Phytotoxicity and Chemical Characterization of Compost Derived from Pig Slurry Solid Fraction for Organic Pellet Production
Abstract
:1. Introduction
2. Materials and Methods
2.1. Composting Trials
- SSFC: consisting of 6000 kg of pig slurry SF from screw press separator;
- SC: consisting of 5000 kg of pig slurry SF obtained from decanting centrifuge mixed with 900 kg of sawdust;
- WCC: consisting of 8000 kg of pig slurry SF from screw press separator mixed with 2400 kg of woodchips;
- WSC: consisting of 5000 kg of pig slurry SF from screw press separator mixed with 720 kg of wheat straw.
2.2. Measuring Chemical Parameters
2.3. Seed Germination Test
2.4. Plant Growth Bioassy
- Gt = mean production of plants in treatment;
- Gc = mean production of plants in control.
2.5. Statistical Analysis
3. Results and Discussion
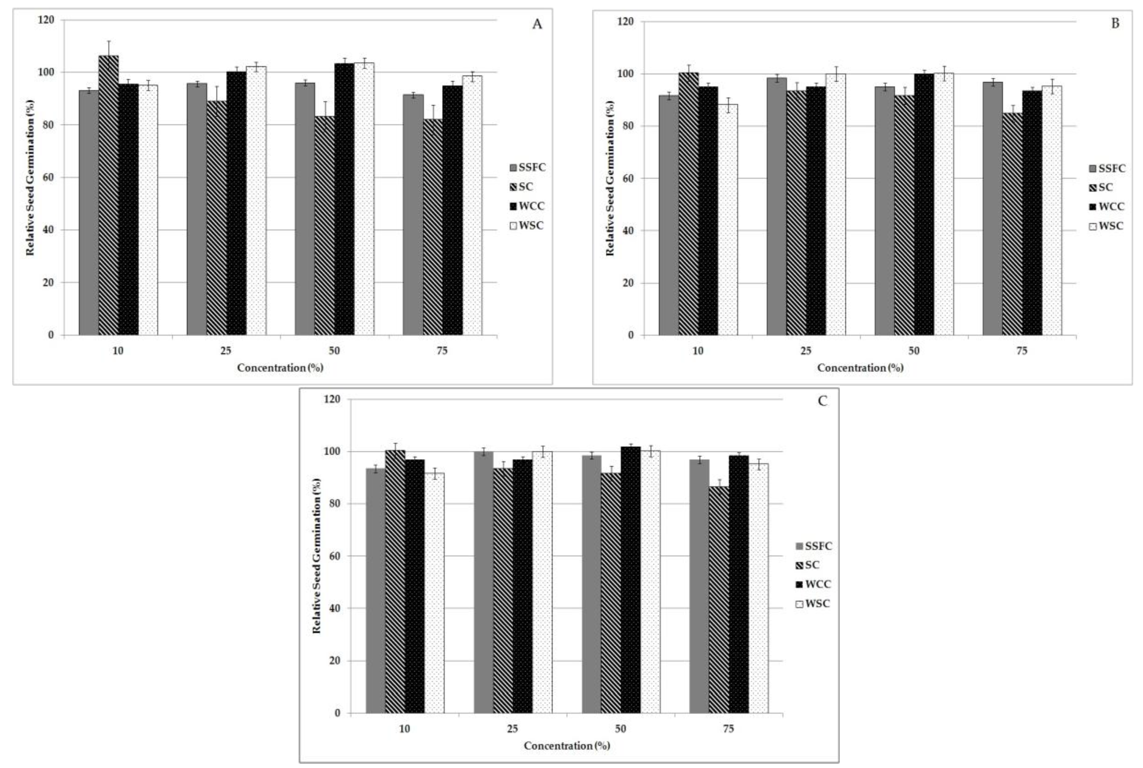
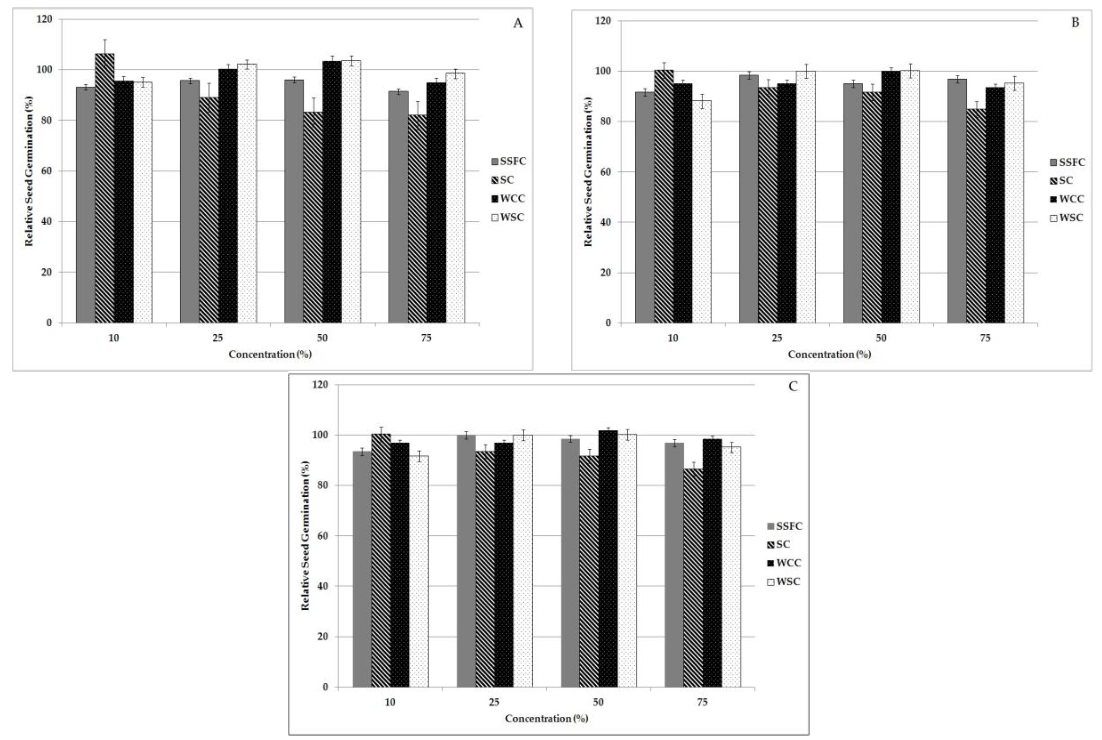
3.1. Relative Seed Germination
3.2. Relative Root Growth and Germination Index
3.3. Plant Growth Bioassay
3.4. Linear Correlations
4. Conclusions
Acknowledgments
Author Contributions
Conflicts of Interest
References
- ISTAT—Italian National Institute of Statistics (2012). Preliminary Results of the 6th General Census of Agriculture. Available online: http://censimentoagricoltura.istat.it (accessed on 28 March 2016).
- Kunz, A.; Miele, M.; Steinmetz, R.L.R. Advanced swine manure treatment and utilization in Brazil. Bioresour. Technol. 2009, 100, 5485–5489. [Google Scholar] [CrossRef] [PubMed]
- Lu, L.-L.; Wang, X.-D.; Xu, M.-H. Effect of zinc and composting time on dynamics of different soluble copper in chicken manures. Agric. Sci. China 2010, 9, 861–870. [Google Scholar] [CrossRef]
- Gomez-Brandon, M.; Lazcano, C.; Dominguez, J. The evaluation of stability and maturity during the composting of cattle manure. Chemosphere 2008, 70, 436–444. [Google Scholar] [CrossRef] [PubMed]
- Salazar, F.J.; Chadwick, D.; Pain, B.F.; Hatch, D.; Owen, E. Nitrogen budgets for three cropping systems fertilized with cattle manure. Bioresour. Technol. 2005, 96, 235–245. [Google Scholar] [CrossRef] [PubMed]
- Fangueiro, D.; Lopes, C.; Surgy, S.; Vasconcelos, E. Effect of the pig slurry separation techniques on the characteristics and potential availability of N to plants in the resulting liquid and solid fractions. Biosyst. Eng. 2012, 113, 187–194. [Google Scholar] [CrossRef]
- Pampuro, N.; Facello, A.; Cavallo, E. Pressure and specific energy requirements for densification of compost derived from swine solid fraction. Span. J. Agric. Res. 2013, 11, 678–684. [Google Scholar] [CrossRef]
- Pampuro, N.; Bagagiolo, G.; Priarone, P.C.; Cavallo, E. Effects of pelletizing pressure and the addition of woody bulking agents on the physical and mechanical properties of pellets made from composted pig solid fraction. Powder Technol. 2017, 311, 112–119. [Google Scholar] [CrossRef]
- Romano, E.; Brambilla, M.; Bisaglia, C.; Pampuro, N.; Foppa Pedretti, E.; Cavallo, E. Pelletization of composted swine manure solid fraction with different organic co-formulates: Effect of pellet physical properties on rotating spreader distribution patterns. Int. J. Recycl. Org. Waste Agric. 2014, 3, 101–111. [Google Scholar] [CrossRef]
- Alemi, H.; Kianmehr, M.H.; Borghaee, A.M. Effect of pellet processing of fertilization on slow-release nitrogen in soil. Asian J. Plant Sci. 2010, 9, 74–80. [Google Scholar]
- Pampuro, N.; Dinuccio, E.; Balsari, P.; Cavallo, E. Gaseous emissions and nutrient dynamics during composting of swine solid fraction for pellet production. Appl. Math. Sci. 2014, 8, 6459–6468. [Google Scholar] [CrossRef]
- Pampuro, N.; Dinuccio, E.; Balsari, P.; Cavallo, E. Evaluation of two composting strategies for making pig slurry solid fraction suitable for pelletizing. Atmos. Pollut. Res. 2016, 7, 288–293. [Google Scholar] [CrossRef]
- Nolan, T.; Troy, S.M.; Healy, M.G.; Kwapinski, W.; Leahy, J.J.; Lawlor, P.G. Characterization of compost produced from separated pig manure and a variety of bulking agents at low initial C/N ratios. Bioresour. Technol. 2011, 102, 7131–7138. [Google Scholar] [CrossRef] [PubMed]
- Parkinson, R.; Gibbs, P.; Burchett, S.; Misselbrook, T. Effect of turning regime and seasonal weather conditions on nitrogen and phosphorus losses during aerobic composting of cattle manure. Bioresour. Technol. 2004, 91, 171–178. [Google Scholar] [CrossRef]
- Bernal, M.P.; Alburquerque, J.A.; Moral, R. Composting of animal manures and chemical criteria for compost maturity assessment. A review. Bioresour. Technol. 2009, 100, 5444–5453. [Google Scholar] [CrossRef] [PubMed]
- Chrysargyris, A.; Saridakis, C.; Tzortzakis, N. Use of municipal solid waste compost as growing medium component for melon seedlings production. J. Plant Biol. Soil Health 2013, 2, 1–5. [Google Scholar]
- Papamichalaki, M.; Papadaki, A.; Tzortzakis, N. Substitution of peat with municipal solid waste compost in watermelon seedling production combined with fertigation. Chil. J. Agric. Res. 2014, 74, 452–459. [Google Scholar] [CrossRef]
- He, M.-M.; Tian, G.-M.; Liang, X.-Q. Phytotoxicity and speciation of copper, zinc and lead during the aerobic composting of sewage sludge. J. Hazad. Mater. 2009, 163, 671–677. [Google Scholar] [CrossRef] [PubMed]
- Liu, S.; Wang, X.-D.; Lu, L.-L.; Diao, S.-R.; Zhang, J.-F. Competitive complexation of copper and zinc by sequentially extracted humic substances from manure compost. Agric. Sci. China 2008, 7, 1253–1259. [Google Scholar] [CrossRef]
- Tam, N.F.Y.; Tiquia, S. Assessing toxicity of spent pig litter using a seed germination technique. Resour. Conserv. Recy 1994, 11, 261–274. [Google Scholar] [CrossRef]
- Caceres, F.; Flotats, X.; Marfa, O. Changes in the chemical and physiochemical properties of the solid fraction of cattle slurry during composting using different aeration strategies. Waste Manag. 2006, 26, 1081–1091. [Google Scholar] [CrossRef] [PubMed]
- Page, A.L.; Miller, R.H.; Keeney, D.R. Methods of Soil Analysis; Part 2; American Society of Agronomy, Inc. Soil Science of America: Madison, WI, USA, 1982. [Google Scholar]
- Piemonte, R. Metodi di analisi dei compost. Collana Ambient. 1998, 6, 84–87. [Google Scholar]
- Fuentes, A.; Llorens, M.; Saez, J.; Aguilar, M.I.; Ortuno, J.F.; Meseguer, V.F. Phytotoxicity and heavy metals speciation of stabilised sewage sludges. J. Hazad. Mater. 2004, 108, 161–169. [Google Scholar] [CrossRef] [PubMed]
- Piemonte, R. Il compostaggio: Processo, tecniche ed applicazione. Collana Ambient. 2001, 25, 83–88. [Google Scholar]
- Romero, C.; Ramos, P.; Costa, C.; Marquez, M.C. Raw and digested municipal waste compost leachate as potential fertilizer: Comparison with a commercial fertilizer. J. Clean. Prod. 2013, 59, 73–78. [Google Scholar] [CrossRef]
- Zucconi, F.; Pera, A.; Forte, M.; De Bertoldi, M. Evaluating toxicity of immature compost. BioCycle 1981, 22, 54–57. [Google Scholar]
- Hoekstra, N.J.; Bosker, T.; Lantinga, E.A. Effects of cattle dung from farms with different feeding strategies on germination and initial root growth of cress (Lepidium sativum L.). Agric. Ecosyst. Environ. 2002, 93, 189–196. [Google Scholar] [CrossRef]
- Tiquia, S.M.; Tam, N.F.Y. Elimination of phytotoxicity during co-composting of spent pig-manure sawdust litter and pig sludge. Bioresour. Technol. 1998, 65, 43–49. [Google Scholar] [CrossRef]
- Wong, M.H.; Cheung, Y.H.; Cheung, C.L. The effects of ammonia and ethylene oxide in animal manure and sewage sludge on the seed germination and root elongation of Brassica parachinensis. Environ. Pollut. 1983, 30, 109–123. [Google Scholar] [CrossRef]
- Mengel, K.; Kirkby, E.A. Principles of Plant Nutrition, 4th ed.; International Potash Insitute: Horgen, Switzerland, 1987; p. 745. [Google Scholar]
- Bennet, A.C.; Adams, F. Concentration of NH3 (aq) required for incipient NH3 toxicity to seedlings. Soil Sci. Soc. Am. J. 1970, 34, 259–263. [Google Scholar] [CrossRef]
- Ofosu-Budu, G.K.; JHogarh, J.N.; Fobil, J.N.; Quaye, A.; Danso, S.K.A.; Carboo, D. Harmonizing procedures for the evaluation of compost maturity in two compost types in Ghana. Resour. Conserv. Recycl. 2010, 54, 205–209. [Google Scholar] [CrossRef]


| Compost Samples | Compost Characteristics a | |||||||||
|---|---|---|---|---|---|---|---|---|---|---|
| DM (%) | NH4+ (mg g−1) | Total N (mg g−1) | Ext. Zn b (μg g−1) | Ext. Cu b (μg g−1) | ||||||
| SSFC | 65.4 | ±0.15 | 2.9 | ±0.20 | 11.1 | ±0.19 | 24.0 | ±0.19 | 4.0 | ±0.12 |
| SC | 68.1 | ±0.12 | 5.2 | ±0.15 | 25.5 | ±0.17 | 22.0 | ±0.15 | 3.2 | ±0.23 |
| WCC | 67.9 | ±0.10 | 4.0 | ±0.28 | 17.3 | ±0.06 | 18.0 | ±0.06 | 1.9 | ±0.15 |
| WSC | 67.5 | ±0.06 | 2.9 | ±0.16 | 14.6 | ±0.17 | 16.0 | ±0.17 | 2.8 | ±0.12 |
| Compost Samples | EC (dS m−1) | pH | ||||||
|---|---|---|---|---|---|---|---|---|
| 75% | 50% | 25% | 10% | 75% | 50% | 25% | 10% | |
| SSFC | 3.89 ± 0.02 | 2.83 ± 0.06 | 1.56 ± 0.03 | 0.75 ± 0.02 | 6.7 ± 0.01 | 6.5 ± 0.03 | 7.1 ± 0.01 | 6.4 ± 0.02 |
| SC | 7.96 ± 0.16 | 5.69 ± 0.08 | 1.97 ± 0.02 | 1.16 ± 0.02 | 7.4 ± 0.03 | 6.3 ± 0.01 | 6.3 ± 0.02 | 5.9 ± 0.01 |
| WCC | 1.69 ± 0.17 | 1.16 ± 0.01 | 0.61 ± 0.01 | 0.28 ± 0.01 | 5.5 ± 0.01 | 5.4 ± 0.01 | 5.7 ± 0.02 | 6.1 ± 0.01 |
| WSC | 1.90 ± 0.06 | 1.31 ± 0.05 | 0.69 ± 0.01 | 0.29 ± 0.01 | 6.6 ± 0.02 | 6.7 ± 0.02 | 7.2 ± 0.01 | 6.7 ± 0.02 |
| Compost | Concentration | Mean | |||
|---|---|---|---|---|---|
| 75% | 50% | 25% | 10% | ||
| WSC | 185.5 a | 199.0 a | 157.0 a | 119.7 a | 165.3 |
| WCC | 231.7 a | 212.1 a | 197.1 a | 120.0 a | 190.2 |
| SC | 226.5 a | 235.4 a | 226.0 a | 179.7 ab | 216.9 |
| SSFC | 275.8 a | 264.0 a | 270.1 a | 278.3 b | 272.1 |
| Mean | 229.9 | 227.6 | 212.6 | 174.4 | |
| Compost | Concentration | Mean | |||
|---|---|---|---|---|---|
| 75% | 50% | 25% | 10% | ||
| WSC | 176.6 a | 199.4 a | 157.0 a | 109.7 a | 160.7 |
| WCC | 228.3 a | 216.0 a | 190.9 a | 116.2 a | 187.9 |
| SC | 195.9 a | 215.8 a | 211.4 a | 180.4 ab | 200.9 |
| SSFC | 267.1 a | 260.1 a | 270.1 a | 260.3 b | 264.4 |
| Mean | 217.0 | 222.8 | 207.4 | 166.7 | |
| Compost | GrI75 | GrI150 | GrI |
|---|---|---|---|
| (g L−1) | (g L−1) | (%) | |
| WSC | 85.7 | 157.1 | 121.4 a |
| WCC | 166.7 | 219.6 | 193.1 b |
| SC | 170.5 | 233.3 | 201.9 b |
| SSFC | 189.4 | 269.5 | 229.4 b |
| Concentration | NH4+ | Total N | Ext. Zn | Ext. Cu | EC | |
|---|---|---|---|---|---|---|
| 10% | RSG-24 | 0.21 NS | 0.22 NS | −0.08 NS | −0.14 NS | 0.19 NS |
| RRG | −0.14 NS | −0.24 NS | 0.52 A | 0.63 A | 0.34 NS | |
| GI | −0.06 NS | −0.16 NS | 0.49 a | 0.56 A | 0.37 NS | |
| 25% | RSG-24 | −0.21 NS | −0.19 NS | −0.05 NS | −0.01 NS | −0.29 NS |
| RRG | 0.03 NS | −0.04 NS | 0.34 NS | 0.31 NS | 0.20 NS | |
| GI | −0.01 NS | −0.08 NS | 0.34 NS | 0.32 NS | 0.16 NS | |
| 50% | RSG-24 | −0.34 NS | −0.32 NS | −0.02 NS | 0.04 NS | −0.46 a |
| RRG | 0.01 NS | −0.04 NS | 0.20 NS | 0.20 NS | 0.13 NS | |
| GI | −0.05 NS | 0.09 NS | 0.20 NS | 0.21 NS | 0.05 NS | |
| 75% | RSG-24 | −0.27 NS | −0.25 NS | −0.06 NS | 0.02 NS | −0.43 a |
| RRG | −0.01 NS | −0.11 NS | 0.37 NS | 0.32 NS | 0.08 NS | |
| GI | −0.08 NS | −0.17 NS | 0.38 NS | 0.34 NS | 0.01 NS |
© 2017 by the authors. Licensee MDPI, Basel, Switzerland. This article is an open access article distributed under the terms and conditions of the Creative Commons Attribution (CC BY) license (http://creativecommons.org/licenses/by/4.0/).
Share and Cite
Pampuro, N.; Bisaglia, C.; Romano, E.; Brambilla, M.; Foppa Pedretti, E.; Cavallo, E. Phytotoxicity and Chemical Characterization of Compost Derived from Pig Slurry Solid Fraction for Organic Pellet Production. Agriculture 2017, 7, 94. https://doi.org/10.3390/agriculture7110094
Pampuro N, Bisaglia C, Romano E, Brambilla M, Foppa Pedretti E, Cavallo E. Phytotoxicity and Chemical Characterization of Compost Derived from Pig Slurry Solid Fraction for Organic Pellet Production. Agriculture. 2017; 7(11):94. https://doi.org/10.3390/agriculture7110094
Chicago/Turabian StylePampuro, Niccolò, Carlo Bisaglia, Elio Romano, Massimo Brambilla, Ester Foppa Pedretti, and Eugenio Cavallo. 2017. "Phytotoxicity and Chemical Characterization of Compost Derived from Pig Slurry Solid Fraction for Organic Pellet Production" Agriculture 7, no. 11: 94. https://doi.org/10.3390/agriculture7110094
APA StylePampuro, N., Bisaglia, C., Romano, E., Brambilla, M., Foppa Pedretti, E., & Cavallo, E. (2017). Phytotoxicity and Chemical Characterization of Compost Derived from Pig Slurry Solid Fraction for Organic Pellet Production. Agriculture, 7(11), 94. https://doi.org/10.3390/agriculture7110094

