (Hybrid #6), P1151YHR (Hybrid #7), P1324HR (Hybrid #8) (Pioneer Du Pont, Johnston, IA, USA), and DKC (Hybrid #4) (Monsanto, St. Louis, MO, USA). These corn hybrids were selected based on empirical observations as to their response to waterlogged conditions in field-based variety trials conducted in the midwestern region of the United States. Some of the hybrids had shown poor response to waterlogged conditions and some had shown some tolerance to saturated conditions. All of the corn hybrid seeds were treated with mefenoxam, fludioxonil, azoxystrobin, thiabendazole, and thiamethoxam (C221 Maxim Quattro + Cruiser 250 + PPCT 2012). C221 Maxim Quattro and Cruiser 250 protect seeds against early season insects (such as wireworm, seed corn maggot, chinch bug) and diseases caused by Pythium, Rhizoctonia, and Fusarium fungal species.
Corn hybrids were planted into identical randomized plastic pots that had a bottom diameter of 11.43 cm, top diameter of 17.15 cm, and a height equal to 14.61 cm. There was one plant per pot. All of these pots had no drainage holes as an attempt to reduce variation in N loss through leaching. Waterlogging in pots was initiated at the V2 corn growth stage [27]. The soil was maintained at field capacity up to the V2 corn stage in all pots. After the V2 corn growth stage, nonwaterlogged treatments were maintained at field capacity throughout the experiment period in order to achieve soil water uniformity and optimum plant growth, whereas the 14-day and 21-day waterlogging treatments were flooded with a few centimeters of water ponded above the soil surface. Distilled water was used for waterlogging the pots. In 14-day waterlogging treatments, excess water was removed after 14 days of waterlogging and plants were allowed to recover from waterlogging stress for 7 days. Artificial lighting was provided by 400 Watts HPS (high-density sodium) lamps in the greenhouse from 6:00 h to 19:00 h daily.
Each pot was filled with approximately 3 kg of bulk soil collected from the upper 15 cm soil depth of the unfertilized control plot of the field experiment at the University of Missouri Greenley Research Center (40°1′17″ N, 92°11′24.9″ W), near Novelty, Missouri. The soil type was classified as a Putnam silt loam (fine, smectitic, mesic Vertic Albaqualfs). The collected soil was air-dried, ground using a hammer mill, and passed through a stainless-steel sieve with 2 mm openings and was analyzed by the University of Missouri’s Soil and Plant Testing Laboratory for initial soil characterization (Table 1) using standardized soil test procedures [28]. This soil was uniformly mixed with urea fertilizer at the rate of 336 kg N ha−1. A high N rate was applied to ensure that N was not limiting in any of the pots since frequent watering occurred. No other P or K fertilizer was added as recommended in the soil test report by the University of Missouri’s Soil and Plant Testing Laboratory.
Table 1.
Selected initial properties of bulk soil collected from University of Missouri’s Greenley Research Center in 2013 for use in the greenhouse study. Values are averaged over three replications.
2.2. Soil and Plant Measurements
Soil redox potential (Eh) and pH of waterlogged pots were measured after initiation of waterlogging events to quantify the changes in soil properties due to waterlogging. Soil Eh and pH were determined by using portable ORP (Oxidation-Reduction Potential) and pH electrodes attached to an Oakton 310 pH/ORP meter (Vernon Hills, IL, USA). Soil Eh was adjusted to standard H2 reference electrode values [29]. Soil temperature was measured from both nonwaterlogged and waterlogged pots using an Oakton Temp 10 Thermocouple (Vernon Hills, IL, USA).
Plant heights were recorded periodically from the soil surface after plant emergence. Chlorophyll meter (CM) readings were taken from a day before the initiation of waterlogging event up to 21 days. The first and second leaves of many corn plants senesced and detached from the plant or were no longer green before the end of the waterlogging treatments. New leaves also emerged on corn plants as plants grew during waterlogging events over time. Therefore, CM readings for all leaves were not taken for all 21 days. Leaves were numbered in sequence from the base of the plant. Stomatal conductance was also measured on corn plant leaves using a leaf porometer (Decagon Devices, Pullman, WA, USA) during waterlogging events. The ratio of plant height or CM readings were determined for waterlogged versus nonwaterlogged moisture conditions to compare the performance of the corn hybrids. Ratios less than 1 indicated that plant height or CM readings under waterlogged conditions were lower than under nonwaterlogged soil conditions.
The number of mature leaves on corn plants in each pot was also counted before corn harvest for shoot and root biomass production. Corn plants were harvested from each pot to measure aboveground and belowground root biomass. After removing the shoots, all the soil inside the pots was removed and placed on sieves and washed with running water to remove any soil particles attached to the roots. The aboveground and belowground root biomass samples were oven-dried at 65°C in a forced-air oven to obtain biomass dry weight produced per plant in each pot.
2.3. Statistical Analysis
All the collected data was analyzed using the MIXED procedure available in the SAS v.9.4 statistical software (SAS Institute, Cary, NC, USA). Data were combined over factors when appropriate as indicated by the MIXED procedure results. Means were separated using Fisher’s Protected Least Significant Difference (LSD) at the p < 0.10 probability level. Regression analysis was done for redox potential measurement to determine the changes in redox potential with waterlogging duration.
3. Results and Discussion
3.1. Soil Conditions during Waterlogging
Soil Eh measurements can help in estimating whether the soil is aerobic or anaerobic and whether chemical compounds, such as nitrate or iron oxides, are present in their oxidized form or are chemically reduced [29]. The Eh of reduced soils can be between +400 and −300 mV [30,31]. Soil Eh decreased significantly with each day of waterlogging, indicating the development of reduced soil conditions in the pots (Figure 1). Decrease in redox potential followed a logarithm relationship with waterlogging duration (Figure 1). Soil Eh decreased significantly by 176 mV and 165 mV in two days after the start of 14-day and 21-day waterlogging events, respectively (Figure 1). Soil Eh decreased by 419 mV units by the end of the 14-day waterlogging period. In 21-day waterlogged pots, soil Eh decreased by 452 mV units from the start of the waterlogging event to the 21st day (Figure 1). Soil Eh by the end of waterlogging events was <120 mV in both 14-day and 21-day waterlogging treatments. This result indicates that the soil was in anoxic (anaerobic) condition, which makes it susceptible to nitrate reduction to dinitrogen through the denitrification process. The soil redox potential for anoxic soils is <120 mV at pH 7 [32] and nitrate reduction to dinitrogen can occur at redox potential of 220 to 280 mV [33].
Figure 1.
Changes in soil redox potential with duration of waterlogging. Regression equations are provided for the 14-day and 21-day waterlogging treatments.
Soil temperature in 14-day or 21-day waterlogged pots was mostly lower than for non-waterlogged treatments on each day of measurement; however, this difference was not significant (Figure 2A). In the 14-day or 21-day waterlogging treatments, the soil temperature decreased by 3 °C on the second day of waterlogging and then increased back on the third day of waterlogging. The soil temperature started to increase in the 14-day waterlogging pots after the water was removed from them on day 15; however, the increase in temperature was not significantly different than the soil temperature from non-waterlogged or 21-day waterlogged treatments. In contrast to our results, Unger, Motavalli, and Muzika [32] found that 3- or 5-week waterlogged soils had higher soil temperatures compared to nonflooded soils in a field–laboratory study. Zaidi et al. [34] also observed higher soil temperatures in waterlogged soils compared to that of non-waterlogged soils.
Figure 2.
Changes in soil temperature (A) and soil pH (B) with waterlogging duration after waterlogging initiation. Vertical bars indicate standard deviation for each sampling date.
Soil pH significantly increased as the duration of waterlogging increased (Figure 2B). In the 14-day waterlogging treatments, soil pH increased by 0.2 units in two days after the start of waterlogging and increased to 0.7 units by the end of waterlogging events. Soil pH increased in 21-day waterlogged pots by 0.8 units from 6.0 to 6.8 by the end of 21 days. Consumption of protons during the reduction of Fe and Mn oxides in acid soils causes an increase in soil pH [30,33,35]. In contrast, Unger, Motavalli, and Muzika [32] found no significant trends for soil pH with 3- or 5-week flooding treatments or over time compared to nonflooded treatments in a field experiment.
3.2. Stomatal Conductance
Stomatal conductance was measured on the second, fourth, and fifth leaves of each plant. Significant differences were observed among hybrids for stomatal conductance when compared separately for individual leaves (Figure 3A–C). Significant interaction was obtained between waterlogging duration and corn hybrids for stomatal conductance of the fourth leaf (Figure 3B). No such interaction was observed for stomatal conductance of the second and fifth leaves (Figure 3A and 3C). Hybrids #1, #3, #7, and #8 had lower stomatal conductance by 9, 25, 22, and 28 mmol m−2 s−1, respectively, on the second leaf compared to Hybrid #6 (Figure 3A). No significant differences were obtained between Hybrids #2, #4, #6, and #5 for stomatal conductance of the second leaf. Stomatal conductance of the fourth leaf decreased by 66 and 70 mmol m−2 s−1 for Hybrid #4 when waterlogged for 14 days and 21 days, respectively, compared to the nonwaterlogged pots (Figure 3B). Stomatal conductance of other hybrids on the fourth leaf decreased as result of waterlogging; however, the difference was not significant. Stomatal conductance of the fifth leaf was significantly lower for Hybrid #7 than for Hybrids #1, #3, and #5 (Figure 3C), whereas they all had similar stomatal conductance on the second leaf. These results suggest that the stomatal conductance improved on newer leaves. When averaged over the days of measurement, the stomatal conductance was significantly lower in 14-day and 21-day waterlogging than in nonwaterlogged pots for the second and fifth leaves (Figure 4). Stomatal closure is one of the first eco-physiological responses to waterlogging [36]. Stomatal closure prevents leaf dehydration and absorption of potentially toxic ions and reduces water and nutrient demand [37]. However, stomatal conductance on the fourth leaf in 14-day waterlogged plants was not significantly different either from non-waterlogged pots or from 21-day waterlogging.
Figure 3.
Stomatal conductance of the second (A), fourth (B), and fifth (C) leaves of corn plants among different hybrids. Same letters on bars indicate means do not differ significantly (p < 0.10) based on Fisher’s least significant difference test. Means are compared separately for each leaf. Data was averaged over waterlogging duration for second and fifth leaves due to absence of significant effect of waterlogging duration and interaction between hybrids as well as no significant effect of waterlogging duration on stomatal conductance.
Figure 4.
Changes in stomatal conductance of second, fourth, and fifth corn leaves due to waterlogging duration with time. * Significant differences between means among waterlogging duration at p < 0.1. Data was averaged over hybrids to show interaction of different waterlogging duration with time. Days after waterlogging in the x-axis were obtained from the waterlogged treatments.
Stomatal conductance varies each day and there was interaction found between waterlogging duration and days. After six days of waterlogging, stomatal conductance for the second leaf was reduced by 103 mmol m−2 s−1 units in 14-day or 21-day waterlogged treatments compared to nonwaterlogged pots (Figure 4). The stomatal conductance of the second leaf decreased by 90 and 93 mmol m−2 s−1 units in 14-day and 21-day waterlogged treatments, respectively, as compared to nonwaterlogged treatments on the 10th day after waterlogging started. No differences were obtained between the 14-day and 21-day waterlogged treatments for stomatal conductance on the second, fourth and fifth leaves (Figure 4). Stomatal conductance measurement of the fourth leaf was started on the 14th day after waterlogging initiation. The stomatal conductance on the fourth leaf on the 14th day was lower as compared to the 15th and 16th days (Figure 4). The stomatal conductance of the fourth leaf on the 16th and 17th days was significantly higher in nonwaterlogged pots compared to the 14-day or 21-day waterlogged pots. Stomatal conductance of the fifth leaf was started on the 18th day after waterlogging initiation. The stomatal conductance of the fifth leaf was significantly lower in 14-day and 21-day waterlogged pots compared to the nonwaterlogged pots up to the 20th day after waterlogging (Figure 4). Similarly, de Souza et al. [38] reported lower stomatal conductance in corn plants at the V6 stage in flooded compared to nonflooded plants. In contrast, no significant differences in stomatal conductance were observed for corn seedlings at the V2 growth stage after six days of flooding in a greenhouse pot study [39].
3.3. Chlorophyll Meter Readings
Chlorophyll meter (CM) readings were taken on the first, second, third, fourth, and fifth leaves from the beginning of waterlogging events for 14 days or 21 days. However, the first few leaves were either wilted or decayed before the end of waterlogging events or new leaves emerged later after the initiation of waterlogging. Therefore, CM readings were not taken up to 21 days on all leaves. In general, CM readings taken on all leaves decreased as the duration of waterlogging increased (Figure 5). The CM readings for the first and second leaves decreased rapidly after approximately five days of waterlogging (Figure 5). A decline in CM readings due to excessive moisture stress applied at the V7 stage in corn was also reported by Zaidi et al. [40] and they found that CM readings in nonwaterlogged or waterlogged treatments were significantly correlated to crop yields. The decrease in leaf chlorophyll content as a result of destruction of chlorophyll mediated by superoxide radicals formed under waterlogging stress may have caused lower CM readings in waterlogged pots [38,39,41].
Figure 5.
Changes in chlorophyll meter readings for first, third, and fifth leaf (A) and for second and fourth leaf (B) among different corn hybrids as affected by days of waterlogging in 21-day waterlogging treatments.
The CM readings of the first leaf commenced a day before the initiation of waterlogging up to 12 to 13 days after the waterlogging event. However, the first leaf in many waterlogged pots for some hybrids was either dried or wilted or became detached from the plant 10 days after the start of waterlogging. Therefore, the comparison between waterlogging duration and hybrids is only made for CM readings taken up to the 9th day. The CM readings of the first and third leaf when measured on day 9 and 15 after waterlogging initiation showed interaction between hybrids and waterlogging duration (Figure 6). No interaction was found between waterlogging duration and hybrids for the second, fourth, and fifth leaves and only hybrids differences for CM readings are presented (Figure 7). No differences were observed for CM readings of the first and third leaf when measured a day before initiation of waterlogging. After waterlogged conditions for nine days, the CM readings of the first leaf taken on the ninth day of waterlogging decreased in waterlogged pots compared to non-waterlogged pots for all hybrids (Figure 6A). For the third leaf, waterlogging decreased CM readings when measured on the 15th day after waterlogging initiation for all hybrids, except for Hybrid #6 and #7 in the 14-day waterlogging treatments (Figure 6B).
Figure 6.
Chlorophyll meter readings for the first (A) and third (B) leaves of corn plants as affected by waterlogging duration among different hybrids. Same letters on bars indicate means do not differ significantly (p < 0.10) based on Fisher’s least significant difference test.
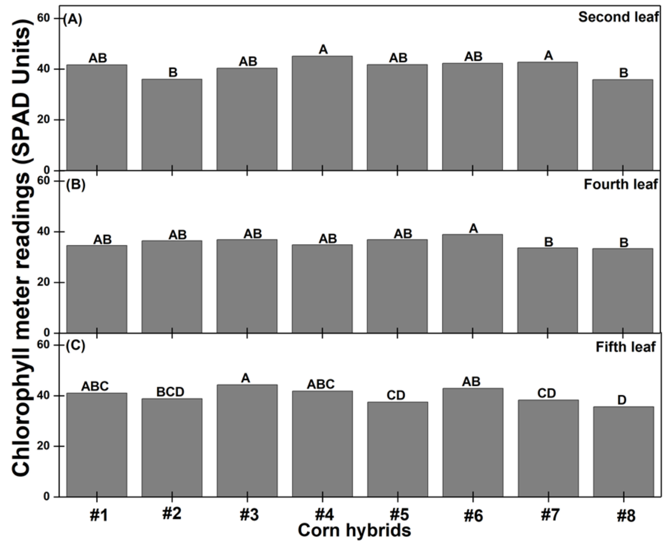
Figure 7.
Chlorophyll meter readings on second (A), fourth (B), and fifth (C) leaves of corn plants among different hybrids. Same letters on bars indicate means do not differ significantly (p < 0.10) based on Fisher’s least significant difference test. Data was averaged over waterlogging duration due to absence of significant interaction between waterlogging duration and hybrids as well as no significant effect of waterlogging duration.
The CM readings of the second leaf started one day before the initiation of waterlogging and were measured up to 10 days (Table 2). One day before waterlogging initiation, no differences were obtained for CM readings of the second leaf between different waterlogging pots and hybrids. After 10 days of waterlogging, CM readings of the second leaf decreased by 22.8 and 23.4 SPAD units in 14-day and 21-day waterlogging pots, respectively, compared to nonwaterlogged pots (Table 2). Hybrids #4 and #7 had CM readings of the second leaf 6.7 to 9.3 SPAD units higher than Hybrids #2 and #8 (Figure 7A). When comparing the relative CM readings (Figure 8B), the decline in CM reading due to nine days of waterlogging was greatest for Hybrid #2 and lowest for Hybrid #5 followed by Hybrid #1. For the third leaf, the least decline in CM reading was for Hybrid #3 and greatest was for Hybrid #1 (Figure 8B).
Table 2.
Chlorophyll meter readings measured for the second, fourth, and fifth corn plant leaves as affected by the waterlogging duration.
Figure 8.
Ratio of 21-day waterlogged to nonwaterlogged treatment by corn hybrids for chlorophyll meter readings (A) and plant heights (B) by corn leaf.
The CM readings for the fourth leaf on each corn plant were started 13 days after the initiation of waterlogging and measured up to 21 days. The CM readings for the fourth leaf on the 13th and 21st days were significantly lower in 14-day and 21-day waterlogged pots compared to nonwaterlogged pots (Table 2). The CM readings were decreased by 4.0 and 23.9 SPAD units from the 13th day to the 21st day in 14-day and 21-day waterlogged pots, respectively (Table 2). The CM readings of the fourth leaf for Hybrid #6 had 5.4 and 5.7 SPAD units higher as compared to Hybrid #7 and Hybrid #8, respectively (Figure 7B). All other hybrids had CM readings for the fourth leaf that were not significantly different from those of Hybrids #6, #7, or #8 (Figure 7B).
The CM readings of the fifth leaf on each corn plant were started 16 days after the initiation of waterlogging and measured up to 21 days (Table 2). The CM readings decreased for the 14-day or 21-day waterlogging compared to those of the nonwaterlogged pots, when compared between CM readings on the 16th and 21st days. In 14-day waterlogged pots, the CM readings were not changed in five days from the 16th to 21st day (Table 2). No further decrease in CM readings in 14-day waterlogged pots might be due to the beginning of recovery from waterlogging stress by plants. Within 21-day waterlogging pots, CM readings decreased further by 11.5 units in seven days from the 16th to 21st day of measurement. Hybrid #3 had significantly higher CM readings than Hybrids #2, #5, #7, and #8 for the fifth corn leaf (Figure 7C).
3.4. Plant Height and Number of Mature Leaves
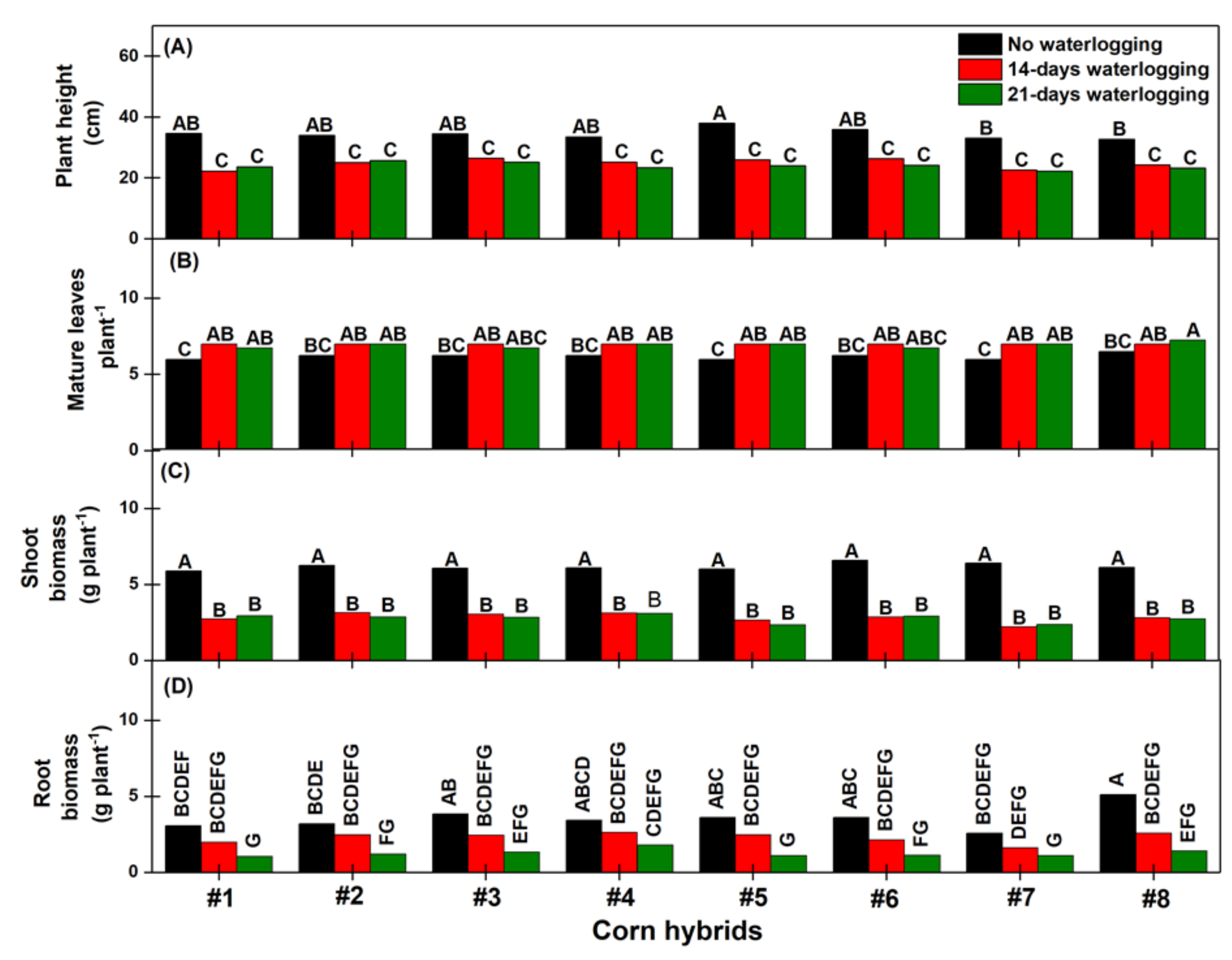
Visual differences in corn plant height and growth are shown in Figure 9. Corn plant heights were compared statistically for the last measurement taken one month after emergence of plants (Figure 10A). Among nonwaterlogged treatments, Hybrid #5 had the greatest height of 97 cm (Figure 10A). The plant height for Hybrid #5 was 13 cm greater than Hybrid #7 and Hybrid #8 among nonwaterlogged treatments. In nonwaterlogged treatments, the plant heights of Hybrids #1, #2, #3, #4, and #6 were not significantly different from Hybrid #5. The plant heights were significantly lower for all hybrids when waterlogged for 14 days or 21 days compared to nonwaterlogged treatments, indicating slower growth of plants under waterlogging conditions. No significant differences were obtained between hybrids in 14-day or 21-day waterlogged treatments (Figure 9A). An approximately 6% reduction in corn plant height due to prolonged waterlogging was reported by Bragina et al. [42]. In another study by Bragina et al. [43], corn plant height was reduced by 7, 11, and 23% when flooded for one, two, and three days at the V1–V2 growth stage, respectively.
Figure 9.
Visual differences in corn plant height and growth between nonwaterlogged (A) and waterlogged (B) treatments.
Figure 10.
Plant height (A), number of mature leaves (B), shoot (C), and root (D) biomass as affected by the waterlogging duration and corn hybrids. Same letters on bars indicate means do not differ significantly (p < 0.10) based on Fisher’s least significant difference test.
When waterlogged for 21 days, the percent reduction in plant height due to waterlogging stress compared to nonwaterlogged treatments for Hybrids #1, #2, #3, #4, #5, #6, #7, and #8 were 32%, 24%, 27%, 30%, 37%, 33%, 33%, and 29%, respectively. This indicates that Hybrid #5 was very sensitive to waterlogging stress, whereas Hybrid #2 was comparatively least sensitive. This can also be seen when comparing the ratios of plant height in waterlogged vs nonwaterlogged conditions; the decrease in plant height for Hybrid #5 was higher than for other hybrids (Figure 8A). Hybrid #2 had the highest relative plant height, showing that the growth decline in this hybrid was comparatively lower than in other hybrids under waterlogging conditions. It also indicates that Hybrid #2 grew faster, elongating its shoot length as a tolerance mechanism to excessive soil moisture. Hybrid #5 had plant height greater than Hybrids #3, #7, and #6 before initiation of waterlogging. After flooding of pots, Hybrid #5 showed slow growth compared to the other three hybrids, showing its low tolerance to waterlogging. After initiation of waterlogging, Hybrid #8 had higher plant height for a week compared to Hybrid #2. After that, relative plant height for Hybrid #8 started declining and was lower than Hybrid #2 and Hybrid #3 by the end of a one-month period (Figure 8A). When waterlogged for 14 days and then allowed to recover from waterlogging stress, plant height of Hybrids #1, #2, #3, #4, #5, #6, #7, and #8 was reduced by 36%, 26% 23%, 25%, 32%, 27%, 32%, and 26%, respectively, as compared to nonwaterlogged treatments. In the 14-day waterlogged treatments, Hybrid #1 showed the highest percent reduction in height, showing that it was slowest to start growing again after waterlogged conditions were ceased, whereas Hybrids #2, #3, #4, and #6 recovered comparatively quickly.
No differences were found for number of mature leaves due to waterlogging for Hybrids #2, #3, #4, and #6 (Figure 10B). Hybrids #1, #5, and #7 under 14-day and 21-day waterlogged conditions had one extra mature leaf by the time of harvest compared to nonwaterlogged conditions. Hybrid #8 had one extra mature leaf in 21-day waterlogged treatments than in the nonwaterlogged conditions. In contrast, Grzesiak et al. [44] found that number of leaves for two corn hybrids was reduced by 35 or 77 days of waterlogging treatment compared to nonwaterlogged treatments.
3.5. Shoot and Root Biomass
Shoot biomass production was significantly affected by waterlogging (Figure 10C). The shoot biomass production was higher in nonwaterlogged treatments compared to 14-day and 21-day waterlogged treatments for all hybrids. No differences were observed between hybrids within 14-day or 21-day waterlogging duration treatments. Liu et al. [45] also obtained lower shoot and root biomass for all corn hybrids due to six days of waterlogging in a pot experiment. Lizaso and Ritchie [46] reported that 4- or 8-day waterlogging duration decreased biomass growth through reduction in leaf area expansion and photosynthesis and increased leaf senescence. However, doubling the waterlogging duration only caused 10% higher biomass losses in 8-day waterlogged treatments. Reduction in shoot and root biomass due to prolonged flooding was also reported by many other studies [43,44]. In contrast, Wang, Liu, Li, and Chen [39] reported no differences in shoot biomass between nonflooded and six-day flooded corn seedlings at the V2 growth stage. The shoot biomass decreased ≥50% due to 14-day or 21-day waterlogging duration compared to nonwaterlogged treatments for all hybrids, except Hybrid #4 (Figure 10C). Hybrid #5 and Hybrid #7 showed >60% reduction in dry matter production when waterlogged for 21 days. A study conducted by Lizaso and Ritchie [46] showed that six-day waterlogging of two corn varieties (one tolerant and the other susceptible to poor drainage) at the V4 growth stage reduced shoot biomass by 20 to 50% depending upon the soil temperature and with no difference between varieties. However, in that study, the waterlogging-tolerant corn variety placed a larger proportion of its biomass into the root system during and after flooding. In 14-day waterlogged treatments, Hybrid #2 and Hybrid #3 showed the least reduction in shoot biomass production compared to other hybrids. In 21-day waterlogged pots, Hybrid #1 and Hybrid #4 had the lowest reduction in biomass compared to other hybrids. Based on these results, Hybrid #7 was most susceptible to waterlogging and Hybrid #1 and Hybrid #4 were comparatively more tolerant to prolonged waterlogging for 21 days.
No significant differences were obtained for root biomass due to waterlogging for Hybrids #4 and #7 (Figure 10D). All other hybrids showed significant reductions in root biomass due to 21-day waterlogging compared to nonwaterlogged treatments. Hybrid #8 under nonwaterlogged conditions had 2.52 g higher root biomass than in 14-day waterlogging treatments. In a greenhouse pot study, Wang, Liu, Li, and Chen [39] found that the belowground biomass and total biomass of corn seedlings were 52 and 34% higher, respectively, in nonflooded compared to six-day flooding conditions at the V2 growth stage. Hypoxic or anoxic soil conditions reduced root growth and biomass accumulation under waterlogged conditions. Root biomass in 14-day waterlogged pots was not increased compared to 21-day waterlogged pots, which might be due to insufficient recovery time between waterlogging end and plant harvest. Lizaso and Ritchie [45] reported that root growth of corn plants waterlogged for 4 or 8 days increased rapidly about 10 days after the waterlogging treatments ended. Another study by Lizaso et al. [46] reported that root biomass reductions due to waterlogging of corn varieties were greater than for shoot biomass, and after the excess water in waterlogged pots was drained, plants invested more biomass into roots to reconstruct their root systems. Some of the corn hybrids exhibited a proliferation of surface roots as a response and possible tolerance mechanism to the extended soil saturation (Figure 11).
Figure 11.
Proliferation of surface roots due to waterlogging (right side) and nonwaterlogged soil (left side).
4. Conclusions
Soil waterlogging altered soil conditions and significantly affected corn growth and biomass production among several corn hybrids grown in pots. Soil waterlogging caused reducing conditions in soils and generally increased soil pH with each day of flooding. In general, soil waterlogging decreased biomass production, plant height, stomatal conductance, and chlorophyll meter readings. High variability was observed among corn hybrids in response to prolonged soil waterlogging for 14 days or 21 days for various growth parameters. However, some corn hybrids had higher growth (Hybrids #5, #6) in optimum moisture conditions compared to other hybrids. In addition, some hybrids were more susceptible to waterlogging as indicated by the reduction in plant height and biomass production. Higher variability in hybrid responses to waterlogging and comparatively shorter duration of greenhouse experiment make it difficult to identify one or more hybrids from this experiment showing greater resistance to waterlogging stress than other hybrids. The beneficial effects of improved soil conditions after excess water removal from 14-day waterlogged pots were not observed in this experiment, probably due to the short time between the excess water removal and corn harvest.
These results indicate that waterlogging tolerance traits may be present among commercial corn hybrids. Exact mechanisms for this tolerance were not explored in this research, but it may be important for future research to examine these mechanisms and the conditions under which optimal expression of the traits can be stimulated. A limitation of this study is that it was conducted in the greenhouse in pots which may not simulate waterlogged conditions in the field. It is expected that greater waterlogging stress may occur under field conditions, but further field research is warranted. Inclusion of more diverse genetic lines that have major differences in traits that may affect flood tolerance, such as stomatal opening and root growth, also may be necessary to identify specific flood tolerance traits as they are expressed in the field.
Author Contributions
Methodology, B.Z., P.P.M.; data collection, B.Z.; formal analysis, G.K.; writing—original draft preparation, G.K.; writing—review and editing, G.K., B.Z., P.P.M., K.A.N.; supervision, P.P.M.; project administration, P.P.M.
Funding
This research received no external funding.
Conflicts of Interest
The authors declare no conflict of interest.
References
- Jamison, V.; Peters, D. Slope length of claypan soil affects runoff. Water Resour. Res. 1967, 3, 471–480. [Google Scholar] [CrossRef]
- Anderson, S.; Gantzer, C.; Brown, J. Soil physical properties after 100 years of continuous cultivation. J. Soil Water Conserv. 1990, 45, 117–121. [Google Scholar]
- Motavalli, P.; Anderson, S.; Pengthamkeerati, P. Surface compaction and poultry litter effects on corn growth, nitrogen availability, and physical properties of a claypan soil. Field Crop. Res. 2003, 84, 303–318. [Google Scholar] [CrossRef]
- Wiebold, W.J. Crop Plant Response to Flooding; integrated pest and crop management newsletter. University of Missouri Extension: Columbia, MO, USA, 2015. Available online: https://ipm.missouri.edu/IPCM/2015/6/Crop-Plant-Response-to-Flooding (accessed on 1 July 2016).
- Luce, G.A. Unprecedented Rainfall, Flooding and Impact on Wheat and Cover Crops; University of Missouri Extension: Columbia, MO, USA, 2015; Available online: https://ipm.missouri.edu/IPCM/2015/6/Crop-Plant-Response-to-Flooding/ (accessed on 1 July 2016).
- Bailey-Serres, J.; Lee, S.C.; Brinton, E. Waterproofing crops: Effective flooding survival strategies. Plant Physiol. 2012, 160, 1698–1709. [Google Scholar] [CrossRef] [PubMed]
- Cubasch, U.; Meehl, G.; Boer, G.; Stouffer, R.; Dix, M.; Noda, A.; Senior, C.; Raper, S.; Yap, K. Projections of Future Climate Change. In Climate Change 2001, The Scientific Basis: The IPCC WG1 Third Assessment Report; Houghton J., T., Ding, Y., et al., Eds.; Cambridge University Press: Cambridge, UK, 2001; pp. 526–582. [Google Scholar]
- Drew, M.C. Oxygen deficiency and root metabolism: Injury and acclimation under hypoxia and anoxia. Annu. Rev. Plant Biol. 1997, 48, 223–250. [Google Scholar] [CrossRef] [PubMed]
- Geigenberger, P. Response of plant metabolism to too little oxygen. Curr. Opin. Plant Biol. 2003, 6, 247–256. [Google Scholar] [CrossRef]
- Ren, B.; Zhang, J.; Dong, S.; Liu, P.; Zhao, B. Root and shoot responses of summer maize to waterlogging at different stages. Agron. J. 2016, 108, 1060–1069. [Google Scholar] [CrossRef]
- Bradford, K.J.; Hsiao, T.C. Stomatal behavior and water relations of waterlogged tomato plants. Plant Physiol. 1982, 70, 1508–1513. [Google Scholar] [CrossRef]
- Steffens, D.; Hutsch, B.; Eschholz, T.; Losak, T.; Schubert, S. Water logging may inhibit plant growth primarily by nutrient deficiency rather than nutrient toxicity. Plant Soil Environ. 2005, 51, 545. [Google Scholar] [CrossRef]
- Habibzadeh, F.; Sorooshzadeh, A.; Pirdashti, H.; Modarres-Sanavy, S.A.M. Alleviation of waterlogging damage by foliar application of nitrogen compounds and tricyclazole in canola. Aust. J. Crop Sci. 2013, 7, 401. [Google Scholar]
- Terazawa, K.; Maruyama, Y.; Morikawa, Y. Photosynthetic and stomatal responses oflarix kaempferi seedlings to short-term waterlogging. Ecol. Res. 1992, 7, 193–197. [Google Scholar] [CrossRef]
- Wang, W.; Wang, C.; Sardans, J.; Tong, C.; Jia, R.; Zeng, C.; Peñuelas, J. Flood regime affects soil stoichiometry and the distribution of the invasive plants in subtropical estuarine wetlands in china. Catena 2015, 128, 144–154. [Google Scholar] [CrossRef]
- Board, J. Waterlogging effects on plant nutrient concentrations in soybean. J. Plant Nutr. 2008, 31, 828–838. [Google Scholar] [CrossRef]
- Robertson, D.; Zhang, H.; Palta, J.A.; Colmer, T.; Turner, N.C. Waterlogging affects the growth, development of tillers, and yield of wheat through a severe, but transient, n deficiency. Crop Pasture Sci. 2009, 60, 578–586. [Google Scholar] [CrossRef]
- Wu, J.-D.; Li, J.-C.; Wei, F.-Z.; Wang, C.-Y.; Zhang, Y.; Sun, G. Effects of nitrogen spraying on the post-anthesis stage of winter wheat under waterlogging stress. Acta Physiol. Plant. 2014, 36, 207–216. [Google Scholar] [CrossRef]
- Ritter, W.; Beer, C. Yield reduction by controlled flooding of corn. Trans. Asae 1969, 12, 46–47. [Google Scholar]
- Zaidi, P.H.; Rafique, S.; Rai, P.; Singh, N.; Srinivasan, G. Tolerance to excess moisture in maize (Zea mays L.): Susceptible crop stages and identification of tolerant genotypes. Field Crop. Res. 2004, 90, 189–202. [Google Scholar] [CrossRef]
- Fausey, N.; McDonald, M. Emergence of inbred and hybrid corn following flooding. Agron. J. 1985, 77, 51–56. [Google Scholar] [CrossRef]
- Nielsen, R.L. Effects of Flooding or Ponding on Corn prior to Tasseling. Corny News Network. Available online: http://www.Kingcorn.Org/news/timeless/pondingyoungcorn.html (accessed on 20 September 2016).
- Wu, J.-D.; Li, J.-C.; Wang, C.-Y.; Wei, F.-Z.; Zhang, Y.; Wu, W.-M. Effects of spraying foliar nitrogen on activities of key regulatory enzymes involved in protein formation in winter wheat suffered post-anthesis high temperature and waterlogging. J. Foodagric. Environ. 2013, 11, 668–673. [Google Scholar]
- Subbaiah, C.C.; Sachs, M.M. Molecular and cellular adaptations of maize to flooding stress. Ann. Bot. 2003, 91, 119–127. [Google Scholar] [CrossRef]
- Torbert, H.; Hoeft, R.; Vanden Heuvel, R.; Mulvaney, R.; Hollinger, S. Short-term excess water impact on corn yield and nitrogen recovery. J. Prod. Agric. 1993, 6, 337–344. [Google Scholar] [CrossRef]
- Zaidi, P.; Maniselvan, P.; Srivastava, A.; Yadav, P.; Singh, R. Genetic analysis of water-logging tolerance in tropical maize (Zea mays L.). Maydica 2010, 55, 17–26. [Google Scholar]
- Abendroth, L.J.; Elmore, R.W.; Boyer, M.J.; Marlay, S.K. Corn Growth and Development; Iowa State University Extension Publication 1009: Ames, IA, USA, 2011. [Google Scholar]
- Nathan, M.; Stecker, J.; Sun, Y. Soil Testing in Missouri: A Guide for Conducting Soil Tests in Missouri; University of Missouri: Columbia, MO, USA, 2006. [Google Scholar]
- Vepraskas, M.; Cox, J. Redox potential measurements; NC State University: Chapel Hill, NC, USA, 2002; pp. 1–17. Available online: http://citeseerx.ist.psu.edu/viewdoc/download?doi=10.1.1.630.1755&rep=rep1&type=pdf (accessed on 20 July 2016).
- Sahrawat, K. Fertility and organic matter in submerged rice soils. Curr. Sci. 2005, 88, 735–739. [Google Scholar]
- Husson, O. Redox potential (eh) and ph as drivers of soil/plant/microorganism systems: A transdisciplinary overview pointing to integrative opportunities for agronomy. Plant Soil 2013, 362, 389–417. [Google Scholar] [CrossRef]
- Unger, I.M.; Motavalli, P.P.; Muzika, R.-M. Changes in soil chemical properties with flooding: A field laboratory approach. Agric. Ecosyst. Environ. 2009, 131, 105–110. [Google Scholar] [CrossRef]
- Fageria, N.; Carvalho, G.; Santos, A.; Ferreira, E.; Knupp, A. Chemistry of lowland rice soils and nutrient availability. Commun. Soil Sci. Plant Anal. 2011, 42, 1913–1933. [Google Scholar] [CrossRef]
- Zaidi, P.H.; Rafique, S.; Singh, N. Response of maize (Zea mays L.) genotypes to excess soil moisture stress: Morpho-physiological effects and basis of tolerance. Eur. J. Agron. 2003, 19, 383–399. [Google Scholar] [CrossRef]
- Kögel-Knabner, I.; Amelung, W.; Cao, Z.; Fiedler, S.; Frenzel, P.; Jahn, R.; Kalbitz, K.; Kölbl, A.; Schloter, M. Biogeochemistry of paddy soils. Geoderma 2010, 157, 1–14. [Google Scholar] [CrossRef]
- Chen, H.; Qualls, R.G.; Miller, G.C. Adaptive responses of lepidium latifolium to soil flooding: Biomass allocation, adventitious rooting, aerenchyma formation and ethylene production. Environ. Exp. Bot. 2002, 48, 119–128. [Google Scholar] [CrossRef]
- Jackson, M.B. Root-to-shoot communication in flooded plants: Involvement of abscisic acid, ethylene, and 1-aminocyciopropane-l-carboxylic acid. Agron. J. 1994, 86, 775–782. [Google Scholar] [CrossRef]
- de Souza, T.C.; Magalhães, P.C.; Pereira, F.J.; de Castro, E.M.; Parentoni, S.N. Morpho-physiology and maize grain yield under periodic soil flooding in successive selection cycles. Acta Physiol. Plant. 2011, 33, 1877–1885. [Google Scholar] [CrossRef]
- Wang, X.; Liu, T.; Li, C.; Chen, H. Effects of soil flooding on photosynthesis and growth of Zea mays L. Seedlings under different light intensities. Afr. J. Biotechnol. 2012, 11, 7676–7685. [Google Scholar]
- Zaidi, P.; Maniselvan, P.; Yadav, P.; Singh, A.; Sultana, R.; Dureja, P.; Singh, R.; Srinivasan, G. Stress-adaptive changes in tropical maize (Zea mays L.) under excessive soil moisture stress. Int. Maize Wheat Improv. Cent. 2007, 52, 159–171. [Google Scholar]
- Bin, Y.; Qiujie, D. Ameliorative effects of exogenous active oxygen scavengers on waterlogging injury of maize plants. Acta Agric. Boreali-Sin. (China) 1995, 10, 51–55. [Google Scholar]
- Bragina, T.; Rodionova, N.; Grinieva, G. Ethylene production and activation of hydrolytic enzymes during acclimation of maize seedlings to partial flooding. Russ. J. Plant Physiol. 2003, 50, 794–798. [Google Scholar] [CrossRef]
- Bragina, T.; Drozdova, I.; Alekhin, V.; Ponomareva, Y.V.; Grineva, G. The Rates of Photosynthesis, Respiration, and Transpiration in Young Maize Plants under Hypoxia. Dokl. Biol. Sci. 2001, 380, 482–485. [Google Scholar] [CrossRef] [PubMed]
- Grzesiak, S.; Hura, T.; Grzesiak, M.T.; Pieńkowski, S. The impact of limited soil moisture and waterlogging stress conditions on morphological and anatomical root traits in maize (Zea mays L.) hybrids of different drought tolerance. Acta Physiol. Plant. 1999, 21, 305–315. [Google Scholar] [CrossRef]
- Lizaso, J.I.; Ritchie, J.T. Maize shoot and root response to root zone saturation during vegetative growth. Agron. J. 1997, 89, 125–134. [Google Scholar] [CrossRef]
- Lizaso, J.I.; Melendez, L.M.; Ramirez, R. Early flooding of two cultivars of tropical maize. I. Shoot and root growth. J. Plant Nutr. 2001, 24, 979–995. [Google Scholar] [CrossRef]
© 2019 by the authors. Licensee MDPI, Basel, Switzerland. This article is an open access article distributed under the terms and conditions of the Creative Commons Attribution (CC BY) license (http://creativecommons.org/licenses/by/4.0/).










