Transferability of Models for Estimating Paddy Rice Biomass from Spatial Plant Height Data
Abstract
:1. Introduction
2. Data and Methods
2.1. Study Area


2.2. Field Measurements
| Date/ BBCH-scale a | 2011 | 2012 | ||
|---|---|---|---|---|
| Field experiment | Village 69 | Field experiment | Village 36 | |
| 1. Campaign | 21 June 2011/ 13 | 22 June 2011/ 13 | 1 July 2012/ 37 | 30 June 2012/ 37 |
| 2. Campaign | 4 July 2011/ 13–15; 22–23 | 5 July 2011/ 13; 21 | 9 July 2012/ 42 | 8 July 2012/ 37; 39 |
| 3. Campaign | 18 July 2011/ 19; 29; 32 | 19 July 2011/ 19; 29; 34 | 17 July 2012/ 50 | 16 July 2012/ 19; 29; 34 |


2.3. Post-Processing of the TLS Data
2.4. Calculation of Plant Height and Visualization as Maps of Plant Height
2.5. Estimation of Biomass
- Examination of concept with trial BRMs: Each linear and exponential model was derived from the measurements of two field experiment repetitions from one year. The biomass of the remaining third repetition was estimated and validated against the destructive measurements.
- Generation of BRM: Overall six models were established based on the measurements of all field experiment repetitions, separately for each year and as a combination of both years, each as linear and exponential model.
- Application of the BRMs: Each model was used for estimating the biomass at all campaign dates on both farmer’s fields based on the CSM-derived plant height of the buffer areas around the bamboo sticks.
- Validation of the BRMs: By comparing estimated and destructively measured biomass values the general validity, robustness, and suitability of the linear and exponential BRMs were evaluated.
3. Results
3.1. Maps of CSM-Derived Plant Height

3.2. Analysis of Plant Height Data
| Date | Plant height from CSM (cm) | Measured plant height (cm) | Difference | |||||||
|---|---|---|---|---|---|---|---|---|---|---|
| n | SD | min | max | SD | min | max | % | |||
| 21 June 11 | 54 | 24.84 | 3.63 | 17.90 | 32.99 | 24.37 | 2.06 | 19.13 | 28.88 | 1.89 |
| 04 July 11 | 54 | 34.62 | 4.36 | 24.59 | 42.71 | 37.94 | 2.42 | 32.38 | 44.13 | 9.59 |
| 18 July 11 | 54 | 55.38 | 7.22 | 44.28 | 70.30 | 63.56 | 4.25 | 53.10 | 70.70 | 14.77 |
| 01 July 12 | 54 | 44.72 | 3.08 | 37.80 | 53.25 | 40.85 | 4.87 | 31.00 | 49.50 | 8.64 |
| 09 July 12 | 54 | 57.09 | 3.61 | 48.87 | 64.64 | 46.84 | 4.30 | 37.50 | 56.50 | 17.95 |

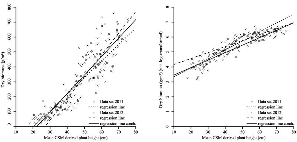
3.3. Analysis of Estimated Biomass
| Site/ | Plant height from CSM (cm) | Biomass (g/m2) a | |||||||
|---|---|---|---|---|---|---|---|---|---|
| Date | n | SD | min | max | SD | min | max | ||
| Field experiment | |||||||||
| 21.06.11 | 30 | 24.93 | 2.85 | 20.59 | 30.33 | 59.51 | 18.86 | 24.04 | 100.70 |
| 04.07.11 | 30 | 33.80 | 3.74 | 27.25 | 40.75 | 131.72 | 30.03 | 66.71 | 199.41 |
| 18.07.11 | 30 | 56.69 | 5.49 | 44.91 | 63.03 | 422.27 | 80.90 | 274.74 | 599.53 |
| 01.07.12 | 30 | 43.81 | 2.95 | 37.80 | 48.14 | 231.42 | 74.48 | 104.47 | 421.35 |
| 09.07.12 | 30 | 56.08 | 3.73 | 46.66 | 62.28 | 449.92 | 105.62 | 225.40 | 673.79 |
| 17.07.12 | 30 | 66.63 | 5.05 | 54.62 | 75.24 | 636.10 | 127.87 | 372.06 | 946.15 |
| Village 69 | |||||||||
| 22.06.11 | 24 | 20.80 | 4.82 | 13.39 | 31.44 | 57.58 | 13.02 | 25.64 | 80.01 |
| 05.07.11 | 24 | 34.09 | 4.52 | 27.13 | 44.60 | 217.43 | 29.44 | 146.54 | 278.12 |
| 19.07.11 | 24 | 59.49 | 4.87 | 51.79 | 72.58 | 589.71 | 73.01 | 482.33 | 723.32 |
| Village 36 | |||||||||
| 30.06.12 | 24 | 18.13 | 7.59 | 1.96 | 45.00 | 251.67 | 91.46 | 123.00 | 479.88 |
| 08.07.12 | 24 | 30.23 | 6.22 | 19.25 | 41.73 | 469.93 | 104.00 | 171.90 | 639.00 |
| 16.07.12 | 24 | 40.36 | 8.28 | 21.54 | 52.82 | 717.61 | 143.73 | 399.36 | 966.42 |
| Year/ | Trial BRMs a | Estimated Repetition | Mean biomass (g/m2) | Difference (%) | R2 | d | RMSE | ||
|---|---|---|---|---|---|---|---|---|---|
| Repetition | estimated | measured | |||||||
| Linear | 2011 | ||||||||
| 1 & 2 | y = 11.06x − 211.23 | 3 | 249.79 | 210.61 | −18.60 | 0.92 | 0.96 | 61.54 | |
| 1 & 3 | y = 11.12x − 237.97 | 2 | 174.05 | 208.32 | 16.45 | 0.81 | 0.93 | 79.90 | |
| 2 & 3 | y = 11.15x − 229.41 | 1 | 189.38 | 194.56 | 2.66 | 0.88 | 0.97 | 52.90 | |
| 2012 | |||||||||
| 1 & 2 | y = 14.33x − 379.96 | 3 | 427.12 | 426.06 | −0.25 | 0.72 | 0.91 | 93.27 | |
| 1 & 3 | y = 14.87x − 413.65 | 2 | 404.44 | 402.35 | −0.52 | 0.55 | 0.85 | 125.13 | |
| 2 & 3 | y = 14.36x − 379.12 | 1 | 413.28 | 417.20 | 0.94 | 0.71 | 0.91 | 92.77 | |
| Exponential b | 2011 | ||||||||
| 1 & 2 | y = 0.06x + 2.76 | 3 | 4.99 | 5.22 | 4.58 | 0.88 | 0.95 | 0.38 | |
| 1 & 3 | y = 0.06x + 2.64 | 2 | 5.01 | 4.83 | −3.64 | 0.80 | 0.93 | 0.41 | |
| 2 & 3 | y = 0.06x + 2.80 | 1 | 4.91 | 5.05 | 2.91 | 0.91 | 0.97 | 0.30 | |
| 2012 | |||||||||
| 1 & 2 | y = 0.04x + 3.79 | 3 | 5.95 | 5.96 | 0.22 | 0.68 | 0.89 | 0.28 | |
| 1 & 3 | y = 0.04x + 3.82 | 2 | 5.88 | 6.02 | 2.44 | 0.58 | 0.82 | 0.36 | |
| 2 & 3 | y = 0.04x + 3.67 | 1 | 5.94 | 5.88 | −1.03 | 0.72 | 0.91 | 0.25 | |
| Site/ | BRM a | Mean difference | R2 | d | RMSE | |||||
|---|---|---|---|---|---|---|---|---|---|---|
| per campaign (g/m2) | all campaigns | |||||||||
| Data set | 1. | 2. | 3. | (g/m2) | % | |||||
| Linear | Village 69 | |||||||||
| 2011 | y = 11.06x − 224.18 | 51.69 | 64.56 | 110.79 | 90.73 | 31.48 | 0.90 | 0.92 | 119.70 | |
| 2012 | y = 14.51x − 390.58 | 146.33 | 113.35 | 115.10 | 125.59 | 43.57 | 0.90 | 0.91 | 146.90 | |
| combination | y = 12.37x − 273.19 | 73.47 | 68.95 | 98.30 | 89.83 | 31.16 | 0.90 | 0.93 | 115.22 | |
| Village 36 | ||||||||||
| 2011 | y = 11.06x − 224.18 | 254.34 | 320.62 | 380.60 | 336.87 | 74.48 | 0.60 | 0.53 | 377.04 | |
| 2012 | y = 14.51x − 390.58 | 281.90 | 382.73 | 425.57 | 375.82 | 83.09 | 0.60 | 0.51 | 429.33 | |
| combination | y = 12.37x − 273.19 | 175.02 | 330.06 | 383.54 | 312.30 | 69.04 | 0.60 | 0.53 | 383.62 | |
| Exponential b | Village 69 | |||||||||
| 2011 | y = 0.06x + 2.74 | 0.04 | 0.59 | 0.32 | 0.23 | 4.35 | 0.85 | 0.95 | 0.46 | |
| 2012 | y = 0.04x + 3.76 | −0.58 | 0.25 | 0.24 | −0.03 | −0.65 | 0.85 | 0.92 | 0.45 | |
| combination | y = 0.05x + 2.95 | 0.07 | 0.72 | 0.58 | 0.41 | 7.81 | 0.85 | 0.91 | 0.56 | |
| Village 36 | ||||||||||
| 2011 | y = 0.06x + 2.74 | 1.58 | 1.52 | 1.42 | 1.47 | 24.31 | 0.56 | 0.44 | 1.47 | |
| 2012 | y = 0.04x + 3.76 | 0.65 | 1.12 | 1.13 | 0.97 | 15.97 | 0.56 | 0.51 | 1.06 | |
| combination | y = 0.05x + 2.95 | 1.38 | 1.62 | 1.58 | 1.51 | 24.92 | 0.56 | 0.42 | 1.51 | |

4. Discussion
5. Conclusions
Acknowledgments
Author Contributions
Conflicts of Interest
References
- FAO FAOSTAT. Available online: http://faostat3.fao.org/faostat-gateway/go/to/home/E (accessed on 1 July 2014).
- Miao, Y.; Stewart, B.A.; Zhang, F. Long-term experiments for sustainable nutrient management in China. A review. Agron. Sustain. Dev. 2011, 31, 397–414. [Google Scholar] [CrossRef]
- Oliver, M.; Bishop, T.; Marchant, B. An overview of precision agriculture. In Precision Agriculture for Sustainability and Environmental Protection; Oliver, M., Bishop, T., Marchant, B., Eds.; Routledge: London, UK, 2013. [Google Scholar]
- Van Wart, J.; Kersebaum, K.C.; Peng, S.; Milner, M.; Cassman, K.G. Estimating crop yield potential at regional to national scales. Field Crops Res. 2013, 143, 34–43. [Google Scholar] [CrossRef]
- Roelcke, M.; Han, Y.; Schleef, K.H.; Zhu, J.-G.; Liu, G.; Cai, Z.-C.; Richter, J. Recent trends and recommendations for nitrogen fertilization in intensive agriculture in eastern China. Pedosphere 2004, 14, 449–460. [Google Scholar]
- Mulla, D.J. Twenty five years of remote sensing in precision agriculture: Key advances and remaining knowledge gaps. Biosyst. Eng. 2012, 114, 358–371. [Google Scholar] [CrossRef]
- Marshall, M.; Thenkabail, P. Developing in situ Non-Destructive Estimates of Crop Biomass to Address Issues of Scale in Remote Sensing. Remote Sens. 2015, 7, 808–835. [Google Scholar] [CrossRef]
- Greenwood, D.J.; Gastal, F.; Lemaire, G.; Draycott, A.; Millard, P.; Neeteson, J.J. Growth rate and %N of field grown crops: Theory and experiments. Ann. Bot. 1991, 67, 181–190. [Google Scholar]
- Lemaire, G.; Jeuffroy, M.-H.; Gastal, F. Diagnosis tool for plant and crop N status in vegetative stage. Eur. J. Agron. 2008, 28, 614–624. [Google Scholar] [CrossRef]
- Elia, A.; Conversa, G. Agronomic and physiological responses of a tomato crop to nitrogen input. Eur. J. Agron. 2012, 40, 64–74. [Google Scholar] [CrossRef]
- Ntanos, D.A.; Koutroubas, S.D. Dry matter and N accumulation and translocation for Indica and Japonica rice under Mediterranean conditions. Field Crops Res. 2002, 74, 93–101. [Google Scholar] [CrossRef]
- Ribbes, F.; Le Toan, T. Rice field mapping and monitoring with RADARSAT data. Int. J. Remote Sens. 1999, 20, 745–765. [Google Scholar] [CrossRef]
- Yang, X.; Huang, J.; Wu, Y.; Wang, J.; Wang, P.; Wang, X.; Huete, A.R. Estimating biophysical parameters of rice with remote sensing data using support vector machines. Sci. China. Life Sci. 2011, 54, 272–281. [Google Scholar] [CrossRef] [PubMed]
- Li, W.; Li, H.; Zhao, L. Estimating Rice Yield by HJ-1A Satellite Images. Rice Sci. 2011, 18, 142–147. [Google Scholar] [CrossRef]
- Lopez-Sanchez, J.M.; Ballester-Berman, J.D.; Hajnsek, I. First Results of Rice Monitoring Practices in Spain by Means of Time Series of TerraSAR-X Dual-Pol Images. IEEE J. Sel. Top. Appl. Earth Obs. Remote Sens. 2011, 4, 412–422. [Google Scholar] [CrossRef]
- Koppe, W.; Gnyp, M.L.; Hütt, C.; Yao, Y.; Miao, Y.; Chen, X.; Bareth, G. Rice monitoring with multi-temporal and dual-polarimetric TerraSAR-X data. Int. J. Appl. Earth Obs. Geoinf. 2012, 21, 568–576. [Google Scholar] [CrossRef]
- Reddersen, B.; Fricke, T.; Wachendorf, M. A multi-sensor approach for predicting biomass of extensively managed grassland. Comput. Electron. Agric. 2014, 109, 247–260. [Google Scholar] [CrossRef]
- Casanova, D.; Epema, G.F.; Goudriaan, J. Monitoring rice reflectance at field level for estimating biomass and LAI. Field Crops Res. 1998, 55, 83–92. [Google Scholar] [CrossRef]
- Gnyp, M.L.; Yu, K.; Aasen, H.; Yao, Y.; Huang, S.; Miao, Y.; Bareth, G. Analysis of crop reflectance for estimating biomass in rice canopies at different phenological stages. Photogramm. Fernerkund. Geoinf. 2013, 4, 351–365. [Google Scholar] [CrossRef]
- Aasen, H.; Gnyp, M.L.; Miao, Y.; Bareth, G. Automated hyperspectral vegetation index retrieval from multiple correlation matrices with HyperCor. Photogramm. Eng. Remote Sens. 2014, 80, 785–796. [Google Scholar] [CrossRef]
- Confalonieri, R.; Bregaglio, S.; Rosenmund, A.S.; Acutis, M.; Savin, I. A model for simulating the height of rice plants. Eur. J. Agron. 2011, 34, 20–25. [Google Scholar] [CrossRef]
- Watanabe, T.; Hanan, J.S.; Room, P.M.; Hasegawa, T.; Nakagawa, H.; Takahashi, W. Rice morphogenesis and plant architecture: Measurement, specification and the reconstruction of structural development by 3D architectural modelling. Ann. Bot. 2005, 95, 1131–1143. [Google Scholar] [CrossRef] [PubMed]
- Ding, W.; Zhang, Y.; Zhang, Q.; Zhu, D.; Chen, Q. Realistic Simulation of Rice Plant. Rice Sci. 2011, 18, 224–230. [Google Scholar] [CrossRef]
- Lee, W.S.; Alchanatis, V.; Yang, C.; Hirafuji, M.; Moshou, D.; Li, C. Sensing technologies for precision specialty crop production. Comput. Electron. Agric. 2010, 74, 2–33. [Google Scholar] [CrossRef]
- Zhang, L.; Grift, T.E. A LIDAR-based crop height measurement system for Miscanthus giganteus. Comput. Electron. Agric. 2012, 85, 70–76. [Google Scholar] [CrossRef]
- Koenig, K.; Höfle, B.; Hämmerle, M.; Jarmer, T.; Siegmann, B.; Lilienthal, H. Comparative classification analysis of post-harvest growth detection from terrestrial LiDAR point clouds in precision agriculture. ISPRS J. Photogramm. Remote Sens. 2015, 104, 112–125. [Google Scholar] [CrossRef]
- Gebbers, R.; Ehlert, D.; Adamek, R. Rapid mapping of the leaf area index in agricultural crops. Agron. J. 2011, 103, 1532–1541. [Google Scholar] [CrossRef]
- Hosoi, F.; Omasa, K. Estimating vertical plant area density profile and growth parameters of a wheat canopy at different growth stages using three-dimensional portable lidar imaging. ISPRS J. Photogramm. Remote Sens. 2009, 64, 151–158. [Google Scholar] [CrossRef]
- Saeys, W.; Lenaerts, B.; Craessaerts, G.; De Baerdemaeker, J. Estimation of the crop density of small grains using LiDAR sensors. Biosyst. Eng. 2009, 102, 22–30. [Google Scholar] [CrossRef]
- Eitel, J.U.H.; Vierling, L.A.; Long, D.S.; Raymond Hunt, E. Early season remote sensing of wheat nitrogen status using a green scanning laser. Agric. For. Meteorol. 2011, 151, 1338–1345. [Google Scholar] [CrossRef]
- Höfle, B. Radiometric correction of terrestrial LiDAR point cloud data for individual maize plant detection. Geosci. Remote Sens. Lett. IEEE 2014, 11, 94–98. [Google Scholar] [CrossRef]
- Hoffmeister, D.; Tilly, N.; Bendig, J.; Curdt, C.; Bareth, G. Detektion von Wachstumsvariabilität in vier Zuckerrübensorten durch multi-temporales terrestrisches Laserscanning. In Proceedings of the 32. GIL-Jahrestagung: Informationstechnologie für eine Nachhaltige Landbewirtschaftung, Freising, Germany, 29 February–1 March 2012; Clasen, M., Fröhlich, G., Bernhardt, H., Hildebrand, K., Theuvsen, B., Eds.; Köllen Verlag: Bonn, Germany, 2012; pp. 135–138. [Google Scholar]
- Lumme, J.; Karjalainen, M.; Kaartinen, H.; Kukko, A.; Hyyppä, J.; Hyyppä, H.; Jaakkola, A.; Kleemola, J. Terrestrial laser scanning of agricultural crops. In Proceedings of the International Archives of the Photogrammetry, Remote Sensing and Spatial Information Sciences 37 (Part B5), Beijing, China, 3–11 July 2008; Chen, J., Jiang, J., Maas, H.-G., Eds.; Organising Committee of the XXIst International Congress for Photogrammetry and Remote Sensing: Beijing, China, 2008; pp. 563–566. [Google Scholar]
- Ehlert, D.; Horn, H.-J.; Adamek, R. Measuring crop biomass density by laser triangulation. Comput. Electron. Agric. 2008, 61, 117–125. [Google Scholar] [CrossRef]
- Ehlert, D.; Adamek, R.; Horn, H.-J. Laser rangefinder-based measuring of crop biomass under field conditions. Precis. Agric. 2009, 10, 395–408. [Google Scholar] [CrossRef]
- Hämmerle, M.; Höfle, B. Effects of Reduced Terrestrial LiDAR Point Density on High-Resolution Grain Crop Surface Models in Precision Agriculture. Sensors 2014, 14, 24212–24230. [Google Scholar] [CrossRef] [PubMed]
- Hosoi, F.; Omasa, K. Estimation of vertical plant area density profiles in a rice canopy at different growth stages by high-resolution portable scanning LiDAR with a lightweight mirror. ISPRS J. Photogramm. Remote Sens. 2012, 74, 11–19. [Google Scholar] [CrossRef]
- Tilly, N.; Hoffmeister, D.; Cao, Q.; Lenz-Wiedemann, V.; Miao, Y.; Bareth, G. Precise plant height monitoring and biomass estimation with Terrestrial Laser Scanning in paddy rice. In Proceedings of the ISPRS Annals of the Photogrammetry, Remote Sensing and Spatial Information Sciences Conference, Antalya, Turkey, 11–13 November 2013; Scaioni, M., Lindenbergh, R.C., Oude Elberink, S., Schneider, D., Pirotti, F., Eds.; Volume II-5/W2, pp. 295–300.
- Tilly, N.; Hoffmeister, D.; Cao, Q.; Huang, S.; Lenz-Wiedemann, V.; Miao, Y.; Bareth, G. Multitemporal crop surface models: Accurate plant height measurement and biomass estimation with terrestrial laser scanning in paddy rice. J. Appl. Remote Sens. 2014, 8, 083671. [Google Scholar] [CrossRef]
- Thenkabail, P.S.; Smith, R.B.; De Pauw, E. Hyperspectral vegetation indices and their relationships with agricultural crop characteristics. Remote Sens. Environ. 2000, 71, 158–182. [Google Scholar] [CrossRef]
- Hansen, P.M.; Schjoerring, J.K. Reflectance measurement of canopy biomass and nitrogen status in wheat crops using normalized difference vegetation indices and partial least squares regression. Remote Sens. Environ. 2003, 86, 542–553. [Google Scholar] [CrossRef]
- Gao, J.; Liu, Y. Climate warming and land use change in Heilongjiang Province, Northeast China. Appl. Geogr. 2011, 31, 476–482. [Google Scholar] [CrossRef]
- Domrös, M.; Gongbing, P. The Climate of China; Springer-Verlag: Berlin, Germany, 1988. [Google Scholar]
- Ding, Y.; Chan, J.C.L. The East Asian summer monsoon: An overview. Meteorol. Atmos. Phys. 2005, 89, 117–142. [Google Scholar]
- Cao, Q.; Miao, Y.; Wang, H.; Huang, S.; Cheng, S.; Khosla, R.; Jiang, R. Non-destructive estimation of rice plant nitrogen status with Crop Circle multispectral active canopy sensor. Filed Crops Res. 2013, 154, 133–144. [Google Scholar] [CrossRef]
- Meier, U. Growth Stages of Mono- and Dicotyledonous Plants, 2nd ed.; Blackwell: Berlin, Germany, 2001. [Google Scholar]
- Lancashire, P.D.; Bleiholder, H.; van den Boom, T.; Langelüddeke, P.; Strauss, R.; Weber, E.; Witzenberger, A. A uniform decimal code for growth stages of crops and weeds. Ann. Appl. Biol. 1991, 119, 561–601. [Google Scholar] [CrossRef]
- Riegl LMS GmbH Datasheet Riegl LMS-Z420i. Available online: http://www.riegl.com/uploads/tx_pxpriegldownloads/10_DataSheet_Z420i_03-05-2010.pdf (accessed on 1 July 2014).
- Riegl LMS GmbH Datasheet Riegl VZ-1000. Available online: http://www.riegl.com/uploads/tx_pxpriegldownloads/DataSheet_VZ-1000_18-09-2013.pdf (accessed on 1 July 2014).
- Hoffmeister, D.; Bolten, A.; Curdt, C.; Waldhoff, G.; Bareth, G. High resolution Crop Surface Models (CSM) and Crop Volume Models (CVM) on field level by terrestrial laser scanning. In Proceedings of the SPIE, 6th International Symposium on Digital Earth, Beijing, China, 4 November 2010; Guo, H., Wang, C., Eds.; Volume 7840.
- Besl, P.J.; McKay, N.D. A Method for Registration of 3D Shapes. IEEE Trans. Pattern Anal. Mach. Intell. 1992, 14, 239–256. [Google Scholar] [CrossRef]
- Johnston, K.; Ver Hoef, J.M.; Krivoruchko, K.; Lucas, N. Using ArcGIS Geostatistical Analyst; ESRI: Redlands, CA, USA, 2001. [Google Scholar]
- Willmott, C.J.; Wicks, D.E. An empirical method for the spatial interpolation of monthly precipitation within California. Phys. Geogr. 1980, 1, 59–73. [Google Scholar]
- Willmott, C.J. On the validation of models. Phys. Geogr. 1981, 2, 184–194. [Google Scholar]
- Hair, J.F.; Black, W.C.; Babin, B.J.; Anderson, R.E. Multivariate Data Analysis, 7th ed.; Pearson: Upper Saddle River, NJ, USA, 2010. [Google Scholar]
- Guarnieri, A.; Pirotti, F.; Vettore, A. Comparison of discrete return and waveform terrestrial laser scanning for dense vegetation filtering. In Proceedings of the International Archives of Photogrammetry, Remote Sensing and Spatial Information Sciences, Melbourne, Australia, 25 August–1 September 2012; Shortis, M., Mills, J., Eds.; Volume 39, pp. 511–516.
- Velodyne Velodyne HDL-64E User’s Manual. Available online: http://www.velodynelidar.com/lidar/products/manual/63-HDL64E S2 Manual_Rev D_2011_web.pdf (accessed on 1 July 2014).
- Jaakkola, A.; Hyyppä, J.; Kukko, A.; Yu, X.; Kaartinen, H.; Lehtomäki, M.; Lin, Y. A low-cost multi-sensoral mobile mapping system and its feasibility for tree measurements. ISPRS J. Photogramm. Remote Sens. 2010, 65, 514–522. [Google Scholar] [CrossRef]
- Ehlert, D.; Heisig, M. Sources of angle-dependent errors in terrestrial laser scanner-based crop stand measurement. Comput. Electron. Agric. 2013, 93, 10–16. [Google Scholar] [CrossRef]
- Kaasalainen, S.; Jaakkola, A.; Kaasalainen, M.; Krooks, A.; Kukko, A. Analysis of incidence angle and distance effects on terrestrial laser scanner intensity: Search for correction methods. Remote Sens. 2011, 3, 2207–2221. [Google Scholar] [CrossRef]
- Kaasalainen, S.; Krooks, A.; Kukko, A.; Kaartinen, H. Radiometric calibration of terrestrial laser scanners with external reference targets. Remote Sens. 2009, 1, 144–158. [Google Scholar] [CrossRef]
- Wang, K.; Zhou, H.; Wang, B.; Jian, Z.; Wang, F.; Huang, J.; Nie, L.; Cui, K.; Peng, S. Quantification of border effect on grain yield measurement of hybrid rice. Field Crops Res. 2013, 141, 47–54. [Google Scholar] [CrossRef]
- DigitalGlobe Datasheet WorldView-3. Available online: https://www.digitalglobe.com/sites/default/files/DG_WorldView3_DS_forWeb_0.pdf (accessed on 26 June 2015).
- Bendig, J.; Yu, K.; Aasen, H.; Bolten, A.; Bennertz, S.; Broscheit, J.; Gnyp, M.L.; Bareth, G. Combining UAV-based plant height from crop surface models, visible, and near infrared vegetation indices for biomass monitoring in barley. Int. J. Appl. Earth Obs. Geoinf. 2015, 39, 79–87. [Google Scholar] [CrossRef]
- Wallace, L.; Watson, C.; Lucieer, A. Detecting pruning of individual stems using airborne laser scanning data captured from an Unmanned Aerial Vehicle. Int. J. Appl. Earth Obs. Geoinf. 2014, 30, 76–85. [Google Scholar] [CrossRef]
- Luscombe, D.J.; Anderson, K.; Gatis, N.; Wetherelt, A.; Grand-Clement, E.; Brazier, R.E. What does airborne LiDAR really measure in upland ecosystems? Ecohydrology 2014. [Google Scholar] [CrossRef]
- Yao, Y.; Miao, Y.; Huang, S.; Gao, L.; Ma, X.; Zhao, G.; Jiang, R.; Chen, X.; Zhang, F.; Yu, K.; et al. Active canopy sensor-based precision N management strategy for rice. Agron. Sustain. Dev. 2012, 32, 925–933. [Google Scholar] [CrossRef]
© 2015 by the authors; licensee MDPI, Basel, Switzerland. This article is an open access article distributed under the terms and conditions of the Creative Commons Attribution license (http://creativecommons.org/licenses/by/4.0/).
Share and Cite
Tilly, N.; Hoffmeister, D.; Cao, Q.; Lenz-Wiedemann, V.; Miao, Y.; Bareth, G. Transferability of Models for Estimating Paddy Rice Biomass from Spatial Plant Height Data. Agriculture 2015, 5, 538-560. https://doi.org/10.3390/agriculture5030538
Tilly N, Hoffmeister D, Cao Q, Lenz-Wiedemann V, Miao Y, Bareth G. Transferability of Models for Estimating Paddy Rice Biomass from Spatial Plant Height Data. Agriculture. 2015; 5(3):538-560. https://doi.org/10.3390/agriculture5030538
Chicago/Turabian StyleTilly, Nora, Dirk Hoffmeister, Qiang Cao, Victoria Lenz-Wiedemann, Yuxin Miao, and Georg Bareth. 2015. "Transferability of Models for Estimating Paddy Rice Biomass from Spatial Plant Height Data" Agriculture 5, no. 3: 538-560. https://doi.org/10.3390/agriculture5030538
APA StyleTilly, N., Hoffmeister, D., Cao, Q., Lenz-Wiedemann, V., Miao, Y., & Bareth, G. (2015). Transferability of Models for Estimating Paddy Rice Biomass from Spatial Plant Height Data. Agriculture, 5(3), 538-560. https://doi.org/10.3390/agriculture5030538

